The Hydration-Dependent Dynamics of Greenhouse Gas Fluxes of Epiphytic Lichens in the Permafrost-Affected Region
Abstract
1. Introduction
2. Materials and Methods
2.1. Study Site
2.2. Experimental Plots, Model Trees, EL Sample Collection
2.3. Study Objects
2.3.1. Species Characteristics
2.4. Methods for the Evaluation of EL Diversity
2.5. EL Incubation Experiments
2.5.1. An Examination of CO2 and CH4 Fluxes in the Most Common ELs of the Studied Region
2.5.2. Examination of the Effect of EL Water Content on the GHG Fluxes from the Surface of the Evernia mesomorpha During Incubation Under Illumination
2.6. Data Analysis
3. Results
3.1. Survey of EL Diversity in Larch Forests in the Permafrost Area
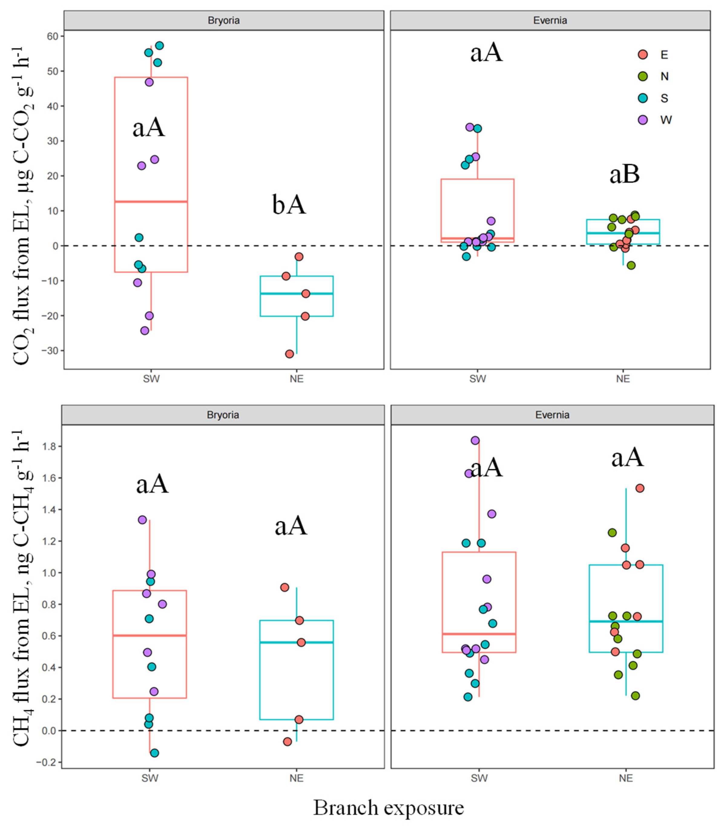
3.2. GHG Fluxes by the EL Species with the Highest Abundance and Occurrence
3.3. Impact of the EL Thallus Water Contents on the GHG Fluxes in Evernia mesomorpha, One of the Most Widespread EL Species in the Permafrost Zone
4. Discussion
4.1. EL Diversity in Larch Forest in Permafrost Area
4.2. Potential GHG (CH4 and CO2) Fluxes by EL Species in Permafrost Areas
5. Conclusions
Supplementary Materials
Author Contributions
Funding
Data Availability Statement
Acknowledgments
Conflicts of Interest
References
- Lenhart, K.; Klintzsch, T.; Langer, G.; Nehrke, G.; Bunge, M.; Schnell, S.; Keppler, F. Evidence for methane production by the marine algae Emiliania huxleyi. Biogeosciences 2016, 13, 3163–3174. [Google Scholar] [CrossRef]
- Saunois, M.; Stavert, A.R.; Poulter, B.; Bousquet, P.; Canadell, J.G.; Jackson, R.B.; Raymond, P.A.; Dlugokencky, E.J.; Houweling, S.; Patra, P.K.; et al. The global methane budget 2000–2017. Earth Syst. Sci. Data 2020, 12, 1561–1623. [Google Scholar] [CrossRef]
- Liu, L.Y.; Xie, G.J.; Ding, J.; Liu, B.F.; Xing, D.F.; Ren, N.Q.; Wang, Q. Microbial methane emissions from the non-methanogenesis processes: A critical review. Sci. Total Environ. 2022, 806, 151362. [Google Scholar] [CrossRef] [PubMed]
- Bižić, M.; Klintzsch, T.; Ionescu, D.; Hindiyeh, M.Y.; Günthel, M.; Muro-Pastor, A.M.; Eckert, W.; Urich, T.; Keppler, F.; Grossart, H.-P. Aquatic and terrestrial cyanobacteria produce methane. Sci. Adv. 2020, 6, eaax5343. [Google Scholar] [CrossRef]
- Klintzsch, T.; Langer, G.; Nehrke, G.; Wieland, A.; Lenhart, K.; Keppler, F. Methane production by three widespread marine phytoplankton species: Release rates, precursor compounds, and potential relevance for the environment. Biogeosciences 2019, 16, 4129–4144. [Google Scholar] [CrossRef]
- Kube, M.; Spedding, B.; Gao, L.; Fan, L.H.; Roddick, F. Nutrient removal by alginate immobilized Chlorella vulgaris: Response to different wastewater matrices. J. Chem. Technol. Biotechnol. 2020, 95, 1790–1799. [Google Scholar] [CrossRef]
- Klintzsch, T.; Langer, G.; Wieland, A.; Geisinger, H.; Lenhart, K.; Nehrke, G.; Keppler, F. Effects of temperature and light on methane production of widespread marine phytoplankton. J. Geophys. Res. Biogeosci. 2020, 125, e2020JG005793. [Google Scholar] [CrossRef]
