Identifying the Biological Characteristics of Anthracnose Pathogens of Blueberries (Vaccinium corymbosum L.) in China
Abstract
1. Introduction
2. Materials and Methods
2.1. Sample Collection and Fungal Isolation
2.2. Pathogenicity Tests
2.3. DNA Extraction and PCR Amplification
2.4. Sequence Alignment and Phylogenetic Analyses
2.5. Morphological Identification
2.6. Biological Characteristic
2.7. Statistical Analysis
3. Results
3.1. Field Symptoms and Isolation of Fungi
3.2. Pathogenicity Test
3.3. Multilocus Phylogenetic Analyses
3.4. Morphology and Taxonomy
3.4.1. Colletotrichum fructicola Prihastuti, L. Cai and K.D. Hyde
3.4.2. Colletotrichum aenigma B. Weir and P.R. Johnst
3.5. Biological Characteristics
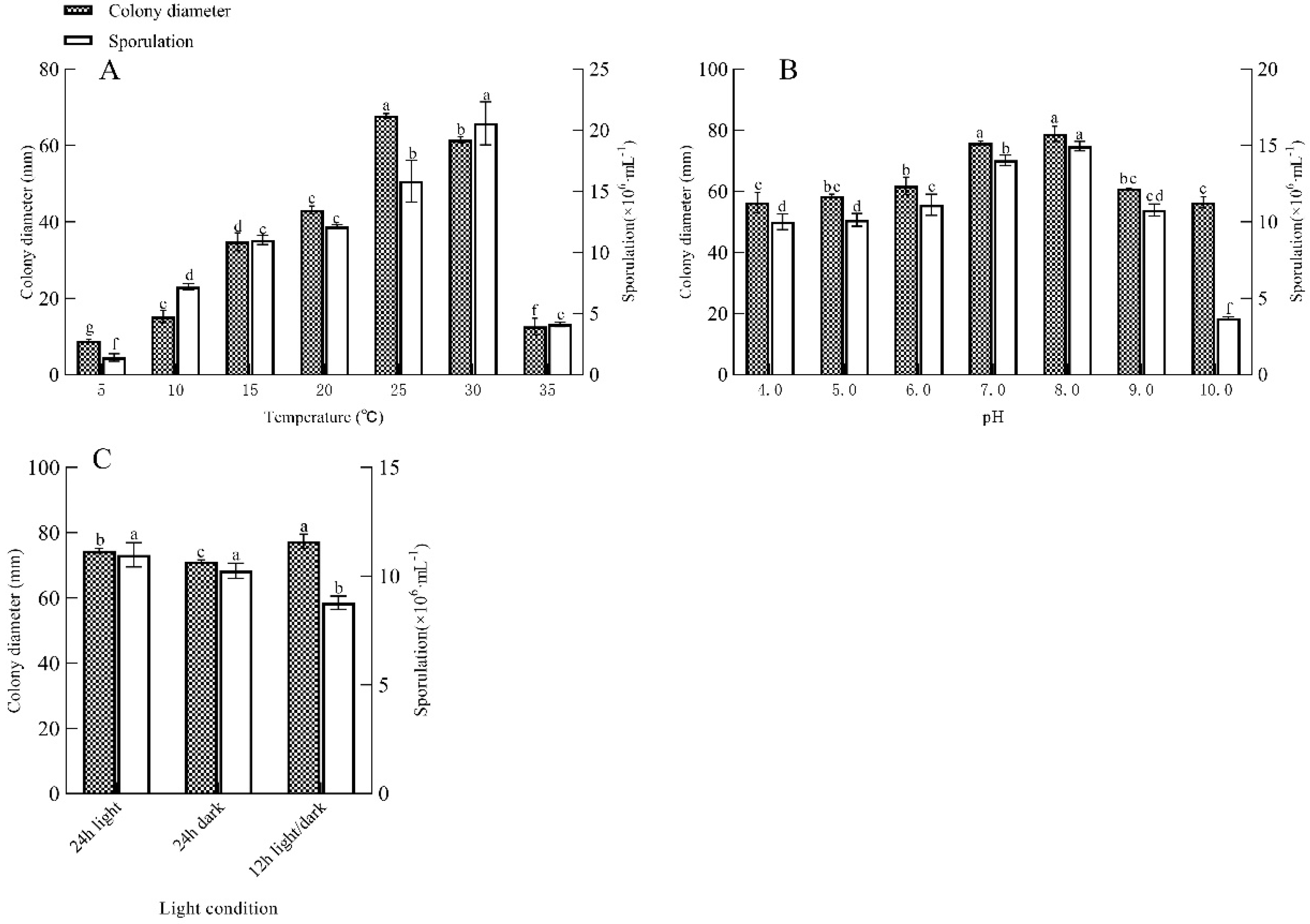
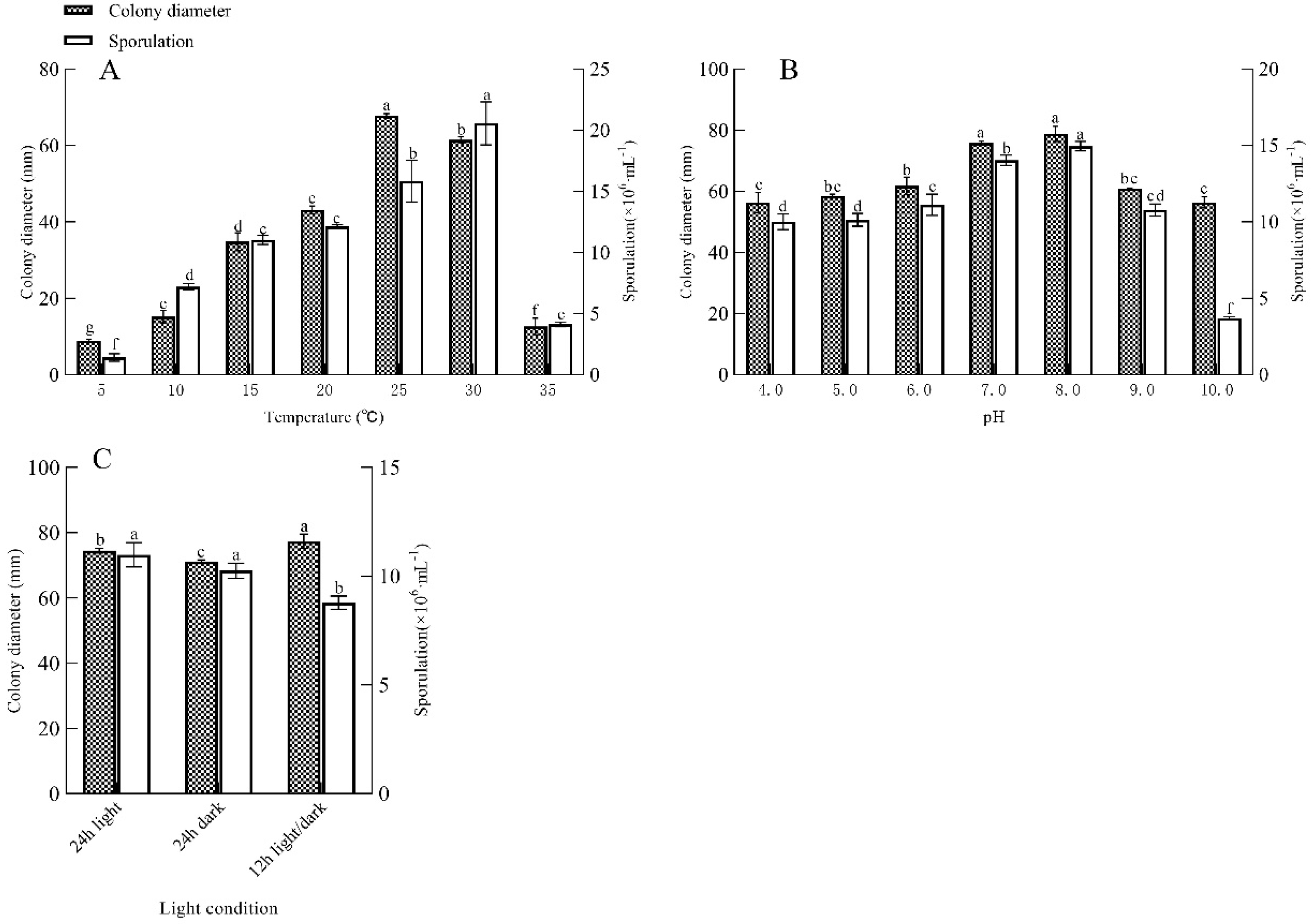
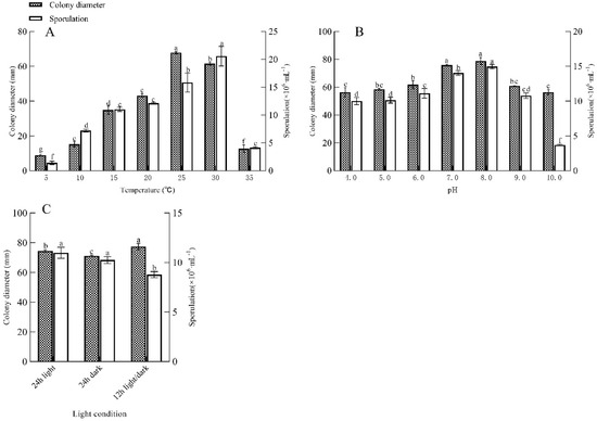
3.5.1. Effects on Growth and Sporulation of C. aenigma at Different Temperatures, pH, and Light
3.5.2. Effects of Different Culture Media and Carbon and Nitrogen Sources on Mycelial Growth and Spore Production
4. Discussion
5. Conclusions
Supplementary Materials
Author Contributions
Funding
Data Availability Statement
Acknowledgments
Conflicts of Interest
References
- Akimova, S.; Radzhabov, A.; Esaulko, A.; Samoshenkov, E.; Nechiporenko, I.; Kazakov, P.; Voskoboinikov, Y.; Matsneva, A.; Zubkov, A.; Aisanov, T. Improvement of Ex Vitro Growing Completion of Highbush Blueberry (Vaccinium corymbosum L.) in Containers. Forests 2022, 13, 1550. [Google Scholar] [CrossRef]
- Brockerhoff, E.G.; Barbaro, L.; Castagneyrol, B.; Forrester, D.I.; Gardiner, B.; González-Olabarria, J.R.; Lyver, P.O.; Meurisse, N.; Oxbrough, A.; Taki, H.; et al. Forest biodiversity, ecosystem functioning and the provision of ecosystem services. Biodivers. Conserv. 2017, 26, 3005–3035. [Google Scholar] [CrossRef]
- Chang, W.; Wang, X.; Yang, J.; Qin, T. An Improved CatBoost-Based Classification Model for Ecological Suitability of Blueberries. Sensors 2023, 23, 1811. [Google Scholar] [CrossRef] [PubMed]
