Next Article in Journal
Multifiltering Algorithm for Enhancing the Accuracy of Individual Tree Parameter Extraction at Eucalyptus Plantations Using LiDAR Data
Next Article in Special Issue
Study on the Process Optimization of Peanut Coat Pigment Staining of Poplar Wood
Previous Article in Journal
The Preparation and Performance of Bamboo Waste Bio-Oil Phenolic Resin Adhesives for Bamboo Scrimber
Previous Article in Special Issue
ODCA-YOLO: An Omni-Dynamic Convolution Coordinate Attention-Based YOLO for Wood Defect Detection
 
 
Font Type:
Arial Georgia Verdana
Font Size:
Aa Aa Aa
Line Spacing:
Column Width:
Background:
Article

Wood from Field Tests as a Model for Assessing the Suitability of Post-Consumer Wood

Faculty of Forestry and Wood Technology, Poznan University of Life Sciences, Wojska Polskiego 38/42, 60-627 Poznan, Poland
*
Author to whom correspondence should be addressed.
Forests 2024, 15(1), 80; https://doi.org/10.3390/f15010080
Submission received: 30 November 2023 / Revised: 20 December 2023 / Accepted: 21 December 2023 / Published: 30 December 2023

Abstract

:
The circular economy forces societies to take actions aimed at giving post-consumer products a “second life”. As we know, wood is perfect for this. Moreover, reusing wood helps keep carbon in circulation, thus limiting its emissions into the atmosphere. It turns out that extensive research on determining the durability of wood is very useful and valuable for one more reason. Well, they can be used to create a model to determine the usefulness of wood, which has only apparently lost its utility value during many years of exposure to external factors. The research subject was samples of wood impregnated with protection agents and modified, originating from many years of field tests. The aim of the research was to correlate the results of wood durability determined after a period of exposure in open space with the results of determining the potential usefulness of such wood. On this basis, a model for determining the value of post-consumer wood was created. As a main result of post-consumer wood analysis, the high durabilities against C. puteana with mass loss below 3% were noticed for acetylated, furfurylated, and CCA-treated wood. Moreover, high color stabilities (ΔE < 10) were observed for thermowood and furfurylated wood.

1. Introduction

An essential part of the analysis of wood durability is the appropriate selection of aging methods and their evaluation. More and more reports focus on field tests, which seem to be the last research stage before or at an early stage of product implementation. Such tests allow us to examine the durability of wood in natural conditions in specific climates [1,2,3,4,5]. Many field test methods are available for wood utility in classes III and IV (EN 335-2: 2013) [6]. The most commonly used methods include the “Field Above Ground Double Layer Test Method” and “Field Ground Contact Stake Test Method” [7,8]. This issue seems particularly important in recent years due to the need to collect and catalog a database on wood durability. Such a database has been set up within the International Research Group on Wood Protection (IRG-WP) [9].
A separate complex issue seems to be the reduction in raw wood implementation. The cascading use of materials developed and described by Sirkin and Ten Houten (1994) can potentially solve a problem. The concept included the four-dimensional model of resource economy consisting of resource quality, utilization time, resource salvageability, and consumption rate [10]. The cascading use of modified or impregnated wood for other applications is currently one of the most critical issues in wood recycling [11,12]. Since 2008, cascading use has been implemented in the waste pyramid of the European Waste Framework Directive. In the era of “Green Deal” and “Green Transitions” policies, it seems evident that it is necessary to make the best possible use of post-consumer raw materials [13,14]. According to literature data, more than 2/3 of European Union (EU) wood is used in the construction and furniture industry. The construction sector is one of the largest sources of waste in terms of volume, producing around 70.5 million tonnes of post-consumer wood annually. Only about 30% of those volumes of material are recycled. The rest is landfilled or incinerated. However, one should be aware that the presented data are averaged values, and in each EU member state, the data may differ significantly from the average. In addition, in some countries, this type of data is not collected [15].
Although wood is the highest-value product with outstanding cascading potential, the volume of recycled wood in this way is unsatisfactory. It can be converted to new products at the end of its service life to prolong the carbon sequestration before the final step, energy recycling. At the European level, wood waste was estimated to be about 33.2 million tons in 2007, with significant disparities between countries: about 55–60 kg/inhabitant/year in Eastern and Southern countries, respectively, up to 75 kg/inhabitant/year for Western countries, and 110 kg/inhabitant/year in Northern countries. The report followed the order of utilization as disposal (landfill and incineration)—37%, material recovery—33%, and -energy recovery—30%. However, those average values are inappropriate for the EU regions, where the Northern and Western countries recover much more materials than the eastern and southern regions [14,16]. The construction sector is the largest wood waste source, indicating approximately 20%–40%. The furniture industry is also an essential waste contributor and comes from packaging. Wood waste should not be considered homogeneous but managed as a random composition and variable material flow [17].
On the other hand, recycling wooden elements has not been developed as an industrially viable solution. Detecting hazardous substances and sorting the timber into different categories according to the degree of contamination is still limited due to a lack of suitable industrial detection and separation lines [18]. Despite those disadvantages, many scientific projects and manuscripts present alternative recycling approaches and methods for post-consumer wood [19,20]. Three main types of wood waste can be identified: untreated timber, engineered wood, and preservative-treated or painted wood. Literature analysis presented by Jahan et al. [21] shows that wood waste recycling will bring environmental, social, and economic benefits. Following waste management practices in every life cycle stage is essential to extend the use of recycled wood products [22,23]. Faraca et al. note that recycling post-consumer wood waste into particleboard is hindered by physical and chemical pollutants in the waste stream and critically changes the quality of wood waste. According to those reports, depending on the wood waste sources, 41%–87% of the collected wood waste per weight potentially might be recycled [17].
Partially, cascading wood, recycling wood, post-consumer wood, and wood utilization are analyzed in the literature, showing a life cycle assessment and inventory. Bolin and Smith analyzed the environmental impact of wood treated with CCA products, showing advantages in comparison with steel elements. Moreover, the authors published recommendations for CCA-treated wood materials and their production process [24]. Literature studies on the environmental impacts associated with the processes of thermal modification of wood were presented by Candelier and Dibdiacova [25]. The authors conclude that the carbon footprint of heat-treated wood products can be negative when end-of-life is incineration or recycling.
The observation creates a knowledge gap in the frame of post-consumer wood elements, especially those from innovations. For this type of study, mechanical, chemical, and physical analysis of the material can be inadequate for understanding the cascading and utilization processes. A long-term field test and data analysis from this test can fill the described gaps because all data about the composition and life cycle are available. Moreover, a filed exposition creates aged material, which can be a model pos-consumer material.
The subject of the research was impregnated or modified wood, which was tested for its durability over a period of 7 years. The aim of this work was a laboratory assessment of the quality of this wood in terms of its possible further use. Post-proving ground samples were the only model material for creating an initial database on the potential usability of such wood. The advantage of this solution is the ability to correlate the results of the determined properties with known conditions and exposure time in open space, as well as with precise data on the impregnation and modification of this wood.

