Potential Reductions in Carbon Emissions from Indonesian Forest Concessions Through Use of Reduced-Impact Logging Practices
Abstract
1. Introduction
2. Materials and Methods
2.1. Study Sites and Sampling Methods
2.2. Calculation of Carbon Emissions
2.3. Baseline Estimation and Potential Emission Reductions
2.4. Calculation of Potential RIL-C Contributions to Indonesia’s NDC 2030 Target
2.5. Statistical Analyses
3. Results
3.1. Carbon Emissions from Indonesian Forest Concessions
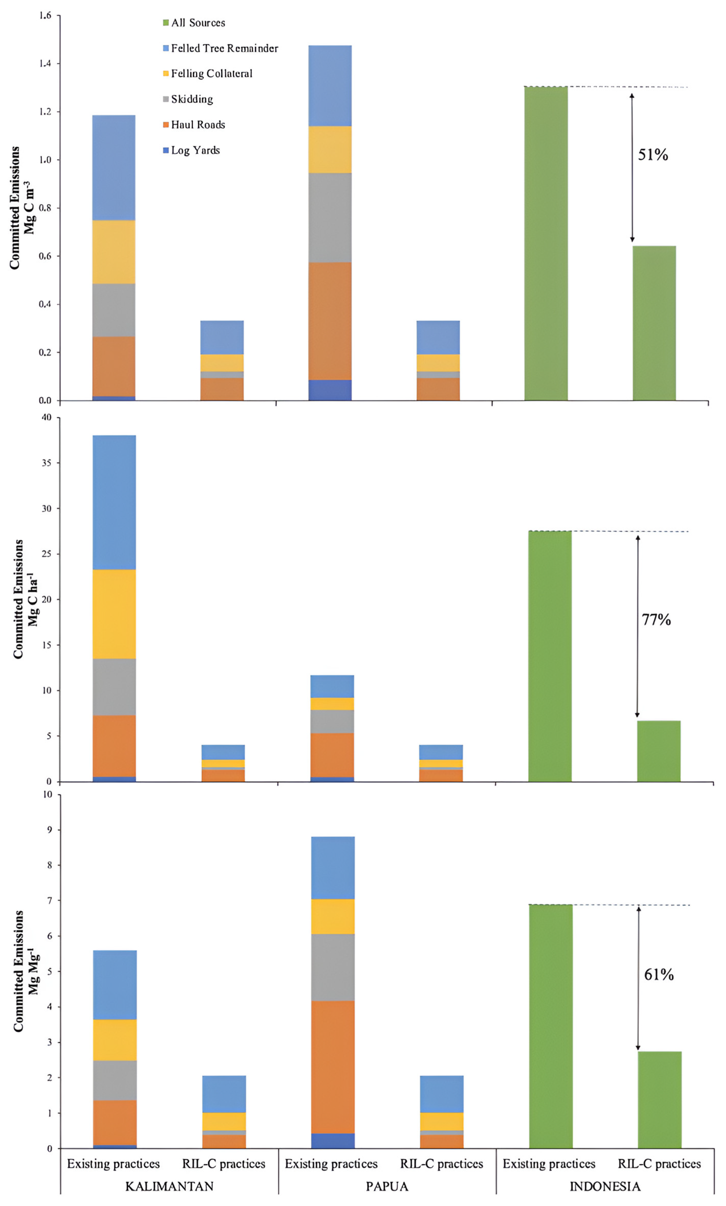
3.2. Potential Emission Reductions from RIL-C
3.3. Effect of Harvest Intensity on Logging Emissions
3.4. Emissions from Skidding Versus Haul Road Construction
3.5. Other Factors That Could Affect Carbon Emissions
3.6. Potential RIL-C Contribution to Indonesia’s Achievement of Its NDC for 2030
4. Discussion
4.1. Carbon Emissions from Indonesian Natural Forest Concessions
4.1.1. Emissions from Kalimantan Versus Papuan Concessions
4.1.2. Emissions of FSC vs. Non-FSC Certified Concessions
4.1.3. Comparison of Logging Emissions in 2010–2012 and 2020
4.1.4. Slope Effect on Carbon Emissions
4.1.5. Emissions from Previously Logged Areas
4.2. Other Potential Emission Reductions
4.3. Comparisons with Other Studies on Logging Emissions
4.4. Implications for Indonesia’s Achievement of Its NDC
5. Conclusions
Author Contributions
Funding
Data Availability Statement
Acknowledgments
Conflicts of Interest
References
- UNFCCC. Aggregate Effect of the Intended Nationally Determined Contributions: An Update; UNFCCC: New York, NY, USA, 2016. [Google Scholar]
- UNFCCC. Paris Agreement; UNFCCC: New York, NY, USA, 2015. [Google Scholar]
- Griscom, B.W.; Adams, J.; Ellis, P.W.; Houghton, R.A.; Lomax, G.; Miteva, D.A.; Schlesinger, W.H.; Shoch, D.; Siikamäki, J.V.; Smith, P.; et al. Natural climate solutions. Proc. Natl. Acad. Sci. USA 2017, 114, 11645–11650. [Google Scholar] [CrossRef] [PubMed]
- Ministry of Environment and Forestry Republic of Indonesia. The State of Indonesia’s Forests 2022: Toward FOLU Net Sink 2030; Ministry of Environment and Forestry, Republic of Indonesia: Jakarta, Indonesia, 2022. [Google Scholar]
- Tsujino, R.; Yumoto, T.; Kitamura, S.; Djamaluddin, I.; Darnaedi, D. History of forest loss and degradation in Indonesia. Land Use Policy 2016, 57, 335–347. [Google Scholar] [CrossRef]
- Baccini, A.; Walker, W.; Carvalho, L.; Farina, M.; Houghton, R.A. Response to comment on “Tropical forests are a net carbon source based on aboveground measurements of gain and loss”. Science 2017, 363, 230–234. [Google Scholar] [CrossRef]
- Pearson, T.R.H.; Brown, S.; Murray, L.; Sidman, G. Greenhouse gas emissions from tropical forest degradation: An underestimated source. Carbon Balance Manag. 2017, 12, 3. [Google Scholar] [CrossRef]