- Yurgel, S.N.; Douglas, G.M.; Dusault, A.; Percival, D.; Langille, M.G.I. Dissecting Community Structure in Wild Blueberry Root and Soil Microbiome. Front. Microbiol. 2018, 9, 1187. [Google Scholar] [CrossRef] [PubMed]
- Aerts, R.; Honnay, O. Forest restoration, biodiversity and ecosystem functioning. BMC Ecol. 2011, 11, 29. [Google Scholar] [CrossRef] [PubMed]
- Yang, H.; Wu, Y.; Duan, Y.; Zhang, C.; Huang, Z.; Wu, W.; Lyu, L.; Li, W. Metabolomics combined with physiological and transcriptomic analyses reveal regulatory features associated with blueberry growth in different soilless substrates. Sci. Hortic. 2022, 302, 111145. [Google Scholar] [CrossRef]
- Yang, H.; Duan, Y.; Wei, Z.; Wu, Y.; Zhang, C.; Wu, W.; Lyu, L.; Li, W. Integrated Physiological and Metabolomic Analyses Reveal the Differences in the Fruit Quality of the Blueberry Cultivated in Three Soilless Substrates. Foods 2022, 11, 3965. [Google Scholar] [CrossRef]
- Zhao, L.; Sun, W.; Zhao, L.; Zhang, L.; Yin, Y.; Zhang, Y. Neofusicoccum vaccinii: A Novel Species Causing Stem Blight and Dieback of Blueberries in China. Plant Dis. 2022, 106, 2338–2347. [Google Scholar] [CrossRef]
- Xu, C.N.; Zhou, Z.S.; Wu, Y.X.; Chi, F.M.; Ji, Z.R.; Zhang, H.J. First Report of Stem and Leaf Anthracnose on Blueberry Caused by Colletotrichum gloeosporioides in China. Plant Dis. 2013, 97, 845. [Google Scholar] [CrossRef]
- Xu, C.-N.; Zhou, Z.-S.; Wu, Y.-X.; Chi, F.-M.; Ji, Z.-R.; Zhang, H.-J. First Report of Colletotrichum acutatum Associated with Stem Blight of Blueberry Plants in China. Plant Dis. 2013, 97, 422. [Google Scholar] [CrossRef]
- Zheng, X.; Liu, X.; Li, X.; Quan, C.; Li, P.; Chang, X.; Gu, J.; Khaskheli, M.I.; Gong, G. Pestalotiopsis Species Associated with Blueberry Leaf Spots and Stem Cankers in Sichuan Province of China. Plant Dis. 2023, 107, 149–156. [Google Scholar] [CrossRef] [PubMed]
- Zhang, L.Q.; Jiang, S.; Meng, J.J.; An, H.S.; Zhang, X.Y. First Report of Leaf Spot Caused by Nigrospora oryzae on Blueberry in Shanghai, China. Plant Dis. 2019, 103, 2473. [Google Scholar] [CrossRef]
