Farmers’ Perception of Shelter Forests and the Influencing Factors in Windy Desert Areas of the Hexi Corridor, China
Abstract
1. Introduction
2. Materials and Methods
2.1. Study Area
2.2. Data Source
2.3. Methods
2.3.1. Research Framework and Indicators
2.3.2. Perception Assessment Model
2.3.3. Farmers’ Willingness to Pay for Shelter Forest Construction and Protection
2.3.4. Analysis of the Factors Affecting Farmers’ Perception of Shelter Forest
3. Results
3.1. Farmers’ Perception of Shelter Forests
3.1.1. Farmers’ Perception of the Status and Ecosystem Services of Shelter Forest
- −
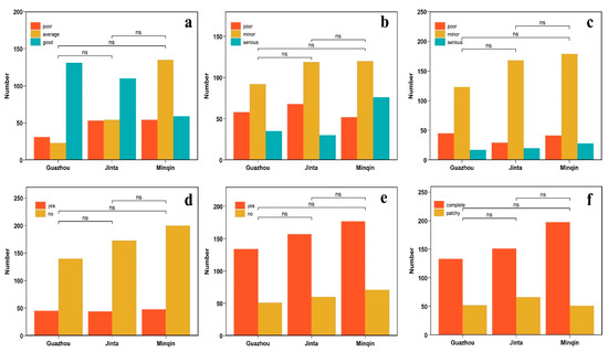
- Completeness: A total of 74% and 26% of the farmers thought that the shelter forest system was complete and patchy, respectively. The perceived patchiness of some farmers was mainly due to the homogeneity of the tree species in the area as well as the decline and death of certain species due to poor drought resistance.
- −
- Livestock destruction: The proportion of farmers who thought that the shelter forests were not damaged/were damaged by livestock was 79% and 21%, respectively. According to the interviewees, with the national policy of returning farmland to forests and the implementation of the closed grazing policy, the local area is dominated by the captive breeding of livestock, so livestock rarely destroys the forest areas.
- −
- Water supply: A total of 28% and 72% of the farmers thought that the shelter forest had guaranteed water/did not have guaranteed water, respectively. Through farmers’ reflections and field inspections, the reason why there was no guarantee of water supply in the windbreak sand-fixing forest area (WSF) was that part of it comes from natural precipitation in addition to regular irrigation by local villages and forestry and grassland departments.
- −
- Pests and diseases: A total of 22%, 51%, and 27% of the farmers thought that the pests and diseases in the shelter forests were at the level of no pests and disease, minor pests and disease, and serious pests and disease, respectively. Respondents reported that in farmland shelter forests (FSF), the main problems are rotten bark, brown spots, rust, aphids, and asphodel, while in windbreak sand-fixing forests (WSF), the main problems are dead branches, powdery mildew, and rodent infestation.
- −
- Destruction of farmland: The proportion of farmers who thought that the shelter forests were competing with agricultural land for nutrients and water was 10%, 72%, and 18% for no competition, minor competition, and serious competition, respectively. Serious impacts are mainly found in the shelter forests adjacent to agricultural land (FSF).
