Effect of Hydrothermal Treatment on the Mechanical and Microscopic Properties of Moso Bamboo
Abstract
1. Introduction
2. Materials and Methods
2.1. Materials
2.2. Hydrothermal Treatment Processes
2.3. Characterizations
2.3.1. Colour Measurement
2.3.2. Mechanical Performance
2.3.3. Nanoindentation
2.3.4. XRD
2.3.5. SEM
2.3.6. FTIR
2.3.7. Chemical Compositions
2.4. Spss Analysis
3. Results and Discussions
3.1. Analysis of Variation of Bamboo Colour
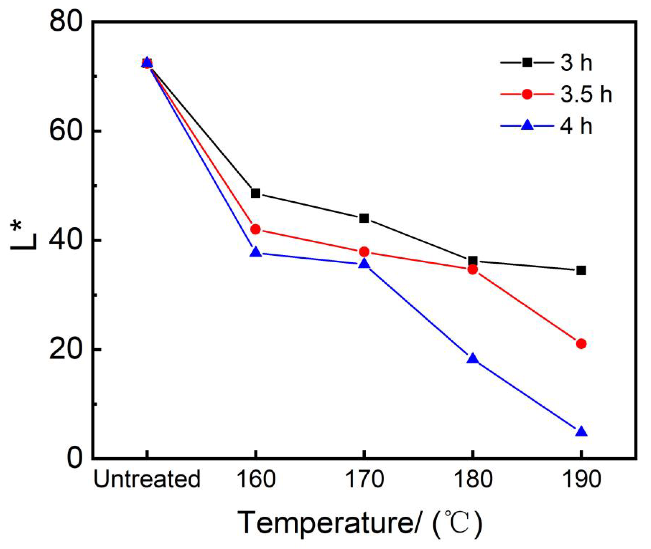
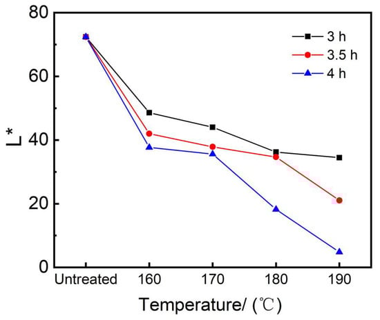
3.1.1. Effect of Hydrothermal Treatment on the Brightness of Bamboo
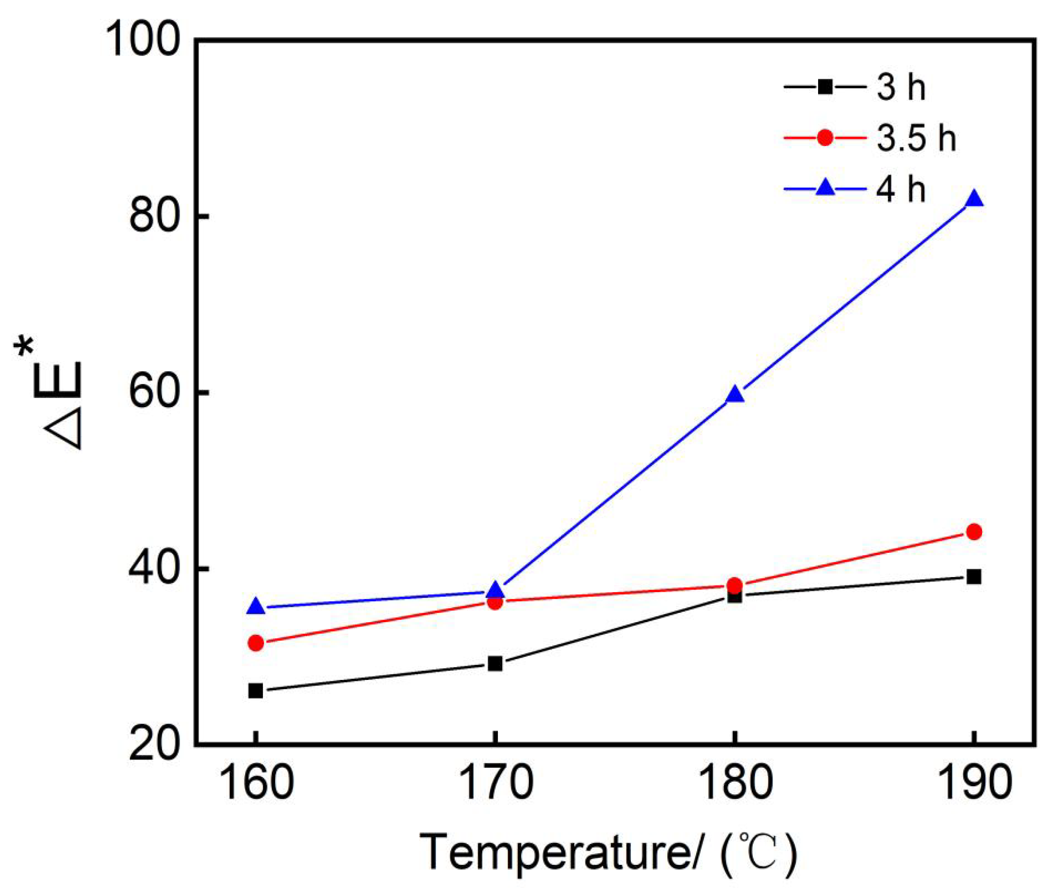
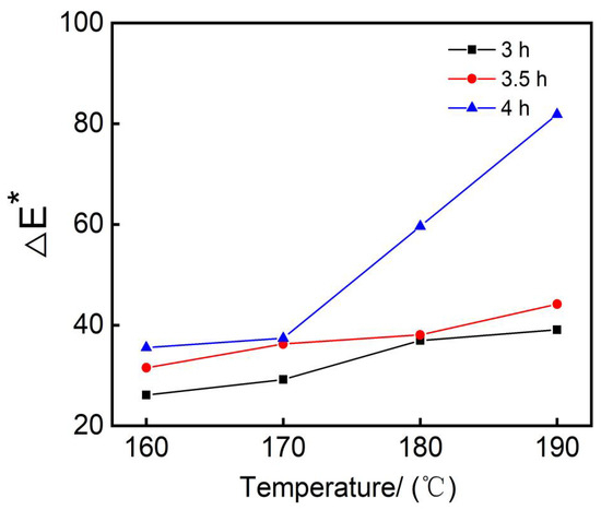
3.1.2. Effect of Hydrothermal Treatment on the Overall Colour Difference of Bamboo
3.2. Spss Analysis
3.3. Effect of Hydrothermal Treatment on the Mechanical Properties of Bamboo Wood
3.3.1. Effect of Hydrothermal Treatment on the Hardness of Bamboo Wood
3.3.2. Effect of Hydrothermal Treatment on Flexural Modulus of Elasticity and Flexural Strength of Bamboo Wood
3.4. Effect of Hydrothermal Treatment on XRD Properties
3.5. Effect of Hydrothermal Treatment on the Micro-Morphology of Bamboo Wood
3.6. Effect of Hydrothermal Treatment on the Infrared Spectral Properties of Bamboo Materials
3.7. Effect of Hydrothermal Treatment on Nanomechanical Properties of Bamboo Materials
3.8. Effect of Hydrothermal Treatment on Chemical Compositions of Bamboo Materials
4. Conclusions
- (1)
