Next Article in Journal
Wood from Field Tests as a Model for Assessing the Suitability of Post-Consumer Wood
Next Article in Special Issue
Mechanical and Antibacterial Properties of Bamboo Charcoal/ZnO-Modified Bamboo Fiber/Polylactic Acid Composites
Previous Article in Journal
Assessing the Impact of Charcoal Production on Southern Angolan Miombo and Mopane Woodlands
Previous Article in Special Issue
Effects of Microstructure and Chemical Composition on the Visual Characteristics of Flattened Bamboo Board
 
 
Font Type:
Arial Georgia Verdana
Font Size:
Aa Aa Aa
Line Spacing:
Column Width:
Background:
Article

The Preparation and Performance of Bamboo Waste Bio-Oil Phenolic Resin Adhesives for Bamboo Scrimber

1
National Forestry and Grassland Engineering Technology Center for Wood Resources Recycling, School of Materials Science and Technology, Beijing Forestry University, Beijing 100083, China
2
Institute of Biomaterials for Bamboo and Rattan Resources, International Centre for Bamboo and Rattan, Beijing 100102, China
*
Author to whom correspondence should be addressed.
Forests 2024, 15(1), 79; https://doi.org/10.3390/f15010079
Submission received: 5 December 2023 / Revised: 22 December 2023 / Accepted: 28 December 2023 / Published: 30 December 2023

Abstract

:
Bamboo is a fast-growing plant with properties such as low cost, abundant resources, and good carbon sequestration effect. However, the swift growth of bamboo resources generates an immense quantity of processing waste, which is necessary to effectively utilize bamboo processing waste. The leftovers from bamboo processing can be reutilized by fast pyrolysis to prepare renewable bio-oil. In this study, bamboo bio-oil was partially substituted for phenol to synthesize phenolic resin with different substitution rates under the action of an alkaline catalyst, and then to serve as the adhesive to produce bamboo scrimber. Bamboo bundles were impregnated with synthetic bio-oil phenolic resin to create bamboo scrimber, which was subsequently hot-pressed. The research shows that modified phenolic resins with a bio-oil substitution rate of under 30% have good physical and chemical properties, while the free aldehyde content of phenolic resin with 40% bio-oil substitution exceeds the limit value (0.3%) specified in the Chinese National Standard. The thermal stability of phenolic resins was also increased after bio-oil modification, indicated by the movement of the TG curve to higher temperature ranges. It was found that the bamboo scrimber prepared with 20% BPF resin adhesive had the best comprehensive properties of a good mechanical strength, hydrophobicity, and mildew resistance, particularly with an elastic modulus of 9269 MPa and a static bending strength of 143 MPa. The microscopic morphology showed that the BPF resin was well impregnated into the interior of the bamboo bundle and had a compact bonding structure within the bamboo scrimber. The anti-mold performance experiment found that the bio-oil-modified resin increased the anti-mold level of the bamboo scrimber from slightly corrosion-resistant to strong corrosion-resistant. The conclusions obtained from this study have a good reference value for achieving the comprehensive utilization of bamboo, helping to promote the use of all components, reduce the production cost of bamboo scrimber, and improve its mildew resistance performance. This provides new ideas for the development of low-cost mildew resistant bamboo scrimber novel materials.

1. Introduction

Bamboo and wood resources are renewable carbon cycle materials, which can store carbon for a long time, so they can be used as an ideal material to mitigate the greenhouse effect [1]. Due to extensive logging, wood resources are becoming increasingly scarce compared to abundant bamboo resources. Therefore, the rational and efficient use of bamboo as a substitute for wood is a good ideal [2]. Since ancient times, bamboo has been the basic means of production and life for human society. There are over 115 genera and over 1400 species of bamboo in the world [3]. Bamboo resources are abundant, with low prices ($100 per ton) and fast growth rate (It takes three to five years to harvest) [4]. Bamboo is widely distributed in tropical to temperate and even cold regions, mainly in tropical and subtropical regions, and is particularly abundant in Asia, accounting for about 80% of the world’s total. It is a major non-wood product [5,6].
The bamboo industry, as a sunrise industry, has the characteristics of high strength, toughness, good rigidity, and easy processing. After nearly 30 years of development, the bamboo industry mainly includes bamboo-engineered wood, bamboo pulp and paper making, textiles, bamboo furniture, daily necessities, charcoal, extracts and drinks, and so on [7,8]. The products are widely used in more than 10 fields such as architecture, decoration, and home furnishing [9]. Bamboo scrimber is a newly bamboo-based material, which involves splitting, rolling, and loosening truncated bamboo tubes to obtain bamboo bundle. Then, these bamboo bundles are dipped in adhesive, assembled, and hot-pressed. Finally, the bamboo bundle units are processed into bamboo scrimber. [10]. At present, the main adhesive for preparing bamboo-engineered wood is phenolic resin adhesive, which can enhance the performance of bamboo scrimber, such as strength, durability, etc. The use of phenolic resin adhesive can improve the density of bamboo scrimber, hinder material exchange between bamboo and the outside world, and improve durability.
Phenolic resin is a polymer obtained by the condensation reaction of phenolic and aldehyde monomers under acidic or alkaline catalytic conditions [11,12]. Because of its excellent corrosion resistance, durability, water resistance, and high strength [13,14], phenolic resin is widely used in wood and bamboo adhesives [15], refractory materials [6], tire rubber [16], foam plastics [17], friction materials [18], glass fiber [19] and other fields. In recent years, the consumption of phenolic resin in China has steadily increased, from 918,200 tons in 2014 to 1.45 million tons in 2021, with an average annual growth rate of 8.10%. Currently, the rapid development of domestic industries such as automobiles and rail transit has also driven the growth of demand for high-end phenolic resin and its composite materials. It is expected that the consumption of phenolic resin in China will reach 1.85 million tons by 2025. Overall, the situation of oversupply of phenolic resin will continue.
In recent years, with high energy consumption and increasingly depleted resources [20], as well as excessive emissions of organic compounds such as phenols and aldehydes in phenolic resins, researchers have sought new environmentally friendly raw materials to synthesize phenolic resins. There are many phenolic substances in nature, such as natural polymers such as lignin [21], tannins [22], tung oil, rosin [23], and biomass-derived products such as cashew phenol [24] and bio-oil [25]. Among them, the vigorous development of the bamboo industry will lead to the production of a large amount of processing residue during the processing and utilization process, which can be pyrolysis to generate bio-oil and improve the utilization rate of bamboo [26]. The introduction of these bio-based materials not only compensate for the shortcomings of fossil fuels, but also improves the environmental performance of resins and reduces the emission of toxic substances. Among them, bio-oil is a liquid product obtained from rapid pyrolysis of agricultural and forestry biomass [27]. It has a wide range of sources of raw materials, rich content of phenols and aldehydes, and good reactivity [25]. It is a good energy and chemical raw material and has good potential and application prospects in the field of phenolic resin synthesis [28]. Research has found that ordinary phenolic resin has anti-mold and antibacterial properties in the preparation of bamboo scrimber [29]. The wood industry uses bio-oil phenolic resin extensively, and now some researchers have also applied bio-oil in bamboo-engineered wood to prevent mildew and corrosion.
Until now, research on bamboo scrimber has mainly focused on its preparation process and mechanical properties. However, research on bamboo adhesives is still in its early stages. We use the bio-oil obtained from the pyrolysis of biomass bamboo waste to synthesize BPF resin, achieving the rational utilization of bamboo resources. To understand the impact of the rate of phenol substitution with bio-oil on the performance of bamboo scrimber, this study synthesized bio-oil phenolic resin using bamboo bio-oil as a partial substitute for phenol. The FTIR and TG were used to study the functional groups and thermal stability of cured BPF resins with different substitution rates. The mechanical properties of bamboo scrimber prepared with BPF resin adhesives with different substitution rates were analyzed. The hydrophilicity and hydrophobicity of bamboo were tested by a dynamic contact angle tester. The SEM was used to observe the degree of immersion of different adhesives on bamboo bundles. The corrosion effect of bamboo scrimber made of 20% BPF resin and 0% BPF resin after 28 days of infection by Aspergillus niger was observed. The research results provide experimental data and a theoretical basis for the practical application of biomass phenolic resin impregnated bamboo scrimber.

