Nitrogen Addition Increased the Greenhouse Gas Emissions of Permafrost Peatland Due to the Abundance of Soil Microbial Functional Genes Increasing in the Great Khingan Mountains, Northeast China
Abstract
1. Introduction
2. Materials and Methods
2.1. Study Area
2.2. Soil Sampling
2.3. Incubation Experiment
2.4. Soil Variable Analysis
2.5. Soil Microbial Abundance Measurement
2.6. Statistical Analysis
3. Results
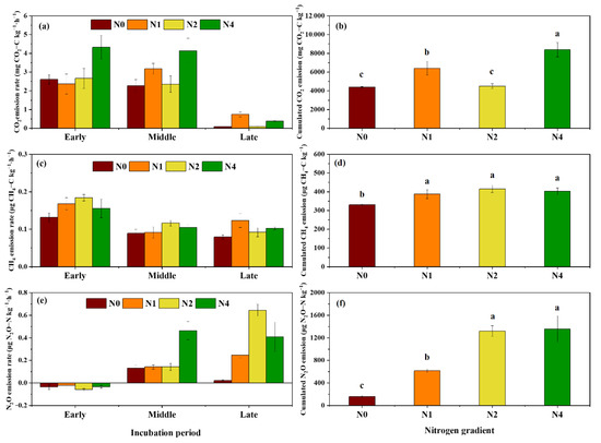
3.1. Soil CO2, CH4, and N2O Emissions Under Different Nitrogen Treatments
3.2. Physical and Chemical Properties of Soil
3.3. Soil Microbial Abundance
3.4. Relationship Between Greenhouse Gas Production and Microbial Functional Genes
4. Discussion
5. Conclusions
Supplementary Materials
Author Contributions
Funding
Data Availability Statement
Conflicts of Interest
References
- Obu, J.; Westermann, S.; Bartsch, A.; Berdnikov, N.; Christiansen, H.H.; Dashtseren, A.; Delaloye, R.; Elberling, B.; Etzelmüller, B.; Kholodov, A.; et al. Northern Hemisphere permafrost map based on TTOP modelling for 2000–2016 at 1 km2 scale. Earth-Sci. Rev. 2019, 193, 299–316. [Google Scholar] [CrossRef]
- Biskaborn, B.K.; Smith, S.L.; Noetzli, J.; Matthes, H.; Vieira, G.; Streletskiy, D.A.; Schoeneich, P.; Romanovsky, V.E.; Lewkowicz, A.G.; Abramov, A.; et al. Permafrost is warming at a global scale. Nat. Commun. 2019, 10, 264. [Google Scholar] [CrossRef] [PubMed]
- Zhao, L.; Wu, X.; Wang, Z.; Sheng, Y.; Fang, H.; Zhao, Y.; Hu, G.; Li, W.; Pang, Q.; Shi, J.; et al. Soil organic carbon and total nitrogen pools in permafrost zones of the Qinghai-Tibetan Plateau. Sci. Rep. 2018, 8, 3656. [Google Scholar] [CrossRef] [PubMed]
- Wang, G.; Peng, Y.; Chen, L.; Abbott, B.W.; Ciais, P.; Kang, L.; Liu, Y.; Li, Q.; Peñuelas, J.; Qin, S.; et al. Enhanced response of soil respiration to experimental warming upon thermokarst formation. Nat. Geosci. 2024, 17, 532–538. [Google Scholar] [CrossRef]
- Hebin, L.I.U.; Mei, M.U.; Cuicui, M.U.; Xiaodong, W.U. Interpretation of IPCC Sixth Assessment Report: Observations and projections of permafrost carbon in the Northern Hemisphere. J. Glaciol. Geocryol. 2023, 45, 318–326. [Google Scholar]
- Dong, X.; Liu, C.; Wu, X.; Man, H.; Wu, X.; Ma, D.; Li, M.; Zang, S. Linking soil organic carbon mineralization with soil variables and bacterial communities in a permafrost-affected tussock wetland during laboratory incubation. Catena 2023, 221, 106783. [Google Scholar] [CrossRef]
- Dong, X.; Man, H.; Liu, C.; Wu, X.; Zhu, J.; Zheng, Z.; Ma, D.; Li, M.; Zang, S. Changes in soil bacterial community along a gradient of permafrost degradation in Northeast China. Catena 2023, 222, 106870. [Google Scholar] [CrossRef]
- Hobbie, S.E.; Nadelhoffer, K.J.; Högberg, P. A synthesis: The role of nutrients as constraints on carbon balances in boreal and arctic regions. Plant Soil 2002, 242, 163–170. [Google Scholar] [CrossRef]
- Wang, M.; Murphy, M.T.; Moore, T.R. Nutrient resorption of two evergreen shrubs in response to long-term fertilization in a bog. Oecologia 2014, 174, 365–377. [Google Scholar] [CrossRef]
- Song, Y.; Liu, C.; Wang, X.; Ma, X.; Jiang, L.; Zhu, J.; Gao, J.; Song, C. Microbial abundance as an indicator of soil carbon and nitrogen nutrient in permafrost peatlands. Ecol. Indic. 2020, 115, 106362. [Google Scholar] [CrossRef]