- Republic of Indonesia. Updated Nationally Determined Contribution Republic of Indonesia; Ministry of Environment and Forestry Republic of Indonesia: Jakarta, Indonesia, 2021. [Google Scholar]
- Republic of Indonesia. Indonesia Long-Term Strategy for Low Carbon and Climate Resilience 2050; Ministry of Environment and Forestry Republic of Indonesia: Jakarta, Indonesia, 2021. [Google Scholar]
- Republic of Indonesia. Indonesia Third Biennial Update Report Under the United Nations Framework Convention on Climate Change; Ministry of Environment and Forestry Republic of Indonesia: Jakarta, Indonesia, 2021. [Google Scholar]
- Griscom, B.W.; Busch, J.; Cook-patton, S.C.; Ellis, P.W.; Funk, J.; Leavitt, S.M.; Lomax, G.; Turner, W.R.; Chapman, M.; Engelmann, J.; et al. National mitigation potential from natural climate solutions in the tropics. Philos. Trans. R. Soc. B Biol. Sci. 2020, 375, 20190126. [Google Scholar] [CrossRef]
- Ellis, P.W.; Gopalakrishna, T.; Goodman, R.C.; Putz, F.E.; Roopsind, A.; Umunay, P.M.; Zalman, J.; Ellis, E.A.; Mo, K.; Gregoire, T.G.; et al. Reduced-impact logging for climate change mitigation (RIL-C) can halve selective logging emissions from tropical forests. For. Ecol. Manag. 2019, 438, 255–266. [Google Scholar] [CrossRef]
- Griscom, B.; Ellis, P.; Putz, F.E. Carbon emissions performance of commercial logging in East Kalimantan, Indonesia. Glob. Chang. Biol. 2014, 20, 923–937. [Google Scholar] [CrossRef] [PubMed]
- Putz, F.E.; Zuidema, P.A.; Synnott, T.; Peña-Claros, M.; Pinard, M.A.; Sheil, D.; Vanclay, J.K.; Sist, P.; Gourlet-Fleury, S.; Griscom, B.; et al. Sustaining conservation values in selectively logged tropical forests: The attained and the attainable. Conserv. Lett. 2012, 5, 296–303. [Google Scholar] [CrossRef]
- Priyadi, H.; Wijaya, A.; Gunarso, P.; Prasetyo, A.; Yanuariadi, T.; Sardjono, M.A.; Subekti, A.; Dermawan, A.; Santosa, K.D. Menuju Tata Kelola Hutan yang Baik. In Proceedings of the Peningkatan Implementasi Pengelolaan Hutan Lestari Melalui Sertifikasi Hutan dan Pembalakan Ramah Lingkungan (Reduced Impact Logging—RIL); Center for International Forestry Research (CIFOR): Bogor, Indonesia, 2007. [Google Scholar]
- Kementerian Lingkungan Hidup dan Kehutanan Republik Indonesia. Peraturan Menteri Lingkungan Hidup dan Kehutanan Republik Indonesia Nomor 8 Tahun 2021 Tentang Tata Hutan dan Penyusunan Rencana Pengelolaan Hutan, Serta Pemanfaatan Hutan di Hutan Lindung dan Hutan Produksi; Ministry of Environment and Forestry Republic of Indonesia: Jakarta, Indonesia, 2021; pp. 1–911. [Google Scholar]
- Romero, C.; Putz, F.E. Theory-of-change development for the evaluation of forest stewardship council certification of sustained timber yields from natural forests in Indonesia. Forests 2018, 9, 547. [Google Scholar] [CrossRef]
- Kementerian Lingkungan Hidup dan Kehutanan. Laporan Kinerja 2020; Ministry of Environment and Forestry Republic of Indonesia: Jakarta, Indonesia, 2021. [Google Scholar]