2. Materials and Methods

2.1. Materials

Bio-oil, an acid liquid (pH 3.5), was obtained by quickly pyrolyzing waste moso bamboo in a fluidized bed at 550 °C for 2–3 s by the Laboratory of Fast Pyrolysis of Biomass and Productive Utilization [17]. The content of the bio-oil was 25.4% phenols, 12.6% ketones, 7.9% aldehydes, 6.6% organic acids, 4.8% esters, 4.2% alcohols, 29.8% water, and 8.7% other compounds. Phenol is produced by Shanghai Macklin Biochemical Technology Co., Ltd in China. Formaldehyde, analytically pure, was produced by Shantou Xilong Chemical Reagent Co., Ltd., Guangdong, China. Sodium hydroxide (NaOH), analytically pure, was produced by Beijing Chemical Plant. Moso bamboo bundles were provided by Youzhu Technology Co., Ltd., Fujian, China.

2.2. Synthesis and Characterization of Resins and Bamboo Scrimber

2.2.1. Synthesis of BPF Resins

In a flask with three necks, the BPF resin was created at several rates of B/P substitution (0, 10, 20, 30 and 40 wt%). Formaldehyde, NaOH, and phenol (including bio-oil) had a molar ratio of 1:2:0.5. First, phenol, 30 wt% of NaOH solution, and 75% of the total formaldehyde (37 wt%), were added to the flask. After that, the system was heated to 85 °C for 30 to 40 min and maintained for 60 min. The remaining 25% of total formaldehyde (37 wt%), NaOH solution (30 wt%), and bio-oil were added when the temperature was lowered to 75° C. The system was then held at 85 °C for 120 min. In the end, the system was cooled to 40 °C in 20 min to create bio-oil resins with various rates of replacement.

2.2.2. Fabrication of Bamboo Scrimber

The design size of the bamboo scrimber in this study was 350 × 350 × 5mm. The preparation process of bamboo scrimber was as follows:
(1)
The solid contents of the bio-oil phenolic resins were adjusted to 30% and mixed evenly. The bamboo bundles were soaked in adhesive for 8 min, then were taken out and placed in an oven for drying, and keep testing during drying process until the moisture content of the bamboo bundle was reduced to 8%.
(2)
The bamboo bundles were put in two layers in a completely parallel pattern and place them in a hot press with a pressure of 5MPa and a temperature of 135 °C for 30 minutes. After the hot pressing was completed, the temperature of the machine drops to around 30 °C, and then the board was unloaded.

2.2.3. Characterization of BPF Resins

According to the Chinese National Standard, “Urea formaldehyde, phenolic and melamine formaldehyde resins for wood industry adhesives” [30], the pH, viscosity, solid content, and free formaldehyde of the resin were measured, and three parallel experiments were conducted. The Fourier transform infrared spectroscopy (Nicolet 6700, Thermo Fisher, Waltham, MA, USA) was used to analyze the structural functional groups of cured BPF resin powder and pure PF resin powder, with a scanning wavelength range of 4000 cm−1~500 cm−1 and resolution of 4cm−1. The thermogravimetric analysis (TG 209 F3, NETZSCH, Germany) was used to analyze the thermal stability of cured BPF resins with different substitution rates. The nitrogen flow rate, temperature rise rate, and temperature range were 20 mL/min, 10 °C /min, and 35–800 °C.

2.2.4. Characterization of Bamboo Scrimber

The modulus of rupture, modulus of elasticity, water absorbing thickness expansion rate and water absorption width expansion rate were tested according to the Chinese National Standard [31], and the number of samples tested was six for each property. A universal testing machine (MMW-50, NAIER, Jinan, Shandong province of China) was used to measure the modulus of rupture and modulus of elasticity of bamboo scrimber at a constant speed of 10 mm/min. The sample size for testing fracture modulus and elastic modulus is 150 × 50 × 5mm, and the size of the water absorption expansion rate was 50 × 50 × 5 mm. Observing the hydrophobic properties of bamboo scrimber samples using a contact angle analyzer (SL200KS, KINO, New York, NY, America), all sample sizes were 50 × 50 × 5 mm. The microstructure of bamboo scrimber prepared with different BPF resin adhesives was observed using scanning electron microscopy (Regulus8100, HITACH, Japan), and all sample sizes were 10 × 10 × 5 mm. The sample was sprayed with gold in vacuum for 5 min. The mildew resistance properties of the samples were investigated according to the Chinese National Standard [32], with Aspergillus niger as the representative mold. The mildew resistance test sample was cut into 50 × 20× 5 mm and then placed on the cultured test mold for mildew resistance testing. Lastly, the petri dishes were placed into an incubator at 25 °C and 85% (humidity) for 28 days.

