Responses of Soil Infiltration and Erodibility to Vegetation Succession Stages at Erosion and Deposition Sites in Karst Trough Valleys
Abstract
1. Introduction
2. Materials and Methods
2.1. Study Area
2.2. Soil Sampling and Preparation
2.3. Determination of Indices of Soil Erodibility
2.3.1. Determination of Soil Infiltration Capacity
2.3.2. Determination of Soil Aggregates and Soil Erodibility
2.4. Data Analysis
3. Results
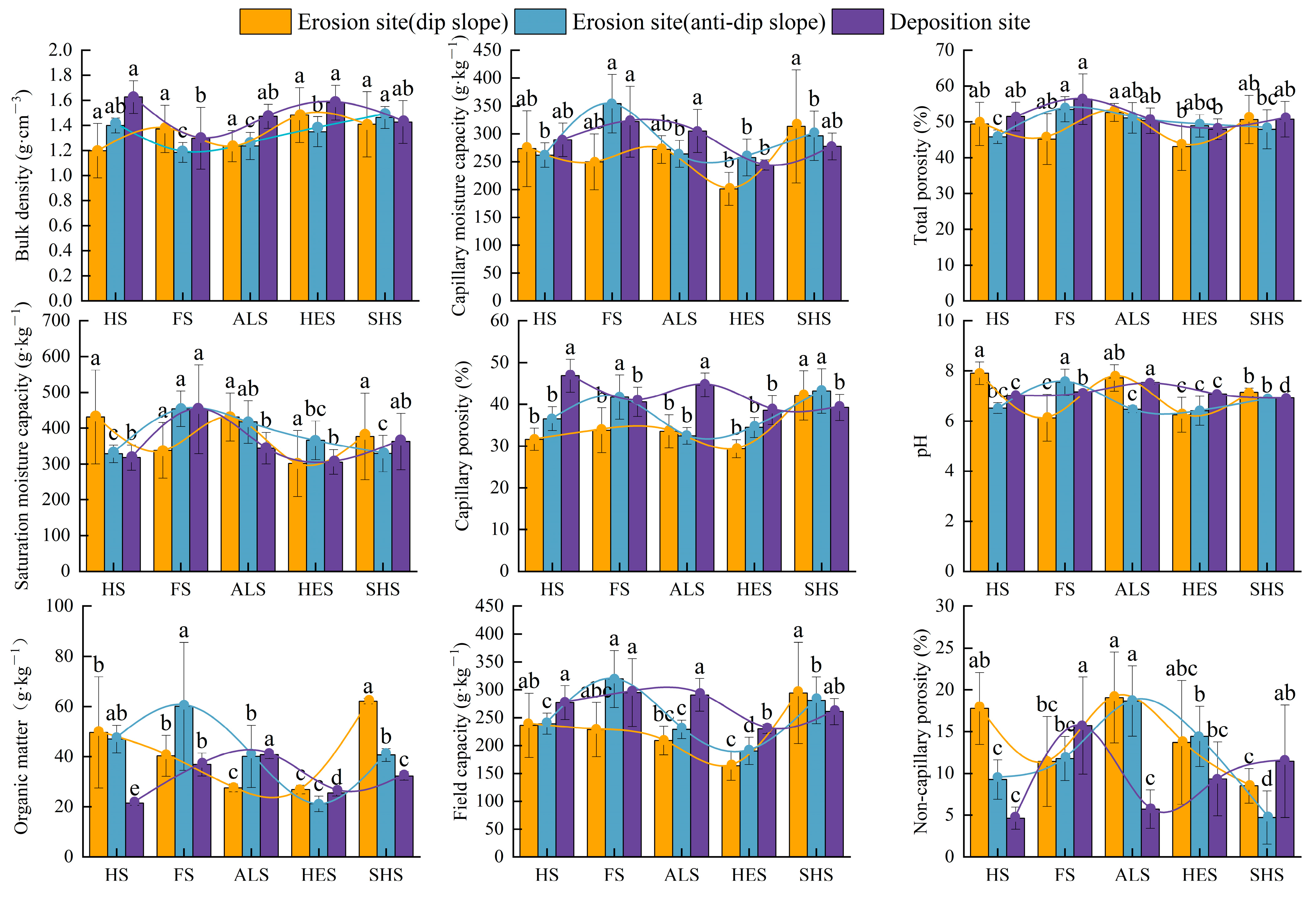
3.1. Soil Physicochemical Properties in Karst Trough Valley Erosion and Deposition Sites
3.2. Soil Infiltration Characteristics in Karst Trough Valley Erosion and Deposition Sites
3.2.1. Soil Infiltration Process
3.2.2. Soil Infiltration Index
3.3. The Content of Water-Stable Aggregates in Karst Trough Valley Erosion and Deposition Sites
3.4. Soil Erodibility Factor K in Karst Trough Valley Erosion and Deposition Sites
3.5. The Effects of Soil Properties and Soil Infiltration on Soil Erodibility
4. Discussion
4.1. Changes in Soil Inflation Characteristics and Soil Erodibility Under Different Erosion and Deposition Topographies
4.2. Responses of Soil Infiltration and Soil Erodibility to Vegetation Successional Stages
4.3. Relationship Between Soil Corrosion and Its Influencing Factors
5. Conclusions
Author Contributions
Funding
Data Availability Statement
Conflicts of Interest
References
- Yan, Y.; Hu, Z.; Wang, L.; Jiang, J.; Dai, Q.; Gan, F.; Almaliki, A.H.; Hashim, M.A.; Hussein, E.E.; Ghoneim, S.S.M. Impact of extreme rainfall events on soil erosion on karst Slopes: A study of hydrodynamic mechanisms. J. Hydrol. 2024, 638, 131532. [Google Scholar] [CrossRef]
- Yang, M.; Yang, Q.; Zhang, K.; Pang, G.; Huang, C. Global soil erodibility factor (K) mapping and algorithm applicability analysis. Catena 2024, 239, 107943. [Google Scholar] [CrossRef]
- Li, Z.-w.; Zhang, G.-h.; Geng, R.; Wang, H. Rill erodibility as influenced by soil and land use in a small watershed of the Loess Plateau, China. Biosyst. Eng. 2015, 129, 248–257. [Google Scholar] [CrossRef]
- Chen, L.; Li, Y.; Zhang, Z. Impact of land use type and slope position on the erodibility of karst hillslopes in Southwest China. Catena 2023, 233, 107498. [Google Scholar] [CrossRef]
- Gan, F.; He, B.; Qin, Z. Hydrological response and soil detachment rate from dip/anti-dip slopes as a function of rock strata dip in karst valley revealed by rainfall simulations. J. Hydrol. 2020, 581, 124416. [Google Scholar] [CrossRef]
- Bi, M.; Zhang, S.; Xu, Q.; Hou, S.; Han, M.; Yu, X. Coupling and synergistic relationships between soil aggregate stability and nutrient stoichiometric characteristics under different microtopographies on karst rocky desertification slopes. Catena 2024, 243, 108142. [Google Scholar] [CrossRef]
- Gan, F.; He, B.; Qin, Z.; Li, W. Role of rock dip angle in runoff and soil erosion processes on dip/anti-dip slopes in a karst trough valley. J. Hydrol. 2020, 588, 125093. [Google Scholar] [CrossRef]