3.1.2. Regional Divergence in Farmers’ Perception of Shelter Forests
3.2. Farmers’ Willingness to Pay for Shelter Forest Construction and Protection
3.3. Factors Influencing Farmers’ Perception of Shelter Forest
4. Discussion
5. Conclusions
Author Contributions
Funding
Data Availability Statement
Acknowledgments
Conflicts of Interest
Appendix A. Questionnaire
- Shelter forest survey No:
- Purpose: Healthy and sustainable growth of shelter forest
- Survey location:Survey time:
- Name:Age:Gender:
- Picture number: Family population:
- 1 Education level: (1): primary school and below (2): junior high school
- (3): high school and above
- 2 Annual household income:
- (1): ≤20,000; (2): 20,001–40,000; (3): 40,001–60,000; (4): >60,000 (CNY)
- 3 Distance to sand source:
- (1): less than 1 km (2): 1–5 km; (3): more than 5 km
- 4 Environmental experience:
- (1): no (2): afforestation (3): village construction (4): agroforestry training
- 5 Willingness to pay for shelter forest construction and protection (CNY)
- (1): none; (2): 0–10; (3):11–50; (4):51–100; (5): >100 Specific amounts:
- Shelter forest perception (please select your answer by marking)
- 6 Growth condition: poor: 1 average: 2 good: 3
- 7 Pests and diseases: no: 3 minor: 2 serious: 1
- 8 Destruction of farmland: no: 3 minor: 2 serious: 1
- 9 Completeness: complete: 1 patchy: 0
- 10 Water supply: yes: 1 no: 0
- 11 Livestock destruction: yes: 0 no: 1
- 12 Windbreak and sand fixation: poor: 1 average: 2 good: 3
- 13 Climate regulation poor: 1 average: 2 good: 3
- 14 Sense of locality: poor: 1 average: 2 good: 3
- 15 Agricultural production: poor: 1 average: 2 good: 3
- 16 Leisure and recreation: poor: 1 average: 2 good: 3
- 17 Soil improvement poor: 1 average: 2 good: 3
- Note: The number indicates the corresponding score; if you can’t understand the question, please refer to the explanation below or inquiry us.
- Growth condition: shelter forest growing good or poor
- Pests and diseases: express whether there are pests and diseases in shelter forest
- Destruction of farmland: express whether shelter forest growth is affecting crops
- Completeness: express whether varieties of shelter forest are single or abundant
- Water supply: express whether shelter forests have an abundant water supply
- Livestock destruction: express whether shelter forests have livestock destruction
- Windbreak and sand fixation: express shelter forest protection against wind and sand
- Climate regulation: express shelter forests make the climate better
- Sense of locality: express the local importance of the shelter forest
- Agricultural production: express shelter forest protects crops from harm and increases production
- Leisure and recreation: play cards and enjoy the cool under the shelter forest
- Soil improvement: the quality of the soil becomes better after the planting of shelter forest
References
- Atangana, A.; Khasa, D.; Chang, S.; Degrande, A. Agroforestry for soil conservation. In Tropical Agroforestry; Springer: Dordrecht, The Netherlands, 2013; pp. 203–216. [Google Scholar]
- Ding, S.S.; Su, P.X. Effects of tree shading on maize crop within a Poplar-maize compound system in Hexi Corridor oasis, northwestern China. Agrofor. Syst. 2010, 80, 117–129. [Google Scholar] [CrossRef]