3. Results and Discussion

3.1. Characterization of Bio-Oil Phenolic Resin

3.1.1. Basic Physical and Chemical Properties of BPF Resin

Figure 1 shows that the effect of the bio-oil on the performance of phenolic resin. This paper sets up the bio-oil substitution rates (0, 10, 20, 30 and 40 wt%) to synthesize bio-oil phenolic resin, so as to examine the effect of the bio-oil substitution rates on the BPF resin. Figure 1a,b show that as the substitution rate of bio-oil increased, the pH value and solid content of the resin decreased. This is mainly because bio-oil contains 25%–35% moisture and organic acids such as formic acid and acetic acid, and the pH value is around 4.0 [33]. Therefore, the addition of bio-oil reduced the solid content and pH of the resin. The increase in the amount of bio-oil added caused a rise in water content [34] and a decrease in alkalinity, which was introduced into the system, resulting in a decrease in the solid content and pH value of the resin. The Chinese National Standard [35] stipulates that the pH of phenolic resin is ≥7 and the solid content is ≥35%. The performance of the synthesized resin in this study meets the requirement of the Chinese National Standard [35]. From Figure 1c, it can be seen that the viscosity range of phenolic resins with different bio-oil substitution rates was between 34.7 and 42.4 mPa·s. With small variations, they were all within the range specified in the Chinese National Standard (20–300 mPa·s). The lower the viscosity of the resin, the more conducive it was to the impregnation of bamboo bundles. This is because the viscosity of the resin was not only affected by the drag of moisture and long side chains of macromolecular substances in the bio-oil, but it was also affected by the combined influence of medium and low molecular weight substances and impurities in the bio-oil [36]. Figure 1d shows that with the increase in the amount of the bio-oil, the content of free aldehyde increased, mainly because the number of phenolic reaction active sites in the bio-oil was less than that of the pure phenol, which led to a reduction in the formaldehyde consumption and an increase in the free aldehyde content. Moreover, when the substitution rate was ≥40%, the content of free aldehyde in resin exceeded the range of ≤0.3% specified in the Chinese National Standard. According to relevant research, the reaction activity of the bio-oil with formaldehyde was much lower than that of pure phenol with formaldehyde (about 30% of pure phenol). Compared with pure phenol, the total amount of phenols in the bio-oil was relatively low, and due to technical problems in the pyrolysis process, the bio-oil contained some impurities, which affected the reaction of the phenols with formaldehyde [37].

3.1.2. Thermal Stability of BPF Resins

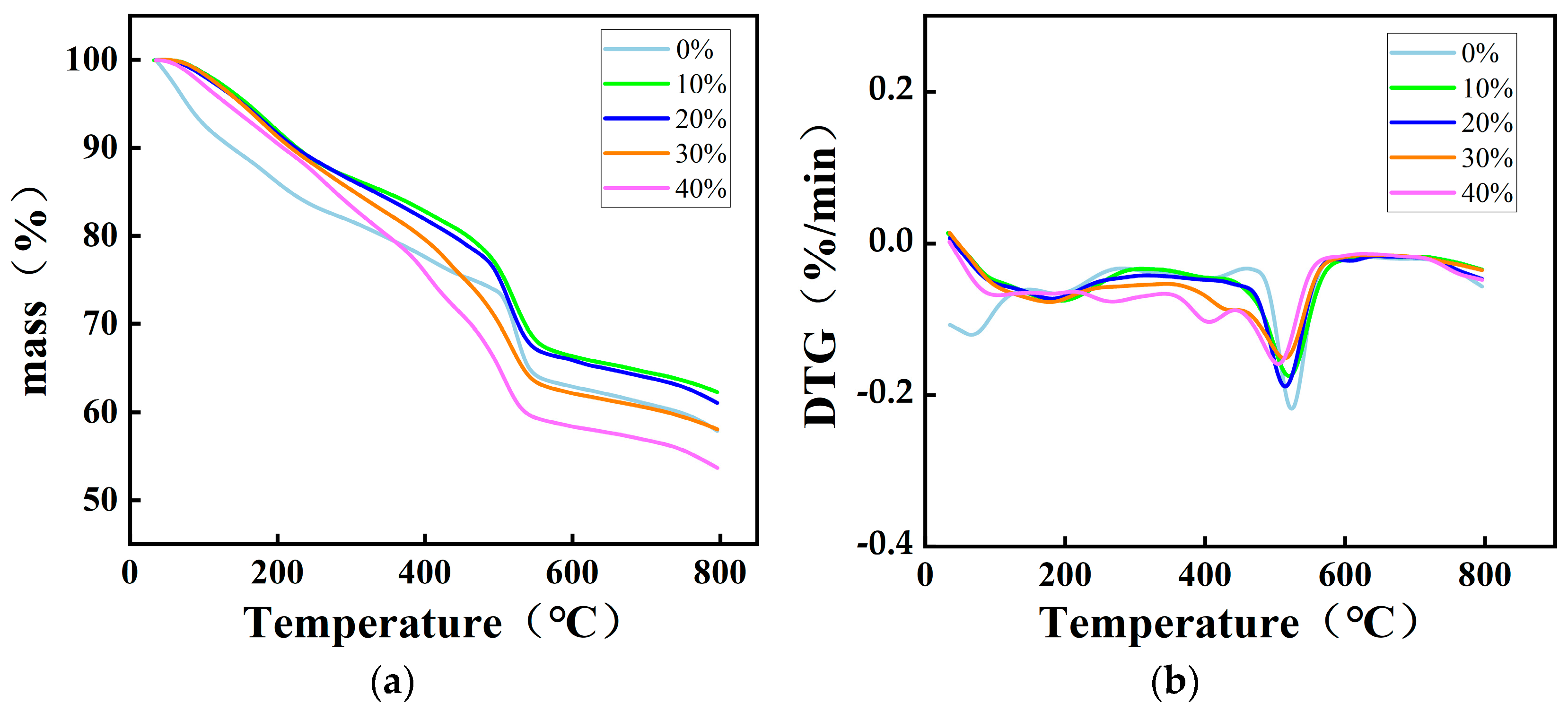
Figure 2 shows the TG curves and DTG curves of the different BPF resins at the heating rate of 10 °C·min−1. The pyrolysis characteristics of BPF resins with different substitution rates are listed in Table 1. The results indicated that the thermal degradation of BPF resins with different substitution rates was similar. The thermal stability analysis of five cured bio-oil phenolic resins with different substitution rates is shown in Figure 2 and Table 1. As shown in Figure 2a, it is evident that there were two temperature ranges where the thermal breakdown mostly took place. The first stage was between 30 °C and 350 °C. In the lower temperature range, the mass loss was about 15%, mainly due to the release of small oligomers such as free aldehydes and free phenols [38]. The thermal stability of BPF resin was better than that of pure phenolic resin, possibly due to the high content of lignin-derived aromatic substances in the bio-oil, which mainly decompose at around 350 °C. After 350 °C, due to the high content of aromatic ring substances in pyrolysis lignin in biomass pyrolysis oil, the thermal stability of 10% and 20% BPF resins is higher than that of pure PF resins. When the temperature reaches 350 °C, a large amount of aromatic substances in pyrolysis lignin decompose [39], resulting in the poor thermal stability of the BPF resins with a mass loss of about 30% at high temperatures. As shown in Figure 2b, the BPF resin had two different weight loss ranges. The first stage occurred between 30 °C and 350 °C, with a relatively high weight loss rate. The reason for weight loss may be the volatilization of free formaldehyde and free phenols. The second stage was from 350 °C to 600 °C, with a relatively slow weight loss rate, which may be due to the release of carbon monoxide and methane from thermosetting phenolic resins, as well as the release of water, hydrogen, and methylene from the reaction. Table 1 and Figure 2 show that the initial decomposition temperature of the bio-oil resin was higher than that of pure phenolic resin, indicating that the addition of the bio-oil can improved the thermal stability of the resin below 350 °C. From Table 1, it can be seen that when the temperature was between 350–800 °C and the bio-oil substitution rates increased from 0% to 20%, the final weight loss rate decreased. The final weight loss rates of the bio-oil substitution rates of 30% and 40% resins were higher than those of pure PF resins. The appropriate addition of the bio-oil was beneficial for improving the thermal stability of phenolic resin, but the excessive addition of the bio-oil can introduce more water and small molecule volatile substances, leading to a decrease in the thermal stability of the resin.