- Hydrothermal treatment had a strong softening effect on bamboo. The bamboo hardness decreased with the increase in softening temperature and the extension of softening time. The softening effect was most pronounced at 180 °C and 3 h, and the hardness decreased up to 47%. The flexural strength and flexural elastic modulus of bamboo showed a tendency to increase and then decrease with an increase in temperature, and a tendency to decrease with time. Under the condition of 180 °C and 3 h treatment, the flexural strength decreased by up to 41%, and the flexural elastic modulus decreased by up to 17%.
- (2)
- Under hydrothermal treatment, with increasing temperature and prolonged time, the colour of the bamboo material changed from bright yellow to dark brown. The brightness showed a decreasing trend, which could decrease by up to 93%, and the overall colour difference increased.
- (3)
- With the increase in hydrothermal treatment temperature, the crystallinity of bamboo material first increased and then decreased. The infrared spectra of hydrothermally treated bamboo material showed that the hydrothermal treatment had no effect on the characteristic peaks of cellulose. It resulted in changes in the characteristic peaks of hemicellulose and lignin. The cell structure produced part of the cracks, and the starch completely disappeared.
- (4)
- The hardness and modulus of elasticity of the thin-walled bamboo cells first increased and then decreased with increasing treatment temperature. At 190 °C, the modulus of elasticity and hardness decreased, with the modulus of elasticity decreasing up to 52% and the hardness decreasing up to 59%.
- (5)
- With the increase in hydrothermal treatment temperature and the extension of time, the cellulose content slowly decreases, the hemicellulose content significantly decreases, and the lignin content increases.