- Marais, Z.E.; Baker, T.P.; Hunt, M.A.; Mendham, D. Shelterbelt species composition and age determine structure: Consequences for ecosystem services. Agric. Ecosyst. Environ. 2022, 329, 107884. [Google Scholar] [CrossRef]
- Sun, L.B.; Chang, X.M.; Yu, X.X.; Jia, G.D.; Chen, L.H.; Liu, Z.Q.; Zhu, X.H. Precipitation and soil water thresholds associated with drought-induced mortality of farmland shelter forests in a semi-arid area. Agric. Ecosyst. Environ. 2019, 284, 106595. [Google Scholar] [CrossRef]
- Liu, Z.Q.; Jia, G.D.; Yu, X.X.; Lu, W.W.; Zhang, J.M. Water use by broadleaved tree species in response to changes in precipitation in a mountainous area of Beijing. Agric. Ecosyst. Environ. 2018, 251, 132–140. [Google Scholar] [CrossRef]
- Li, J. A simulation approach to optimizing the vegetation covers under the water constraint in the Yellow River Basin. For. Policy Econ. 2021, 123, 102377. [Google Scholar] [CrossRef]
- Zhai, J.J.; Wang, L.; Liu, Y.; Wang, C.Y.; Mao, X.G. Assessing the effects of China’s Three-North Shelter Forest Program over 40 years. Sci. Total Environ. 2022, 857, 159354. [Google Scholar] [CrossRef]
- Mu, H.W.; Li, X.C.; Ma, H.J.; Du, X.P.; Huang, J.X.; Su, W.; Yu, Z.; Xu, C.; Liu, H.L.; Yin, D.Q.; et al. Evaluation of the policy-driven ecological network in the Three-North Shelterbelt region of China. Landsc. Urban Plan. 2022, 218, 104305. [Google Scholar] [CrossRef]
- Zhang, Y.Z.; Xu, X.Y.; Liu, H.J.; Wang, L.; Niu, D.N. Study on Sustainability of Shelter Forest Construction and Protection Behavior of Farmers in the Sandstorm Area of Hexi Corridor, China. Sustainability 2023, 15, 5242. [Google Scholar] [CrossRef]
- Xu, J.T.; Hyde, W.F. China’s second round of forest reforms: Observations for China and implications globally. For. Policy Econ. 2019, 98, 19–29. [Google Scholar] [CrossRef]
- European Commission. New EU Forest Strategy for 2030. Communication from the Commission to the European Parliament, the Council, the European Economic and Social Committee and the Committee of the Regions, COM(2021) 572 Final; European Commission: Brussels, Belgium, 2021. [Google Scholar]
- European Commission. The European Green Deal. COM (2019) 640 Final; European Commission: Brussels, Belgium, 2019. [Google Scholar]
- Fusco, G. Twenty Years of Common Agricultural Policy in Europe: A Bibliometric Analysis. Sustainability 2021, 13, 10650. [Google Scholar] [CrossRef]
- De Castro, P.; Miglietta, P.P.; Vecchio, Y. The Common Agricultural Policy 2021–2027: A new history for European agriculture. Ital. Rev. Agric. Econ. 2020, 75, 5–12. [Google Scholar]
- Haber, J. Creating the Next Generation of National Forest Plans; Bolle Center for People and Forests: Missoula, MT, USA, 2015; pp. 1–29. [Google Scholar]
- Duesberg, S.; Upton, V.; O’Connor, D.; Dhubháin, A. Factors influencing Irish farmers’ afforestation intention. For. Policy Econ. 2014, 39, 13–20. [Google Scholar] [CrossRef]
- Choat, B.; Brodribb, T.J.; Brodersen, C.R.; Duursma, R.A.; López, R.; Medlyn, B.E. Triggers of tree mortality under drought. Nature 2018, 558, 531–539. [Google Scholar] [CrossRef] [PubMed]