3.1.3. FTIR Analysis of BPF Resin

As shown in Figure 3, the cured BPF resins were analyzed using the FTIR spectrum to explore the chemical structure of resins produced. It used to be clear that the peak assignments of the FTIR spectrum of the BPF resins were similar to that of the PF resin. However, when different amounts of the bio-oil were added to the BPF resins, there were noticeable variations in the strength of the peaks that belonged to the feature functional groups. As shown in Figure 3, the positions of the characteristic absorption peaks of the functional groups of the five groups of resins were similar, indicating that the bio-oil phenolic resin and pure phenolic resin have similar molecular structures. The pure PF resin and BPF resin have similar typical absorption peaks, such as the hydroxymethyl absorption peak, methylene absorption peak, and also ortho- & para- absorption peak on the phenol ring. This indicates that the BPF resin and the pure PF resin have similar structures and compositions. The band near 3287 cm−1 in the figure shows the stretching vibration absorption peak of hydroxyl groups, with a wider and more blunt shape. The C-H bond stretching vibration absorption peak of the fatty hydrocarbons was observed in the band around 2895 cm−1, indicating the presence of a certain amount of fatty hydrocarbon substances in the resin; 1591 cm−1 and 1441 cm−1 belong to the skeleton vibration absorption peak of the aromatic ring and benzene ring, while 767 cm−1 belongs to the C-C bending vibration absorption peak of the simple aromatic ring. The absorption peak at 1206 cm−1 belongs to the C-O stretching vibration, indicating that the resin contains a large amount of phenolic hydroxyl and hydroxymethyl groups. Comparing the pure PF and BPF in the Figure 3, the peak shape near 3287 cm−1 in BPF is narrower and more pronounced than that near PF, mainly due to the higher number of hydroxyl groups in the polyphenolic substances in the bio-oil. The infrared spectrum also reveals the feasibility of using the bio-oil to synthesize the phenolic resin. To prepare excellent recombinant bamboo, phenolic resin as an adhesive plays a decisive role. The pH, solid content, and viscosity of the resin all affect the impregnation of bamboo bundles by the adhesive.

3.2. Performance and Characterization of Bamboo Scrimber

3.2.1. Mechanical Properties

Figure 4a,b show that the modulus of elasticity and modulus of rupture of the BPF adhesives impregnated the bamboo scrimber with different bio-oil substitution rates. When the substitution rates of the bio-oil are within 20%, it meets the 90Eb standard [33], and the MOR meets the requirements of high-quality products. When the substitution rate of the bio-oil is 0%–30%, the mechanical strength of the bamboo scrimber gradually decreases. The main reason is that the reaction activity of the bio-oil with formaldehyde is lower than that of pure phenol with formaldehyde, leading to a decrease in the polymerization degree [40]. When the bamboo bundle is hot-pressed, the material that can crosslink and solidify in a tight network structure polymer is greatly reduced, which reduces the bonding performance of the resin and leads to a decrease in the mechanical properties of the bamboo scrimber. When the substitution rate of the bio-oil is 30%–40%, the mechanical strength of the bamboo scrimber shows a slight increase. This is because the bio-oil also contains some ketones, aldehydes, esters, and other components, which can increase the linear structure of the resin, improve the toughness and wettability of the resin, and alleviate the negative impact of polymers on the bonding performance of the resin. However, considering that the free aldehyde content of the BPF adhesive is too high when the bio-oil substitution rate is 40%, which is harmful to human health, and considering that the mechanical strength of the impregnated bamboo scrimber needs to meet the requirements of the Chinese National Standard, the bio-oil substitution rate during BPF preparation should not exceed 20%.