- Fixen, K.R.; Zheng, Y.N.; Harris, D.F.; Shaw, S.; Yang, Z.-Y.; Dean, D.R.; Seefeldt, L.C.; Harwood, C.S. Light-driven carbon dioxide reduction to methane by nitrogenase in a photosynthetic bacterium. Proc. Natl. Acad. Sci. USA 2016, 113, 10163–10167. [Google Scholar] [CrossRef]
- Zheng, Y.N.; Harris, D.F.; Yu, Z.; Fu, Y.F.; Poudel, S.; Ledbetter, R.N.; Fixen, K.R.; Yang, Z.-Y.; Boyd, E.S.; Lidstrom, M.E.; et al. A pathway for biological methane production using bacterial iron-only nitrogenase. Nat. Microbiol. 2018, 3, 281–286. [Google Scholar] [CrossRef]
- Ernst, L.; Steinfeld, B.; Barayeu, U.; Klintzsch, T.; Kurth, M.; Grimm, D.; Dick, T.P.; Rebelein, J.G.; Bischofs, I.B.; Keppler, F. Methane Formation Driven by Reactive Oxygen Species Across all Living Organisms. Nature 2022, 603, 482–487. [Google Scholar] [CrossRef]
- Morana, C.; Bouillon, S.; Nolla-Ardèvol, V.; Roland, F.A.E.; Okello, W.; Descy, J.P.; Nankabirwa, A.; Nabafu, E.; Springael, D.; Borges, A.V. Methane paradox in tropical lakes? Sedimentary fluxes rather than pelagic production in oxic conditions sustain methanotrophy and emissions to the atmosphere. Biogeosciences 2020, 17, 5209–5221. [Google Scholar] [CrossRef]
- Günthel, M.; Donis, D.; Kirillin, G.; Ionescu, D.; Bizic, M.; McGinnis, D.F.; Grossart, H.-P.; Tang, K.W. Reply to ‘Oxic methanogenesis is only a minor source of lake wide diffusive CH4 emissions from lakes’. Nat. Commun. 2021, 12, 1205. [Google Scholar] [CrossRef] [PubMed]
- Lenhart, K.; Bunge, M.; Ratering, S.; Neu, T.R.; Schüttmann, I.; Greule, M.; Kammann, C.; Schnell, S.; Müller, C.; Zorn, H.; et al. Evidence for methane production by saprotrophic fungi. Nat. Commun. 2012, 3, 1046. [Google Scholar] [CrossRef] [PubMed]
- Schroll, M.; Keppler, F.; Greule, M.; Eckhardt, C.; Zorn, H.; Lenhart, K. The stable carbon isotope signature of methane produced by saprotrophic fungi. Biogeosciences 2020, 17, 3891–3901. [Google Scholar] [CrossRef]
- Beckmann, S.; Krüger, M.; Engelen, B.; Gorbushina, A.A.; Cypionka, H. Role of bacteria, archaea and fungi involved in methane release in abandoned coal mines. Geomicrobiol. J. 2011, 28, 347–358. [Google Scholar] [CrossRef]
- León-Palmero, E.; Contreras-Ruiz, A.; Sierra, A.; Morales-Baquero, R.; Reche, I. Dissolved CH4 coupled to photosynthetic picoeukaryotes in oxic waters and to cumulative chlorophyll a in anoxic waters of reservoirs. Biogeosciences 2020, 17, 3223–3245. [Google Scholar] [CrossRef]
- Lenhart, K.; Weber, B.; Elbert, W.; Steinkamp, J.; Clough, T.; Crutzen, P.; Pöschl, U.; Keppler, F. Nitrous oxide and methane emissions from cryptogamic covers. Glob. Chang. Biol. 2015, 21, 3889–3900. [Google Scholar] [CrossRef]
- Matvienko, A.I.; Evgrafova, S.Y.; Kovaleva, N.M.; Sideleva, E.V.; Sitnikova, M.V.; Menyailo, O.V.; Masyagina, O.V. Greenhouse Gas Fluxes from the Epiphytic Lichens: Incubation Experiments. Forests 2024, 15, 107. [Google Scholar] [CrossRef]
- Davidson, E.A.; Janssens, I.A. Temperature sensitivity of soil carbon decomposition and feedbacks to climate change. Nature 2006, 440, 165–173. [Google Scholar] [CrossRef]