- Kementerian Lingkungan Hidup dan Kehutanan. Statistik Direktorat Jenderal PHPL 2019; Ministry of Environment and Forestry Republic of Indonesia: Jakarta, Indonesia, 2020. [Google Scholar]
- Kementerian Lingkungan Hidup dan Kehutanan. Statistik Direktorat Jenderal PHL 2021; Ministry of Environment and Forestry Republic of Indonesia: Jakarta, Indonesia, 2022. [Google Scholar]
- Statistics Indonesia (Badan Pusat Statistik). Production of Logs Forest Concession by Province (m3), 2003–2018; Statistics Indonesia (Badan Pusat Statistik): Jakarta, Indonesia, 2020. [Google Scholar]
- Ellis, P.; Griscom, B.; Halperin, J.; Putz, F.E.; Ruslandi. TNC Standard Operating Procedures for Measuring Carbon Emissions from Logging Operations in Indonesia; Version 2018; The Nature Conservancy: Arlington, VA, USA, 2018. [Google Scholar]
- Griscom, B.W.; Ellis, P.W.; Burivalova, Z.; Halperin, J.; Marthinus, D.; Runting, R.K.; Ruslandi; Shoch, D.; Putz, F.E. Reduced-impact logging in Borneo to minimize carbon emissions and impacts on sensitive habitats while maintaining timber yields. For. Ecol. Manag. 2019, 438, 176–185. [Google Scholar] [CrossRef]
- Putz, F.E.; Baker, T.; Griscom, B.W.; Gopalakrishna, T.; Roopsind, A.; Umunay, P.M.; Zalman, J.; Ellis, E.A.; Ruslandi; Ellis, P.W. Intact forest in selective logging landscapes in the tropics. Front. For. Glob. Chang. 2019, 2, 30. [Google Scholar] [CrossRef]
- Chave, J.; Andalo, C.; Brown, S.; Cairns, M.A.; Chambers, J.Q.; Eamus, D.; Fölster, H.; Fromard, F.; Higuchi, N.; Kira, T.; et al. Tree allometry and improved estimation of carbon stocks and balance in tropical forests. Oecologia 2005, 145, 87–99. [Google Scholar] [CrossRef] [PubMed]
- Mokany, K.; Raison, R.J.; Prokushkin, A.S. Critical analysis of root: Shoot ratios in terrestrial biomes. Glob. Chang. Biol. 2006, 12, 84–96. [Google Scholar] [CrossRef]
- Bonner, M.T.L.; Schmidt, S.; Shoo, L.P. A meta-analytical global comparison of aboveground biomass accumulation between tropical secondary forests and monoculture plantations. For. Ecol. Manag. 2013, 291, 73–86. [Google Scholar] [CrossRef]
- Chave, J.; Muller-Landau, H.C.; Baker, T.R.; Easdale, T.A.; Hans Steege, T.E.R.; Webb, C.O. Regional and phylogenetic variation of wood density across 2456 neotropical tree species. Ecol. Appl. 2006, 16, 2356–2367. [Google Scholar] [CrossRef]
- McGroddy, M.E.; Daufresne, T.; Hedin, L.O. Scaling of C:N:P stoichiometry in forests worldwide: Implications of terrestrial redfield-type ratios. Ecology 2004, 85, 2390–2401. [Google Scholar] [CrossRef]
- Medjibe, V.P.; Putz, F.E.; Starkey, M.P.; Ndouna, A.A.; Memiaghe, H.R. Impacts of selective logging on above-ground forest biomass in the Monts de Cristal in Gabon. For. Ecol. Manag. 2011, 262, 1799–1806. [Google Scholar] [CrossRef]