- Lai, J.; Liu, B.; Xiong, G.; Liu, T.; You, J.; Jiang, J. First Report of Diaporthe phoenicicola Causing Leaf Spot on Blueberry (Vaccinium virgatum) in China. Plant Dis. 2023, 107, 569. [Google Scholar] [CrossRef] [PubMed]
- Chen, C.; Liang, X.; Lin, Y.; Hsiang, T.; Xiang, M.; Zhang, Y. First Report of Leaf Spot and Stem Blight on Blueberry (Vaccinium corymbosum ‘Bluerain’) Caused by Calonectria pseudoreteaudii in China. Plant Dis. 2023, 107, 1951. [Google Scholar] [CrossRef] [PubMed]
- Dean, R.; Van Kan, J.A.L.; Pretorius, Z.A.; Hammond-Kosack, K.E.; Di Pietro, A.; Spanu, P.D.; Rudd, J.J.; Dickman, M.; Kahmann, R.; Ellis, J.; et al. The Top 10 fungal pathogens in molecular plant pathology: Top 10 fungal pathogens. Mol. Plant Pathol. 2012, 13, 414–430. [Google Scholar] [CrossRef] [PubMed]
- Farr, D.F.; Aime, M.C.; Rossman, A.Y.; Palm, M.E. Species of Colletotrichum on Agavaceae. Mycol. Res. 2006, 110, 1395–1408. [Google Scholar] [CrossRef] [PubMed]
- Liu, Y.; Shi, Y.P.; Zhuo, D.; Yang, T.; Dai, L.; Li, L.; Zhao, H.; Liu, X.; Cai, Z.Y. Characterization of Colletotrichum Causing Anthracnose on Rubber Trees in Yunnan: Two New Records and Two New Species from China. Plant Dis. 2023, 107, 3037–3050. [Google Scholar] [CrossRef]
- Damm, U.; Cannon, P.F.; Woudenberg, J.H.C.; Crous, P.W. The Colletotrichum acutatum species complex. Stud. Mycol. 2012, 73, 37–113. [Google Scholar] [CrossRef]
- Damm, U.; Cannon, P.F.; Woudenberg, J.H.C.; Johnston, P.R.; Weir, B.S.; Tan, Y.P.; Shivas, R.G.; Crous, P.W. The Colletotrichum boninense species complex. Stud. Mycol. 2012, 73, 1–36. [Google Scholar] [CrossRef]
- Weir, B.S.; Johnston, P.R.; Damm, U. The Colletotrichum gloeosporioides species complex. Stud. Mycol. 2012, 73, 115–180. [Google Scholar] [CrossRef]
- Duarte, I.G.; Amaral, A.G.G.; Vieira, W.A.d.S.; Veloso, J.S.; da Silva, A.C.; Silva, C.d.F.B.d.; Balbino, V.d.Q.; Castlebury, L.A.; Câmara, M.P.S. Diversity of Colletotrichum species associated with torch ginger anthracnose. Mycologia 2023, 115, 661–673. [Google Scholar] [CrossRef] [PubMed]