- Ran, C.; Bai, X.; Tan, Q.; Luo, G.; Cao, Y.; Wu, L.; Chen, F.; Li, C.; Luo, X.; Liu, M.; et al. Threat of soil formation rate to health of karst ecosystem. Sci. Total Environ. 2023, 887, 163911. [Google Scholar] [CrossRef]
- Gan, F.; Shi, H.; Yan, Y.; Pu, J.; Dai, Q.; Gou, J.; Fan, Y. Soil quality assessment of karst trough valley under different bedrock strata dip and land-use types, based on a minimum data set. Catena 2024, 241, 108048. [Google Scholar] [CrossRef]
- Liu, S.; Wang, R.; Yang, Y.; Shi, W.; Jiang, K.; Jia, L.; Zhang, F.; Liu, X.; Ma, L.; Li, C.; et al. Changes in soil aggregate stability and aggregate-associated carbon under different slope positions in a karst region of Southwest China. Sci. Total Environ. 2024, 928, 172534. [Google Scholar] [CrossRef]
- Gayen, A.; Haque, S.M. Soil erodibility assessment of laterite dominant sub-basin watersheds in the humid tropical region of India. Catena 2022, 213, 106161. [Google Scholar] [CrossRef]
- Yamaguchi, A.; Kanashiki, N.; Ishizaki, H.; Kobayashi, M.; Osawa, K. Relationship between soil erodibility by concentrated flow and shear strength of a Haplic Acrisol with a cationic polyelectrolyte. Catena 2022, 217, 106506. [Google Scholar] [CrossRef]
- Dai, W.; Feng, G.; Huang, Y.; Adeli, A.; Jenkins, J.N. Influence of cover crops on soil aggregate stability, size distribution and related factors in a no-till field. Soil Tillage Res. 2024, 244, 106197. [Google Scholar] [CrossRef]
- Wang, D.; Niu, J.; Yang, T.; Miao, Y.; Zhang, L.; Chen, X.; Fan, Z.; Dai, Z.; Wu, H.; Yang, S.; et al. Soil water infiltration characteristics of reforested areas in the paleo-periglacial eastern Liaoning mountainous regions, China. Catena 2024, 234, 107613. [Google Scholar] [CrossRef]
- Chen, X.; Zhou, J. Volume-based soil particle fractal relation with soil erodibility in a small watershed of purple soil. Environ. Earth Sci. 2013, 70, 1735–1746. [Google Scholar] [CrossRef]
- Gan, F.; Shi, H.; Gou, J.; Zhang, L.; Liu, C. Effects of bedrock strata dip on soil infiltration capacity under different land use types in a karst trough valley of Southwest China. Catena 2023, 230, 107253. [Google Scholar] [CrossRef]
- Wang, B.; Liu, J.; Li, Z.; Morreale, S.J.; Schneider, R.L.; Xu, D.; Lin, X. The contributions of root morphological characteristics and soil property to soil infiltration in a reseeded desert steppe. Catena 2023, 225, 107020. [Google Scholar] [CrossRef]
- Li, H.; Zhang, Q.; Wu, J.; Zou, H.; Xia, X.; Dan, C.; Liu, C.; Guo, Z.; Zhang, Y.; Liu, G. Response of soil aggregate disintegration to antecedent moisture during splash erosion. Catena 2024, 234, 107633. [Google Scholar] [CrossRef]
- Guo, G.; Kong, Y.; Xu, Y.; Peng, X.; Niu, M.; Zeng, G.; Ouyang, Z.; Liu, J.; Zhang, C.; Lin, J. Soil organic matter components and sesquioxides integrally regulate aggregate stability and size distribution under erosion and deposition conditions in southern China. J. Hydrol. 2024, 639, 131588. [Google Scholar] [CrossRef]
