Differences in Soundscape Perception of Plants Space in Urban Green Space and the Influence of Factors: The Case of Fuzhou, China
Abstract
1. Introduction
- (1)
- Explore differences in the perception of soundscapes in different plant spaces;
- (2)
- Comprehend the overall relationship between plant space and soundscape perception in UGSs;
- (3)
- Determine the influence of environmental factors on soundscape perception in plant spaces in UGSs.
2. Methodology
2.1. Study Area
2.2. Data Collection
2.2.1. Subjective Data for Soundscape Perception
2.2.2. Plant Spatial Objective Factor Data
2.3. Data Processing
2.3.1. Perception of the Soundscape Subjective Data
2.3.2. Data Analysis
3. Results
3.1. Differential Results for Soundscape Perception in Plant Space
3.1.1. Variability of Sound Source Perception in Different Plant Spaces
3.1.2. Variability in Overall Soundscape Perception across Plant Spaces
3.2. Relationship between Plant Space and Soundscape Perception
3.3. Influence of Vegetation Spatial Characteristic Factors on Soundscape Perception in UGSs
3.3.1. Analysis of the Effect of Vegetation Spatial Characteristic Factors on Soundscape Perception
3.3.2. Analysis of the Effect of Vegetation Spatial Characterisation Factors on Overall Soundscape Perception
4. Discussion
4.1. Analysis of Differences in Spatial Soundscape Perception of Different Plant Spaces in UGSs
4.2. Analysis of Plant Spatial Factors Affecting Soundscape Perception in UGSs
4.3. Limitations of the Study and Future Research
5. Conclusions
- (1)
- The perception of soundscapes in different types of plant spaces is mainly reflected by the degree of sound source dominance and sound source harmony. The perception of the three types of sound sources in open spaces was significantly different from that in other plant spaces. Furthermore, this study highlights the significant differences in sound source and soundscape perception between open and enclosed spaces. The differences were most noticeable in sound source perception, indicating that the design of green spaces has a significant impact on public soundscape perception. This conclusion reinforces the importance of considering the characteristics of the space when designing soundscape elements.
- (2)
- The study revealed a strong correlation between plant spatial characteristics and soundscape perception evaluation. Specifically, the degree of spatial enclosure of plants was found to be the factor most closely related to soundscape perception, as indicated by eight out of nine perception indicators. Moreover, the numbers and proportions of tree species and shrubs should be considered when planning. Plants can be used to create an appropriate enclosure space, but it is important to choose the right species. It is also important to maintain a proper scale. Research has shown a positive correlation, but the specific degree of enclosure has not been determined.
- (3)
- The spatial closeness of plants had an impact on all six perceptual indicators, while the number of tree species affected four perceptual indicators. Additionally, the average tree height had a significant effect on three perceptual indicators. The perception of sound sources and overall soundscapes can be affected by the degree of spatial enclosure, number of tree species, and average tree height. Therefore, it is important to consider the characteristics of the plant species in the soundscape when creating and regulating it. This conclusion confirms that soundscape creation should consider the spatial characteristics of the plant type. The improvement of soundscapes can be controlled by plants; for example, by increasing the number and frequency of biological sounds through plant enclosure. The influence of the sound source dominance degree can also be affected by plant enclosure.