- Castellar, C.; Petermann, D.; De Mio, L.L.M. Epidemiological Relevance of Colletotrichum Species Isolated from Glomerella Leaf Spot Causing Symptoms in Apple Fruit. Plant Dis. 2023, 107, 3403–3413. [Google Scholar] [CrossRef] [PubMed]
- Jiang, D.-L.; Harata, K.; Ogawa, M.; Shirota, K.; Sasaki, A.; Nakamura, T.; Okamoto, S.; Park, E.Y.; Sato, K.; Nakamura, Y.; et al. Multiple Colletotrichum species cause anthracnose disease on Japanese pickling melon var. Katsura-uri (Cucumis melo var. conomon). J. Gen. Plant Pathol. 2023, 89, 249–259. [Google Scholar] [CrossRef]
- Wei, R.; Wang, R.; Li, Y.; Yue, M.; Ding, W. Identification, biological characteristics and fungicide sensitivity of Colletotrichum species that cause anthracnose on Anemarrhena asphodeloides in China. J. Phytopathol. 2022, 170, 373–381. [Google Scholar] [CrossRef]
- Paniz-Mondolfi, A.E.; Agemy, S.; Cañete-Gibas, C.; Gitman, M.R.; Iacob, C.E.; Necula, I.; Wang, C.-Y.; Noguera, L.A.D.; Sanders, C.; Wiederhold, N.P.; et al. First report of human infection caused by Colletotrichum chlorophyti occurring in a post-corneal transplant patient with endophthalmitis. Med. Mycol. Case Rep. 2021, 32, 73–76. [Google Scholar] [CrossRef] [PubMed]
- Imai, K.; Sumioka, T.; Iwanishi, H.; Takada, Y.; Murata, S.; Iwamoto, R.; Okada, Y.; Saika, S. Therapeutic Penetrating Keratoplasty in a Case of Corneal Perforation Caused by Colletotrichum gloeosporioides Infection. Pathogens 2022, 11, 526. [Google Scholar] [CrossRef] [PubMed]
- Zhang, M.; Li, D.; Si, Y.; Ju, Y.; Zhu, L. Colletotrichum Species Associated with Anthracnose in Salix babylonica in China. Plants 2023, 12, 1679. [Google Scholar] [CrossRef]
- Miles, T.D.; Hancock, J.F. Inheritance of Resistance to Anthracnose Fruit Rot Caused by Colletotrichum fioriniae in Highbush Blueberry. Int. J. Fruit Sci. 2022, 22, 160–169. [Google Scholar] [CrossRef]
- Miles, T.D.; Gillett, J.M.; Jarosz, A.M.; Schilder, A.M.C. The effect of environmental factors on infection of blueberry fruit by Colletotrichum acutatum. Plant Pathol. 2013, 62, 1238–1247. [Google Scholar] [CrossRef]