3.2.2. Hydrophobic Property of Bamboo Scrimber

The thickness and width expansion of water absorption are a crucial physical property index for structural materials [41]. It is the ratio of the measured thickness difference before and after soaking a certain number of samples in water according to the standard method.
Figure 5a,b show the samples’ water absorption thickness and width expansion rates during a 24 h incubation period in water at room temperature. According to GB/T40247-2021 “Bamboo Scrimber” [33], the 24 h water absorption thickness expansion rate of the bamboo scrimber prepared with the BPF resin synthesized with the different bio-oil substitution rates meets the minimum T5.0 level requirements of the Chinese National Standard when the substitution rate is 20%. The width expansion rate meets the requirements of Chinese National Standard W1.0 level when the substitution rate is 20%. The 24 h water absorption thickness expansion rate of the bamboo scrimber prepared with the BPF resin synthesized with the different bio-oil substitution rates decreases from 0% to 20% and increases from 20% to 40%. The composition of the bio-oil is complex and contains a large amount of hydroxyl groups, making it easy to absorb water. Therefore, the substitution rate of the bio-oil increases, and the increase in the water absorbing groups such as the hydroxyl groups leads to an increase in the water absorption expansion rate of the bamboo scrimber.
The solid surface’s wettability, which is determined by its geometric structure and chemical makeup, is a crucial characteristic for structural and constructional materials. Preventing moisture from entering the interior of bamboo can improve its susceptibility to mold, decay, deformation, and cracking, and thereby extend its service life [42]. Cellulose and Hemicellulose in bamboo are rich in hydroxyl, and the main chain of each monomer in the phenolic resin adhesive contains free hydroxyl, so the bamboo scrimber board is hydrophilic. The water contact angle (WCA) values of the bamboo scrimber boards prepared with adhesive synthesized with the bio-oil substitution rates of 0%, 10%, 20%, 30%, and 40% were 76.1°, 78.3°, 78°, 77.7°, and 65.6°, respectively. The bamboo scrimber WCA prepared with 40% BPF resin decreased to only 65.6°, mainly because the hydroxyl content inside the resin increased with the increase in the bio-oil substitution rate.

3.2.3. SEM Analysis of Bamboo Scrimber

Figure 6 shows the SEM images of the surface of the bamboo scrimber were. The SEM images indicate that BPF resin is not only immersed in the cell lumen of bamboo bundles, but also well immersed in the cell wall. Bamboo contains numerous vertical channels that are arranged in a porous layered structure resembling that of wood. [43,44]. Figure 6a,c,e,g,i,j show that, with the increase in the amount of the bio-oil added, bamboo scrimber with a substitution rate of 0%–30% resin adhesive have a compact structure and resin filling. Bamboo scrimber using resin adhesives with substitution rates of 30% and 40% can be impregnated with the adhesive, but the filling structure is sparse and not dense. In the figure, we see that the resin was not only impregnated inside the bamboo bundle, but also well filled in the bamboo interlayer, further increasing the mechanical strength of the bamboo material. In Figure 6, we see that the degree of the BPF resins’ impregnation on the surface of the five groups of bamboo scrimber was similar, and the resin evenly penetrated into the pores, because the difference between the resin viscosity and the solid content was not significant. Figure 6 show that there were some ripples on the surface of the cured BPF resin, indicating that a strong intermolecular force was formed in the cross-linking structure of the resin, and it was also closely combined with the bamboo bundle [34]. From Figure 6, we can see that when the bio-oil substitution rates were below 20%, the bonding between the bamboo bundles was relatively tight. This is because the BPF resin with low bio-oil substitution rates have more polyhydroxyphenol polymers and better resin bonding performance. When the bio-oil substitution rates were greater than 30%, the surface pores of the bamboo scrimber were larger, indicating that the bonding degree between the bamboo bundles was low. This is consistent with the results of mechanical strength test of the recombinant bamboo, and both the mechanical strength and the adhesion degree of the resin to the bamboo bundles decreased with the increase in the bio-oil substitution rate.

3.2.4. Mildew Resistance Property of Bamboo Scrimber

Figure 7 shows the mildew of the bamboo scrimber prepared with 0% BPF resin adhesive and 20% BPF resin adhesive after 28 days of infection by Aspergillus niger. The products were tested for their ability to withstand mildew by being incubated for 28 days with Aspergilus niger, a common mold that is readily infected by bamboo-based materials. Figure 7 shows the infection percentages of the samples. Calculating the mass loss rate of the sample, it was found that the mass loss rate of the recombinant bamboo prepared with pure phenolic resin was between 25% and 44%, belonging to a slightly corrosion-resistant grade. The weight loss rate of recombinant bamboo prepared with 20% bio-oil phenolic resin was 0%–10%, and it had a strong corrosion resistance. It is evident that the pure PF resin exhibited poor antifungal effects compared to the 20% BPF resin, which may be due to substances such as phenols, aldehydes, ketones, alcohols, and organic acids in the bio-oil. Research has shown that phenolic and ketone substances can damage the cell wall of molds, expand the permeability of the cell wall, and allow mold contents to escape, thereby disrupting the growth and reproduction of molds, playing an anti-mold and antbacterial role. Alcohols, aldehydes, and organic acids are all disinfection and sterilization substances, which can enter the cells of mold cells, destroy their protein surface, inactivate the protein, and inhibit the metabolism of mold. Larix gmelinii bio-oil has certain antifungal and bacteriostatic effects on Aspergillus niger, Penicillium citrinum, and Trichoderma viride.
The enhanced hydrophobicity of the surface of the sample will inhibit the absorption of water from the environment by the board. By reducing the adhesion of Aspergillus niger to the board, the hydrophobicity of bamboo can hinder the exchange of nutrients inside and outside the bamboo, and hinder the growth of Aspergillus niger [45,46], which further verifies the conclusion that hydrophobic materials have good antifungal effect in water contact.