- Wang, X.W.; Tan, W.W.; Song, C.C.; Du, Y.; Zhang, H.; Chen, N. Characteristics of soil properties and microbial respiration activities in riparian forest wetland in permafrost region of northern Greater Khingan Mountains, China. Chin. J. Appl. Ecol. 2021, 32, 4237–4246. [Google Scholar]
- Liang, Y.; Ganzhu, Z.B.; Cao, X.J.; Zhang, W.N.; Zhang, Y.; Li, W.H.; Gao, Q.Z.; Wan, Y.F.; Li, Y.E.; Danjiu, L.N.; et al. Effects of simulated nitrogen deposition on greenhouse gas emissions from alpine meadows in northern Tibet. Acta Ecol. Sin. 2017, 37, 485–494. [Google Scholar]
- Meng, H.N.; Song, C.C.; Miao, Y.Q.; Mao, R.; Wang, X.W. Response of CH4 emissions to moss removal and N addition in boreal peatland of northeast China. Biogeosciences 2014, 11, 4809–4816. [Google Scholar] [CrossRef]
- Zhao, C.; Peng, S.; Ruan, H.H.; Zhang, Y.K. Effects of nitrogen deposition on soil microbes. J. Nanjing Forest. Univ. (Nat. Sci. Ed.) 2015, 39, 149–155. [Google Scholar]
- Ramirez, K.S.; Craine, J.M.; Fierer, N. Consistent effects of nitrogen amendments on soil microbial communities and processes across biomes. Glob. Chang. Biol. 2012, 18, 1918–1927. [Google Scholar] [CrossRef]
- Wallenstein, M.D.; McNulty, S.; Fernandez, I.J.; Boggs, J.; Schlesinger, W.H. Nitrogen fertilization decreases forest soil fungal and bacterial biomass in three long-term experiments. For. Ecol. Manag. 2006, 222, 459–468. [Google Scholar] [CrossRef]
- Bragazza, L.; Freeman, C.; Jones, T.; Rydin, H.; Limpens, J.; Fenner, N.; Ellis, T.; Gerdol, R.; Hájek, M.; Hájek, T.; et al. Atmospheric nitrogen deposition promotes carbon loss from peat bogs. Proc. Natl. Acad. Sci. USA 2006, 103, 19386–19389. [Google Scholar] [CrossRef]
- LeBauer, D.S.; Treseder, K.K. Nitrogen limitation of net primary productivity in terrestrial ecosystems is globally distributed. Ecology 2008, 89, 371–379. [Google Scholar] [CrossRef]
- Briones, M.J.; McNamara, N.P.; Poskitt, J.; Crow, S.E.; Ostle, N.J. Interactive biotic and abiotic regulators of soil carbon cycling: Evidence from controlled climate experiments on peatland and boreal soils. Glob. Chang. Biol. 2014, 20, 2971–2982. [Google Scholar] [CrossRef]
- Liu, Y.; He, N.; Wen, X.; Yu, G.; Gao, Y.; Jia, Y. Patterns and regulating mechanisms of soil nitrogen mineralization and temperature sensitivity in Chinese terrestrial ecosystems. Agric. Ecosyst. Environ. 2016, 215, 40–46. [Google Scholar] [CrossRef]
- Sui, X.; Zhang, R.T.; Zhong, H.X.; Xu, N.; Wang, J.F.; Liu, Y.Z.; Yuan, H.F.; Ni, H.W. Study of soil bacterial diversity in the Little Leaf Zhang wetland in the Sanjiang Plain using high-throughput sequencing. Soil 2015, 47, 919–925. [Google Scholar]
- Godin, A.; McLaughlin, J.W.; Webster, K.L.; Packalen, M.; Basiliko, N. Methane and methanogen community dynamics across a boreal peatland nutrient gradient. Soil Boil. Biochem. 2012, 48, 96–105. [Google Scholar] [CrossRef]
- Zhang, J.C.; Xu, Y.Q.; Lu, Y.H. Microbial mechanisms of methane production and oxidation in terrestrial ecosystems. Acta Ecol. Sin. 2015, 35, 6592–6603. [Google Scholar]