2. Materials and Methods

2.1. Materials

Impregnated or modified Scots pine sapwood (Pinus sylvestris L.) was used for the tests. The wood was prepared within the frame of the WoodWisdom project ECOMOD wood samples came from Hallsjo Bradgard near Uppsala. The density of pine sapwood was approx. 480 kg/m3, and samples were free from defects. The types of wood products are presented in Table 1.

2.2. Field Exposure

Seven years of above-ground field exposure (52°33′48.737″ N; 16°31′33.273″ E) of wood according to the “Field Above Ground Double Layer Test Method” (referred to as the “double-layer test”) was used [21]. The samples were exposed under the Use Class 3B condition according to EN 335. The dimensions of the samples were as follows: 50 mm × 25 mm × 500 mm (the last dimension was along the grain).
Wood was exposed for seven years to the “Field Ground Contact Stake Test Method” (referred to as “field-ground test”), which was used in a test (EN 252). The tests were located near Poznań, Poland (52°33′48.737″ N; 16°31′33.273″ E). The dimensions of the samples were as follows: 50 mm × 25 mm × 500 mm (the last dimension was along the grain). After the test, the samples were divided into two sections: above-ground and in-ground.
The location of the field tests is dominated by polar-marine air masses, with dominant westerly winds with a speed of 2.5 to 3.5 m/s. The average annual temperature is approximately 8 °C, and extreme temperatures range from +35 °C in summer to −20 °C in winter. The average annual rainfall ranges from 450 to 550 mm. They are characterized by irregularity and unevenness throughout the year.

2.3. Brown Rot Degradation

The fungicidal properties investigations were performed using the agar-block method using samples according to the description of the materials. The dimensions of the samples at a moisture content of 10%–12% were as follows: 15 ± 0.5 mm × 25 ± 0.5 mm × 50 ± 0.5 mm (the last dimension was along the grain) were cut from model post-consumers samples. For each variant of impregnation and modification, the following samples were prepared:
-
Nine replicates from the “double-layer test”;
-
Nine replicates from the “field-ground test” (above-ground part of samples);
-
Nine replicates from the “field-ground test” (in-ground part of samples).
The samples were dried, weighed, and sterilized in water vapor at 121 °C for 20 min. The duration of fungal exposure was 16 weeks. The Coniophora puteana BAM Ebw.15 (C. puteana) was used in a test. The activity of the test fungi was determined with untreated pine wood samples (Pinus sylvestris L.). The mass loss and wood moisture content after the test were determined according to EN 113 [29].

2.4. Fire Properties

Samples were subjected to Mini Fire Tube (MFT) tests to determine the effectiveness of the protection against fire. The MFT method was adopted and modified from the ASTM E69-02 method [30]. The method was based on measuring mass loss and exhaust gas temperature at the tube outlet. A burner with a pre-adjusted flame of approx. 1 cm height was placed inside the tube. For 2 min, every 2 s, the change in mass and temperature of the tested sample was recorded.

2.5. Colour Changes

The color of the samples was tested using a colorimeter NH310 with a light source marked D65. The surface area of analysis in the apparatus head was 8 mm. The color measurement was carried out in the CIELab system (L*, a*, b*), and the results were analyzed based on the difference in color (ΔE*) and the individual parameters L, a, and b. According to the idea of measurement, the individual components L, a, and b describe the change in brightness of the sample, the change in color from green to red, and the change in color from blue to yellow, respectively.
Two tests were carried out. The first was estimated after cleaning (soil and microorganisms from the surface were removed), sorting, and drying the samples (referred to as “aging”). The second part of the experiment was carried out after brushing 2 mm of the top layer (referred to as non-aging). The brushed sample was treated as a reference material, the color of which was the original color given to the wood during impregnation or modification. Five measurements were made for each variant, with the first measurement point located 5 cm from the forehead and each subsequent one 1.5 cm further. The tests were carried out on different areas depending on the type of sample or test in which it was previously used. For the double-layer test, the color of samples was assessed in two areas: the area exposed directly to the sun (“front side”) and the area of samples that had contact with other samples (“back side”). For the field-ground test, it was one broad area divided into sections “in the ground” and “above the ground”.
The main parameter analyzed when interpreting the color change results was the ΔE* value measured before and after brushing the top layer of wood. This coefficient indicates the overall color change compared to the standard. It was determined according to the following formula:
∆E = √(∆L)2 + (∆a)2 + (∆b)2
where
ΔL—brightness difference;
Δa—difference on the a* axis red-green;
Δb—difference on the b* axis yellow-blue.