4. Conclusions

In this study, bio-oil from bamboo wastes was introduced into phenolic resin by partially replacing fossil phenol, and the bamboo bundle was impregnated within the bio-oil phenolic resin, dried, assembled, and hot-pressed to obtain bamboo scrimber. The basic physical and chemical properties of the bio-oil phenolic resin were measured, and the mechanical properties, dimensional stability, and mildew resistance of bamboo scrimber were tested. The results indicate that when the bio-oil substitution rate is less than or equal to 30%, the pH, solid content, viscosity, and free formaldehyde of the bio-oil phenolic resin comply with the Chinese National Standard [35]. The addition of bio-oil improves the thermal stability of the phenolic resin. When the bio-oil substitution rate is less than or equal to 20%, recombinant bamboo exhibits good MOE, MOR, and 24 h water absorption thickness/width expansion rate, which meets the requirements of Chinese National Standard for “Bamboo Scrimber” [33]. In terms of anti-mildew performance, the anti-mildew performance of 20% BPF resin is much better than that of unmodified PF resin, which further proves that the antibacterial active components in the bio-oil have a certain inhibitory effect on Aspergillus niger. This study helps to reduce the production costs for the synthesis of phenolic resin, achieve the recycling of bamboo waste, and improve the utilization rate of bamboo resources, and it also provides new ideas for the special anti-mildew properties of bamboo scrimber.

Author Contributions

Conceptualization, C.L. and S.H.; writing—original draft preparation, C.L.; writing—review and editing, X.R. and F.C.; supervision, Y.L. All authors have read and agreed to the published version of the manuscript.

Funding

This research was funded by the fund of National Key Research and Development Program (2022YFD2200904), Hebei Province Central Finance Forest and Grass Science and Technology Promotion Demonstration Project (JI-TG [2022] 004).

Data Availability Statement

Data are contained within the article.

Acknowledgments

We are very grateful to Fujian Youzhu Technology Co., Ltd. in China for providing the raw material bamboo bundles.

Conflicts of Interest

The experimental materials for the study are provided by Youzhu Technology Co., Ltd. This company is not involved in the study design, collection, analysis, interpretation of data, the writing of this article or the decision to submit it for publication.