- Bruhwiler, L.; Parmentier, F.J.W.; Crill, P.; Leonard, M.; Palmer, P.I. The Arctic carbon cycle and its response to changing climate. Curr. Clim. Chang. Rep. 2021, 7, 14–34. [Google Scholar] [CrossRef]
- de Vrese, P.; Stacke, T.; Kleinen, T.; Brovkin, V. Diverging responses of high-latitude CO2 and CH4 emissions in idealized climate change scenarios. Cryosphere 2021, 15, 1097–1130. [Google Scholar] [CrossRef]
- Thauer, R.K. Biochemistry of methanogenesis: A tribute to Marjory Stephenson: 1998 Marjory Stephenson prize lecture. Microbiology 1998, 144, 2377–2406. [Google Scholar] [CrossRef] [PubMed]
- Buan, N.R. Methanogens: Pushing the boundaries of biology. Emerg. Top. Life Sci. 2018, 2, 629–646. [Google Scholar] [PubMed]
- Gauslaa, Y.; Marit, L.I.E.; Ohlson, M. Epiphytic lichen biomass in a boreal Norway spruce forest. Lichenologist 2008, 40, 257–266. [Google Scholar] [CrossRef]
- Bartels, S.F.; Chen, H.Y. Dynamics of epiphytic macrolichen abundance, diversity and composition in boreal forest. J. Appl. Ecol. 2015, 52, 181–189. [Google Scholar] [CrossRef]
- Masyagina, O.V.; Menyailo, O.V. The impact of permafrost on carbon dioxide and methane fluxes in Siberia: A meta-analysis. Environ. Res. 2020, 182, 109096. [Google Scholar] [CrossRef]
- Máguas, C.; Pinho, P.; Branquinho, C.; Hartard, B.; Lakatos, M. Carbon-Water-Nitrogen relationships between lichens and the atmosphere: Tools to understand metabolism and ecosystem change. MycoKeys 2013, 6, 95–106. [Google Scholar] [CrossRef]
- Prokushkin, A.S.; Geis, T.N.; Kolosov, R.A.; Korets, M.A.; Panov, A.V.; Polosukhina, D.A.; Prokushkina, M.P.; Titov, S.V.; Tokareva, I.V.; Sidenko, N.V.; et al. Lateral carbon flux in the cryolithozone of central Siberia. Sib. Lesn. Zurnal (Sib. J. For. Sci.) 2024, 3, 67–82. (In Russian) [Google Scholar]
- Alexeev, V.A.; Berdsey, R.A. Carbon in Ecosystems of Forests and Peatlands of Russia; Ecos: Krasnoyarsk, Russia, 1994; 170p. (In Russian) [Google Scholar]
- Rocha, B.; Matos, P.; Giordani, P.; Piret, L.; Branquinho, C.; Casanelles-Abella, J.; Aleixo, C.; Deguines, N.; Hallikma, T.; Laanisto, L.; et al. Modelling the response of urban lichens to broad-scale changes in air pollution and climate. Environ. Pollut. 2022, 315, 120330. [Google Scholar] [CrossRef]
- Andreev, M.P. (Ed.) A Checklist of the Lichen Flora of Russia; Nauka: St. Petersburg, Russia, 2010; 194p. (In Russian) [Google Scholar]
- Lebedeva, N.V.; Krivolutsky, D.A.; Puzachenko, Y.G.; Dyakonov, K.N.; Aleshchenko, G.M.; Smurov, A.V.; Maksimov, V.N.; Tikunov, V.S.; Ogureeva, G.N.; Kotova, T.V. Geography and Monitoring of Biodiversity; Publishing House of the Scientific and Educational Methodological Center: Moscow, Russia, 2002; 432p. (In Russian) [Google Scholar]
- Lange, O.L.; Green, T.A.; Heber, U. Hydration-dependent photosynthetic production of lichens: What do laboratory studies tell us about field performance? J. Exp. Bot. 2001, 52, 2033–2042. [Google Scholar] [CrossRef]