- Chen, L.; Zhang, K.; Li, Y. Spatial variations in soil erodibility induced by rock outcropping on sloping cropland in the karst region of Southwest China. Geoderma 2023, 440, 116705. [Google Scholar] [CrossRef]
- Gan, F.; Shi, H.; Gou, J.; Zhang, L.; Dai, Q.; Yan, Y. Responses of soil aggregate stability and soil erosion resistance to different bedrock strata dip and land use types in the karst trough valley of Southwest China. Int. Soil Water Conserv. Res. 2024, 12, 684–696. [Google Scholar] [CrossRef]
- Chen, S.; Zhang, G.; Zhu, P.; Wang, C.; Wan, Y. Impact of land use type on soil erodibility in a small watershed of rolling hill northeast China. Soil Tillage Res. 2023, 227, 105597. [Google Scholar] [CrossRef]
- Li, Z.-W.; Zhang, G.-H.; Geng, R.; Wang, H.; Zhang, X.C. Land use impacts on soil detachment capacity by overland flow in the Loess Plateau, China. Catena 2015, 124, 9–17. [Google Scholar] [CrossRef]
- Ma, Y.; Liu, Y.; Comino, J.R.; Vicente, M.L.; Shi, Z.; Wu, G.L. Artificially cultivated grasslands decrease the activation of soil detachment and soil erodibility on the alpine degraded hillslopes. Soil Tillage Res. 2024, 243, 106176. [Google Scholar] [CrossRef]
- Guo, M.; Chen, Z.; Wang, W.; Wang, T.; Wang, W.; Cui, Z. Revegetation induced change in soil erodibility as influenced by slope situation on the Loess Plateau. Sci. Total Environ. 2021, 772, 145540. [Google Scholar] [CrossRef]
- Zhang, M.; Dong, L.; Wang, Y.; Bai, X.; Ma, Z.; Yu, X.; Zhao, Z. The response of soil microbial communities to soil erodibility depends on the plant and soil properties in semiarid regions. Land Degrad. Dev. 2021, 32, 3180–3193. [Google Scholar] [CrossRef]
- Arunrat, N.; Sereenonchai, S.; Kongsurakan, P.; Hatano, R. Soil organic carbon and soil erodibility response to various land-use changes in northern Thailand. Catena 2022, 219, 106595. [Google Scholar] [CrossRef]
- Chen, S.; Zhang, G.; Zhu, P.; Wang, C.; Wan, Y. Impact of slope position on soil erodibility indicators in rolling hill regions of northeast China. Catena 2022, 217, 106475. [Google Scholar] [CrossRef]
- Zhou, P.; Guo, M.; Zhang, X.; Zhang, S.; Qi, J.; Chen, Z.; Wang, L.; Xu, J. Quantifying the effect of freeze–thaw on the soil erodibility of gully heads of typical gullies in the Mollisols region of Northeast China. Catena 2023, 228, 107180. [Google Scholar] [CrossRef]
- Zhang, B.-j.; Zhang, G.-h.; Yang, H.-y.; Wang, H. Soil resistance to flowing water erosion of seven typical plant communities on steep gully slopes on the Loess Plateau of China. Catena 2019, 173, 375–383. [Google Scholar] [CrossRef]
- Luo, Z.; Lian, J.; Nie, Y.; Zhang, W.; Wang, F.; Huang, L.; Chen, H. Improving soil thickness estimations and its spatial pattern on hillslopes in karst forests along latitudinal gradients. Geoderma 2024, 441, 116749. [Google Scholar] [CrossRef]