- Putz, F.E.; Zuidema, P.A.; Pinard, M.A.; Boot, R.G.A.; Sayer, J.A.; Sheil, D.; Sist, P.; Elias; Vanclay, J.K. Improved tropical forest management for carbon retention. PLoS Biol. 2008, 6, 1368–1369. [Google Scholar] [CrossRef]
- Feldpausch, T.R.; Jirka, S.; Passos, C.A.M.; Jasper, F.; Riha, S.J. When big trees fall: Damage and carbon export by reduced impact logging in southern Amazonia. For. Ecol. Manag. 2005, 219, 199–215. [Google Scholar] [CrossRef]
- Lambodja Sertifikasi. Ringkasan Hasil Penilikan III Kinerja PHPL IUPHHK-HA PT Hanurata Unit Jayapura; Lambodja Sertifikasi: Bogor, Indonesia, 2021. [Google Scholar]
- Yosi, C.K.; Keenan, R.J.; Fox, J.C. Forest dynamics after selective timber harvesting in Papua New Guinea. For. Ecol. Manag. 2011, 262, 895–905. [Google Scholar] [CrossRef]
- Trustindo Certification. Resume Hasil Penilaian Kinerja Pengelolaan Hutan Produksi Lestari; Trustindo Prima Karya: Samarinda, Indonesia, 2019. [Google Scholar]
- Putz, F.E.; Ellis, P.W.; Griscom, B.W. Topographic restrictions on land-use practices: Consequences of different pixel sizes and data sources for natural forest management policies in the tropics. For. Ecol. Manag. 2018, 422, 108–113. [Google Scholar] [CrossRef]
- Holzfeind, T.; Visser, R.; Chung, W.; Holzleitner, F.; Erber, G. Development and benefits of winch-assist harvesting. For. Eng. 2020, 6, 201–209. [Google Scholar] [CrossRef]
- Asia-Pacific Forestry Commission. Taking Stock: Assessing Progress in Developing and Implementing Codes of Practices for Forest Harvesting in Asean Member Countries; Food and Agriculture Organization of the United Nations, Regional Office: Bangkok, Thailand, 2006. [Google Scholar]
- Rahim, A.; Ho, M.S.; Zariyawati, M.A. A comparison analysis of logging cost between conventional and reduce impact logging practices. Int. J. Econ. Manag. 2009, 3, 354–366. [Google Scholar]
- Kamarudin, N.; Ismail, M.H.; Jusoff, K.; Sood, A.M. Evolution and development of forest harvesting in Peninsular Malaysia. Malaysian For. 2011, 74, 79–102. [Google Scholar]
- Norizah, K.; Hasmadi, I.M.; Kamaruzaman, J.; Alias, M.S. Operational efficiency of Rimbaka timber harvester in hilly tropical forest. J. Trop. For. Sci. 2012, 24, 368–378. [Google Scholar]
- Jamhuri, J.; Norizah, K.; Hasmadi, M.I.; Siti, A.A. Timber transportation planning using bees algorithm. In IOP Conference Series: Earth and Environmental Science; IOP Publishing: Bristol, UK, 2020; Volume 463, p. 012171. [Google Scholar]
- Ruslim, Y.; Sihombing, R.; Liah, Y. Stand damage due to mono-cable winch and bulldozer yarding in a selectively logged tropical forest. Biodiversitas 2016, 17, 222–228. [Google Scholar] [CrossRef]
- Novita, N.; Lestari, N.S.; Anshari, G.Z.; Lugina, M.; Subarno, S.; Lestari, N.S.; Anshari, G.Z.; Lugina, M.; Yeo, S.; Malik, A.; et al. Natural climate solutions in Indonesia: Wetlands are the key to achieve Indonesia’ s national climate commitment. Environ. Res. Lett. 2022, 17, 114045. [Google Scholar] [CrossRef]