- Duan, Z.; Homma, A.; Kobayashi, M.; Nagata, N.; Kaneko, Y.; Fujiki, Y.; Nishida, I. Photoassimilation, assimilate translocation and plasmodesmal biogenesis in the source leaves of Arabidopsis thaliana grown under an increased atmospheric CO2 concentration. Plant Cell Physiol. 2014, 55, 358–369. [Google Scholar] [CrossRef] [PubMed]
- Johansson, O.; Olofsson, J.; Giesler, R.; Palmqvist, K. Lichen responses to nitrogen and phosphorus additions can be explained by the different symbiont responses. New Phytol. 2011, 191, 795–805. [Google Scholar] [CrossRef] [PubMed]
- Pataki, D.E.; Ehleringer, J.R.; Flanagan, L.B.; Yakir, D.; Bowling, D.R.; Still, C.J.; Buchmann, N.; Kaplan, J.O.; Berry, J.A. The application and interpretation of Keeling plots in terrestrial carbon cycle research. Glob. Biogeochem. Cycles 2003, 17. [Google Scholar] [CrossRef]
- Lakatos, M.; Hartard, B.; Máguas, C. The stable isotopes δ13C and δ18O of lichens can be used as tracers of microenvironmental carbon and water sources. Terr. Ecol. 2007, 1, 77–92. [Google Scholar]
- Hauck, M. Site factors controlling epiphytic lichen abundance in northern coniferous forests. Flora-Morphol. Distrib. Funct. Ecol. Plants 2011, 206, 81–90. [Google Scholar] [CrossRef]
- Sun, H.J.; Friedmann, E.I. Communities adjust their temperature optima by shifting producer-to-consumer ratio, shown in lichens as models: II. Experimental verification. Microb. Ecol. 2005, 49, 528–535. [Google Scholar] [CrossRef]
- Bates, J.W. Influence of chemical and physical factors on Quercus and Fraxinus epiphytes at Loch Sunart, western Scotland: A multivariate analysis. J. Ecol. 1992, 80, 163–179. [Google Scholar] [CrossRef]
- Goward, T. Observations on the ecology of the lichen genus Bryoria in high elevation conifer forests. Can. Field-Nat. 1998, 112, 496–501. [Google Scholar] [CrossRef]
- Keppler, F.; Hamilton, J.T.G.; Braß, M.; Röckmann, T. Methane emissions from terrestrial plants under aerobic conditions. Nature 2006, 439, 187–191. [Google Scholar] [CrossRef]
- Brüggemann, N.; Meier, R.; Steigner, D.; Zimmer, I.; Louis, S.; Schnitzler, J.P. Nonmicrobial aerobic methane emission from poplar shoot cultures under low-light conditions. New Phytol. 2009, 182, 912–918. [Google Scholar] [CrossRef]
- Wishkerman, A.; Greiner, S.; Ghyczy, M.; Boros, M.; Rausch, T.; Lenhart, K.; Keppler, F. Enhanced formation of methane in plant cell cultures by inhibition of cytochrome c oxidase. Plant Cell Environ. 2011, 34, 457–464. [Google Scholar] [CrossRef] [PubMed]
- Lenhart, K.; Althoff, F.; Greule, M.; Keppler, F. Technical Note: Methionine, a precursor of methane in living plants. Biogeosciences 2015, 12, 1907–1914. [Google Scholar] [CrossRef]
- Máguas, C.; Griffiths, H.; Broadmeadow, M.S.J. Gas exchange and carbon isotope discrimination in lichens: Evidence for interactions between CO2-concentrating mechanisms and diffusion limitation. Planta 1995, 196, 95–102. [Google Scholar] [CrossRef]
- Tentyukov, M.P.; Belan, B.D.; Simonenkov, D.V.; Patov, S.A.; Mikhailov, V.I.; Simonova, G.V.; Plyusnin, S.N.; Bobrov, Y.A. Lichen Exometabolites as Possible Precursors of Secondary Organic Aerosols. Atmos. Ocean. Opt. 2024, 37, 174–182. [Google Scholar] [CrossRef]