- Sun, S.J.; Qiu, L.F.; He, C.X.; Li, C.Y.; Zhang, J.S.; Meng, P. Drought-Affected Populus simonii Carr. Show Lower Growth and Long-Term Increases in Intrinsic Water-Use Efficiency Prior to Tree Mortality. Forests 2018, 9, 564. [Google Scholar] [CrossRef]
- Zhu, J.J.; Li, F.Q.; Xu, M.L.; Kang, H.Z.; Wu, X.Y. The role of ectomycorrhizal fungi in alleviating pine decline in semiarid sandy soil of northern China: An experimental approach. Ann. For. Sci. 2008, 65, 304. [Google Scholar] [CrossRef]
- Lawrence, A.; Deuffic, P.; Hujala, T.; Nichiforel, L.; Feliciano, D.; Jodlowski, K.; Lind, T.; Marchal, D.; Talkkari, A.; Teder, M.; et al. Extension, advice and knowledge systems for private forestry: Understanding diversity and change across Europe. Land Use Policy 2020, 94, 104522. [Google Scholar] [CrossRef]
- Starr, S.E.; McConnell, T.E. Changes in Ohio Tree Farmers’ Forest Management Strategies and Outreach Needs. For. Sci. 2014, 60, 811–816. [Google Scholar] [CrossRef]
- Meijer, S.S.; Catacutan, D.; Sileshi, G.W.; Nieuwenhuis, M. Tree planting by smallholder farmers in Malawi: Using the theory of planned behaviour to examine the relationship between attitudes and behaviour. J. Environ. Psychol. 2015, 43, 1–12. [Google Scholar] [CrossRef]
- Song, S.Y.; Xu, D.Y.; Zhang, X.Y. Afforestation Subsidy Determination for Haloxylon ammodendron (CAMey.) Bunge in China Based on Cost-Benefit Analysis. Forests 2022, 13, 497. [Google Scholar] [CrossRef]
- Duesberg, S.; Dhubháin, A.; O’Connor, D. Assessing policy tools for encouraging farm afforestation in Ireland. Land Use Policy 2014, 38, 194–203. [Google Scholar] [CrossRef]
- Duesberg, S.; O’Connor, D.; Dhubháin, A.N. To plant or not to plant—Irish farmers’ goals and values with regard to afforestation. Land Use Policy 2013, 32, 155–164. [Google Scholar] [CrossRef]
- Burton, R.J.F. The Role of Farmer Self-identity in Agricultural Decision Making in the Marston Vale Community Forest. Ph.D. Thesis, De Montfort University, Leicester, UK, 1998. [Google Scholar]
- Silva, E. Avaliação qualitativa de impactos ambientais do reflorestamento no Brasil. In Ciência Florestal; Universidade Federal de Viçosa (UFLA): Viçosa, Brasil, 1994; p. 309. [Google Scholar]
- Gonçalves, J.L.D.; Ferraz, A.D.; Rocha, J.H.T.; Peressin, M.; Alvares, C.A. Forest outgrower schemes in small and medium-sized farmers in Brazil. For. Ecol. Manag. 2020, 456, 117654. [Google Scholar] [CrossRef]
- Xu, C.; Lin, F.L.; Li, C.Z.; Cheng, B.D. Effects of designating non-public forests for ecological purposes on farmer’s forestland investment: A quasi-experiment in southern China. For. Policy Econ. 2022, 143, 102804. [Google Scholar] [CrossRef]
- Liang, X.Y.; Xin, Z.B.; Shen, H.Y.; Yan, T.F. Deep soil water deficit causes Populus simonii Carr degradation in the three north shelterbelt region of China. J. Hydrol. 2022, 612, 128201. [Google Scholar] [CrossRef]
- Li, Q.; Xue, Z.; Cheng, H.M.; Xu, C.Z. Cognitive ecology and payment decision-making behavior based on the theory of CVM in the Tarim River Basin. Resour. Sci. 2016, 38, 1075–1087. (In Chinese) [Google Scholar]
- Cheng, S.F.; Zhang, H.L.; Li, J. Cognitive norms, environmental regulation, and the practice path of green development of smallholders: A case study of farmland shelterbelt production and management. J. Lanzhou 2023, 05, 94–108. (In Chinese) [Google Scholar]