- Kementerian Sekretariat Negara Republik Indonesia. Penyelenggaraan Nilai Ekonomi Karbon untuk Pencapaian Target Kontribusi yang Ditetapkan Secara Nasional dan Pengendalian Emisi Gas Rumah Kaca dalam Pembangunan Nasional; Kementerian Sekretariat Negara Republik Indonesia: Jakarta, Indonesia, 2021. [Google Scholar]
- Kementerian Lingkungan Hidup dan Kehutanan. Tata Laksana Penerapan Nilai Ekonomi Karbon; Kementerian Lingkungan Hidup dan Kehutanan: Jakarta, Indonesia, 2022. [Google Scholar]





| Forest Concession | Region | Forest Stewardship Council (FSC) Certified/RIL Training/ Subcontractor Employed | Concession Size (ha) | Area of Harvest Block Sampled (ha) | Slope (%) | Mapped Skid Trail Length (km)/ Skid Trail Width (m) | Mapped Haul Road Length (km) */ Corridor Width (m) | # Felled Trees Measured | # Felled Trees Counted | Log Length Extracted per Tree (m) | Felled Tree DBH (cm) | Felled Tree C (Mg)/ Weighted Wood Density (g cm−3) | Pre-Harvest Forest C Density (Mg ha−1) | Harvest Intensity (m3 ha−1)/ (# Trees ha−1) | Previously Logged? |
|---|---|---|---|---|---|---|---|---|---|---|---|---|---|---|---|
| A | Central Kal. | Yes/Yes/No | 52,480 | 25 | 38 | 2.0/11.0 | 6.6/21.9 | 15 | 134 | 23.8 | 95.2 | 7.3/0.57 | 216.7 | 67.8/5.4 | Yes |
| B | Central Kal. | No/No/No | 99,870 | 25 | 25 | 1.9/8.5 | 2.1/12.9 | 15 | 47 | 22.3 | 83.2 | 5.2/0.57 | 133.4 | 16.9/1.9 | No |
| C † | East Kal. | No/Yes/Yes | 269,660 | 55 | 30 | 2.0/7.7 | 0.6/32.9 | 8 | 106 | 20.9 | 80.4 | 4.8/0.57 | 230.4 | 53.3/1.9 | Yes |
| D † | East Kal. | Yes/Yes/No | 49,123 | 107 | 18 | 6.7/10.0 | 16.2/28.7 | 26 | 172 | 27.3 | 91.7 | 6.2/0.50 | 222.6 | 22.3/1.6 | Yes |
| E † | East Kal. | No/No/Yes | 148,426 | 86 | 20 | 3.2/10.8 | 0.9/35.1 | 1 | 86 | 25.8 | 86.5 | 5.9/0.66 | 230.4 | 30.0/1.0 | Yes |
| F † ‡ | East Kal. | Yes/Yes/No | 65,925 | 91 | 29 | 1.7/7.1 | 15.5/24.5 | 14 | 98 | 24.3 | 88.9 | 6.2/0.54 | 257.0 | 48.2/1.1 | Yes |
| G † | East Kal. | No/No/Yes | 70,348 | 73 | 12 | 9.5/9.7 | 19.3/40.0 | 21 | 318 | 24.1 | 78.9 | 4.7/0.60 | 259.1 | 63.7/4.4 | Yes |
| H † ‡ | East Kal. | Yes/Yes/No | 65,925 | 50 | 29 | 1.5/10.9 | 6.9/26.4 | 10 | 98 | 21.6 | 72.6 | 3.6/0.56 | 230.4 | 47.5/1.9 | Yes |
| I † | East Kal. | Yes/Yes/No | 39,970 | 107 | 18 | 3.0/12.1 | 5.4/25.2 | 14 | 76 | 29.5 | 96.7 | 6.7/0.56 | 220.3 | 21.3/0.7 | Yes |
| J † | East Kal. | No/Yes/Yes | 46,000 | 159 | 42 | 4.2/9.2 | 3.4/24.5 | 10 | 94 | 29.0 | 97.0 | 7.5/0.59 | 221.8 | 10.1/0.6 | No |
| K † | East Kal. | Yes/Yes/No | 97,500 | 344 | 16 | 1.6/8.4 | 4.0/40.0 | 6 | 41 | 24.5 | 89.7 | 6.2/0.57 | 230.4 | 17.2/0.1 | No |
| L | West Kal. | Yes/Yes/No | 171,340 | 25 | 14 | 1.5/4.2 | 4.3/32.4 | 15 | 52 | 19.3 | 78.4 | 4.8/0.56 | 218.0 | 17.2/2.1 | Yes |