3. Results and Discussion

3.1. Durability of Wood against C. puteana

The detailed results of mass loss and moisture content of aging for 7 years to the double layer test (model post-consumer wood) and then infected for 16 weeks with C. puteana are presented in Figure 1. Wood impregnated with linseed oil was degraded to the greatest extent. Its mass loss was about 30% and was at the level of non-impregnated pine wood, which was used to determine the activity of the test fungus (ML > 30%). R. pseudoaccacia, pine wood treated with copper (Cu-org-Wood), and furfurylated wood (WPG 25) were not resistant to the test fungus. The samples’ mass loss ranged from 15 to 20%, with wood moisture at 40%–55% during the test. The durability of R. pseudoaccacia was reduced significantly in comparison with non-aged wood reported in the literature. Mass loss of 12%–15% is comparable with natural durabilities of juvenile wood (ML approve 11%–13%) than with mature wood (ML < 1%) [31]. Pine wood treated with a CCA-type product showed high fungicidal activity against C. puteana, and after 16 weeks of the test, mass loss was not noted. The moisture content of the CCA-treated wood during the trial was about 50%. The efficiency of CCA-treated wood was comparable with the high efficiency presented in the literature, e.g., [32,33]. Furfurylated wood (WPG35) was also characterized by high resistance to the test fungus; its mass loss was about 3%. The durability of furfurylated wood was stable, even after 7 years of exposition in field tests, and was comparable with data reported in the literature [34,35,36]. Brown decay fungus also did not degrade thermally modified and acetylated wood (ML < 3%). However, low wood moisture content was visible in these variants, amounting to 23% and 37% for acetylated and thermally modified wood, respectively. The results of thermally modified wood were comparable with literature data for non-aged wood [37]. In particular, the humidity of acetylated wood was too low for C. puteana, which may indicate that the air humidity of about 70% (according to EN 113) did not cause a sufficient increase in wood moisture, which is conducive to the development of mycelium [38].
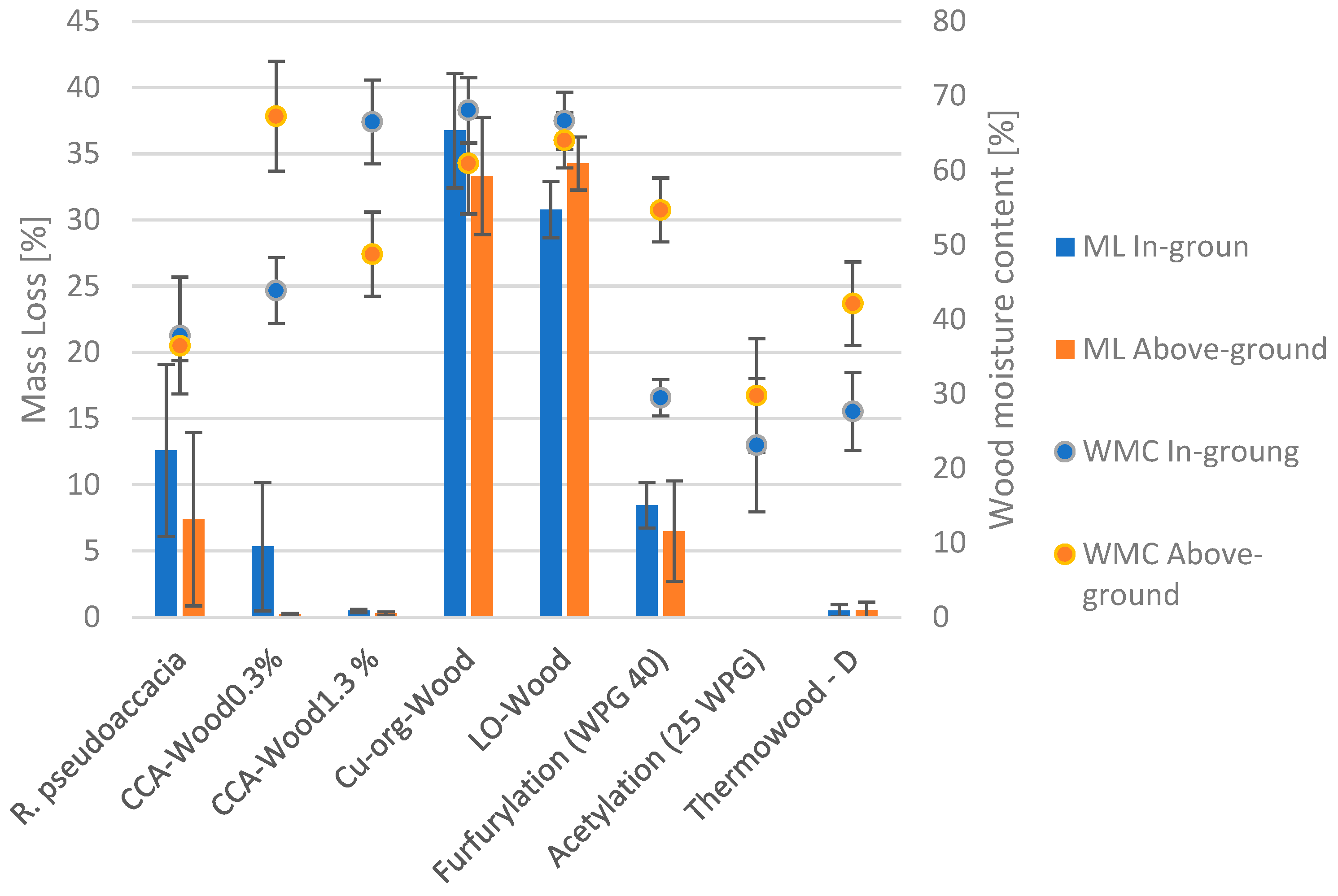
Despite the intensive use of wood in class 4 (Filed-ground test), CCA-treated, regardless of the concentration, furfurylated, acetylated, and thermally modified wood was not degraded by the test fungus. As in the case of wood exposed in the double layer test, chemical and thermal modification caused a significant decrease in the equilibrium moisture content of the wood, which was probably the main reason for the high resistance against decay. To accurately verify the durability of wood with C. puteana, the equilibrium humidity of the air should be increased to such a level that the wood exposed to fungi reaches a minimum moisture content of 40%. No significant differences were noticed between the wood obtained from the part of the sample that was aged in-ground and the part of the sample above-ground. The test fungus strongly degraded pine wood treated with linseed oil or Cu-org preparation (ML > 30%). The detailed results of the test described above are presented in Figure 2.