Author Contributions
Funding
Data Availability Statement
Conflicts of Interest
References
- Chiesura, A. The role of urban parks for the sustainable city. Landsc. Urban Plan. 2004, 68, 129–138. [Google Scholar] [CrossRef]
- Coley, R.L.; Sullivan, W.C.; Kuo, F.E. Where does the community grow? The social context created by nature in urban public housing. Environ. Behav. 1997, 29, 468–494. [Google Scholar] [CrossRef]
- Tzoulas, K.; Korpela, K.; Venn, S.; Yli-Pelkonen, V.; Kazmierczak, A.; Niemela, J.; James, P. Promoting ecosystem and human health in urban areas using Green Infrastructure: A literature review. Landsc. Urban Plan. 2007, 81, 167–178. [Google Scholar] [CrossRef]
- Koprowska, K.; Aszkiewicz, E.; Kronenberg, J.; Marcińczak, S. Subjective perception of noise exposure in relation to urban green space availability. Urban For. Urban Green. 2018, 31, 93–102. [Google Scholar] [CrossRef]
- Kaplan, S. The Restorative Benefits of Nature: Toward an Integrative Framework. J. Environ. Psychol. 1995, 15, 169–182. [Google Scholar] [CrossRef]
- Berman, M.G.; Jonides, J.; Kaplan, S. The Cognitive Benefits of Interacting with Nature. Psychol. Sci. 2009, 19, 1207–1212. [Google Scholar] [CrossRef] [PubMed]
- Hedblom, M.; Gunnarsson, B.; Iravani, B.; Knez, I.; Schaefer, M.; Thorsson, P.; Lundström, J.N. Reduction of physiological stress by urban green space in a multisensory virtual experiment. Sci. Rep. 2019, 9, 10113. [Google Scholar] [CrossRef] [PubMed]
- Uebel, K.; Marselle, M.; Dean, A.J.; Rhodes, J.R.; Bonn, A. Urban green space soundscapes and their perceived restorativeness. People Nat. 2021, 3, 756–769. [Google Scholar] [CrossRef]
- Licitra, G. Good Practice Guide on Quiet Areas; European Environment Agency: Copenhagen, Denmark, 2014. [Google Scholar]
- Rey-Gozalo, G.; Barrigón Morillas, J.M.; Montes González, D.; Vílchez-Gómez, R. Influence of Green Areas on the Urban Sound Environment. Curr. Pollut. Rep. 2023, 9, 746–759. [Google Scholar] [CrossRef]
- Dzhambov, A.M.; Dimitrova, D.D. Green spaces and environmental noise perception. Urban For. Urban Green. 2015, 14, 1000–1008. [Google Scholar] [CrossRef]
- Silva, L.T.; Fonseca, F.; Pires, M.; Mendes, B. SAUS: A tool for preserving urban green areas from air pollution. Urban For. Urban Green. 2019, 46, 126440. [Google Scholar] [CrossRef]
- Aletta, F.; Kang, J. Soundscape approach integrating noise mapping techniques: A case study in Brighton, UK. Noise Mapp. 2015, 2. [Google Scholar] [CrossRef]
- Kang, J.; Aletta, F.; Gjestland, T.T.; Brown, L.A.; Lavia, L. Ten questions on the soundscapes of the built environment. Build. Environ. 2016, 108, 284–294. [Google Scholar] [CrossRef]
- Bertram, C.; Rehdanz, K. Preferences for cultural urban ecosystem services: Comparing attitudes, perception, and use. Ecosyst. Serv. 2015, 12, 187–199. [Google Scholar] [CrossRef]
- ISO 12913-1: 2014; Acoustics-Soundscape—Part 1: Definition and Conceptual Framework. International Organisation for Standardization: Geneva, Switzerlands, 2014.