- Liu, L.; Greaver, T.L. A review of nitrogen enrichment effects on three biogenic GHGs: The CO2 sink may be largely offset by stimulated N2O and CH4 emission. Ecol. Lett. 2009, 12, 1103–1117. [Google Scholar] [CrossRef]
- Bubier, J.L.; Moore, T.R.; Bledzki, L.A. Effects of nutrient addition on vegetation and carbon cycling in an ombrotrophic bog. Glob. Chang. Biol. 2007, 13, 1168–1186. [Google Scholar] [CrossRef]
- Lai, D.Y.F.; Moore, T.R.; Roulet, N.T. Spatial and temporal variations of methane flux measured by autochambers in a temperate ombrotrophic peatland. J. Geophys. Res. Biogeo. 2014, 119, 864–880. [Google Scholar] [CrossRef]
- Jiang, I.; Lee, S.; Hong, J.H.; Kang, H.J. Methane oxidation rates in forest soils and their controlling variables: A review and a case study in Korea. Ecol. Res. 2006, 21, 849–854. [Google Scholar] [CrossRef]
- Juutinen, S.; Moore, T.R.; Bubier, J.L.; Arnkil, S.; Humphreys, E.; Marincak, B.; Roy, C.; Larmola, T. Long-term nutrient addition increased CH4 emission from a bog through direct and indirect effects. Sci. Rep. 2018, 8, 3838. [Google Scholar] [CrossRef]
- Li, Q.; Peng, C.H.; Zhang, J.B.; Li, Y.F.; Song, X.Z. Nitrogen addition decreases methane uptake caused by methanotroph and methanogen imbalances in a Moso bamboo forest. Sci. Rep. 2021, 11, 1–14. [Google Scholar] [CrossRef]
- Lohila, A.; Aurela, M.; Hatakka, J.; Pihlatie, M.; Minkkinen, K.; Penttilä, T.; Laurila, T. Responses of N2O fluxes to temperature, water table and N deposition in a northern boreal fen. Eur. J. Soil Sci. 2010, 61, 651–661. [Google Scholar] [CrossRef]
- Marushchak, M.E.; Pitkämäki, A.; Koponen, H.; Biasi, C.; Seppälä, M.; Martikainen, P.J. Hot spots for nitrous oxide emissions found in different types of permafrost peatlands. Glob. Chang. Biol. 2011, 17, 2601–2614. [Google Scholar] [CrossRef]
- Morales, S.E.; Jha, N.; Saggar, S. Biogeography and biophysicochemical traits link N2O emissions, N2O emission potential and microbial communities across New Zealand pasture soils. Soil Biol. Biochem. 2015, 82, 87–98. [Google Scholar] [CrossRef]
- Voigt, C.; Marushchak, M.E.; Lamprecht, R.E.; Jackowicz-Korczyński, M.; Lindgren, A.; Mastepanov, M.; Granlund, L.; Christensen, T.R.; Tahvanainen, T.; Martikainen, P.J.; et al. Increased nitrous oxide emissions from Arctic peatlands after permafrost thaw. Proc. Natl. Acad. Sci. USA 2017, 114, 6238–6243. [Google Scholar] [CrossRef] [PubMed]
- Zhang, R.T.; Ni, H.W.; Liu, W.N.; Fu, X.Y.; Wang, J.B. Effects of apoplankton addition and removal treatments on greenhouse gas emissions in the growing season of Little Leaf Zhang wetland in the Sanjiang Plain. J. Environ. Sci. 2020, 40, 1467–1475. [Google Scholar]
- Zhou, Y.F.; Nie, J.W.; Wang, Y.J.; Liu, Z.Y.; Zhu, B. Effect of nitrogen application level on abundance and community structure of paddy soil bacteria under rice-rice-Chinese milk vetch (Astragalus sinicus L.) cropping system. J. Agr. Res. Environ. 2018, 35, 508–517. [Google Scholar]
- Song, Y.; Song, C.; Hou, A.; Sun, L.; Wang, X.; Ma, X.; Jiang, L.; Liu, C.; Gao, J. Temperature, soil moisture, and microbial controls on CO2 and CH4 emissions from a permafrost peatland. Environ. Prog. Sustain. Energy 2021, 40, e13693. [Google Scholar] [CrossRef]