| M | West Kal. | No/No/Yes | 32,180 | 25 | 7 | 1.9/5.0 | 2.6/31.7 | 15 | 45 | 19.2 | 74.5 | 4.1/0.50 | 183.4 | 16.9/1.8 | Yes |
| N | West Kal. | No/No/Yes | 30,195 | 25 | 6 | 1.0/14.3 | 3.9/30.7 | 15 | 40 | 18.4 | 64.8 | 3.0/0.50 | 199.2 | 17.3/1.6 | No |
| O † | North Kal. | Yes/Yes/Yes | 199,571 | 98 | 38 | 1.6/11.8 | 1.3/37.3 | 9 | 84 | 26.9 | 96.9 | 6.9/0.51 | 230.4 | 61.7/0.9 | No |
| P | West Papua | No/Yes/No | 123,565 | 50 | 15 | 2.8/4.8 | 4.0/68.7 | 15 | 93 | 30.8 | 87.6 | 6.8/0.63 | 145.9 | 32.2/1.9 | No |
| Q | West Papua | No/No/Yes | 171,270 | 51 | 10 | 1.7/5.0 | 3.7/22.1 | 15 | 21 | 22.0 | 79.6 | 5.6/0.67 | 176.7 | 3.1/0.4 | Yes |
| R | West Papua | No/No/No | 234,470 | 51 | 38 | 0.9/4.3 | 4.6/29.3 | 15 | 17 | 21.1 | 109.1 | 11.9/0.67 | 132.3 | 7.6/0.3 | No |
| S ** | Papua | Yes/Yes/Yes | 169,170 | 50 | 5 | 0.5/10.8 | 2.1/50.8 | 15 | 15 | 23.9 | 97.3 | 8.7/0.67 | 122.9 | 12.3/0.3 | No |
| T | Papua | No/Yes/No | 79,130 | 50 | −3 | 1.0/5.7 | 4.6/69.5 | 15 | 15 | 28.4 | 95.8 | 8.3/0.67 | 161.3 | 20.7/0.3 | No |
| U | Papua | No/No/Yes | 103,510 | 50 | 20 | 2.3/4.8 | 3.2/56.8 | 15 | 51 | 23.6 | 78.9 | 5.4/0.67 | 163.9 | 20.7/1.0 | No |
| V | Papua | No/No/No | 214,935 | 50 | 7 | 3.9/4.7 | 4.0/27.2 | 15 | 129 | 17.5 | 56.8 | 2.0/0.58 | 188.3 | 10.1/2.6 | No |
| W | Papua | Yes/Yes/Yes | 298,710 | 50 | 1 | 1.4/5.0 | 4.3/30.4 | 15 | 33 | 23.1 | 84.2 | 6.2/0.67 | 191.0 | 4.4/0.7 | Yes |
| X | Papua | No/No/No | 56,325 | 50 | 27 | 0.3/9.3 | 2.6/20.8 | 15 | 15 | 19.7 | 72.6 | 3.8/0.66 | 219.6 | 1.2/0.3 | No |
| Y | Papua | No/No/No | 94,569 | 50 | 0 | 4.3/5.9 | 3.4/41.5 | 15 | 34 | 23.1 | 87.7 | 6.9/0.67 | 184.1 | 7.5/0.7 | No |
| All (Average or Sum) | 71.9 | 18.5 | 62.4/8.0 | 129.5/34.5 | 344 | 1914 | 22.2 | 85.0 | 5.6/0.60 | 200.7 | 25.3/1.4 |
| Variable | Kalimantan | Papua | Test | p |
|---|---|---|---|---|
| Mean (SE) | Mean (SE) | |||
| Wood Density | 0.56 (0.01) | 0.65 (0.01) | U | <0.0001 |
| Felled Tree DBH | 83.91 (2.25) | 84.96 (4.57) | t | 0.8398 |
| Pre-Harvest C Density | 218.91 (7.79) | 159.75 (12.9) | t | 0.0008 |
| Harvest Intensity (m3 ha−1) | 34.10 (5.28) | 11.98 (3.08) | U | 0.0043 |
| Harvest Intensity (# trees ha−1) | 1.79 (0.36) | 0.84 (0.25) | U | 0.0327 |
| Road Corridor Widths | 29.61 (3.71) | 41.71 (11.55) | U | 0.2120 |
| Mg C m−3 | 1.18 (0.12) | 1.47 (0.34) | U | 0.9779 |
| Mg C ha−1 | 38.05 (5.87) | 11.71 (2.17) | U | 0.0005 |
| Mg Mg−1 | 5.60 (0.72) | 8.81 (1.68) | U | 0.0907 |
| Activity | Emissions Source | Mean Emissions Baseline Mg C m−3 Mg C ha−1 Mg Mg−1 | Carbon Emission Percentage (%) per Mg C m−3 per Mg C ha−1 per Mg Mg−1 | Average of Five Best Performers ** Mg C m−3 Mg C ha−1 Mg Mg−1 | Potential Emission Reduction Mg C m−3 Mg C ha−1 Mg Mg−1 | Potential Emission Reduction (%) per Mg C m−3 per Mg C ha−1 per Mg Mg−1 |