- Aletta, F.; Kang, J.; Axelsson, S. Soundscape descriptors and a conceptual framework for developing predictive soundscape models. Landsc. Urban Plan. 2016, 149, 65–74. [Google Scholar] [CrossRef]
- He, M.; Li, J.; Li, J.; Chen, H. A comparative study on the effect of soundscape and landscape on tourism experience. Int. J. Tour. Res. 2019, 21, 11–22. [Google Scholar] [CrossRef]
- Song, X.; Lv, X.; Yu, D.; Wu, Q. Spatial-temporal change analysis of plant soundscapes and their design methods. Urban For. Urban Green. 2018, 29, 96–105. [Google Scholar] [CrossRef]
- Liu, A.; Liu, M.; Deng, Z.; Yao, C. Soundscape and its application in research of tourism geography: A new perspective. Geogr. Res. 2013, 32, 1132–1142. [Google Scholar] [CrossRef]
- Ren, X. Combined effects of dominant sounds, conversational speech and multisensory perception on visitors’ acoustic comfort in urban open spaces. Landsc. Urban Plan. 2023, 232, 104674. [Google Scholar] [CrossRef]
- Payne, S.R. The production of a Perceived Restorativeness Soundscape Scale. Appl. Acoust. 2013, 74, 255–263. [Google Scholar] [CrossRef]
- Oldoni, D.; De Coensel, B.; Boes, M.; Rademaker, M.L.; De Baets, B.; Van Renterghem, T.; Botteldooren, D. A computational model of auditory attention for use in soundscape research. J. Acoust. Soc. Am. 2013, 134, 852. [Google Scholar] [CrossRef] [PubMed]
- Siedenburg, K.; Mcadams, S. The role of long-term familiarity and attentional maintenance in short-term memory for timbre. Memory 2017, 25, 550–564. [Google Scholar] [CrossRef] [PubMed]
- Lavandier, C.; Defréville, B. The Contribution of Sound Source Characteristics in the Assessment of Urban Soundscapes. Acta Acust. United Acust. 2006, 92, 912–921. [Google Scholar]
- Nilsson, M.; Botteldooren, D.; Coensel, B.D. Acoustic indicators of soundscape quality and noise annoyance in out-door urban areas (invited paper). In Proceedings of the 19th International Congress on Acoustics, Madrid, Spain, 2–7 September 2007. [Google Scholar]
- Xiang, Y.; Meng, Q.; Zhang, X.; Li, M.; Yang, D.; Wu, Y. Soundscape diversity: Evaluation indices of the sound environment in urban green spaces—Effectiveness, role, and interpretation. Ecol. Indic. 2023, 154, 110725. [Google Scholar] [CrossRef]
- Pérez-Martínez, G.; Torija, A.J.; Ruiz, D.P. Soundscape assessment of a monumental place: A methodology based on the perception of dominant sounds. Landsc. Urban Plan. 2018, 169, 12–21. [Google Scholar] [CrossRef]
- Axelsson, S.; Nilsson, M.E.; Hellström, B.; Lundén, P. A field experiment on the impact of sounds from a jet-and-basin fountain on soundscape quality in an urban park. Landsc. Urban Plan. 2014, 123, 49–60. [Google Scholar] [CrossRef]
- Guo, X.; Liu, J.; Chen, Z.; Hong, X.-C. Harmonious Degree of Sound Sources Influencing Visiting Experience in Ku-langsu Scenic Area, China. Forests 2023, 14, 138. [Google Scholar] [CrossRef]
- Osgood, C.E. The nature and measurement of meaning. Psychol. Bull. 1952, 49, 197–237. [Google Scholar] [CrossRef]
- Torija, A.J.; Ruiz, D.P.; Ramos-Ridao, A.F. Application of a methodology for categorizing and differentiating urban soundscapes using acoustical descriptors and semantic-differential attributes. J. Acoust. Soc. Am. 2013, 134, 791–802. [Google Scholar] [CrossRef]