- Jiang, L.; Song, Y.Y.; Sun, L.; Song, C.C.; Wang, X.W.; Ma, X.Y.; Liu, C.; Gao, J.L. Effects of warming on carbon emission and microbial abundances across different soil depths of a peatland in the permafrost region under anaerobic condition. Appl. Soil Ecol. 2020, 156, 103712. [Google Scholar] [CrossRef]
- Gao, S.Q.; Song, Y.Y.; Song, C.C.; Ma, X.Y.; Jiang, L. Effects of warming and exogenous carbon input on the abundance of key microbial functional genes of carbon-nitrogen cycle in peatland soil. Acta Ecol. Sin. 2020, 40, 4617–4627. [Google Scholar]
- Graham, D.W.; Trippett, C.; Dodds, W.K.; O’Brien, J.M.; Banner, E.B.; Head, I.M.; Smith, M.S.; Yang, R.Y.; Knapp, C.W. Correlations between in situ denitrification activity and nir-gene abundances in pristine and impacted prairie streams. Environ. Pollut. 2010, 158, 3225–3229. [Google Scholar] [CrossRef]
- Pajares, S.; Merino-Ibarra, M.; Macek, M.; Alcocer, J. Vertical and seasonal distribution of picoplankton and functional nitrogen genes in a high-altitude warm-monomictic tropical lake. Freshwater Biol. 2017, 62, 1180–1193. [Google Scholar] [CrossRef]
- Novak, M.; Gebauer, G.; Thoma, M.; Curik, J.; Stepanova, M.; Jackova, I.; Buzek, F.; Barta, J.; Santruckova, H.; Fottova, D.; et al. Denitrification at two nitrogen-polluted, ombrotrophic Sphagnum bogs in Central Europe: Insights from porewater N2O-isotope profiles. Soil Boil. Biochem. 2015, 81, 48–57. [Google Scholar] [CrossRef]
- Ma, X.Y.; Jiang, L.; Song, Y.Y.; Zhang, L.; Song, C.C.; Hou, A.X.; Goa, J.L.; Du, Y. Effects of temperature and moisture changes on functional gene abundance of soil nitrogen cycle in permafrost peatland. Acta Ecol. Sin. 2021, 41, 6707–6717. [Google Scholar]
- Song, Y.Y.; Liu, C.; Song, C.C.; Wang, X.W.; Ma, X.Y.; Gao, J.L.; Gao, S.Q.; Wang, L. Linking soil organic carbon mineralization with soil microbial and substrate properties under warming in permafrost peatlands of Northeastern China. Catena 2021, 203, 105348. [Google Scholar] [CrossRef]
- Alexandrov, G.A.; Brovkin, V.A.; Kleinen, T.; Yu, Z. The capacity of northern peatlands for long-term carbon sequestration. Biogeosciences 2020, 17, 47–54. [Google Scholar] [CrossRef]
- Hugelius, G.; Strauss, J.; Zubrzycki, S.; Harden, J.W.; Schuur, E.A.G.; Ping, C.L.; Schirrmeister, L.; Grosse, G.; Michaelson, G.J.; Koven, C.D.; et al. Estimated stocks of circumpolar permafrost carbon with quantified uncertainty ranges and identified data gaps. Biogeosciences 2014, 11, 6573–6593. [Google Scholar] [CrossRef]
- Mishra, U.; Hugelius, G.; Shelef, E.; Yang, Y.; Strauss, J.; Lupachev, A.; Harden, J.W.; Jastrow, J.D.; Ping, C.L.; Riley, W.J.; et al. Spatial heterogeneity and environmental predictors of permafrost region soil organic carbon stocks. Sci. Adv. 2021, 7, eaaz5236. [Google Scholar] [CrossRef]
- Ward, S.E.; Bardgett, R.D.; McNamara, N.P.; Adamson, J.K.; Ostle, N.J. Long-term consequences of grazing and burning on northern peatland carbon dynamics. Ecosystems 2007, 10, 1069–1083. [Google Scholar] [CrossRef]
- Song, Y.Y.; Song, C.C.; Li, Y.C.; Hou, C.C.; Yang, G.S.; Zhu, X.Y. Short-term effect of nitrogen addition on litter and soil properties in Calamagrostis angustifolia freshwater marshes of Northeast China. Wetlands 2013, 33, 505–513. [Google Scholar] [CrossRef]