- Moraes, J.F.S.; Cantalice, J.R.B.; Singh, V.P.; Piscoya, V.C.; Cunha Filho, M.; Guerra, S.M.; Almeida, P.L.R. Lateral sediment connectivity by curve number and a proposed approach to soil erodibility at the watershed scale. Catena 2024, 234, 107611. [Google Scholar] [CrossRef]
- Sirjani, E.; Sameni, A.; Mahmoodabadi, M.; Moosavi, A.A.; Laurent, B. In-situ wind tunnel experiments to investigate soil erodibility, soil fractionation and wind-blown sediment of semi-arid and arid calcareous soils. Catena 2024, 241, 108011. [Google Scholar] [CrossRef]
- Sun, L.; Liu, F.; Zhu, X.; Zhang, G. High-resolution digital mapping of soil erodibility in China. Geoderma 2024, 444, 116853. [Google Scholar] [CrossRef]
- Lu, S.; Liu, M.; Yi, J.; Li, S.; Xu, Y.; Zhang, H.; Ding, F. Lateral partition patterns and controlling factors of soil infiltration at a steep, near-stream, and humid hillslope scale. Catena 2024, 239, 107917. [Google Scholar] [CrossRef]
- MakMensah, E.; Zhao, W.; Zhou, X.; Zhang, D.; Zhao, X.; Wang, Q.; Obour, P.B. Impact of maize straw biochar and tied-ridge-furrow rainwater harvesting on soil erosion and soil quality in a semiarid region. Soil Use Manag. 2023, 39, 1304–1320. [Google Scholar] [CrossRef]
- Chen, Z.; Guo, M.; Wang, W.; Wang, W.; Feng, L. Response of soil erodibility of permanent gully heads to revegetation along a vegetation zone gradient in the loess-table and gully region of the Chinese Loess Plateau. Sci. Total Environ. 2023, 892, 164833. [Google Scholar] [CrossRef]
- Zeng, C.; Li, T.; He, B.; Feng, M.; Liang, K.; Xu, Q.; Zhao, X.J.C. Vegetation succession increases soil organic carbon density and decreases soil erodibility: Evidence from a karst trough valley experiencing farmland abandonment. Catena 2024, 246, 108359. [Google Scholar] [CrossRef]
- van den Bergh, S.G.; Chardon, I.; Leite, M.F.A.; Korthals, G.W.; Mayer, J.; Cougnon, M.; Reheul, D.; de Boer, W.; Bodelier, P.L.E. Soil aggregate stability governs field greenhouse gas fluxes in agricultural soils. Soil Biol. Biochem. 2024, 191, 109354. [Google Scholar] [CrossRef]
- Wang, L.; Guo, M.; Chen, Z.; Zhang, X.; Zhou, P.; Liu, X.; Qi, J.; Wan, Z.; Xu, J.; Zhang, S. Quantifying the contributions of factors influencing the spatial heterogeneity of soil aggregate stability and erodibility in a Mollisol watershed. Catena 2024, 239, 107941. [Google Scholar] [CrossRef]
- Yang, W.; Peng, X.; Dai, Q.; Li, C.; Xu, S.; Liu, T. Storage infiltration of rock-soil interface soil on rock surface flow in the rocky desertification area. Geoderma 2023, 435, 116512. [Google Scholar] [CrossRef]
- Zhu, P.; Chen, S.; Wang, C.; Xu, Z. Short-term conservation tillage degrades soil infiltration properties in the black soil region of Northeast China. Eur. J. Soil Sci. 2024, 75, e13479. [Google Scholar] [CrossRef]
- Liu, J.; Yang, Y.; Zheng, Q.; Su, X.; Zhou, Z. Response of soil aggregate stability and rill erodibility to soil electric field. Catena 2022, 215, 106338. [Google Scholar] [CrossRef]