- Yang, M.; Kang, J. Psychoacoustical evaluation of natural and urban sounds in soundscapes. J. Acoust. Soc. Am. 2013, 134, 840–851. [Google Scholar] [CrossRef]
- Jo, H.I.; Jeon, J.Y. Urban soundscape categorization based on individual recognition, perception, and assessment of sound environments. Landsc. Urban Plan. 2021, 216, 104241. [Google Scholar] [CrossRef]
- Brown, A.L.; Kang, J.; Gjestland, T. Towards standardization in soundscape preference assessment. Appl. Acoust. 2011, 72, 387–392. [Google Scholar] [CrossRef]
- Karmele, H.P.; Igone, G.; Itxasne, D.; Alvaro, S.; Itziar, A. Analysis of Field Data to Describe the Effect of Context (Acoustic and Non-Acoustic Factors) on Urban Soundscapes. Appl. Sci. 2017, 7, 173. [Google Scholar] [CrossRef]
- Liu, J.; Kang, J.; Luo, T.; Behm, H. Landscape effects on soundscape experience in city parks. Sci. Total Environ. 2013, 454–455, 474–481. [Google Scholar] [CrossRef]
- Viollon, S.; Lavandier, C.; Drake, C. Influence of visual setting on sound ratings in an urban environment. Appl. Acoust. 2002, 63, 493–511. [Google Scholar] [CrossRef]
- Hong, J.Y.; Jeon, J.Y. Influence of urban contexts on soundscape perceptions: A structural equation modelling approach. Landsc. Urban Plan. 2015, 141, 78–87. [Google Scholar] [CrossRef]
- Nilsson, M.E.; Birgitta, B. Soundscape Quality in Suburban Green Areas and City Parks. Acta Acust. United Acust. 2006, 92, 903–911. [Google Scholar]
- Liu, J.; Kang, J.; Behm, H.; Luo, T. Effects of landscape on soundscape perception: Soundwalks in city parks. Landsc. Urban Plan. 2014, 123, 30–40. [Google Scholar] [CrossRef]
- Ge, J.; Hokao, K. Research on residential lifestyles in Japanese cities from the viewpoints of residential preference, residential choice and residential satisfaction. Landsc. Urban Plan. 2006, 78, 165–178. [Google Scholar] [CrossRef]
- Yang, W.; Kang, J. Soundscape and Sound Preferences in Urban Squares: A Case Study in Sheffield. J. Urban Des. 2005, 10, 61–80. [Google Scholar] [CrossRef]
- World Health Organization. Urban Green Spaces and Health; World Health Organization: Geneva, Switzerland, 2016. [Google Scholar]
- Kim, Y.H.; Hwang, I.H.; Hong, J.Y.; Lee, S.C. Effects of vegetation on the soundscape of an urban religious precinct: A case study of Myeong-dong cathedral in Seoul. Build. Environ. 2019, 155, 389–398. [Google Scholar] [CrossRef]
- Hong, X.; Liu, J.; Wang, G.; Jiang, Y.; Wu, S.; Lan, S. Factors influencing the harmonious degree of soundscapes in urban forests: A comparison of broad-leaved and coniferous forests. Urban For. Urban Green. 2019, 39, 18–25. [Google Scholar] [CrossRef]
- Kunert, N.; Schwendenmann, L.; Potvin, C.; Hölscher, D. Tree diversity enhances tree transpiration in a Panamanian forest plantation. J. Appl. Ecol. 2012, 49, 135–144. [Google Scholar] [CrossRef]
- Jeon, J.Y.; Hwang, I.H.; Hong, J.Y. Soundscape evaluation in a Catholic cathedral and Buddhist temple precincts through social surveys and soundwalks. J. Acoust. Soc. Am. 2014, 135, 1863–1874. [Google Scholar] [CrossRef] [PubMed]