|---|---|---|---|---|---|---|
| Felling | Felled Tree Remainders | 0.40 ± 0.04 | 30 | 0.14 ± 0.02 | 0.26 ± 0.04 | 65 |
| 9.88 ± 1.98 | 36 | 1.63 ± 0.32 | 8.30 ± 1.97 | 84 | ||
| 1.88 ± 0.14 | 27 | 1.05 ± 0.11 | 0.85 ± 0.13 | 45 | ||
| Felling Collateral | 0.23 ± 0.03 | 18 | 0.07 ± 0.01 | 0.17 ± 0.03 | 71 | |
| 6.39 ± 1.58 | 23 | 0.79 ± 0.14 | 5.62 ± 1.58 | 88 | ||
| 1.09 ± 0.11 | 16 | 0.49 ± 0.05 | 0.61 ± 0.11 | 56 | ||
| Skidding | Skidding | 0.28 ± 0.07 | 22 | 0.03 ± 0.01 | 0.25 ± 0.07 | 90 |
| 4.77 ± 1.11 | 17 | 0.31 ± 0.06 | 4.47 ± 1.11 | 94 | ||
| 1.43 ± 0.38 | 21 | 0.14 ± 0.04 | 1.30 ± 0.38 | 91 | ||
| Hauling | Haul Roads | 0.34 ± 0.05 | 26 | 0.09 ± 0.02 | 0.25 ± 0.05 | 73 |
| 5.93 ± 0.78 | 22 | 1.30 ± 0.12 | 4.65 ± 0.78 | 78 | ||
| 2.25 ± 0.51 | 33 | 0.38 ± 0.09 | 1.87 ± 0.51 | 83 | ||
| Log Yards * | 0.05 ± 0.02 | 4 | 0.00 ± 0.00 | 0.05 ± 0.02 | 98 | |
| 0.55 ± 0.13 | 2 | 0.02 ± 0.01 | 0.52 ± 0.13 | 96 | ||
| 0.23 ± 0.08 | 3 | 0.00 ± 0.00 | 0.23 ± 0.08 | 99 | ||
| Total ** (all emission sources) | 1.30 ± 0.15 | 100 | 0.64 ± 0.06 | 0.67 ± 0.15 | 51 | |
| 27.52 ± 4.44 | 100 | 6.67 ± 1.40 | 21.11 ± 4.38 | 77 | ||
| 6.88 ± 0.84 | 100 | 2.74 ± 0.31 | 4.20 ± 0.83 | 61 | ||
| A. ANALYSIS OF INDIVIDUAL VARIABLES | |||||
| Carbon Emissions for All Emission Metrics | |||||
| Variable | Unit | Mean (SE) | Mean (SE) | Test | p |
| FSC-Certified | Mg C m−3 | Yes (n = 10) 1.14 (0.29) | No (n = 15) 1.41 (0.23) | U | 0.846 |
| Mg C ha−1 | 30.93 (7.23) | 25.24 (5.90) | U | 0.157 | |
| Mg Mg−1 | 4.65 (1.50) | 8.38 (1.23) | U | 0.560 | |
| RIL Training | Mg C m−3 | Yes (n = 14) 1.49 (0.24) | No (n = 11) 1.06 (0.16) | U | 0.427 |
| Mg C ha−1 | 27.74 (5.28) | 27.22 (5.28) | U | 0.180 | |
| Mg Mg−1 | 6.31 (1.15) | 7.62 (1.25) | U | 0.396 | |
| Use of Subcontractor | Mg C m−3 | Yes (n = 11) 1.10 (0.17) | No (n = 14) 1.46 (0.23) | U | 0.722 |
| Mg C ha−1 | 33.01 (7.81) | 23.19 (4.99) | U | 0.848 | |
| Mg Mg−1 | 6.93 (1.36) | 6.85 (1.10) | U | 0.848 | |
| Slope | Mg C m−3 | All (n = 25) 1.30 (0.30) | r | 0.778 | |
| Mg C ha−1 | 27.52 (8.70) | r | 0.059 | ||
| Mg Mg−1 | 6.88 (1.65) | r | 0.057 | ||
| 2010–2012 VS 2020 | Mg C m−3 | 2010–2012 (n = 9) 1.08 (0.17) | 2020 (n = 6) 1.43 (0.22) | U | 0.052 |
| Mg C ha−1 | 28.33 (6.39) | 27.05 (6.08) | U | 0.141 | |
| Mg Mg−1 | 6.15 (1.39) | 7.30 (1.08) | U | 0.596 | |
| Previously Logged | Mg C m−3 | Yes (n = 12) 1.07 (0.15) | No (n = 13) 1.50 (0.25) | U | 0.807 |
| Mg C ha−1 | 28.72 (7.42) | 26.40 (5.40) | U | 0.150 | |
| Mg Mg−1 | 5.86 (1.13) | 7.83 (1.22) | U | 0.007 | |
| Legacy Effects of Previous Harvesting | Yes (n = 12) | No (n = 13) | |||
| Roads + Landing Emissions | Mg C m−3 | 0.28 (0.04) | 0.49 (0.11) | U | 0.011 |
| Mg C ha−1 | 6.42 (1.30) | 6.52 (0.96) | U | 0.807 | |
| Mg Mg−1 | 2.31 (1.00) | 2.65 (0.52) | U | 0.006 | |
| Skid Trail Emissions | Mg C m−3 | 0.20 (0.08) | 0.35 (0.12) | U | 0.399 |