References

  1. Chau, C.K.; Leung, T.M.; Ng, W.Y. A review on Life Cycle Assessment, Life Cycle Energy Assessment and Life Cycle Carbon Emissions Assessment on buildings. Appl. Energy 2015, 143, 395–413. [Google Scholar] [CrossRef]
  2. Li, Z.; Chen, C.; Mi, R. A Strong, Tough, and Scalable Structural Material from Fast-Growing Bamboo. Adv. Mater. 2020, 32, 1906308. [Google Scholar] [CrossRef] [PubMed]
  3. Xiu, H.Z.; Ping, Z.; Zhen, Z.Z. Sap flow-based transpiration in Phyllostachys pubescens: Applicability of the TDP methodology, age effect and rhizome role. Trees 2016, 31, 765–779. [Google Scholar] [CrossRef]
  4. Wu, Y.; Wang, Y.; Yang, F. Study on the Properties of Transparent Bamboo Prepared by Epoxy Resin Impregnation. Polymers 2020, 12, 863. [Google Scholar] [CrossRef] [PubMed]
  5. Troya, M.F.A.; Xu, C. Plantation Management and Bamboo Resource Economics in China. Cienc. Tecnol. 2014, 7, 1–12. [Google Scholar] [CrossRef]
  6. Talabi, S.I.; Luz, A.P.; Lucas, A.A. Catalytic graphitization of novolac resin for refractory applications. Ceram. Int. 2018, 44, 3816–3824. [Google Scholar] [CrossRef]
  7. Frey, M.; Widner, D.; Segmehl, J.S. Delignified and Densified Cellulose Bulk Materials with Excellent Tensile Properties for Sustainable Engineering. ACS Appl. Mater. Interfaces 2018, 10, 5030–5037. [Google Scholar] [CrossRef] [PubMed]
  8. Gibson, L.J. The hierarchical structure and mechanics of plant materials. J. R. Soc. Interface 2012, 9, 2749–2766. [Google Scholar] [CrossRef] [PubMed]
  9. Montanari, C.; Ogawa, Y.; Olsén, P. High Performance, Fully Bio-Based, and Optically Transparent Wood Biocomposites. Adv. Sci. 2021, 8, 2100559. [Google Scholar] [CrossRef]
  10. Huang, Y.; Qi, Y.; Ya, H.Z. Progress of Bamboo Recombination Technology in China. Adv. Polym. Technol. 2019, 2019, 1–10. [Google Scholar] [CrossRef]
  11. Khanal, A.; Manandhar, A.; Adhikari, S. Techno-economic analysis of novolac resin production by partial substitution of petroleum-derived phenol with bio-oil phenol. Biofuels Bioprod. Biorefining 2021, 15, 1611–1620. [Google Scholar] [CrossRef]
  12. Adhikari, S.; Auad, M.; Via, B. Production of Novolac Resin after Partial Substitution of Phenol from Bio-Oil. Trans. ASABE 2020, 63, 901–912. [Google Scholar] [CrossRef]
  13. Sandomierski, M.; Buchwald, T.; Strzemiecka, B. Carbon black modified with 4-hydroxymethylbenzenediazonium salt as filler for phenol-formaldehyde resins and abrasive tools. J. Appl. Polym. Sci. 2020, 137, 48160. [Google Scholar] [CrossRef]
  14. Ghosh, N.N.; Kiskan, B.; Yagci, Y. Polybenzoxazines—New high performance thermosetting resins: Synthesis and properties. Prog. Polym. Sci. 2007, 32, 1344–1391. [Google Scholar] [CrossRef]
  15. Özbay, G.; Cekic, C.; Ahmad, M.S. Synthesis of Bio-Oil Phenol-Formaldehyde Resins under Alkali Conditions. Drv. Ind. 2020, 71, 19–27. [Google Scholar] [CrossRef]
  16. Ming, L.Y.; Feng, C.P.; Siddig, E.A.A. Effect of phenolic resin on the performance of the styrene-butadiene rubber modified asphalt. Constr. Build. Mater. 2018, 181, 465–473. [Google Scholar] [CrossRef]
  17. Xu, P.; Yu, Y.; Chang, M. Preparation and Characterization of Bio-oil Phenolic Foam Reinforced with Montmorillonite. Polymers 2019, 11, 1471. [Google Scholar] [CrossRef] [PubMed]
  18. Zhang, E.; Gao, F.; Fu, R. Tribological Behavior of Phenolic Resin-Based Friction Composites Filled with Graphite. Materials 2021, 14, 742. [Google Scholar] [CrossRef]
  19. Cui, Y.; Chang, J.; Wang, W. Fabrication of Glass Fiber Reinforced Composites Based on Bio-Oil Phenol Formaldehyde Resin. Materials 2016, 9, 886. [Google Scholar] [CrossRef]
  20. Zhao, Z.; Wu, D.; Huang, C. Utilization of enzymatic hydrolysate from corn stover as a precursor to synthesize an eco-friendly adhesive for plywood II: Investigation of appropriate manufacturing conditions, curing behavior, and adhesion mechanism. J. Wood Sci. 2020, 66, 1–10. [Google Scholar] [CrossRef]
  21. Gong, X.; Meng, Y.; Lu, J. A Review on Lignin-Based Phenolic Resin Adhesive. Macromol. Chem. Phys. 2022, 4, 223. [Google Scholar] [CrossRef]
  22. Hafiz, N.L.M.; Tahir, P.M.; Hua, L.S. Curing and thermal properties of co-polymerized tannin phenol–formaldehyde resin for bonding wood veneers. J. Mater. Res. Technol. 2020, 9, 6994–7001. [Google Scholar] [CrossRef]
  23. Wang, Z.; Gao, P.; Chen, P. Synthetic reaction of rosin-modified phenolic resin for offset inks. Pigment Resin Technol. 2000, 29, 88–92. [Google Scholar] [CrossRef]
  24. Zhang, W.; Jiang, N.; Zhang, T. Thermal Stability and Thermal Degradation Study of Phenolic Resin Modified by Cardanol. Emerg. Mater. Res. 2020, 9, 1–6. [Google Scholar] [CrossRef]
  25. Cho, E.C.; Chang, J.C.W.; Lu, C.Z. Bio-Phenolic Resin Derived Porous Carbon Materials for High-Performance Lithium-Ion Capacitor. Polymers 2022, 14, 575. [Google Scholar] [CrossRef] [PubMed]
  26. Ha, X.; Mg, B. Progress of the applications of bio-oil. Renew. Sustain. Energy Rev. 2020, 134, 110124. [Google Scholar] [CrossRef]
  27. Prado, C.M.R.; Filho, N.R.A. Production and characterization of the biofuels obtained by thermal cracking and thermal catalytic cracking of vegetable oils. J. Anal. Appl. Pyrolysis 2009, 86, 338–347. [Google Scholar] [CrossRef]
  28. Ren, Y.; Xie, J.; He, X. Preparation of Lignin-Based High-Ortho Thermoplastic Phenolic Resins and Fibers. Molecules 2021, 26, 3993. [Google Scholar] [CrossRef]
  29. Amen, C.C.; Riedl, B.; Roy, C. Softwood Bark Pyrolysis Oil-PF Resols. Part 2. Thermal Analysis by DSC and TG. Holzforschung 2002, 56, 273–280. [Google Scholar] [CrossRef]
  30. GB/T 14074-2017; Testing Methods for Wood Adhesives and Resins. GB Standards: Beijing, China, 2017.
  31. GB/T 17657-2013; Test Methods for Physical and Chemical Properties of Artificial Boards and Decorative Artificial Boards. GB Standards: Beijing, China, 2013.
  32. GB/T 18261-2013; Test Method for the Efficacy of Antifungal Agents in Controlling Wood Mold and Discoloring Fungi. GB Standards: Beijing, China, 2013.
  33. GB/T 40247-2021; Bamboo Scrimber. GB Standards: Beijing, China, 2021.
  34. Cui, Y.; Hou, X.; Wang, W. Synthesis and Characterization of Bio-Oil Phenol Formaldehyde Resin Used to Fabricate Phenolic Based Materials. Materials 2017, 10, 668. [Google Scholar] [CrossRef]
  35. GB/T 14732-2017; Wood Adhesives: Urea-Formaldehyde, Phenol-Formaldehyde and Melamine-Formaldehyde Resins. GB Standards: Beijing, China, 2017.
  36. Özbay, G.; Ayrilmis, N. Bonding performance of wood bonded with adhesive mixtures composed of phenol-formaldehyde and bio-oil. Ind. Crops Prod. 2015, 66, 68–72. [Google Scholar] [CrossRef]
  37. Dong, F.; Wang, M.; Wang, Z. Bio-oil as Substitute of Phenol for Synthesis of Resol-type Phenolic Resin as Wood Adhesive. Int. J. Chem. React. Eng. 2018, 16, 20170107. [Google Scholar] [CrossRef]
  38. Ozaki, J.I.; Ohizumi, W.; Oya, A.A. TG-MS study of poly(vinyl butyral)/phenol-formaldehyde resin blend fiber. Carbon 2000, 38, 1515–1519. [Google Scholar] [CrossRef]
  39. Chaouch, M.; Diouf, P.N.; Laghdir, A. Bio-oil from whole-tree feedstock in resol-type phenolic resins. J. Appl. Polym. Sci. 2014, 131, 40014. [Google Scholar] [CrossRef]
  40. Yu, Y.; Xu, P.; Chang, M. Aging Properties of Phenol-Formaldehyde Resin Modified by Bio-Oil Using UV Weathering. Polymers 2018, 10, 1183. [Google Scholar] [CrossRef]
  41. Lou, Z.; Han, X.; Liu, J. Nano-Fe3O4/bamboo bundles/phenolic resin oriented recombination ternary composite with enhanced multiple functions. Compos. Part B Eng. 2021, 226, 109335. [Google Scholar] [CrossRef]
  42. Wang, F.; Li, S.; Wang, L. Fabrication of artificial super-hydrophobic lotus-leaf-like bamboo surfaces through soft lithography. Colloids Surf. A Physicochem. Eng. Asp. 2017, 513, 389–395. [Google Scholar] [CrossRef]
  43. Mi, R.; Li, T.; Dalgo, D. A Clear, Strong, and Thermally Insulated Transparent Wood for Energy Efficient Windows. Adv. Funct. Mater. 2020, 30, 1907511. [Google Scholar] [CrossRef]
  44. Zhu, M.W.; Song, J.; Li, T.; Gong, A.; Wang, Y.; Dai, J.; Yao, Y.; Luo, W.; Henderson, D.; Hu, L. Highly Anisotropic, Highly Transparent Wood Composites. Adv. Mater. 2016, 28, 5181–5187. [Google Scholar]
  45. Hu, H.; Ni, J.; Cai, D. A palgorskite-based nanocomposite effectively reducing the incidence of powdery mildew. Appl. Clay Sci. 2018, 166, 113–122. [Google Scholar] [CrossRef]
  46. Xu, J.; Zhang, T.; Jiang, Y. Synthesis of microcrystalline cellulose/TiO2/fluorine/styrene-acrylate coatings and the application for simulated paper cultural relic protection. Cellulose 2020, 27, 6549–6562. [Google Scholar] [CrossRef]
Figure 1. Physical and chemical properties of BPF (a) pH value, (b) solid content, (c) viscosity (d) free aldehyde content.
Figure 1. Physical and chemical properties of BPF (a) pH value, (b) solid content, (c) viscosity (d) free aldehyde content.
Forests 15 00079 g001
Figure 2. (a) TG curve and (b) DTG curve of BPF synthesized with different bio-oil substitution rates.
Figure 2. (a) TG curve and (b) DTG curve of BPF synthesized with different bio-oil substitution rates.
Forests 15 00079 g002
Figure 3. FTIR of BPF synthesized with different bio-oil substitution rates.
Figure 3. FTIR of BPF synthesized with different bio-oil substitution rates.
Forests 15 00079 g003
Figure 4. Effect of the bio-oil replacement rates on the (a) modulus of elasticity and (b) modulus of rupture of the bamboo scrimber.
Figure 4. Effect of the bio-oil replacement rates on the (a) modulus of elasticity and (b) modulus of rupture of the bamboo scrimber.
Forests 15 00079 g004
Figure 5. Effect of the bio-oil replacement rates on the (a) 24h TSR; (b) 24h WTR; (c) contact angles of the bamboo scrimber.
Figure 5. Effect of the bio-oil replacement rates on the (a) 24h TSR; (b) 24h WTR; (c) contact angles of the bamboo scrimber.
Forests 15 00079 g005
Figure 6. SEM images of the cross-section of the obtained bamboo scrimber with different phenolic resins, (a,b) 0% BPF resin, (c,d) 10% BPF resin, (e,f) 20% BPF resin, (g,h) 30% BPF resin (i,j) 40% BPF resin with different magnification. Among them, (a,c,e,g,i) represent SEM images magnified by ×1000 times, and (b,d,f,h,j) represent SEM images magnified by ×5000 times.
Figure 6. SEM images of the cross-section of the obtained bamboo scrimber with different phenolic resins, (a,b) 0% BPF resin, (c,d) 10% BPF resin, (e,f) 20% BPF resin, (g,h) 30% BPF resin (i,j) 40% BPF resin with different magnification. Among them, (a,c,e,g,i) represent SEM images magnified by ×1000 times, and (b,d,f,h,j) represent SEM images magnified by ×5000 times.
Forests 15 00079 g006aForests 15 00079 g006b
Figure 7. The mildew infection percentage results of the samples after incubation with Aspergilus niger for 28 days (a) 0%BPF (b) 20%BPF.
Figure 7. The mildew infection percentage results of the samples after incubation with Aspergilus niger for 28 days (a) 0%BPF (b) 20%BPF.
Forests 15 00079 g007
Table 1. Pyrolysis characteristics of BPF with different substitution rates.
Table 1. Pyrolysis characteristics of BPF with different substitution rates.
Samples (%)T0 (°C)Tmax (°C)Total Mass Loss (%)
PF38.92524.9742.45
10% BPF95.86521.9537.85
20% BPF69.46513.1339.12
30% BPF74.06516.1541.98
40% BPF57.14505.7046.50
T0: The initial decomposition temperature. Tmax: The temperature corresponding to maximum thermal weight loss rate.
Disclaimer/Publisher’s Note: The statements, opinions and data contained in all publications are solely those of the individual author(s) and contributor(s) and not of MDPI and/or the editor(s). MDPI and/or the editor(s) disclaim responsibility for any injury to people or property resulting from any ideas, methods, instructions or products referred to in the content.