- Farina, A.; Pieretti, N. Sonic environment and vegetation structure: A methodological approach for a soundscape analysis of a Mediterranean maqui. Ecol. Inform. 2014, 21, 120–132. [Google Scholar] [CrossRef]
- Hao, Z.; Wang, C.; Sun, Z.; van den Bosch, C.K.; Zhao, D.; Sun, B.; Xu, X.; Bian, Q.; Bai, Z.; Wei, K.; et al. Soundscape mapping for a spatial-temporal estimate of bird activities in urban forests. Urban For. Urban Green. 2021, 57, 126822. [Google Scholar] [CrossRef]
- Booth, N.K. Basic Elements of Landscape Architectural Design; Waveland Press: Long Grove, IL, USA, 1989. [Google Scholar]
- Liu, J.; Xiong, Y.; Wang, Y.; Luo, T. Soundscape effects on visiting experience in a city park: A case study in Fuzhou, China. Urban For. Urban Green. 2018, 31, 38–47. [Google Scholar] [CrossRef]
- Greenfield, M.L.; Kuhn, J.E.; Wojtys, E.M. A Statistics Primer: Correlation and Regression Analysis. Am. J. Sports Med. 1998, 26, 338–343. [Google Scholar] [CrossRef]
- Hiroshi, W. Applications of Statistics to Medical Science, III Correlation and Regression. J. Nippon Med. Sch. Nippon Ika Daigaku Zasshi 2012, 79, 115. [Google Scholar] [CrossRef]
- Luo, L.; Zhang, Q.; Mao, Y.; Peng, Y.; Wang, T.; Xu, J. A Study on the Soundscape Preferences of the Elderly in the Urban Forest Parks of Underdeveloped Cities in China. Forests 2023, 14, 1266. [Google Scholar] [CrossRef]
- Vuidot, A.; Paillet, Y.; Archaux, F.; Gosselin, F. Influence of tree characteristics and forest management on tree microhabitats. Biol. Conserv. 2011, 144, 441–450. [Google Scholar] [CrossRef]
- Hong, J.; Lam, B.; Ong, Z.T.; Ooi, K.; Tan, S.T. Effects of contexts in urban residential areas on the pleasantness and appropriateness of natural sounds. Sustain. Cities Soc. 2020, 63, 102475. [Google Scholar] [CrossRef]
- Jin, Y.; Jin, H.; Kang, J. Effects of sound types and sound levels on subjective environmental evaluations in different seasons. Build. Environ. 2020, 183, 107215. [Google Scholar] [CrossRef]
- Evans, K.; Newson, S.; Gaston, K. Habitat influences on urban avian assemblages. Ibis 2008, 151, 19–39. [Google Scholar] [CrossRef]
- Tyagi, V.; Kumar, K.; Jain, V.K. A study of the spectral characteristics of traffic noise attenuation by vegetation belts in Delhi. Appl. Acoust. 2006, 67, 926–935. [Google Scholar] [CrossRef]
- Van Renterghem, T. Towards explaining the positive effect of vegetation on the perception of environmental noise. Urban For. Urban Green. 2019, 40, 133–144. [Google Scholar] [CrossRef]
- Ow, L.F.; Ghosh, S. Urban cities and road traffic noise: Reduction through vegetation. Appl. Acoust. 2017, 120, 15–20. [Google Scholar] [CrossRef]
- Van Renterghem, T.; Botteldooren, D. View on outdoor vegetation reduces noise annoyance for dwellers near busy roads. Landsc. Urban Plan. 2016, 148, 203–215. [Google Scholar] [CrossRef]
- Ossola, A.; Hahs, A.K.; Nash, M.A.; Livesley, S.J. Habitat Complexity Enhances Comminution and Decomposition Processes in Urban Ecosystems. Ecosystems 2016, 19, 927–941. [Google Scholar] [CrossRef]