- Dong, X.; Liu, C.; Ma, D.; Wu, Y.; Man, H.; Wu, X.; Li, M.; Zang, S. Organic carbon mineralization and bacterial community of active layer soils response to short-term warming in the Great Hing’an Mountains of northeast China. Front. Microbiol. 2021, 12, 802213. [Google Scholar] [CrossRef]
- Lu, B.Q.; Song, L.Q.; Zang, S.Y.; Wang, H.X. Warming promotes soil CO2 and CH4 emissions but decreasing moisture inhibits CH4 emissions in the permafrost peatland of the Great Xing’an Mountains. Sci. Total Environ. 2022, 829, 154725. [Google Scholar] [CrossRef]
- Song, L.Q.; Zang, S.Y.; Lin, L.; Lu, B.Q.; Sun, C.F.; Jiao, Y.Q.; Wang, H.X. Responses of nitrous oxide fluxes to autumn freeze–thaw cycles in permafrost peatlands of the Da Xing’an Mountains, Northeast China. Environ. Sci. Poll. R. 2022, 29, 31700–31712. [Google Scholar] [CrossRef] [PubMed]
- Wang, X.; Song, C.; Wang, J.; Miao, Y.; Mao, R.; Song, Y. Carbon release from Sphagnum peat during thawing in a montane area in China. Atmos. Environ. 2013, 75, 77–82. [Google Scholar] [CrossRef]
- Yu, G.R.; Jia, Y.L.; He, N.P.; Zhu, J.X.; Chen, Z.; Wang, Q.F.; Piao, S.L.; Liu, X.J.; He, H.L.; Guo, X.B.; et al. Stabilization of atmospheric nitrogen deposition in China over the past decade. Nat. Geosci. 2019, 12, 424–429. [Google Scholar] [CrossRef]
- Mo, J.M.; Zhang, W.; Zhu, W.X.; Gundersen, P.; Fang, Y.T.; Li, D.J.; Wang, H. Nitrogen addition reduces soil respiration in a mature tropical forest in southern China. Glob. Chang. Biol. 2008, 14, 403–412. [Google Scholar] [CrossRef]
- Wang, Q.F.; Ma, M.C.; Jiang, X.; Guan, D.W.; Wei, D.; Zhao, B.S.; Chen, S.F.; Cao, F.M.; Li, L.; Yang, X.H.; et al. Impact of 36 years of nitrogen fertilization on microbial community composition and soil carbon cycling-related enzyme activities in rhizospheres and bulk soils in northeast China. Appl. Soil Ecol. 2019, 136, 148–157. [Google Scholar] [CrossRef]
- Lang, M.; Cai, Z.; Chang, S.X. Effects of land use type and incubation temperature on greenhouse gas emissions from Chinese and Canadian soils. J. Soils Sediments. 2011, 11, 15–24. [Google Scholar] [CrossRef]
- Liu, C.S.; Zhao, D.F.; Ma, W.J.; Guo, Y.D.; Wang, A.J.; Wang, Q.L.; Lee, D.J. Denitrifying sulfide removal process on high-salinity wastewaters in the presence of Halomonas sp. Appl. Microbiol. Biot. 2016, 100, 1421–1426. [Google Scholar] [CrossRef]
- Ge, S.X.; Shi, F.M.; Pei, J.H.; Hou, Z.H.; Zong, S.X.; Ren, L.L. Gut Bacteria Associated with Monochamus saltuarius (Coleoptera: Cerambycidae) and Their Possible Roles in Host Plant Adaptations. Front. Microbiol. 2021, 12, 687211. [Google Scholar] [CrossRef]
- Wang, H.; Yang, J.P.; Yang, S.H.; Yang, Z.C.; Lv, Y.M. Effect of a 10 °C-elevated temperature under different water contents on the microbial community in a tea orchard soil. Eur. J. Soil. Biol. 2014, 62, 113–120. [Google Scholar] [CrossRef]
- Steinberg, L.M.; Regan, J.M. mcrA-targeted real-time quantitative PCR method to examine methanogen communities. Appl. Environ. Microbio. 2009, 75, 4435–4442. [Google Scholar] [CrossRef]
- Holmes, A.J.; Roslev, P.; McDonald, I.R.; Iversen, N.; Henriksen, K.A.J.; Murrell, J.C. Characterization of methanotrophic bacterial populations in soils showing atmospheric methane uptake. Appl. Environ. Microbio. 1999, 65, 3312–3318. [Google Scholar] [CrossRef] [PubMed]