- Proctor, M.C. The bryophyte paradox: Tolerance of desiccation, evasion of drought. Plant Ecol. 2000, 151, 41–49. [Google Scholar] [CrossRef]
- Kappen, L.; Valladares, F. Opportunistic growth and desiccation tolerance: The ecological success of poikilohydrous autotrophs. In Functional Plant Ecology; CRC Press: Boca Raton, FL, USA, 2007; pp. 7–66. [Google Scholar]
- Green, T.A.; Sancho, L.G.; Pintado, A. Ecophysiology of desiccation/rehydration cycles in mosses and lichens. In Plant Desiccation Tolerance; Springer: Berlin/Heidelberg, Germany, 2011; pp. 89–120. [Google Scholar]
- Phinney, N.H.; Solhaug, K.A.; Gauslaa, Y. Rapid resurrection of chlorolichens in humid air: Specific thallus mass drives rehydration and reactivation kinetics. Environ. Exp. Bot. 2018, 148, 184–191. [Google Scholar] [CrossRef]
- Snelgar, W.P.; Green, T.G.A.; Wilkins, A.L. Carbon dioxide exchange in lichens: Resistances to CO2 uptake at different thallus water contents. New Phytol. 1981, 88, 353–361. [Google Scholar] [CrossRef]
- Palmqvist, K.; Máguas, C.; Badger, M.R.; Griffiths, H. Assimilation, accumulation and isotope discrimination of inorganic carbon in lichens: Further evidence for the operation of a CO2 concentrating mechanism in cyanobacterial lichens. Cryptogam. Bot. 1994, 4, 218–226. [Google Scholar]
- Smith, E.C.; Griffiths, H. The occurrence of the chloroplast pyrenoid is correlated with the activity of a CO2-concentrating mechanism and carbon isotope discrimination in lichens and bryophytes. Planta 1996, 198, 6–16. [Google Scholar] [CrossRef]
- Bartlett, S.G.; Mitra, M.; Moroney, J.V. CO2 concentrating mechanisms. In The Structure and Function of Plastids; Springer: Dordrecht, The Netherlands, 2007; pp. 253–271. [Google Scholar]
- Pronina, N.A.; Kupriyanova, E.V. CO2-Concentrating Mechanisms of Cyanobacteria and Microalgae; Scientific World: Moscow, Russia, 2021; 240p. (In Russian) [Google Scholar]
- Frost, S.C.; McKenna, R. (Eds.) Carbonic Anhydrase: Mechanism, Regulation, Links to Disease, and Industrial Applications; Springer Science & Business Media: Berlin/Heidelberg, Germany, 2013; Volume 75. [Google Scholar]
- Karrasch, M.; Bott, M.; Thauer, R.K. Carbonic anhydrase activity in acetate grown Methanosarcina barkeri. Arch. Microbiol. 1989, 151, 137–142. [Google Scholar] [CrossRef]
- Alber, B.E.; Ferry, J.G. A carbonic anhydrase from the archaeon Methanosarcina thermophila. Proc. Natl. Acad. Sci. USA 1994, 91, 6909–6913. [Google Scholar] [CrossRef] [PubMed]
- Amoroso, G.; Sültemeyer, D.; Thyssen, C.; Fock, H.P. Uptake of HCO3− and CO2 in cells and chloroplasts from the microalgae Chlamydomonas reinhardtii and Dunaliella tertiolecta. Plant Physiol. 1998, 116, 193–201. [Google Scholar] [CrossRef]
- Price, G.D.; Badger, M.R.; Woodger, F.J.; Long, B.M. Advances in understanding the cyanobacterial CO2-concentrating-mechanism (CCM): Functional components, Ci transporters, diversity, genetic regulation and prospects for engineering into plants. J. Exp. Bot. 2008, 59, 1441–1461. [Google Scholar] [CrossRef] [PubMed]