- Pavlik, J.; Pavlík, Š. Some relationships between human impact, vegetation, and birds in urban environments. Ekol. Bratisl. 2000, 19, 392–408. [Google Scholar] [CrossRef]
- Chiquet, C.; Dover, J.W.; Mitchell, P. Birds and the urban environment: The value of green walls. Urban Ecosyst. 2013, 16, 453–462. [Google Scholar] [CrossRef]
- Djekic, J.; Mitkovic, P.; Dinic-Brankovic, M.; Igic, M.; Đekić, P.S.; Mitkovic, M. The study of effects of greenery on temperature reduction in urban areas. Therm. Sci. 2018, 22, 988–1000. [Google Scholar] [CrossRef]
- Shahidan, M.F.; Jones, P.J.; Gwilliam, J.; Salleh, E. An evaluation of outdoor and building environment cooling was achieved through a combination modification of trees with ground materials. Build. Environ. 2012, 58, 245–257. [Google Scholar] [CrossRef]
- Liu, J.; Wang, Y.; Zimmer, C.; Kang, J.; Yu, T. Factors associated with soundscape experiences in urban green spaces: A case study in Rostock, Germany. Urban For. Urban Green. 2019, 37, 135–146. [Google Scholar] [CrossRef]
- Jeon, J.Y.; Jo, H.I. Effects of audio-visual interactions on soundscape and landscape perception and their influence on satisfaction with the urban environment. Build. Environ. 2020, 169, 106541–106544. [Google Scholar] [CrossRef]
- Leung, T.M.; Xu, J.M.; Chau, C.K.; Tang, S.K.; Pun-Cheng, L.S.C. The effects of neighbourhood views containing multiple environ-mental features on road traffic noise perception at dwellings. J. Acoust. Soc. Am. 2017, 141, 2399–2407. [Google Scholar] [CrossRef]
- Cook, D.I.; Haverbeke, D.F. Tree and Shrubs for Noise Abatement; Research Bulletin 246; University of Nebraska: Lincoln, NE, USA, 1971; pp. 241–246. [Google Scholar]
- Lebiedowska, B. Acoustic background and transport noise in urbanised areas: A note on the relative classification of the city soundscape. Transp. Res. Part D Transp. Environ. 2005, 10, 341–345. [Google Scholar] [CrossRef]
- Jeon, J.Y.; Hong, J.Y. Classification of urban park soundscapes through perceptions of the acoustical environments. Landsc. Urban Plan. 2015, 141, 100–111. [Google Scholar] [CrossRef]
- Shi, K. Study on the Influence of Landscape Greening on the Soundscape of Urban Public Open Space. Master’s Thesis, Harbin Institute of Technology, Harbin, China, 2017. [Google Scholar]



| Plant Space Type | Serial Number | Pictures of Sample Sites | Spatial Characterisation |
|---|---|---|---|
| Open space | V1 | ![]() | The space is open, the human line of sight can completely encompass the surrounding scenery of the plant space, no coverage limits, wide vision |
| Semi-open space | V2 | ![]() | The surrounding area is not fully open, more than two sides are limited by higher plant communities, blocking the overall penetration of the line of sight; i.e., one side of the line of sight is open, one side is blocked, obstructing the effect of the landscape |
| Perpendicular space | V3 | ![]() | Closed vertical planes, open top planes, low branching points, and small to medium-sized trees with compact crowns or high hedges are often used to emphasise the axial landscape |