- Petersen, D.G.; Blazewicz, S.J.; Firestone, M.; Herman, D.J.; Turetsky, M.; Waldrop, M. Abundance of microbial genes associated with nitrogen cycling as indices of biogeochemical process rates across a vegetation gradient in Alaska. Environ. Microbiol. 2012, 14, 993–1008. [Google Scholar] [CrossRef] [PubMed]
- Braker, G.; Fesefeldt, A.; Witzel, K.P. Development of PCR primer systems for amplification of nitrite reductase genes (nirK and nirS) to detect denitrifying bacteria in environmental samples. Appl. Environ. Microbio. 1998, 64, 3769–3775. [Google Scholar] [CrossRef] [PubMed]
- Meng, H.; Zhou, Z.C.; Wu, R.N.; Wang, Y.F.; Gu, J.D. Diazotrophic microbial community and abundance in acidic subtropical natural and re-vegetated forest soils revealed by high-throughput sequencing of nifH gene. Appl. Microbiol. Biot. 2019, 103, 995–1005. [Google Scholar] [CrossRef] [PubMed]
- Kan, J.B.; Li, L.N.; Qu, D.; Wang, B.L. Changes in bacterial abundance and community structure associated with flooding in paddy soil. Biodivers. Sci. 2014, 22, 508–515. [Google Scholar]
- Liu, X.; Li, Q.; Tan, S.; Wu, X.; Song, X.; Gao, H.; Han, Z.; Jia, A.; Liang, G.; Li, S. Evaluation of carbon mineralization and its temperature sensitivity in different soil aggregates and moisture regimes: A 21-year tillage experiment. Sci. Total Environ. 2022, 837, 155566. [Google Scholar] [CrossRef]
- Fissore, C.; Giardina, C.P.; Kolka, R.K. Reduced substrate supply limits the temperature response of soil organic carbon decomposition. Soil Biol. Biochem. 2013, 67, 306–311. [Google Scholar] [CrossRef]
- Fang, C.; Smith, P.; Moncrieff, J.B.; Smith, J.U. Similar response of labile and resistant soil organic matter pools to changes in temperature. Nature 2005, 433, 57–59. [Google Scholar] [CrossRef]
- Song, C.C.; Zhang, L.H.; Wang, Y.Y.; Zhao, Z.Y. Annual Dynamics of CO2, CH4, N2O Emissions from freshwater marshes and affected by nitrogen fertilization. Environ. Sci. 2006, 27, 2369–2375. [Google Scholar]
- Li, Q.; Song, X.Z.; Chang, S.X.; Peng, C.H.; Xiao, W.F.; Zhang, J.B.; Xiang, W.H.; Li, Y.; Wang, W. Nitrogen depositions increase soil respiration and decrease temperature sensitivity in a Moso bamboo forest. Agric. For. Meteorol. 2019, 268, 48–54. [Google Scholar] [CrossRef]
- Meng, W.; Wu, F.; Wang, Z. Controlling factors and critical conditions of carbon sequestration and carbon source processes in wetland ecosystems. Ecol. Environ. Sci. 2011, 20, 1359–1366. [Google Scholar]
- Gong, X.; Li, Y.; Wang, X.; Niu, Y.; Lian, J.; Luo, Y. Soil CO2 emission characteristics and hydrothermal factors analysis in growing season of sandy grassland. Ecol. Environ. Sci. 2018, 27, 634–642. [Google Scholar]
- Alm, J.; Schulman, L.; Walden, J.; Nykänen, H.; Martikainen, P.J.; Silvola, J. Carbon balance of a boreal bog during a year with an exceptionally dry summer. Ecology 1999, 80, 161–174. [Google Scholar] [CrossRef]
- Ballhausen, M.B.; Hewitt, R.; Rillig, M.C. Mimicking climate warming effects on Alaskan soil microbial communities via gradual temperature increase. Sci. Rep. 2020, 10, 8533. [Google Scholar] [CrossRef] [PubMed]