Share and Cite

MDPI and ACS Style

Li, C.; Ren, X.; Han, S.; Li, Y.; Chen, F. The Preparation and Performance of Bamboo Waste Bio-Oil Phenolic Resin Adhesives for Bamboo Scrimber. Forests 2024, 15, 79. https://doi.org/10.3390/f15010079

AMA Style

Li C, Ren X, Han S, Li Y, Chen F. The Preparation and Performance of Bamboo Waste Bio-Oil Phenolic Resin Adhesives for Bamboo Scrimber. Forests. 2024; 15(1):79. https://doi.org/10.3390/f15010079

Chicago/Turabian Style

Li, Chunmiao, Xueyong Ren, Shanyu Han, Yongxia Li, and Fuming Chen. 2024. "The Preparation and Performance of Bamboo Waste Bio-Oil Phenolic Resin Adhesives for Bamboo Scrimber" Forests 15, no. 1: 79. https://doi.org/10.3390/f15010079

APA Style

Li, C., Ren, X., Han, S., Li, Y., & Chen, F. (2024). The Preparation and Performance of Bamboo Waste Bio-Oil Phenolic Resin Adhesives for Bamboo Scrimber. Forests, 15(1), 79. https://doi.org/10.3390/f15010079

Note that from the first issue of 2016, this journal uses article numbers instead of page numbers. See further details here.

Article Metrics

Back to TopTop