| Covering space | V4 | ![]() | The view is not completely limited; people can walk through or stay in the understory, the space formed by the tall canopy, the dense foliage trees used as the cover, and the lawn base; the top is covered while it is open around the perimeter |
| Enclosed space | V5 | ![]() | Strong sense of privacy and isolation; use of trees, shrubs, ground cover, and other plants to create a sight limit around the perimeter; surrounded by the top surface of the plant enclosure; sheltered space |
| Type of Sound Source | Sound Source Name |
|---|---|
| Biological sound | The sounds of birds, insects, frogs, cicadas |
| Human activity sound | The sounds of talking, footsteps, singing, entertainment, fitness activities, tourists playing |
| Mechanical sound | The sounds of musical instruments, the radio, radio music, mobile phone ringtones, electronic equipment, construction, alarms, traffic noise |
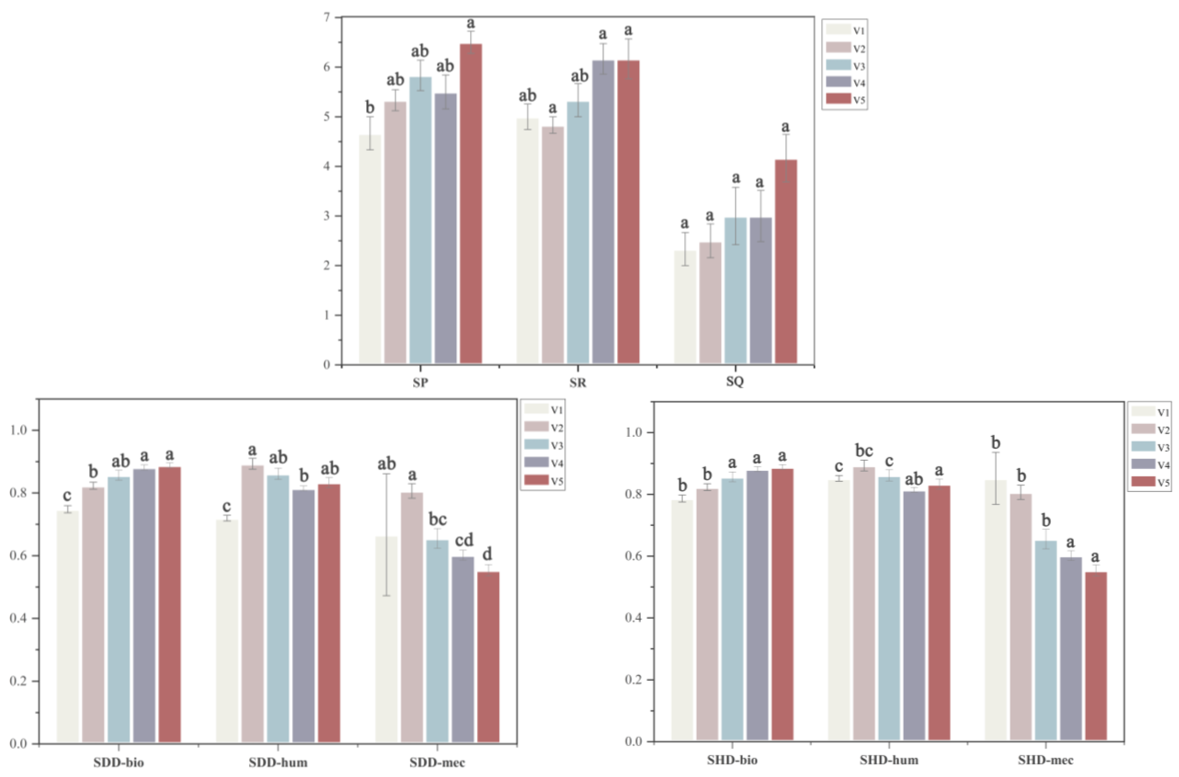
| Spatial Type | Mean Value | Standard Deviation | Standard Error | F | Sig | |
|---|---|---|---|---|---|---|
| SDD-bio | V1 | 0.748 | 0.028 | 0.011 | 25.56 | <0.001 *** |
| V2 | 0.823 | 0.027 | 0.011 | |||
| V3 | 0.857 | 0.039 | 0.016 | |||
| V4 | 0.882 | 0.019 | 0.008 | |||
| V5 | 0.888 | 0.019 | 0.008 | |||
| SDD-hum | V1 | 0.720 | 0.023 | 0.009 | 20.485 | <0.001 *** |
| V2 | 0.893 | 0.043 | 0.017 | |||
| V3 | 0.862 | 0.044 | 0.018 | |||
| V4 | 0.815 | 0.019 | 0.008 | |||
| V5 | 0.833 | 0.040 | 0.016 | |||
| SDD-mec | V1 | 0.738 | 0.043 | 0.017 | 21.801 | <0.001 *** |
| V2 | 0.807 | 0.056 | 0.023 | |||
| V3 | 0.655 | 0.077 | 0.031 | |||
| V4 | 0.602 | 0.039 | 0.016 | |||
| V5 | 0.553 | 0.044 | 0.018 | |||
| SHD-bio | V1 | 0.787 | 0.019 | 0.008 | 26.654 | <0.001 *** |
| V2 | 0.820 | 0.037 | 0.015 | |||
| V3 | 0.925 | 0.037 | 0.015 | |||
| V4 | 0.903 | 0.020 | 0.008 | |||
| V5 | 0.920 | 0.032 | 0.013 | |||
| SHD-hum | V1 | 0.852 | 0.028 | 0.011 | 11.851 | <0.001 *** |
| V2 | 0.858 | 0.035 | 0.014 | |||
| V3 | 0.830 | 0.030 | 0.012 | |||
| V4 | 0.907 | 0.014 | 0.006 | |||
| V5 | 0.928 | 0.033 | 0.014 | |||
| SHD-mec | V1 | 0.828 | 0.043 | 0.018 | 8.244 | <0.001 *** |
| V2 | 0.842 | 0.056 | 0.023 | |||
| V3 | 0.847 | 0.054 | 0.022 | |||
| V4 | 0.932 | 0.035 | 0.014 | |||
| V5 | 0.935 | 0.029 | 0.012 | |||
| SP | V1 | 4.670 | 0.816 | 0.333 | 5.433 | 0.003 ** |
| V2 | 5.330 | 0.516 | 0.211 | |||
| V3 | 5.830 | 0.753 | 0.307 | |||
| V4 | 5.500 | 0.837 | 0.342 | |||
| V5 | 6.500 | 0.548 | 0.224 | |||
| SR | V1 | 5.000 | 0.632 | 0.258 | 4.367 | 0.008 ** |
| V2 | 4.830 | 0.408 | 0.167 | |||
| V3 | 5.330 | 0.816 | 0.333 | |||
| V4 | 6.170 | 0.753 | 0.307 | |||
| V5 | 6.170 | 0.983 | 0.401 | |||
| SQ | V1 | 2.330 | 0.816 | 0.333 | 2.434 | 0.074 |
| V2 | 2.500 | 0.837 | 0.342 | |||
| V3 | 3.000 | 1.414 | 0.577 | |||
| V4 | 3.000 | 1.265 | 0.516 | |||
| V5 | 4.170 | 1.169 | 0.477 |
| Dependent Variable | Independent Variable | Standardized Coefficient | t | p | Collinearity Diagnostics | R2 | |
|---|---|---|---|---|---|---|---|
| Beta | VIF | F | |||||
| SDD-bio | Constant | - | 43.604 | 0.000 ** | - | - | |