Author Contributions
Funding
Data Availability Statement
Conflicts of Interest
References
- Dlamini, L.C.; Fakudze, S.; Makombe, G.G.; Muse, S.; Zhu, J. Bamboo as a valuable resource and its utilization in historical and modern-day China. BioResources 2021, 17, 1926–1938. [Google Scholar] [CrossRef]
- Liu, M.; Li, W.; Guo, F.; Wang, H.; Zhang, X.; Yu, Y. Dimensionally stable and highly durable bamboo material prepared through a simple surface furfurylation. Constr. Build. Mater. 2021, 276, 122156. [Google Scholar] [CrossRef]
- Chen, H.; Zhang, W.; Wang, X.; Wang, H.; Wu, Y.; Zhong, T.; Fei, B. Effect of alkali treatment on wettability and thermal stability of individual bamboo fibers. J. Wood Sci. 2018, 64, 398–405. [Google Scholar] [CrossRef]
- Chen, H.; Wu, J.; Shi, J.; Wang, G.; Zhang, W. Dimensional stability and mold resistance of bamboo slivers treated by alkali. BioResources 2022, 17, 2827–2848. [Google Scholar] [CrossRef]
- Yuan, T.; Han, X.; Wu, Y.; Hu, S.; Wang, X.; Li, Y. A new approach for fabricating crack-free, flattened bamboo board and the study of its macro-/micro-properties. Eur. J. Wood Wood Prod. 2021, 79, 1531–1540. [Google Scholar] [CrossRef]
- Lee, C.-J.; Chung, M.-J. Effects of Bamboo Species, Steam-heating Treatment, and Adhesives on Mechanical Properties and Dimensional Stability of Oriented Bamboo Scrimber Boards. BioResources 2020, 15, 5342–5354. [Google Scholar] [CrossRef]
- Stefanidou, M.; Kamperidou, V.; Konstantinidis, A.; Koltsou, P.; Papadopoulos, S. Use of Posidonia oceanica fibres in lime mortars. Constr. Build. Mater. 2021, 298, 123881. [Google Scholar] [CrossRef]
- Guan, M.; Zhou, M.; Yong, C. Antimold Effect of Ultrasonic Treatment on Chinese Moso Bamboo. For. Prod. J. 2013, 63, 288–291. [Google Scholar] [CrossRef]
- Zhang, Y.; Zhang, X.; Yu, Y.; Che, W.; Zhang, X.; Hou, J. Evaluating the comprehensive influences of heat treatment and polydimethylsiloxane on integrated performance of bamboo timber. RSC Adv. 2020, 10, 43438–43446. [Google Scholar] [CrossRef] [PubMed]
- Saghi, M.H.; Mohammadi, A.A.; Ghaderpoori, M.; Ghaderpoury, A.; Alinejad, A. Estimate the effective dose of gamma radiation in Iran cities: Lifetime cancer risk by Monte Carlo simulation model. Environ. Geochem. Health 2019, 41, 2549–2558. [Google Scholar] [CrossRef]
- Ma, X.J.; Cao, S.L.; Lin, L.; Luo, X.L.; Hu, H.C.; Chen, L.H.; Huang, L.L. Hydrothermal pretreatment of bamboo and cellulose degradation. Bioresour. Technol. 2013, 148, 408–413. [Google Scholar] [CrossRef] [PubMed]
- Li, X.; Peng, H.; Niu, S.; Liu, X.; Li, Y. Effect of High-Temperature Hydrothermal Treatment on Chemical, Mechanical, Physical, and Surface Properties of Moso Bamboo. Forests 2022, 13, 712. [Google Scholar] [CrossRef]
- Liu, P.; Zhou, Q.; Fu, F.; Li, W. Effect of Bamboo Nodes on the Mechanical Properties of P. edulis (Phyllostachys edulis) Bamboo. Forests 2021, 12, 1309. [Google Scholar] [CrossRef]
- Yao, C.; Yongming, F.; Jianmin, G.; Houkun, L. Coloring characteristics of in situ lignin during heat treatment. Wood Sci. Technol. 2010, 46, 33–40. [Google Scholar] [CrossRef]
- Kacikova, D.; Kacik, F.; Cabalova, I.; Durkovic, J. Effects of thermal treatment on chemical, mechanical and colour traits in Norway spruce wood. Bioresour. Technol. 2013, 144, 669–674. [Google Scholar] [CrossRef] [PubMed]