- Visintin, F.; Bassi, I.; Deotto, V.; Iseppi, L. The Demand of Forest Bathing in Northern Italy’s Regions: An Assessment of the Economic Value. Forests 2024, 15, 1350. [Google Scholar] [CrossRef]
- Cai, Q.; Sun, B.; Zhang, X.; Bo, W.; Wang, G.; Zhou, Z. Forest Biological Disaster Control Behaviors of Forest Farmers and Their Spatial Heterogeneity in China. Forests 2024, 15, 970. [Google Scholar] [CrossRef]
- Li, Z.X.; Gui, J.; Wang, X.F.; Feng, Q.; Zhao, T.T.G.; Ouyang, C.J.; Guo, X.Y.; Zhang, B.J.; Shi, Y. Water resources in inland regions of central Asia: Evidence from stable isotope tracing. J. Hydrol. 2019, 570, 1–16. [Google Scholar] [CrossRef]
- Liu, X.R. The Silk Road in World History; Oxford University Press: Oxford, UK, 2010. [Google Scholar]
- Shao, W.Y.; Wang, Q.Z.; Guan, Q.Y.; Zhang, J.; Yang, X.Y.; Liu, Z. Environmental sensitivity assessment of land desertification in the Hexi Corridor, China. Catena 2023, 220, 106728. [Google Scholar] [CrossRef]
- Sun, D.F.; Dawson, R.; Li, H.; Li, B.G. Modeling desertification change in Minqin County, China. Environ. Monit. Assess. 2005, 108, 169–188. [Google Scholar] [CrossRef] [PubMed]
- Sun, D.F.; Dawson, R.; Li, B.G. Agricultural causes of desertification risk in Minqin, China. J. Environ. Manag. 2006, 79, 348–356. [Google Scholar]
- Dong, Z.B.; Lv, P.; Qian, G.Q.; Xia, X.C.; Zhao, Y.J.; Mu, G.J. Research progress in China’s Lop Nur. Earth Sci. Rev. 2012, 111, 142–153. [Google Scholar] [CrossRef]
- Ma, M.G.; Wang, X.M.; Cheng, G.D. Study on the oasis corridor landscape in the arid regions based on RS and GIS methods–application of Jinta Oasis, China. J. Environ. Sci. 2003, 15, 193–198. [Google Scholar]
- Overdevest, C.; Christiansen, L. Using “cultural cognition” to predict environmental risk perceptions in a Florida water-supply planning process. Soc. Nat. Resour. 2013, 26, 987–1007. [Google Scholar] [CrossRef]
- Davis, R.K. Recreation planting as an economic problem. Nat. Resour. J. 1963, 3, 239–249. [Google Scholar]
- Hanemann, W.M. Willingness to pay and willingness to accept: How much can they differ? Reply. Am. Econ. Rev. 2003, 93, 464. [Google Scholar] [CrossRef]
- Kutner, M.; Nachtsheim, C.; Neter, J. Applied Linear Regression Models; McGraw-Hill: New York, NY, USA, 2004. [Google Scholar]
- Robert, I.K. R in Action: Data Analysis and Graphics with R; Manning Publications: Shelter Island, NY, USA, 2015. [Google Scholar]
- Thom, D.; Seidl, R. Natural disturbance impacts on ecosystem services and biodiversity in temperate and boreal forests. Biol. Rev. 2016, 91, 760–781. [Google Scholar] [CrossRef]
- Song, L.N.; Zhu, J.J.; Yan, Q.L. Review on the shelter forest decline. Chin. J. Ecol. 2009, 28, 1684–1690. (In Chinese) [Google Scholar]
- Jiang, F.Q.; Zhu, J.J.; Zeng, D.H.; Fan, Z.P.; Du, X.J.; Cao, Y. Management for Protective Plantations; China Forestry Publishing House: Beijing, China, 2003; p. 353. [Google Scholar]
- Song, L.N.; Zhu, J.J.; Zheng, X.; Wang, K.; Lü, L.; Zhang, X.L.; Hao, G.Y. Transpiration and canopy conductance dynamics of Pinus sylvestris var. mongolica in its natural range and in an introduced region in the sandy plains of Northern China. Agric. For. Meteorol. 2020, 281, 107830. [Google Scholar]