3.2. Durability of Wood against Fire

The results of mass loss and the maximum combustion temperature of exposed wood, respectively, in the double-layer and field-ground tests, were summarized in Figure 3 and Figure 4. The highest resistance to fire was observed for furfurylated wood (WGP35) exposed in class III. The loss of mass after 120 s of contact with the flame was about 35%, while at the same time, wood impregnated with CCA preparations, linseed oil, or thermally modified and acetylated was degraded by more than 60%. A lower combustion temperature was also characterized by furfurylated wood. The increased resistance of furfurylated wood can be explained by the fact that furfurylated wood has a delayed ignition time compared to non-impregnated wood [39]. Therefore, during the 120 s of the test, the ignition delay could have significantly impacted a much smaller wood mass loss. No significant differences in fire resistance were observed for wood exposed in class IV of use. Regardless of the treatment method, the mass loss of impregnated or modified wood was 50%–70%, and the combustion temperature was about 500–550 °C. The highest resistance, probably resulting from the highest density of the material, was characteristic of the reference wood R. pseudoaccacia.

3.3. Colour Stabilities of Aging Wood

Wood exposed in use class III (double-layer test), each sample was, on the one hand, exposed to the sun (“front-side”), and, on the other hand, it was shielded from UV radiation through contact with another sample (“back-side”). Therefore, evaluating both sides separately regarding color change analysis was necessary. The results of ΔE* are presented in Figure 5 and Figure 6, respectively. Moreover, the results of single monochromatic parameters a*, b*, and L* are summarized in Table 2 and Table 3, respectively. All samples, regardless of the impregnation and modification variant, that were exposed directly to the sun changed their color, i.e., the difference in the ΔE* parameter before and after aging was over 10. It is generally believed that a color difference greater than 5 is noticeable to the unaided human eye. The ΔL* value after aging was approximately two times higher than the non-aging surface. This graying was not uniform in each variant, as indicated by high standard deviation values. The ΔE* value in the case of a double-layer test was the best indicator of the resistance of a given protection to color change. The most resistant to color change was furfurylated wood in both variants, i.e., WPG 35 and WPG 25, and wood modified in the Thermowood-D process (Table 3). The difference in the ΔE* parameter was approximately 8–10 before and after aging. The color change was towards black (ΔL*) and green (Δa*) for both modifications and for furfurylation, also towards blue (Δb*). Untreated wood and wood impregnated with copper agents or linseed oil were not resistant to UV color degradation. The resistance of acetylated wood to UV rays was also low. The average difference value ΔE* before and after outdoor exposure for all these variants was higher than 20. The main factor influencing changes in the ΔE* parameter was the ΔL* parameter, the value of which, depending on the protection, ranged from 20 to 45. In the case of the above variants, a turn towards green (Δa*) and towards blue (Δb*) can be observed for the front side. In the case of samples exposed with back-side, the difference values of (Δa*) and (Δb*) parameters oscillate close to zero. Only pine wood impregnated with linseed oil showed a similar relationship to the “front” of samples. The main parameter influencing ΔE* a difference was ΔL*, the value of which was lower by 18 and 15 than in the case of the other samples.
Wood samples exposed in the ground-field test, where samples were placed up to half their length in the soil, are discussed below. Due to the two characteristic areas observed on the wood, i.e., the part above the ground and the part located in the ground, the results of the color change are presented in separate tables and figures. Figure 7 and Table 4 summarizes the test results for wood exposed above the ground. Regardless of the wood impregnation or modification, a substantial color change was observed, i.e., the color change expressed by the ΔE* parameter of aged and non-aged samples was over 15. The color change under the influence of UV radiation, which is characteristic of wood exposed to weather conditions, including the sun, is not a surprising observation. However, it is worth noting that the color change occurred evenly over the entire tested surface in not every case. Analyzing the standard deviation parameter for ΔE* measurements, tiny numerical deviations can be observed for wood subjected to grinding. Regardless of the ΔE* value, the deviation was less than 1. This rule does not apply to pine wood or pine wood impregnated with Cu-org, for which zones of early and late wood were visible on the non-aged surface, which was characterized by a different color and significantly influenced the repeatability of measurement. The standard deviation values for the aged samples were not as low as for the non-aged samples, and regardless of the ΔE* parameter, they ranged from approx. 1 to approx. 4.3. This observation did not apply to the variant in which pine wood was impregnated with a CCA preparation at a concentration of 1.3%. High standard deviation values indicate that the wood not only changed its color, confirmed by ΔE* differences but also that the surface changed its color unevenly. Regarding the color change in individual parameters a*, b*, and L*, the most significant changes were observed in the ΔL* and Δb* spaces. That observation proves that the color change progressed towards blackness and blue.
The zones of control samples, i.e., pine sapwood and R. pseudoaccacia, which were located in the ground, changed color, and the difference in the ΔE* parameter before and after aging was over 20 and 15, respectively (Figure 8). Impregnation with linseed oil and copper compounds (CCA and Cu-org) and acetylation did not affect the stability of the wood color. In all the variants described above, the color change was oriented toward black (ΔL*) and yellow (Δa*) (Table 5). The highest color stability of the samples was observed for samples modified in the Thermowood process and subjected to the furfurylation process. In both of these cases, the difference in the total color change before and after aging was less than 5, which results in the fact that the color change is unnoticeable to the naked eye (ΔE* < 3) or the change is small (3 > ΔE* > 5). Furfurylated wood changed its color primarily in the Δa* parameters, i.e., in the range of color changes from green to red. The remaining parameters Δb* and ΔL* did not change significantly. Thermally modified wood samples were characterized by a color change in the parameters Δa* and Δb*. The ΔL* component changes within the range of measurement errors. Samples before aging (after brushing) and after aging are presented on Figure 9 and Figure 10.

4. Conclusions

Wood exposed to the field test method can be a valuable research material as a post-consumer wood product. Several advantages come from this approach, e.g., post-consumer wood is well-defined and recognized. Moreover, saving time and reducing costs are possible because expensive field tests do not generate waste but rather valuable and high-level materials for other experiments. As a result of the tests, it was confirmed that CCA-treated wood, acetylated wood, and thermally modified wood were characterized by high resistance to the fungus C. puteana, regardless of whether it was aged in conditions of III or IV class of use. Furfurylated wood resisted the test fungus when its modification level exceeded WPG 35. This test allows the possibility of rating post-consumer wood as a still durable material and material that should be reused in cascading approaches (e.g., oil-treated wood or Cu-org). Moreover, controlling the color changes in aged and non-aged wood is possible in field tests. Thermowood and furfurylated wood show the highest color stabilities against aging in the frame of estimated variants. Already, there is known knowledge that natural aging in the field is more appropriate than aging on a lab scale. This testing should go further, and collected data should help to create a classification and standardization of post-consumer wood classes.
The practical applications of reported results in the construction industry or in selecting materials for outdoor use are critical and should be discussed in a broad spectrum of results. It can be concluded that after 7 years of usage, even if it is withdrawn from use, furfurylated wood still has higher biological resistance than untreated or unmodified wood. Therefore, such wood should be used further for utility purposes (e.g., after mechanical surface treatment for playgrounds, terraces, fences, public benches, etc.).