- Kesarev, A.G.; Kondratyev, V.V.; Lomaev, I.L. The Theory of Diffusion Zone Formation during Surface Modification of Materials with Allowance for the Thermodiffusion Effects. Phys. Met. Metallogr. 2021, 122, 134–140. [Google Scholar] [CrossRef]
- Chung, M.J.; Cheng, S.S.; Lee, C.J.; Chang, S.T. Dyeing treatments for protecting colour and colour fastness of green bamboo culms. Color. Technol. 2017, 133, 305–311. [Google Scholar] [CrossRef]
- Zhang, Y.M.; Yu, Y.L.; Yu, W.J. Effect of thermal treatment on the physical and mechanical properties of phyllostachys pubescen bamboo. Eur. J. Wood Wood Prod. 2012, 71, 61–67. [Google Scholar] [CrossRef]
- Yu, H.; Zheng, H.; Zhan, M.; Zhang, W.; Wang, J.; Pan, X.; Zhuang, X.-W. Surface characterization and biodegradability of sodium hydroxide-treated Moso bamboo substrates. Eur. J. Wood Wood Prod. 2020, 79, 443–451. [Google Scholar] [CrossRef]
- Li, X.; Ye, H.; Han, S.; Li, M.; Lin, H.; Wang, G. Effects of bamboo nodes on mechanical properties of thin-type bamboo bundle laminated veneer lumber (BLVL): From anatomical structure to penetration mechanism. Ind. Crops Prod. 2023, 203, 117119. [Google Scholar] [CrossRef]
- Li, Y.; Jiang, L.; Xiong, C.; Peng, W. Effect of Different Surface Treatment for Bamboo Fiber on the Crystallization Behavior and Mechanical Property of Bamboo Fiber/Nanohydroxyapatite/Poly(lactic-co-glycolic) Composite. Ind. Eng. Chem. Res. 2015, 54, 12017–12024. [Google Scholar] [CrossRef]
- Yuan, J.; Chen, Q.; Fei, B. Investigation of the water vapor sorption behavior of bamboo fibers with different sizes. Eur. J. Wood Wood Prod. 2021, 79, 1131–1139. [Google Scholar] [CrossRef]
- Zhu, R.; Zhang, Y.; Yu, W. Changes in the Chemical Properties of Phyllostachys iridescens Bamboo with Steam Treatment. BioResources 2015, 10, 5987–5993. [Google Scholar] [CrossRef]
- Liu, J.; Zhang, H.; Chrusciel, L.; Na, B.; Lu, X. Study on a bamboo stressed flattening process. Eur. J. Wood Wood Prod. 2013, 71, 291–296. [Google Scholar] [CrossRef]
- Li, Z.; Chen, C.; Mi, R.; Gan, W.; Dai, J.; Jiao, M.; Xie, H.; Yao, Y.; Xiao, S.; Hu, L. A Strong, Tough, and Scalable Structural Material from Fast-Growing Bamboo. Adv. Mater. 2020, 32, e1906308. [Google Scholar] [CrossRef]
- Wang, X.; Shan, S.; Shi, S.Q.; Zhang, Y.; Cai, L.; Smith, L.M. Optically Transparent Bamboo with High Strength and Low Thermal Conductivity. ACS Appl. Mater. Interfaces 2020, 13, 1662–1669. [Google Scholar] [CrossRef]
- Chen, H.; Zhang, Y.; Yang, X.; Ji, H.; Zhong, T.; Wang, G. A comparative study of the microstructure and water permeability between flattened bamboo and bamboo culm. J. Wood Sci. 2019, 65, 64. [Google Scholar] [CrossRef]
- Windeisen, E.; Strobel, C.; Wegener, G. Chemical changes during the production of thermo-treated beech wood. Wood Sci. Technol. 2007, 41, 523–536. [Google Scholar] [CrossRef]
- Altgen, M.; Hofmann, T.; Militz, H. Wood moisture content during the thermal modification process affects the improvement in hygroscopicity of Scots pine sapwood. Wood Sci. Technol. 2016, 50, 1181–1195. [Google Scholar] [CrossRef]