- Moroney, J.V.; Ma, Y.; Frey, W.D.; Fusilier, K.A.; Pham, T.T.; Simms, T.A.; DiMario, R.J.; Yang, J.; Mukherjee, B. The carbonic anhydrase isoforms of Chlamydomonas reinhardtii: Intracellular location, expression, and physiological roles. Photosynth. Res. 2011, 109, 133–149. [Google Scholar] [CrossRef]
- Sinetova, M.A.; Kupriyanova, E.V.; Markelova, A.G.; Allakhverdiev, S.I.; Pronina, N.A. Identification and functional role of the carbonic anhydrase Cah3 in thylakoid membranes of pyrenoid of Chlamydomonas reinhardtii. Biochim. Biophys. Acta BBA-Bioenerg. 2012, 1817, 1248–1255. [Google Scholar] [CrossRef]
- Kupriyanova, E.V.; Sinetova, M.A.; Markelova, A.G.; Allakhverdiev, S.I.; Los, D.A.; Pronina, N.A. Extracellular β-class carbonic anhydrase of the alkaliphilic cyanobacterium Microcoleus chloroplastes. J. Photochem. Photobiol. B Biol. 2011, 103, 78–86. [Google Scholar] [CrossRef]
- Kupriyanova, E.V.; Sinetova, M.A.; Mironov, K.S.; Novikova, G.V.; Dykman, L.A.; Rodionova, M.V.; Gabrielyan, D.A.; Los, D.A. Highly active extracellular α-class carbonic anhydrase of Cyanothece sp. ATCC 51142. Biochimie 2019, 160, 200–209. [Google Scholar] [CrossRef]
- Long, B.M.; Rae, B.D.; Rolland, V.; Förster, B.; Price, G.D. Cyanobacterial CO2-concentrating mechanism components: Function and prospects for plant metabolic engineering. Curr. Opin. Plant Biol. 2016, 31, 1–8. [Google Scholar] [CrossRef]
- Sun, N.; Han, X.; Xu, M.; Kaplan, A.; Espie, G.S.; Mi, H. A thylakoid-located carbonic anhydrase regulates CO2 uptake in the cyanobacterium Synechocystis sp. PCC 6803. New Phytol. 2019, 222, 206–217. [Google Scholar] [CrossRef]
- Kikutani, S.; Nakajima, K.; Nagasato, C.; Tsuji, Y.; Miyatake, A.; Matsuda, Y. Thylakoid luminal θ-carbonic anhydrase critical for growth and photosynthesis in the marine diatom Phaeodactylum tricornutum. Proc. Natl. Acad. Sci. USA 2016, 113, 9828–9833. [Google Scholar] [CrossRef]
- Schlicker, C.; Hall, R.A.; Vullo, D.; Middelhaufe, S.; Gertz, M.; Supuran, C.T.; Mühlschlegel, F.A.; Steegborn, C. Structure and inhibition of the CO2-sensing carbonic anhydrase Can2 from the pathogenic fungus Cryptococcus neoformans. J. Mol. Biol. 2009, 385, 1207–1220. [Google Scholar] [CrossRef] [PubMed]
- Elleuche, S.; Pöggeler, S. Carbonic anhydrases in fungi. Microbiology 2010, 156, 23–29. [Google Scholar] [CrossRef] [PubMed]
- Supuran, C.T. Structure and function of carbonic anhydrases. Biochem. J. 2016, 473, 2023–2032. [Google Scholar] [CrossRef]
- Grube, M. Lichens. In Fungal Associations. The Mycota; Hsueh, Y.P., Blackwell, M., Eds.; Springer: Cham, Switzerland, 2024; Volume 9. [Google Scholar] [CrossRef]
- Price, G.D.; Badger, M. Expression of human carbonic anhydrase in the cyanobacterium Synechococcus PCC7942 creates a high CO2-requiring phenotype: Evidence for a central role for carboxysomes in the CO2 concentrating mechanism. Plant Physiol. 1989, 91, 505–513. [Google Scholar] [CrossRef]
- McKay, R.M.L.; Gibbs, S.P. Composition and function of pyrenoids: Cytochemical and immunocytochemical approaches. Can. J. Bot. 1991, 69, 1040–1052. [Google Scholar] [CrossRef]