| Degree of enclosure | 0.833 | 7.976 | 0.000 ** | 1.000 | p = 0.000 | 0.683 | |
| SDD-hum | Constant | - | 12.074 | 0.000 ** | - | - | - |
| Degree of enclosure | 0.532 | 3.601 | 0.001 ** | 1.016 | p = 0.001 | 0.376 | |
| Average tree height | −0.442 | −2.991 | 0.006 ** | 1.062 | p = 0.001 | 0.376 | |
| SDD-mec | Constant | - | 8.962 | 0.000 ** | - | - | - |
| Degree of enclosure | −0.570 | −3.996 | 0.000 ** | 1.016 | p = 0.000 | 0.420 | |
| Average tree height | −0.303 | −2.125 | 0.043 * | 1.016 | p = 0.000 | 0.420 | |
| SHD-bio | Constant | - | 44.399 | 0.000 ** | - | - | - |
| Degree of enclosure | 0.866 | 9.173 | 0.000 ** | 1.000 | p = 0.000 | 0.741 | |
| SHD-hum | Constant | - | 40.492 | 0.000 ** | - | - | - |
| Tree species | 0.488 | 2.961 | 0.006 ** | 1.000 | p = 0.006 | 0.211 | |
| SHD-mec | Constant | 8.914 | 8.962 | 0.000 ** | - | - | - |
| Average tree height | 2.074 | −3.996 | 0.048 * | 1.042 | p = 0.000 | 0.390 | |
| Tree species | 3.534 | −2.125 | 0.001 ** | 1.042 | p = 0.000 | 0.390 | |
| SP | Constant | - | 11.518 | 0.000 ** | - | - | - |
| Degree of enclosure | 0.626 | 4.246 | 0.000 ** | 1.000 | p = 0.000 | 0.222 | |
| SR | Constant | - | 11.130 | 0.000 ** | - | - | - |
| Tree species | 0.485 | 2.931 | 0.007 ** | 1.000 | p = 0.007 | 0.235 | |
| SQ | Constant | - | 2.547 | 0.017 * | - | - | - |
| Tree species | 0.550 | 3.482 | 0.002 ** | 1.000 | p = 0.002 | 0.370 | |
Disclaimer/Publisher’s Note: The statements, opinions and data contained in all publications are solely those of the individual author(s) and contributor(s) and not of MDPI and/or the editor(s). MDPI and/or the editor(s) disclaim responsibility for any injury to people or property resulting from any ideas, methods, instructions or products referred to in the content. |
© 2024 by the authors. Licensee MDPI, Basel, Switzerland. This article is an open access article distributed under the terms and conditions of the Creative Commons Attribution (CC BY) license (https://creativecommons.org/licenses/by/4.0/).
Share and Cite
Liu, J.; Liu, F.; Tong, H.; Wang, X.; Dong, J.; Wang, M. Differences in Soundscape Perception of Plants Space in Urban Green Space and the Influence of Factors: The Case of Fuzhou, China. Forests 2024, 15, 417. https://doi.org/10.3390/f15030417
Liu J, Liu F, Tong H, Wang X, Dong J, Wang M. Differences in Soundscape Perception of Plants Space in Urban Green Space and the Influence of Factors: The Case of Fuzhou, China. Forests. 2024; 15(3):417. https://doi.org/10.3390/f15030417
Chicago/Turabian StyleLiu, Jing, Fan Liu, Huanran Tong, Xiaoying Wang, Jianwen Dong, and Minhua Wang. 2024. "Differences in Soundscape Perception of Plants Space in Urban Green Space and the Influence of Factors: The Case of Fuzhou, China" Forests 15, no. 3: 417. https://doi.org/10.3390/f15030417
APA StyleLiu, J., Liu, F., Tong, H., Wang, X., Dong, J., & Wang, M. (2024). Differences in Soundscape Perception of Plants Space in Urban Green Space and the Influence of Factors: The Case of Fuzhou, China. Forests, 15(3), 417. https://doi.org/10.3390/f15030417