- Xiang, X.; Wang, H.; Gong, L.; Liu, Q. Vertical variations and associated ecological function of bacterial communities from Sphagnum to underlying sediments in Dajiuhu Peatland. Sci. China Earth Sci. 2014, 57, 1013–1020. [Google Scholar] [CrossRef]
- Song, Y.; Cheng, X.; Song, C.; Li, M.; Gao, S.; Liu, Z.; Gao, J.; Wang, X. Soil CO2 and N2O emissions and microbial abundances altered by temperature rise and nitrogen addition in active-layer soils of permafrost peatland. Front. Microbiol. 2022, 13, 1093487. [Google Scholar] [CrossRef]
- Hyvönen, R.; Ågren, G.I.; Linder, S.; Persson, T.; Cotrufo, M.F.; Ekblad, A.; Freeman, M.; Grelle, A.; Janssens, I.A.; Jarvis, P.G.; et al. The likely impact of elevated [CO2], nitrogen deposition, increased temperature and management on carbon sequestration in temperate and boreal forest ecosystems: A literature review. New Phytol. 2007, 173, 463–480. [Google Scholar] [CrossRef]
- Cusack, D.F.; Silver, W.L.; Torn, M.S.; McDowell, W.H. Effects of nitrogen additions on above- and belowground carbon dynamics in two tropical forests. Biogeochemistry 2011, 104, 203–225. [Google Scholar] [CrossRef]
- Jang, I.; Lee, S.; Zoh, K.-D.; Kang, H. Methane concentrations and methanotrophic community structure influence the response of soil methane oxidation to nitrogen content in a temperate forest. Soil Biol. Biochem. 2011, 43, 620–627. [Google Scholar] [CrossRef]
- Zhang, D.; Mo, L.; Chen, X.; Zhang, L.; Xu, X. Effects of nitrogen addition on soil methane uptake in global forest biomes. Acta Ecol. Sin. 2017, 37, 8254–8263. [Google Scholar]
- Leifeld, J.; Wüst-Galley, C.; Page, S. Intact and managed peatland soils as a source and sink of GHGs from 1850 to 2100. Nat. Clim. Chang. 2019, 9, 945–947. [Google Scholar] [CrossRef]
- Kuzyakov, Y.; Xu, X. Competition between roots and microorganisms for nitrogen: Mechanisms and ecological relevance. New Phytol. 2013, 198, 656–669. [Google Scholar] [CrossRef] [PubMed]
- Reay, D.S.; Nedwell, D.B. Methane oxidation in temperate soils: Effects of inorganic N. Soil Biol. Biochem. 2004, 36, 2059–2065. [Google Scholar] [CrossRef]
- Nykänen, H.; Vasander, H.; Huttunen, J.T.; Martikainen, P.J. Effect of experimental nitrogen load on methane and nitrous oxide fluxes on ombrotrophic boreal peatland. Plant Soil 2002, 242, 147–155. [Google Scholar] [CrossRef]
- Song, L.; Tian, P.; Zhang, J.B.; Jin, G.Z. Effects of three years of simulated nitrogen deposition on soil nitrogen dynamics and greenhouse gas emissions in a Korean pine plantation of northeast China. Sci. Total Environ. 2017, 609, 1303–1311. [Google Scholar] [CrossRef]
- Zhou, X.B.; Lv, X.F.; Tao, Y.; Wu, L.; Havrilla, C.A.; Zhang, Y.M. Divergent responses of nitrous oxide, methane, and carbon dioxide exchange to pulses of nitrogen addition in a desert in Central Asia. Catena 2019, 173, 29–37. [Google Scholar] [CrossRef]
- Chen, J.H.; Zhang, Y.J.; Yang, Y.; Tao, T.T.; Sun, X.; Guo, P. Effects of increasing organic nitrogen inputs on CO2, CH4, and N2O fluxes in a temperate grassland. Environ. Pollut. 2021, 268, 115822. [Google Scholar] [CrossRef]
- Fu, Z.; Niu, S.; Dukes, J.S. What have we learned from global change manipulative experiments in China? A meta-analysis. Sci. Rep. 2015, 5, 12344. [Google Scholar] [CrossRef]