Author Contributions

Conceptualization, W.P. and B.M.; methodology, W.P. and M.B.; software, W.P. and M.B.; validation, W.P. and B.M.; formal analysis, W.P.; investigation, M.B.; writing—original draft preparation, W.P.; writing—review and editing, W.P. and B.M.; visualization, W.P.; supervision, W.P.; project administration, W.P.; funding acquisition, W.P. All authors have read and agreed to the published version of the manuscript.

Funding

This research was funded by the National Center for Research and Development in the frame of The Program Lider XII (LIDER/25/0119/L-12/20/NCBR/2021).

Data Availability Statement

Data availability after request.

Conflicts of Interest

The authors declare no conflicts of interest.

References

  1. Kirker, G.; Winandy, J. Above Ground Deterioration of Wood and Wood-Based Materials. In Deterioration and Protection of Sustainable Biomaterials; ACS Publications: Washington, DC, USA, 2014; pp. 113–129. ISBN 1947-5918. [Google Scholar]
  2. Kutnik, M.; Suttie, E.; Brischke, C. European Standards on Durability and Performance of Wood and Wood-Based Products—Trends and Challenges. Wood Mater. Sci. Eng. 2014, 9, 122–133. [Google Scholar] [CrossRef]
  3. Meyer, L.; Brischke, C.; Preston, A. Testing the Durability of Timber above Ground: A Review on Methodology. Wood Mater. Sci. Eng. 2016, 11, 283–304. [Google Scholar] [CrossRef]
  4. Brischke, C.; Meyer, L.; Olberding, S. Durability of Wood Exposed in Ground–Comparative Field Trials with Different Soil Substrates. Int. Biodeterior. Biodegrad. 2014, 86, 108–114. [Google Scholar] [CrossRef]
  5. Brischke, C.; Rapp, A.O. Dose–Response Relationships between Wood Moisture Content, Wood Temperature and Fungal Decay Determined for 23 European Field Test Sites. Wood Sci. Technol. 2008, 42, 507–518. [Google Scholar] [CrossRef]
  6. EN 335:2013; Durability of Wood and Wood-Based Products-Use Classes: Definitions, Application to Solid Wood and Wood-Based Products. iTeh, Inc.: Newark, DE, USA, 2013.
  7. Singh, T.; Page, D. Evaluation of Selected Accelerated Above-Ground Durability Testing Methods for Wood after Ten Years Exposure. Forests 2020, 11, 559. [Google Scholar] [CrossRef]
  8. Alfredsen, G.; Westin, M. Durability of Modified Wood–Laboratory vs. Field Performance. In Proceedings of the 4th European Conference on Wood Modification, Stockholm, Sweden, 27–29 April 2009; Volume 4, pp. 515–522. [Google Scholar]
  9. Brischke, C.; Alfredsen, G.; Humar, M.; Conti, E.; Cookson, L.; Emmerich, L.; Flæte, P.O.; Fortino, S.; Francis, L.; Hundhausen, U. Modelling the Material Resistance of Wood—Part 3: Relative Resistance in above-and in-Ground Situations—Results of a Global Survey. Forests 2021, 12, 590. [Google Scholar] [CrossRef]
  10. Sirkin, T.; ten Houten, M. The Cascade Chain: A Theory and Tool for Achieving Resource Sustainability with Applications for Product Design. Resour. Conserv. Recycl. 1994, 10, 213–276. [Google Scholar] [CrossRef]
  11. Kharazipour, A.; Kües, U. 20. Recycling of Wood Composites and Solid Wood Products. In Wood Production, Wood Technology, and Biotechnological Impacts; Universitätsverlag Göttingen: Göttingen, Germany, 2007. [Google Scholar]
  12. Kuru, A. Biomimetic Adaptive Building Skins: An Approach towards Multifunctionality; UNSW Sydney: Sydney, Australia, 2020. [Google Scholar]
  13. Vimpolšek, B.; Androjna, A.; Lisec, A. Modelling of Post-Consumer Wood Sorting and Manipulation: Computational Conception and Case Study. Wood Res. 2022, 67, 472–487. [Google Scholar] [CrossRef]
  14. Vis, M.; Mantau, U.; Allen, B. CASCADES: Study on the Optimised Cascading Use of Wood; European Union Publications Office: Luxembourg, 2016; ISBN 92-79-57725-5. [Google Scholar]
  15. Besserer, A.; Troilo, S.; Girods, P.; Rogaume, Y.; Brosse, N. Cascading Recycling of Wood Waste: A Review. Polymers 2021, 13, 1752. [Google Scholar] [CrossRef]
  16. Mantau, U.; Saal, U.; Prins, K.; Steierer, F.; Lindner, M.; Verkerk, H.; Eggers, J.; Leek, N.; Oldenburger, J.; Asikainen, A. Real Potential for Changes in Growth and Use of EU Forests; Methodology Report; EUwood: Hamburg, Germany, 2010. [Google Scholar]
  17. Faraca, G.; Boldrin, A.; Astrup, T. Resource Quality of Wood Waste: The Importance of Physical and Chemical Impurities in Wood Waste for Recycling. Waste Manag. 2019, 87, 135–147. [Google Scholar] [CrossRef] [PubMed]