| Mg C ha−1 | 4.86 (2.10) | 4.69 (0.98) | U | 0.978 | |
| Mg Mg−1 | 0.85 (0.25) | 1.96 (0.67) | U | 0.068 | |
| Roads-only Emissions | Mg C m−3 | 0.26 (0.04) | 0.42 (0.08) | U | 0.008 |
| Mg C ha−1 | 6.07 (1.28) | 5.80 (0.98) | U | 0.605 | |
| Mg Mg−1 | 2.21 (0.98) | 2.29 (0.43) | U | 0.004 | |
| Landings-only Emissions | Mg C m−3 | 0.02 (0.01) | 0.07 (0.03) | U | 0.892 |
| Mg C ha−1 | 0.35 (0.12) | 0.72 (0.22) | U | 0.497 | |
| Mg Mg−1 | 0.09 (0.04) | 0.36 (0.14) | U | 0.370 | |
| B. ANALYSIS OF ALL VARIABLES | |||||
| Multiple Linear Regression | |||||
| Variable | Unit | Analyses | Model | F-statistic | p |
| FSC-Certified + RIL Training + Use of Subcontractor + Slope + Previously Logged | Mg C m−3 | All variables | 0.48 | 0.788 | |
| Best model | 1.45 − (0.31 × previously logged) | 1.02 | 0.324 | ||
| Mg C ha−1 | All variables | 1.50 | 0.237 | ||
| Best model | 9.36 + (0.61 × slope) + (14.28 × previously logged) | 3.50 | 0.048 | ||
| Mg Mg−1 | All variables | 3.83 | 0.015 | ||
| Best model | 11.71 − (0.15 × slope) − (4.30 × previously logged) | 10.84 | 0.001 | ||
Disclaimer/Publisher’s Note: The statements, opinions and data contained in all publications are solely those of the individual author(s) and contributor(s) and not of MDPI and/or the editor(s). MDPI and/or the editor(s) disclaim responsibility for any injury to people or property resulting from any ideas, methods, instructions or products referred to in the content. |
© 2024 by the authors. Licensee MDPI, Basel, Switzerland. This article is an open access article distributed under the terms and conditions of the Creative Commons Attribution (CC BY) license (https://creativecommons.org/licenses/by/4.0/).
Share and Cite
Hermudananto; Belair, E.P.; Hasbillah, H.; Ellis, P.W.; Ruslandi; Putz, F.E. Potential Reductions in Carbon Emissions from Indonesian Forest Concessions Through Use of Reduced-Impact Logging Practices. Forests 2024, 15, 2198. https://doi.org/10.3390/f15122198
Hermudananto, Belair EP, Hasbillah H, Ellis PW, Ruslandi, Putz FE. Potential Reductions in Carbon Emissions from Indonesian Forest Concessions Through Use of Reduced-Impact Logging Practices. Forests. 2024; 15(12):2198. https://doi.org/10.3390/f15122198
Chicago/Turabian StyleHermudananto, Ethan P. Belair, Hasbie Hasbillah, Peter W. Ellis, Ruslandi, and Francis E. Putz. 2024. "Potential Reductions in Carbon Emissions from Indonesian Forest Concessions Through Use of Reduced-Impact Logging Practices" Forests 15, no. 12: 2198. https://doi.org/10.3390/f15122198
APA StyleHermudananto, Belair, E. P., Hasbillah, H., Ellis, P. W., Ruslandi, & Putz, F. E. (2024). Potential Reductions in Carbon Emissions from Indonesian Forest Concessions Through Use of Reduced-Impact Logging Practices. Forests, 15(12), 2198. https://doi.org/10.3390/f15122198