- Huang, C.; Lin, W.; Lai, C.; Li, X.; Jin, Y.; Yong, Q. Coupling the post-extraction process to remove residual lignin and alter the recalcitrant structures for improving the enzymatic digestibility of acid-pretreated bamboo residues. Bioresour. Technol. 2019, 285, 121355. [Google Scholar] [CrossRef]
- Lee, C.-H.; Yang, T.-H.; Cheng, Y.-W.; Lee, C.-J. Effects of thermal modification on the surface and chemical properties of moso bamboo. Constr. Build. Mater. 2018, 178, 59–71. [Google Scholar] [CrossRef]
- Dai, L.; He, C.; Wang, Y.; Liu, Y.; Yu, Z.; Zhou, Y.; Fan, L.; Duan, D.; Ruan, R. Comparative study on microwave and conventional hydrothermal pretreatment of bamboo sawdust: Hydrochar properties and its pyrolysis behaviors. Energy Convers. Manag. 2017, 146, 1–7. [Google Scholar] [CrossRef]
- Wu, Y.; Yang, L.; Zhou, J.; Yang, F.; Huang, Q.; Cai, Y. Softened Wood Treated by Deep Eutectic Solvents. ACS Omega 2020, 5, 22163–22170. [Google Scholar] [CrossRef] [PubMed]
- Yang, T.-H.; Lee, C.-H.; Lee, C.-J.; Cheng, Y.-W. Effects of different thermal modification media on physical and mechanical properties of moso bamboo. Constr. Build. Mater. 2016, 119, 251–259. [Google Scholar] [CrossRef]
- Li, J.; Su, M.; Wang, A.; Wu, Z.; Chen, Y.; Qin, D.; Jiang, Z. In Situ Formation of Ag Nanoparticles in Mesoporous TiO2 Films Decorated on Bamboo via Self-Sacrificing Reduction to Synthesize Nanocomposites with Efficient Antifungal Activity. Int. J. Mol. Sci. 2019, 20, 5497. [Google Scholar] [CrossRef] [PubMed]
- Jiang, W.J.; Gu, L.; Li, L.; Zhang, Y.; Zhang, X.; Zhang, L.J.; Wang, J.Q.; Hu, J.S.; Wei, Z.; Wan, L.J. Understanding the High Activity of Fe-N-C Electrocatalysts in Oxygen Reduction: Fe/Fe3C Nanoparticles Boost the Activity of Fe-Nx. J. Am. Chem. Soc. 2016, 138, 3570–3578. [Google Scholar] [CrossRef] [PubMed]
- Chen, M.; Ye, L.; Wang, G.; Ma, X.; Chen, Q.; Fang, C.; Fei, B.; Dai, C. In-situ investigation of deformation behaviors of moso bamboo cells pertaining to flexural ductility. Cellulose 2020, 27, 9623–9635. [Google Scholar] [CrossRef]
- Yuan, T.; Liu, X.; Dong, Y.; Wang, X.; Li, Y. Determination of the Effects of Superheated Steam on Microstructure and Micromechanical Properties of Bamboo Cell Walls Using Quasi-Static Nanoindentation. Forests 2021, 12, 1742. [Google Scholar] [CrossRef]
- Yang, L.; Lou, Z.; Han, X.; Liu, J.; Wang, Z.; Zhang, Y.; Wu, X.; Yuan, C.; Li, Y. Fabrication of a novel magnetic reconstituted bamboo with mildew resistance properties. Mater. Today Commun. 2020, 23, 101086. [Google Scholar] [CrossRef]
- Wang, K.; Dong, Y.; Ling, Z.; Liu, X.; Shi, S.Q.; Li, J. Transparent wood developed by introducing epoxy vitrimers into a delignified wood template. Compos. Sci. Technol. 2021, 207, 108690. [Google Scholar] [CrossRef]
- Chen, H.; Wu, J.; Shi, J.; Zhang, W.; Wang, H. Effect of alkali treatment on microstructure and thermal stability of parenchyma cell compared with bamboo fiber. Ind. Crops Prod. 2021, 164, 113380. [Google Scholar] [CrossRef]










| L* | a* | b* | △L* | △a* | △b* | △E* | |
|---|---|---|---|---|---|---|---|
| Control | 72.39 | 8.42 | 21.02 | ||||
| 160 °C 3 h | 48.61 | 14.72 | 23.7 | −23.78 | 6.3 | 2.68 | 24.75 |
| 160 °C 3.5 h | 41.99 | 16.72 | 21.21 | −30.4 | 8.3 | 0.19 | 31.51 |
| 160 °C 4 h | 37.66 | 15.16 | 17.83 | −34.73 | 6.74 | −3.19 | 35.52 |