- Peng, J.; Wang, J.; Yang, Q.; Long, L.; Li, H.; Guo, Z.; Cai, C. Spatial variation in soil aggregate stability and erodibility at different slope positions in four hilly regions of northeast China. Catena 2024, 235, 107660. [Google Scholar] [CrossRef]
- Wang, X.; Huang, P.; Ma, M.; Shan, K.; Wu, S. Effects of riparian pioneer plants on soil aggregate stability: Roles of root traits and rhizosphere microorganisms. Sci. Total Environ. 2024, 940, 173584. [Google Scholar] [CrossRef]
- Zhu, P.; Zhang, G.; Wang, C.; Chen, S.; Wan, Y. Variation in soil infiltration properties under different land use/cover in the black soil region of Northeast China. Int. Soil Water Conserv. Res. 2024, 12, 379–387. [Google Scholar] [CrossRef]
- Zhang, W.; Zhu, X.; Xiong, X.; Wu, T.; Zhou, S.; Lie, Z.; Jiang, X.; Liu, J. Changes in soil infiltration and water flow paths: Insights from subtropical forest succession sequence. Catena 2023, 221 Pt A, 106748. [Google Scholar] [CrossRef]
- Qiu, D.; Xu, R.; Gao, P.; Mu, X. Effect of vegetation restoration type and topography on soil water storage and infiltration capacity in the Loess Plateau, China. Catena 2024, 241, 108079. [Google Scholar] [CrossRef]
- Liu, Y.-F.; Zhang, Z.; Liu, Y.; Cui, Z.; Leite, P.A.; Shi, J.; Wang, Y.; Wu, G.-L. Shrub encroachment enhances the infiltration capacity of alpine meadows by changing the community composition and soil conditions. Catena 2022, 213, 106222. [Google Scholar] [CrossRef]
- Feng, Z.J.; Nie, W.B.; Ma, Y.P.; Li, Y.C.; Ma, X.Y.; Zhu, H.Y. Effects of urea solution concentration on soil hydraulic properties and water infiltration capacity. Sci. Total Environ. 2023, 898, 165471. [Google Scholar] [CrossRef]
- Liao, Y.; Dong, L.; Li, A.; Lv, W.; Wu, J.; Zhang, H.; Bai, R.; Liu, Y.; Li, J.; Shangguan, Z.; et al. Soil physicochemical properties and crusts regulate the soil infiltration capacity after land-use conversions from farmlands in semiarid areas. J. Hydrol. 2023, 626 Pt A, 130283. [Google Scholar] [CrossRef]
- Zhu, P.; Feng, T.; Yang, L.; Wang, D.; Chen, X.; Zhang, F.; Li, C. Biological soil crusts decrease soil erodibility of economic fruit forests land through its consolidation effect in the Three Gorges Reservoir area. Catena 2024, 243, 108200. [Google Scholar] [CrossRef]
- Wang, G.; Fang, Q.; Wu, B.; Yang, H.; Xu, Z. Relationship between soil erodibility and modeled infiltration rate in different soils. J. Hydrol. 2015, 528, 408–418. [Google Scholar] [CrossRef]
- Liang, J.; Huo, P.; Mo, X.; Zhang, L.; Fan, X.; Sun, S. Fostering sustainable banana cultivation: Maximizing red soil performance with lignin-based humic acid liquid fertilizer. J. Agric. Commun. 2023, 1, 100018. [Google Scholar] [CrossRef]











| EADT | BSD | VSS | BSDA (°) | Latitude (N) | Longitude (E) | Slope (°) | Altitude (m) | Soil Depth (cm) |
|---|---|---|---|---|---|---|---|---|