- Zhu, J.J.; Zheng, X. The prospects of development of the Three North Afforestation Program (TNAP): On the basis of the results of the 40-year construction general assessment of the TNAP. Chin. J. Ecol. 2019, 38, 1600–1610. (In Chinese) [Google Scholar]
- Franklin, J.F.; Donato, D.C. Variable retention harvesting in the Douglas-fir region. Ecol. Process. 2020, 9, 8. [Google Scholar] [CrossRef]
- Caborn, J.M. The influence of shelterbelts on microclimate. Q. J. R. Meteorol. Soc. 1955, 81, 112–115. [Google Scholar] [CrossRef]
- Nijnik, M.; Mather, A. Analyzing public preferences concerning woodland development in rural landscapes in Scotland. Landsc. Urban Plan. 2008, 86, 267–275. [Google Scholar] [CrossRef]
- Janeczko, E.; Woźnicka, M.; Śmietańska, K.; Wiśniewska, A.; Korcz, N.; Kobyłka, A. Does Forest Contemplation Provide Greater Psychological Benefits than Passive Exposure to the Urban Forest? A Pilot Study. Forests 2024, 15, 1411. [Google Scholar] [CrossRef]
- Sutherland, L.A.; Burton, R.J.F.; Ingram, J.; Blackstock, K.; Slee, B.; Gotts, N. Triggering change: Towards a conceptualisation of major change processes in farm decision-making. J. Environ. Manag. 2012, 104, 142–151. [Google Scholar] [CrossRef]
- Tavárez, H.; Elbakidze, L. Urban forests valuation and environmental disposition: The case of Puerto Rico. For. Policy Econ. 2021, 131, 102572. [Google Scholar] [CrossRef]
- Waldron, K.; Thiffault, N.; Bujold, F.; Ruel, J.C.; Lussier, J.M.; Boucher, D. Ecological issues related to second-growth boreal forest management in eastern Quebec, Canada: Expert perspectives from a Delphi process. For. Ecol. Manag. 2020, 470–471, 118214. [Google Scholar] [CrossRef]
- Ma, T.; Min, Q.W.; Xu, K.; Sang, W.G. Resident willingness to pay for ecotourism resources and associated factors in Sanjiangyuan national park, China. J. Resour. Ecol. 2021, 12, 693–706. [Google Scholar]
- Li, X.N.; Xu, X.Y.; Yang, X.M.; Zheng, G.H.; Liu, H.J.; Fu, G.Q.; Cheng, F.; Bian, X.Y. Health assessment of farmland shelterbelt in Hexi Corridor based on DPSIR model. J. Desert Res. 2023, 43, 234–243. (In Chinese) [Google Scholar]
- Cao, S.; Suo, X.; Xia, C. Payoff from afforestation under the three-north shelter Forest program. J. Clean. Prod. 2020, 256, 120461. [Google Scholar] [CrossRef]
- Lier, M.; Köhl, M.; Korhonen, K.T.; Linser, S.; Prins, K.; Talarczyk, A. The New EU Forest Strategy for 2030: A New Understanding of Sustainable Forest Management? Forests 2022, 13, 245. [Google Scholar] [CrossRef]
- Yin, R.S. Evaluating the socioeconomic and ecological impacts of China’s forest policies, program, and practices: Summary and outlook. For. Policy Econ. 2021, 127, 102439. [Google Scholar] [CrossRef]







| Variable | Category | N | % |
|---|---|---|---|
| Gender | Male | 497 | 76.5 |
| Female | 153 | 23.5 | |
| Age group | 0–40 | 48 | 7.4 |
| 41–60 | 427 | 65.7 | |
| 61–75 | 175 | 26.9 | |
| Education level | Primary school and below | 183 | 28.2 |
| Junior high school | 299 | 46.0 | |
| High school and above | 168 | 25.8 | |
| Annual household income | ≤CNY 20,000 (≤USD 2787) | 49 | 7.5 |
| CNY 20,001–40,000 (USD_ 2787–5575) | 301 | 46.3 | |