- Cheng, Y.; Zhang, J.B.; Wang, J.; Cai, Z.C.; Wang, S.Q. Soil pH is a good predictor of the dominating N2O production processes under aerobic conditions. J. Plant Nutr. Soil Sci. 2015, 178, 370–373. [Google Scholar] [CrossRef]
- Tian, J.; Dungait, J.A.J.; Lu, X.; Yang, Y.; Hartley, I.P.; Zhang, W.; Mo, J.; Yu, G.; Zhou, J.; Kuzyakov, Y. Long-term nitrogen addition modifies microbial composition and functions for slow carbon cycling and increased sequestration in tropical forest soil. Glob. Chang. Biol. 2019, 25, 3267–3281. [Google Scholar] [CrossRef]
- Srinivasan, S.; Jnana, A.; Murali, T.S. Modeling Microbial Community Networks: Methods and Tools for Studying Microbial Interactions. Microb. Ecol. 2024, 87, 56. [Google Scholar] [CrossRef] [PubMed]






| Target Gene | Primer | Sequence (F–R) | References |
|---|---|---|---|
| Bacteria | Eub338 Eub518 | ACTCCTACGGGAGGCAGCAG ATTACCGCGGCTGCTGG | [59] |
| Fungi | ITS1F AFP308 | CTTGGTCATTTAGAGGAAGTAA CTTGGTCATTTAGAGGAAGTAA | [43] |
| mcrA | merA-Mlas merA-rev | GGTGGTGTMGGDTTCACMCARTA CGTTCATBGCGTAGTTVGGRTAGT | [60] |
| pmoA | A189F Mb661R | GGNGACTGGGACTTCTGG CCGGMGCAACGTCYTTACC | [61] |
| nirS | cd3AF R3cd | GTSAACGTSAAGGARACSGG GASTTCGGRTGSGTCTTGA | [62] |
| nirK | FlaCu R3Cu | ATCATGGTSCTGCCGCG GCCTCGATCAGRTTGTGGTT | [63] |
| nifH | nifH-F nifH-R | AAAGGYGGWATCGGYAARTCCACCAC TTGTTSGCSGCRTACATSGCCATCAT | [64] |
Disclaimer/Publisher’s Note: The statements, opinions and data contained in all publications are solely those of the individual author(s) and contributor(s) and not of MDPI and/or the editor(s). MDPI and/or the editor(s) disclaim responsibility for any injury to people or property resulting from any ideas, methods, instructions or products referred to in the content. |
© 2024 by the authors. Licensee MDPI, Basel, Switzerland. This article is an open access article distributed under the terms and conditions of the Creative Commons Attribution (CC BY) license (https://creativecommons.org/licenses/by/4.0/).
Share and Cite
Lu, B.; Wu, X.; Song, L.; Sun, L.; Xie, R.; Zang, S. Nitrogen Addition Increased the Greenhouse Gas Emissions of Permafrost Peatland Due to the Abundance of Soil Microbial Functional Genes Increasing in the Great Khingan Mountains, Northeast China. Forests 2024, 15, 1985. https://doi.org/10.3390/f15111985
Lu B, Wu X, Song L, Sun L, Xie R, Zang S. Nitrogen Addition Increased the Greenhouse Gas Emissions of Permafrost Peatland Due to the Abundance of Soil Microbial Functional Genes Increasing in the Great Khingan Mountains, Northeast China. Forests. 2024; 15(11):1985. https://doi.org/10.3390/f15111985
Chicago/Turabian StyleLu, Boquan, Xiaodong Wu, Liquan Song, Li Sun, Ruifeng Xie, and Shuying Zang. 2024. "Nitrogen Addition Increased the Greenhouse Gas Emissions of Permafrost Peatland Due to the Abundance of Soil Microbial Functional Genes Increasing in the Great Khingan Mountains, Northeast China" Forests 15, no. 11: 1985. https://doi.org/10.3390/f15111985
APA StyleLu, B., Wu, X., Song, L., Sun, L., Xie, R., & Zang, S. (2024). Nitrogen Addition Increased the Greenhouse Gas Emissions of Permafrost Peatland Due to the Abundance of Soil Microbial Functional Genes Increasing in the Great Khingan Mountains, Northeast China. Forests, 15(11), 1985. https://doi.org/10.3390/f15111985