- da SL Sternberg, L.; Moreira, M.Z.; Martinelli, L.A.; Victoria, R.L.; Barbosa, E.M.; Bonates, L.C.; Nepstad, D.C. Carbon dioxide recycling in two Amazonian tropical forests. Agric. For. Meteorol. 1997, 88, 259–268. [Google Scholar] [CrossRef]
- Klintzsch, T.; Geisinger, H.; Wieland, A.; Langer, G.; Nehrke, G.; Bizic, M.; Greule, M.; Lenhart, K.; Borsch, C.; Schroll, M.; et al. Stable carbon isotope signature of methane released from phytoplankton. Geophys. Res. Lett. 2023, 50, e2023GL103317. [Google Scholar] [CrossRef]










| Factors | Kruskal–Wallis Chi-Squared | p-Value |
|---|---|---|
| CO2 fluxes | ||
| Day of the incubation | 1.3757 | 0.5027 |
| EL species | 2.2458 | 0.134 |
| Exposure of the ELs | 6.0341 | 0.11 |
| CH4 fluxes | ||
| Day of the incubation | 2.3341 | 0.3113 |
| EL species | 2.3674 | 0.1239 |
| Exposure of the ELs | 5.5712 | 0.1344 |
| Factors | Kruskal–Wallis Chi-Squared | p-Value |
|---|---|---|
| CO2 fluxes | ||
| Day of the incubation | 1.5437 | 0.4621 |
| Water content | 7.832 | 0.04961 ** |
| Exposure of the ELs | 2.2122 | 0.5295 |
| CH4 fluxes | ||
| Day of the incubation | 14.695 | 0.0006 *** |
| Water content | 4.9773 | 0.1735 |
| Exposure of the ELs | 2.993 | 0.3927 |
Disclaimer/Publisher’s Note: The statements, opinions and data contained in all publications are solely those of the individual author(s) and contributor(s) and not of MDPI and/or the editor(s). MDPI and/or the editor(s) disclaim responsibility for any injury to people or property resulting from any ideas, methods, instructions or products referred to in the content. |
© 2024 by the authors. Licensee MDPI, Basel, Switzerland. This article is an open access article distributed under the terms and conditions of the Creative Commons Attribution (CC BY) license (https://creativecommons.org/licenses/by/4.0/).
Share and Cite
Masyagina, O.V.; Evgrafova, S.Y.; Kovaleva, N.M.; Detsura, A.E.; Porfirieva, E.V.; Menyailo, O.V.; Matvienko, A.I. The Hydration-Dependent Dynamics of Greenhouse Gas Fluxes of Epiphytic Lichens in the Permafrost-Affected Region. Forests 2024, 15, 1962. https://doi.org/10.3390/f15111962
Masyagina OV, Evgrafova SY, Kovaleva NM, Detsura AE, Porfirieva EV, Menyailo OV, Matvienko AI. The Hydration-Dependent Dynamics of Greenhouse Gas Fluxes of Epiphytic Lichens in the Permafrost-Affected Region. Forests. 2024; 15(11):1962. https://doi.org/10.3390/f15111962
Chicago/Turabian StyleMasyagina, Oxana V., Svetlana Yu. Evgrafova, Natalia M. Kovaleva, Anna E. Detsura, Elizaveta V. Porfirieva, Oleg V. Menyailo, and Anastasia I. Matvienko. 2024. "The Hydration-Dependent Dynamics of Greenhouse Gas Fluxes of Epiphytic Lichens in the Permafrost-Affected Region" Forests 15, no. 11: 1962. https://doi.org/10.3390/f15111962
APA StyleMasyagina, O. V., Evgrafova, S. Y., Kovaleva, N. M., Detsura, A. E., Porfirieva, E. V., Menyailo, O. V., & Matvienko, A. I. (2024). The Hydration-Dependent Dynamics of Greenhouse Gas Fluxes of Epiphytic Lichens in the Permafrost-Affected Region. Forests, 15(11), 1962. https://doi.org/10.3390/f15111962