  18. Mahnert, K.C.; Ragnhildstveit, I.; Modaresi, R. Initial Study on Sorting of Reclaimed Timber with Industrial State-of-the-Art Technology. In Proceedings of the World Conference on Timber Engineering 2023 (WCTE2023), Oslo, Norway, 12 October 2023. [Google Scholar]
  19. Irle, M.; Belloncle, C.; Buchner, J.; Herndon, A.; Marcadet, J.; Lebreton, F. A Study of End-of-Life Fibreboards: Their Characteristics and Availability in Europe. In Proceedings of the 11èmes Journées du GDR 3544 Sciences du Bois Conference, Nice, France, 16–18 November 2022. [Google Scholar]
  20. Wu, H.; Zuo, J.; Zillante, G.; Wang, J.; Yuan, H. Status Quo and Future Directions of Construction and Demolition Waste Research: A Critical Review. J. Clean. Prod. 2019, 240, 118163. [Google Scholar] [CrossRef]
  21. Jahan, I.; Zhang, G.; Bhuiyan, M.; Navaratnam, S. Circular Economy of Construction and Demolition Wood Waste—A Theoretical Framework Approach. Sustainability 2022, 14, 10478. [Google Scholar] [CrossRef]
  22. Geissdoerfer, M.; Savaget, P.; Bocken, N.M.; Hultink, E.J. The Circular Economy—A New Sustainability Paradigm? J. Clean. Prod. 2017, 143, 757–768. [Google Scholar] [CrossRef]
  23. Taylor, J.; Warnken, M. Wood Recovery and Recycling: A Source Book for Australia; Forest and Wood Products Australia: Melbourne, Australia, 2008. [Google Scholar]
  24. Bolin, C.A.; Smith, S.T. Life Cycle Assessment of CCA-Treated Wood Highway Guard Rail Posts in the US with Comparisons to Galvanized Steel Guard Rail Posts; Scientific Research Publishing: Wuhan, China, 2013. [Google Scholar]
  25. Candelier, K.; Dibdiakova, J. A Review on Life Cycle Assessments of Thermally Modified Wood. Holzforschung 2021, 75, 199–224. [Google Scholar] [CrossRef]
  26. Westin, M.; Conti, E.; Creemers, J.; Flæte, P.-O.; Gellerich, A.; Irbe, I.; Klamer, M.; Mazela, B.; Melcher, E.; Möller, R. Report on COST E37 Round Robin Tests: Comparison of Results from Laboratory and Field Tests. In Proceedings of the 44th IRG Annual Meeting 2013 (IRG44), Stockholm, Sweden, 16–20 June 2013. p. IRG/WP 13-20535. [Google Scholar]
  27. Westin, M.; Rapp, A.; Nilsson, T. Field Test of Resistance of Modified Wood to Marine Borers. Wood Mater. Sci. Eng. 2006, 1, 34–38. [Google Scholar] [CrossRef]
  28. Epmeier, H.; Westin, M.; Rapp, A. Differently Modified Wood: Comparison of Some Selected Properties. Scand. J. For. Res. 2004, 19, 31–37. [Google Scholar] [CrossRef]
  29. EN 113-1:2020; Durability of Wood and Wood-Based Products—Test Method against Wood Destroying Basidiomycetes—Part 1: Assessment of Biocidal Efficacy of Wood Preservatives. iTeh, Inc.: Newark, DE, USA, 2020.
  30. ASTM E69-02; Standard Test Method for Combustible Properties of Treated Wood by the Fire-Tube Apparatus. ASTM International: West Conshohocken, PA, USA, 2022.
  31. Pollet, C.; Jourez, B.; Hebert, J. Natural Durability of Black Locust (Robinia pseudoacacia L.) Wood Grown in Wallonia, Belgium. Can. J. For. Res. 2008, 38, 1366–1372. [Google Scholar] [CrossRef]
  32. Pizzi, A. A New Approach to the Formulation and Application of CCA Preservatives. Wood Sci. Technol. 1983, 17, 303–319. [Google Scholar] [CrossRef]
  33. Sellers, T., Jr.; Miller, G.D., Jr. Evaluations of Three Adhesive Systems for CCA-Treated Lumber. For. Prod. J. 1997, 47, 73. [Google Scholar]
  34. De Vetter, L.; Pilgård, A.; Treu, A.; Westin, M.; Van Acker, J. Combined Evaluation of Durability and Ecotoxicity: A Case Study on Furfurylated Wood. Wood Mater. Sci. Eng. 2009, 4, 30–36. [Google Scholar] [CrossRef]
  35. Lande, S.; Eikenes, M.; Westin, M. Chemistry and Ecotoxicology of Furfurylated Wood. Scand. J. For. Res. 2004, 19, 14–21. [Google Scholar] [CrossRef]
  36. Esteves, B.; Nunes, L.; Pereira, H. Properties of Furfurylated Wood (Pinus pinaster). Eur. J. Wood Wood Prod. 2011, 69, 521–525. [Google Scholar] [CrossRef]
  37. Ayata, U.; Akcay, C.; Esteves, B. Determination of Decay Resistance against Pleurotus ostreatus and Coniophora puteana Fungus of Heat-Treated Scotch Pine, Oak and Beech Wood Species. Maderas. Cienc. Tecnol. 2017, 19, 309–316. [Google Scholar] [CrossRef]
  38. Hill, C.A.; Curling, S.F.; Kwon, J.H.; Marty, V. Decay Resistance of Acetylated and Hexanoylated Hardwood and Softwood Species Exposed to Coniophora puteana. Holzforschung 2009, 63, 619–625. [Google Scholar] [CrossRef]