- Castro, J.F.; Millas, P.; Cisterna-Oyarce, V.; Carrasco-Fernández, J.; Santelices, C.; Muñoz, V.; Guerra, M.; Barra-Bucarei, L.; France, A. First Report of Colletotrichum fioriniae Causing Anthracnose Fruit Rot on Vaccinium corymbosum in Chile. Plant Dis. 2023, 107, 959. [Google Scholar] [CrossRef]
- Rios, J.A.; Pinho, D.B.; Moreira, W.R.; Pereira, O.L.; Rodrigues, F.A. First Report of Colletotrichum karstii Causing Anthracnose on Blueberry Leaves in Brazil. Plant Dis. 2015, 99, 157. [Google Scholar] [CrossRef] [PubMed]
- Estrada, V.F.M.; Carrizales, E.E.D.; Castro, J.L.G.; Acuña, J.R.T. A polyphasic approach for studying Colletotrichum. Fungal Divers. 2009, 39, 183–204. [Google Scholar] [CrossRef]
- Cannon, P.F.; Damm, U.; Johnston, P.R.; Weir, B.S. Colletotrichum—Current status and future directions. Stud. Mycol. 2012, 73, 181–213. [Google Scholar] [CrossRef] [PubMed]
- Mongkolporn, O.; Taylor, P.W.J. Chili anthracnose: Colletotrichum taxonomy and pathogenicity. Plant Pathol. 2018, 67, 1255–1263. [Google Scholar] [CrossRef]
- Crouch, J.A.; Clarke, B.B.; Hillman, B.I. What is the value of ITS sequence data in Colletotrichum systematics and species diagnosis? A case study using the falcate-spored graminicolous Colletotrichum group. Mycologia 2009, 101, 648–656. [Google Scholar] [CrossRef] [PubMed]
- Liu, X.; Zheng, X.; Khaskheli, M.I.; Sun, X.; Chang, X.; Gong, G. Identification of Colletotrichum Species Associated with Blueberry Anthracnose in Sichuan, China. Pathogens 2020, 9, 718. [Google Scholar] [CrossRef] [PubMed]
- Zhu, Z.; Dong, Z.; Mo, R.; Zhang, C.; Zuo, Y.; Yu, C.; Hu, X. First Report of Colletotrichum aenigma Causing Anthracnose on Mulberry Leaves in China. Plant Dis. 2023, 107, 571. [Google Scholar] [CrossRef]
- Liao, Y.-C.; Cao, Y.-J.; Wan, Y.; Li, H.; Li, D.-W.; Zhu, L.-H. Alternaria arborescens and A. italica Causing Leaf Blotch on Celtis julianae in China. Plants 2023, 12, 3113. [Google Scholar] [CrossRef]