| ALS | 55 | 29.629 | 106.267 | 35 | 587.6 | 20–50 | ||
| Dip | HS | 45 | 29.628 | 106.268 | 24 | 533.1 | 50–60 | |
| erosion slope | HES | 30 | 29.632 | 106.271 | 33 | 511.3 | 30–40 | |
| SHS | 20 | 29.629 | 106.268 | 27 | 511.7 | 40–50 | ||
| FS | 18 | 29.632 | 106.27 | 31.5 | 522.1 | 55–65 | ||
| Erosion | ||||||||
| site | ALS | 40 | 29.714 | 106.301 | 39 | 512.2 | 30–60 | |
| Anti-dip | HS | 34 | 29.714 | 106.298 | 36 | 504.9 | 40–60 | |
| erosion slope | HES | 25 | 29.714 | 106.3 | 32 | 522.1 | 50–60 | |
| SHS | 22 | 29.714 | 106.299 | 35.5 | 535.1 | 40–50 | ||
| FS | 20 | 29.714 | 106.302 | 31 | 525.7 | 50–60 | ||
| ALS | 3 | 29.725 | 106.305 | 2 | 473.8 | 40–60 | ||
| Deposition | HS | 5 | 29.724 | 106.304 | 3.5 | 470 | 50–60 | |
| sites | Valley | HES | 3 | 29.725 | 106.306 | 2.5 | 465.4 | 45–55 |
| SHS | 2 | 29.724 | 106.305 | 4 | 468.7 | 40–60 | ||
| FS | 4 | 29.725 | 106.306 | 3 | 470.5 | 55–65 | ||
| Indices Name | χ2/df | GFI | TLI | RMSEA | IFI | CFI |
|---|---|---|---|---|---|---|
| Evaluation criterion | <3 | Close to 1 | Close to 1 | <0.08 | Close to 1 | Close to 1 |
| Results | 1.22 | 0.97 | 0.98 | 0.05 | 0.99 | 0.99 |
Disclaimer/Publisher’s Note: The statements, opinions and data contained in all publications are solely those of the individual author(s) and contributor(s) and not of MDPI and/or the editor(s). MDPI and/or the editor(s) disclaim responsibility for any injury to people or property resulting from any ideas, methods, instructions or products referred to in the content. |
© 2024 by the authors. Licensee MDPI, Basel, Switzerland. This article is an open access article distributed under the terms and conditions of the Creative Commons Attribution (CC BY) license (https://creativecommons.org/licenses/by/4.0/).
Share and Cite
Shi, H.; Gan, F.; Jiang, L.; Tan, X.; Liu, D.; Yan, Y.; Fan, Y.; Pu, J. Responses of Soil Infiltration and Erodibility to Vegetation Succession Stages at Erosion and Deposition Sites in Karst Trough Valleys. Forests 2024, 15, 2167. https://doi.org/10.3390/f15122167
Shi H, Gan F, Jiang L, Tan X, Liu D, Yan Y, Fan Y, Pu J. Responses of Soil Infiltration and Erodibility to Vegetation Succession Stages at Erosion and Deposition Sites in Karst Trough Valleys. Forests. 2024; 15(12):2167. https://doi.org/10.3390/f15122167
Chicago/Turabian StyleShi, Hailong, Fengling Gan, Lisha Jiang, Xiaohong Tan, Dinghui Liu, Youjin Yan, Yuchuan Fan, and Junbing Pu. 2024. "Responses of Soil Infiltration and Erodibility to Vegetation Succession Stages at Erosion and Deposition Sites in Karst Trough Valleys" Forests 15, no. 12: 2167. https://doi.org/10.3390/f15122167
APA StyleShi, H., Gan, F., Jiang, L., Tan, X., Liu, D., Yan, Y., Fan, Y., & Pu, J. (2024). Responses of Soil Infiltration and Erodibility to Vegetation Succession Stages at Erosion and Deposition Sites in Karst Trough Valleys. Forests, 15(12), 2167. https://doi.org/10.3390/f15122167