  39. Hasburgh, L.E.; Zelinka, S.L.; Bishell, A.B.; Kirker, G.T. Durability and Fire Performance of Charred Wood Siding (Shou Sugi Ban). Forests 2021, 12, 1262. [Google Scholar] [CrossRef]
Figure 1. Durability against C. puteana fungus of wood from the double-layer test.
Figure 1. Durability against C. puteana fungus of wood from the double-layer test.
Forests 15 00080 g001
Figure 2. Durability against C. puteana fungus of wood from the field-ground test.
Figure 2. Durability against C. puteana fungus of wood from the field-ground test.
Forests 15 00080 g002
Figure 3. Flammability of wood from the double-layer test.
Figure 3. Flammability of wood from the double-layer test.
Forests 15 00080 g003
Figure 4. Flammability of wood from the field test.
Figure 4. Flammability of wood from the field test.
Forests 15 00080 g004
Figure 5. Changes in the color of wood exposed in a double-layer test—“front-side”.
Figure 5. Changes in the color of wood exposed in a double-layer test—“front-side”.
Forests 15 00080 g005
Figure 6. Changes in the color of wood exposed in a double-layer test—“back-side”.
Figure 6. Changes in the color of wood exposed in a double-layer test—“back-side”.
Forests 15 00080 g006
Figure 7. Changes in the color of wood exposed in a filed ground test—“above-ground” samples.
Figure 7. Changes in the color of wood exposed in a filed ground test—“above-ground” samples.
Forests 15 00080 g007
Figure 8. Changes in the color of wood exposed in a filed ground test—“in-ground” samples.
Figure 8. Changes in the color of wood exposed in a filed ground test—“in-ground” samples.
Forests 15 00080 g008
Figure 9. Samples after exposition in the double-layer test, before [-] and after brushing [*]: (a) Pine; (b) R. pseudoaccacia; (c) CCA0.3%; (d) Cu-org-Wood; (e) LO-wood; (f) Furfurylation (WPG25); (g) Furfurylation (WPG35) (h) acetylation (WPG25); (i) TermoWood-D.
Figure 9. Samples after exposition in the double-layer test, before [-] and after brushing [*]: (a) Pine; (b) R. pseudoaccacia; (c) CCA0.3%; (d) Cu-org-Wood; (e) LO-wood; (f) Furfurylation (WPG25); (g) Furfurylation (WPG35) (h) acetylation (WPG25); (i) TermoWood-D.
Forests 15 00080 g009
Figure 10. Samples after exposition in the ground-field test, before [-] and after brushing [*]: (a) Pine; (b) R. pseudoaccacia; (c) CCA0.3%; (d) CCA1,3%; (e) Cu-org-Wood; (f) LO-wood; (g) Furfurylation (WPG40); (h) acetylation (WPG25); (i) TermoWood-D.
Figure 10. Samples after exposition in the ground-field test, before [-] and after brushing [*]: (a) Pine; (b) R. pseudoaccacia; (c) CCA0.3%; (d) CCA1,3%; (e) Cu-org-Wood; (f) LO-wood; (g) Furfurylation (WPG40); (h) acetylation (WPG25); (i) TermoWood-D.
Forests 15 00080 g010
Table 1. Type of wood products exposed in a field test and estimate as a post-costumer model material.
Table 1. Type of wood products exposed in a field test and estimate as a post-costumer model material.
Sample IDProcessTreatment/ModifiedRetention/WPGWood SpecimenAdditional Information
CCA-Wood0.3%treatmentchromate copper arsenate0.3%Pinus sylvestris L. (sapwood)[8,26,27]
CCA-Wood1.3%1.3%
Cu-org-Woodcopper hydroxycarbonate 13%, boric acid 4%, bis-(N-cyclohexyl-odiazenio-dioxy)-copper 2.8%11 kg/m2
LO-WoodReactive linseed oil derivative150 kg/m2[27,28]
Furfurylation (WPG25)furfurylationfurfuryl alcohol25 [-]
“Furfurylation (WPG35)35 [-][26,27,28]
“Furfurylation (WPG40)”40 [-]
Acetylation (WPG25)Acetylationacetic anhydride25 [-]
Thermwood-DTemp. modificationTemp 220 °C
Steam
-[8,26]
Pine----
R. pseudoaccacia-----
Table 2. Changes in the color of wood exposed in a double-layer test—“front-side”.
Table 2. Changes in the color of wood exposed in a double-layer test—“front-side”.
Type of SampleΔa*Δb*ΔL*
Non-
Aging
AgingNon-
Aging
AgingNon-
Aging
Aging
Pine7.2 ± 1.63.1 ± 2.717.7 ± 2.65.9 ± 1.7−28.3 ± 1.8−61.6 ± 3.9
R. pseudoaccacia9.9 ± 0.33.5 ± 0.521.7 ± 1.15.5 ± 1.1−30.7 ± 2.2−62.6 ± 1.7
CCA-Wood0.3%6.5 ± 0.42.2 ± 1.717.7 ± 0.88.4 ± 4.6−19.5 ± 0.9−54.1 ± 4.0
Cu-org-Wood6.6 ± 0.62.7 ± 2.722.6 ± 0.59.4 ± 4.5−24.1 ± 1.6−54.4 ± 1.6
LO-Wood9.4 ± 0.30.4 ± 0.527.5 ± 0.62.9 ± 0.4−15.5 ± 1.4−63.3 ± 1.8
Furfurylation (WPG 25)9.0 ± 1.62.4 ± 1.39.0 ± 2.80.9 ± 1.2−58.5 ± 1.6−68.3 ± 2.2