- Li, H.; Liao, Y.-C.; Wan, Y.; Li, D.-W.; Zhu, L.-H. Colletotrichum siamense, a Novel Causal Agent of Viburnum odoratissimum Leaf Blotch and Its Sensitivity to Fungicides. J. Fungi 2023, 9, 882. [Google Scholar] [CrossRef]
- Zhu, L.-H.; Xu, W.; Huang, L.; Ye, J.-R.; Li, D.-W. Pathogenicity and Biological Characteristics of Septotinia populiperda Causing Leaf Blotch of Willow. Plant Dis. 2022, 106, 1262–1270. [Google Scholar] [CrossRef]
- Freeman, S.; Katan, T.; Shabi, E. Characterization of Colletotrichum gloeosporioides isolates from avocado and almond fruits with molecular and pathogenicity tests. Appl. Environ. Microbiol. 1996, 62, 1014–1020. [Google Scholar] [CrossRef] [PubMed]
- Gardes, M.; Bruns, T.D. ITS primers with enhanced specificity for basidiomycetes—Application to the identification of mycorrhizae and rusts. Mol. Ecol. 1993, 2, 113–118. [Google Scholar] [CrossRef] [PubMed]
- Carbone, I.; Kohn, L.M. A method for designing primer sets for speciation studies in filamentous ascomycetes. Mycologia 1999, 91, 553–556. [Google Scholar] [CrossRef]
- O’donnell, K.; Nirenberg, H.I.; Aoki, T.; Cigelnik, E. A Multigene phylogeny of the Gibberella fujikuroi species complex: Detection of additional phylogenetically distinct species. Mycoscience 2000, 41, 61–78. [Google Scholar] [CrossRef]
- Glass, N.L.; Donaldson, G.C. Development of primer sets designed for use with the PCR to amplify conserved genes from filamentous ascomycetes. Appl. Environ. Microbiol. 1995, 61, 1323–1330. [Google Scholar] [CrossRef] [PubMed]
- Silva, D.N.; Talhinhas, P.; Várzea, V.; Cai, L.; Paulo, O.S.; Batista, D. Application of the Apn2/MAT locus to improve the systematics of the Colletotrichum gloeosporioides complex: An example from coffee (Coffea spp.) hosts. Mycologia 2012, 104, 396–409. [Google Scholar] [CrossRef]
- Templeton, M.D.; Rikkerink, E.H.; Solon, S.L.; Crowhurst, R.N. Cloning and molecular characterization of the glyceraldehyde-3-phosphate dehydrogenase-encoding gene and cDNA from the plant pathogenic fungus Glomerella cingulata. Gene 1992, 122, 225–230. [Google Scholar] [CrossRef]