| 170 °C 3 h | 44.02 | 19.11 | 22.35 | −28.37 | 10.69 | 1.33 | 30.35 |
| 170 °C 3.5 h | 37.87 | 12.67 | 10.83 | −34.52 | 4.25 | −10.19 | 36.24 |
| 170 °C 4 h | 35.6 | 14.78 | 18.59 | −36.79 | 6.36 | −2.43 | 37.41 |
| 180 °C 3 h | 36.23 | 10.24 | 13.78 | −36.16 | 1.82 | −7.24 | 36.92 |
| 180 °C 3.5 h | 34.66 | 13.41 | 20.84 | −37.73 | 4.99 | −0.18 | 38.06 |
| 180 °C 4 h | 18.23 | 21.48 | −0.25 | −54.16 | 13.06 | −21.27 | 59.63 |
| 190 °C 3 h | 34.48 | 8.11 | 11.56 | −37.91 | −0.31 | −9.46 | 39.07 |
| 190 °C 3.5 h | 21.02 | 18.17 | −3 | −51.37 | 9.75 | −24.02 | 44.14 |
| 190 °C 4 h | 4.8 | 28.18 | −20.72 | −67.59 | 19.76 | −41.74 | 81.86 |
| Sources of Divergence | Sum of Squares | Degree of Freedom | Mean Square | F | p-Value |
|---|---|---|---|---|---|
| Intercept | 56,052.93 | 1 | 56,052.93 | 16,4261.7 | 0.000 |
| Temperature | 2793.16 | 3 | 931.053 | 2728.428 | 0.000 |
| Time | 1702.276 | 2 | 851.138 | 2494.239 | 0.000 |
| Temperature × Time | 515.644 | 6 | 85.941 | 251.847 | 0.000 |
| Error | 8.19 | 24 | 0.341 | ||
| Total | 61,072.2 | 36 |
| Sources of Divergence | Sum of Squares | Degree of Freedom | Mean Square | F | p-Value |
|---|---|---|---|---|---|
| Intercept | 61,370.153 | 1 | 61,370.153 | 57,6155.4 | 0.000 |
| Temperature | 3237.373 | 3 | 1079.124 | 10,131.04 | 0.000 |
| Time | 2863.992 | 2 | 1431.996 | 13,443.87 | 0.000 |
| Temperature × Time | 1661.479 | 6 | 276.913 | 2599.717 | 0.000 |
| Error | 2.556 | 24 | 0.107 | ||
| Total | 69,135.553 | 36 |
| Processing Temperature (°C) | Processing Time (h) | Crystallinity (%) | |
|---|---|---|---|
| 1 | Untreated | None | 53.91 |
| 2 | 160 | 3 | 54.86 |
| 3 | 170 | 3 | 55.13 |
| 4 | 180 | 3 | 51.02 |
| 5 | 190 | 3 | 50.11 |
Disclaimer/Publisher’s Note: The statements, opinions and data contained in all publications are solely those of the individual author(s) and contributor(s) and not of MDPI and/or the editor(s). MDPI and/or the editor(s) disclaim responsibility for any injury to people or property resulting from any ideas, methods, instructions or products referred to in the content. |
© 2024 by the authors. Licensee MDPI, Basel, Switzerland. This article is an open access article distributed under the terms and conditions of the Creative Commons Attribution (CC BY) license (https://creativecommons.org/licenses/by/4.0/).
Share and Cite
Gu, W.; Zhang, W.; Tao, H.; Bao, M.; Li, Y.; Lin, F.; Zheng, Y.; Zhao, S. Effect of Hydrothermal Treatment on the Mechanical and Microscopic Properties of Moso Bamboo. Forests 2024, 15, 281. https://doi.org/10.3390/f15020281
Gu W, Zhang W, Tao H, Bao M, Li Y, Lin F, Zheng Y, Zhao S. Effect of Hydrothermal Treatment on the Mechanical and Microscopic Properties of Moso Bamboo. Forests. 2024; 15(2):281. https://doi.org/10.3390/f15020281
Chicago/Turabian StyleGu, Weijie, Weigang Zhang, Hui Tao, Minzhen Bao, Yanjun Li, Feng Lin, Yixuan Zheng, and Shichao Zhao. 2024. "Effect of Hydrothermal Treatment on the Mechanical and Microscopic Properties of Moso Bamboo" Forests 15, no. 2: 281. https://doi.org/10.3390/f15020281
APA StyleGu, W., Zhang, W., Tao, H., Bao, M., Li, Y., Lin, F., Zheng, Y., & Zhao, S. (2024). Effect of Hydrothermal Treatment on the Mechanical and Microscopic Properties of Moso Bamboo. Forests, 15(2), 281. https://doi.org/10.3390/f15020281