Furfurylation (WPG 35)9.2 ± 0.63.8 ± 1.86.9 ± 3.2−0.1 ± 0.4−59.7 ± 0.9−70.1 ± 1.1
Acetylation (25 WPG)6.8 ± 0.23.2 ± 3.221.2 ± 0.69.6 ± 4.1−14.1 ± 1.8−52.1 ± 3.3
Thermowood-D13.3 ± 0.45.8 ± 0.921.9 ± 0.98.6 ± 0.9−43.5 ± 1.0−61.4 ± 0.2
Table 3. Changes in the color of wood exposed in a double-layer test—“back-side”.
Table 3. Changes in the color of wood exposed in a double-layer test—“back-side”.
Type of SampleΔa*Δb*ΔL*
Non-AgingAgingNon-AgingAgingNon-AgingAging
Pine5.5 ± 0.75.1 ± 1.514.6 ± 2.38.5 ± 1.0−22.1 ± 3.6−61.2 ± 1.7
R. pseudoaccacia9.6 ± 0.28.0 ± 4.222.1 ± 1.416.1 ± 6.7−29.2 ± 5.3−49.5 ± 6.6
CCA-Wood0.3%6.0 ± 0.55.8 ± 1.117.3 ± 0.616.7 ± 4.8−19.3 ± 0.6−47.8 ± 5.7
Cu-org-Wood6.5 ± 0.37.1 ± 1.323.5 ± 1.024.7 ± 0.4−26.3 ± 0.5−40.1 ± 3.9
LO-Wood9.9 ± 0.77.4 ± 6.628.6 ± 2.57.9 ± 1.9−15.9 ± 1.2−62.8 ± 4.9
Furfurylation (WPG 25)8.6 ± 0.57.1 ± 3.68.6 ± 0.82.9 ± 2.1−58.4 ± 0.4−68.4 ± 1.0
Furfurylation (WPG 35)9.0 ± 0.77.6 ± 0.88.6 ± 1.01.8 ± 1.6−59.7 ± 1.1−69.5 ± 1.6
Acetylation (25 WPG)7.4 ± 1.25.6 ± 0.221.4 ± 2.019.8 ± 3.1−14.2 ± 3.9−33.5 ± 2.3
Thermowood-D13.4 ± 0.39.4 ± 1.322.2 ± 0.911.2 ± 1.2−43.5 ± 1.1−58.6 ± 1.1
Table 4. Changes in the color of wood exposed in a filed ground test—“above-ground” samples.
Table 4. Changes in the color of wood exposed in a filed ground test—“above-ground” samples.
Type of SampleΔa*Δb*ΔL*
Non-AgingAgingNon-AgingAgingNon-AgingAging
Pine6.4 ± 0694.6 ± 0.418.4 ± 7.28.4 ± 2.0−27.9 ± 1.8−57.8 ± 4.2
R. pseudoaccacia9.7 ± 1.04.2 ± 0.315.9 ± 1.66.1 ± 0.5−42.9 ± 0.8−61.8 ± 0.4
CCA-Wood0.3%5.3 ± 0.45.5 ± 0.115.2 ± 1.013.0 ± 0.4−21.4 ± 2.5−50.8 ± 2.2
CCA-Wood1.3%4.6 ± 0.35.0 ± 0.215.0 ± 0.713.3 ± 0.4−26.7 ± 0.1−50.9 ± 0.6
Cu-org-Wood6.1 ± 1.05.9 ± 0.522.0 ± 1.015.3 ± 0.9−25.5 ± 3.2−50.2 ± 1.6
LO-Wood4.7 ± 0.93.9 ± 0.412.1 ± 1.76.7 ± 1.7−34.3 ± 2.6−60.2 ± 4.0
Furfurylation (WPG 40)9.7 ± 0.35.7 ± 0.610.7 ± 0.29.7 ± 0.2−58.5 ± 0.4−59.0 ± 1.1
Acetylation (WPG 25)6.3 ± 1.06.8 ± 1.118.8 ± 2.817.2 ± 2.5−16.1 ± 3.2−36.9 ± 2.5
Thermowood-D13.6 ± 0.28.3 ± 0.922.1 ± 0.317.9 ± 1.6−44.3 ± 0.5−44.0 ± 1.5
Table 5. Changes in the color of wood exposed in a filed ground test—“in-ground” samples.
Table 5. Changes in the color of wood exposed in a filed ground test—“in-ground” samples.
Type of SampleΔa*Δb*ΔL*
Non-AgingAgingNon-AgingAgingNon-AgingAging
Pine9.6 ± 0.41.4 ± 0.821.5 ± 0.38.5 ± 1.7−23.1 ± 0.4−46.4 ± 4.7
R. pseudoaccacia9.65 ± 0.42.06 ± 0.621.9 ± 1.48.5 ± 0.9−264 ± 0.5−50.3 ± 4.8
CCA-Wood0.3%6.3 ± 0.10.5 ± 0.117.9 ± 0.46.9 ± 0.6−22.2 ± 0.7−46.4 ± 0.5
CCA-Wood1.3%5.0 ± 0.10.7 ± 0.116.2 ± 0.47.1 ± 1.7−27.3 ± 0.3−50.4 ± 1.4
Cu-org-Wood7.3 ± 0.82.06 ± 0.223.1 ± 0.710.4 ± 0.6−26.9 ± 0.5−43.0 ± 0.6
LO-Wood9.7 ± 0.41.8 ± 1.427.2 ± 0.97.5 ± 1.4−14.2 ± 0.4−56.0 ± 6.7
Furfurylation (WPG 40)10.0 ± 0.51.1 ± 0.310.7 ± 1.18.0 ± 1.3−58.3 ± 0.8−47.3 ± 1.7
Acetylation (WPG 25)3.6 ± 1.32.5 ± 0.114.3 ± 4.110.2 ± 1.7−17.6 ± 3.6−43.1 ± 2.2
Thermowood-D13.1 ± 0.42.2 ± 0.221.0 ± 0.89.2 ± 0.5−44.4 ± 1.0−42.4 ± 0.8
Disclaimer/Publisher’s Note: The statements, opinions and data contained in all publications are solely those of the individual author(s) and contributor(s) and not of MDPI and/or the editor(s). MDPI and/or the editor(s) disclaim responsibility for any injury to people or property resulting from any ideas, methods, instructions or products referred to in the content.

Share and Cite

MDPI and ACS Style

Perdoch, W.; Benc, M.; Mazela, B. Wood from Field Tests as a Model for Assessing the Suitability of Post-Consumer Wood. Forests 2024, 15, 80. https://doi.org/10.3390/f15010080

AMA Style

Perdoch W, Benc M, Mazela B. Wood from Field Tests as a Model for Assessing the Suitability of Post-Consumer Wood. Forests. 2024; 15(1):80. https://doi.org/10.3390/f15010080

Chicago/Turabian Style

Perdoch, Waldemar, Mateusz Benc, and Bartłomiej Mazela. 2024. "Wood from Field Tests as a Model for Assessing the Suitability of Post-Consumer Wood" Forests 15, no. 1: 80. https://doi.org/10.3390/f15010080

APA Style

Perdoch, W., Benc, M., & Mazela, B. (2024). Wood from Field Tests as a Model for Assessing the Suitability of Post-Consumer Wood. Forests, 15(1), 80. https://doi.org/10.3390/f15010080

Note that from the first issue of 2016, this journal uses article numbers instead of page numbers. See further details here.

Article Metrics

Back to TopTop