| CNY 40,001–60,000 (USD_ 5575–8362) | 218 | 33.6 | |
| >CNY 60,000 (>USD 8362) | 82 | 12.6 |
| Area | No | 1–10 | 11–50 | 51–100 | >100 | Total | Average |
|---|---|---|---|---|---|---|---|
| Minqin | 12 (4.84) | 50 (20.16) | 86 (34.68) | 67 (27.02) | 33 (13.30) | 12,871 | 51.90 |
| Jinta | 9 (4.15) | 40 (18.43) | 87 (40.09) | 69 (31.80) | 12 (5.53) | 10,400 | 47.93 |
| Guazhou | 12 (6.50) | 38 (20.54) | 46 (24.86) | 46 (24.86) | 43 (23.24) | 12,024 | 65.00 |
| Total | 33 (5.07) | 128 (19.70) | 219 (33.70) | 182 (28) | 88 (13.53) | 35,295 | 54.30 |
| Variable | Estimate | SE | t | p |
|---|---|---|---|---|
| WTP | 4.855 × 10−3 | 3.383 × 10−4 | 14.353 | *** |
| AHI | 6.970 × 10−2 | 8.506 × 10−3 | 8.195 | *** |
| WTP: AHI | −6.638 × 10−4 | 8.812 × 10−5 | −7.533 | *** |
| WTP | 3.798 × 10−3 | 1.971 × 10−4 | 19.270 | *** |
| EL | 5.532 × 10−3 | 6.508 × 10−3 | 0.850 | 0.396 |
| WTP: EL | −2.130 × 10−4 | 9.054 × 10−5 | −2.352 | * |
| Gender | 0.129 | 0.059 | 2.187 | * |
| EE | 0.103 | 0.029 | 3.500 | *** |
| Gender: EE | −0.038 | 0.023 | −1.668 | 0.958 |
| Age | 0.018 | 0.001 | 26.384 | *** |
| EL | −0.022 | 0.018 | −1.226 | 0.221 |
| Age: EL | 0.000 | 0.000 | 1.270 | 0.205 |
| Age | 0.022 | 0.001 | 29.484 | *** |
| EE | 0.088 | 0.016 | 5.348 | *** |
| Age: EE | −0.002 | 0.000 | −5.069 | *** |
| IA | 0.051 | 0.036 | 1.410 | 0.159 |
| DS | 0.033 | 0.036 | 0.902 | 0.367 |
| IA: DS | −0.018 | 0.017 | −1.065 | 0.287 |
| IA | −0.111 | 0.030 | −3.718 | *** |
| EE | −0.034 | 0.023 | −1.464 | 0.144 |
| IA: EE | 0.051 | 0.016 | 4.302 | *** |
Disclaimer/Publisher’s Note: The statements, opinions and data contained in all publications are solely those of the individual author(s) and contributor(s) and not of MDPI and/or the editor(s). MDPI and/or the editor(s) disclaim responsibility for any injury to people or property resulting from any ideas, methods, instructions or products referred to in the content. |
© 2024 by the authors. Licensee MDPI, Basel, Switzerland. This article is an open access article distributed under the terms and conditions of the Creative Commons Attribution (CC BY) license (https://creativecommons.org/licenses/by/4.0/).
Share and Cite
Zhang, Y.; Zhu, G.; Zhang, Y.; Wu, J.; Gao, Z.; Su, Y.; Xu, C.; Fan, H. Farmers’ Perception of Shelter Forests and the Influencing Factors in Windy Desert Areas of the Hexi Corridor, China. Forests 2024, 15, 1721. https://doi.org/10.3390/f15101721
Zhang Y, Zhu G, Zhang Y, Wu J, Gao Z, Su Y, Xu C, Fan H. Farmers’ Perception of Shelter Forests and the Influencing Factors in Windy Desert Areas of the Hexi Corridor, China. Forests. 2024; 15(10):1721. https://doi.org/10.3390/f15101721
Chicago/Turabian StyleZhang, Yuzhong, Gaofeng Zhu, Yang Zhang, Jingjing Wu, Zhiqi Gao, Yonghong Su, Cong Xu, and Haochen Fan. 2024. "Farmers’ Perception of Shelter Forests and the Influencing Factors in Windy Desert Areas of the Hexi Corridor, China" Forests 15, no. 10: 1721. https://doi.org/10.3390/f15101721
APA StyleZhang, Y., Zhu, G., Zhang, Y., Wu, J., Gao, Z., Su, Y., Xu, C., & Fan, H. (2024). Farmers’ Perception of Shelter Forests and the Influencing Factors in Windy Desert Areas of the Hexi Corridor, China. Forests, 15(10), 1721. https://doi.org/10.3390/f15101721