- Katoh, K.; Standley, D.M. MAFFT multiple sequence alignment software version 7: Improvements in performance and usability. Mol. Biol. Evol. 2013, 30, 772–780. [Google Scholar] [CrossRef]
- Zhang, D.; Gao, F.; Jakovlić, I.; Zhou, H.; Zhang, J.; Li, W.X.; Wang, G.T. PhyloSuite: An integrated and scalable desktop platform for streamlined molecular sequence data management and evolutionary phylogenetics studies. Mol. Ecol. Resour. 2020, 20, 348–355. [Google Scholar] [CrossRef]
- Kalyaanamoorthy, S.; Minh, B.Q.; Wong, T.K.F.; Von Haeseler, A.; Jermiin, L.S. ModelFinder: Fast model selection for accurate phylogenetic estimates. Nat. Methods 2017, 14, 587–589. [Google Scholar] [CrossRef]
- Nguyen, L.-T.; Schmidt, H.A.; Von Haeseler, A.; Minh, B.Q. IQ-TREE: A Fast and Effective Stochastic Algorithm for Estimating Maximum-Likelihood Phylogenies. Mol. Biol. Evol. 2015, 32, 268–274. [Google Scholar] [CrossRef] [PubMed]
- Ronquist, F.; Teslenko, M.; van der Mark, P.; Ayres, D.L.; Darling, A.; Höhna, S.; Larget, B.; Liu, L.; Suchard, M.A.; Huelsenbeck, J.P. MrBayes 3.2: Efficient Bayesian Phylogenetic Inference and Model Choice Across a Large Model Space. Syst. Biol. 2012, 61, 539–542. [Google Scholar] [CrossRef] [PubMed]
- Minh, B.Q.; Nguyen, M.A.T.; Von Haeseler, A. Ultrafast Approximation for Phylogenetic Bootstrap. Mol. Biol. Evol. 2013, 30, 1188–1195. [Google Scholar] [CrossRef] [PubMed]
- Tan, X.; Zhao, J.; Qiao, G.; Liu, J.; Hsiang, T.; Yu, Z.; Qin, W. Morphological characterization and pathogenicity of Colletotrichum aenigma and C. siamense causing anthracnose on Euonymus japonicus in Beijing, China. Plant Pathol. 2023, 72, 430–441. [Google Scholar] [CrossRef]
- Hu, S.; Zhang, Y.; Yu, H.; Zhou, J.; Hu, M.; Liu, A.; Wu, J.; Wang, H.; Zhang, C. Colletotrichum spp. Diversity Between Leaf Anthracnose and Crown Rot From the Same Strawberry Plant. Front. Microbiol. 2022, 13, 860694. [Google Scholar] [CrossRef] [PubMed]
- Fan, Y.C.; Guo, F.Y.; Wu, R.H.; Chen, Z.Q.; Li, Z. First Report of Colletotrichum gloeosporioides Causing Anthracnose on Grapevine (Vitis vinifera) in Shaanxi Province, China. Plant Dis. 2023, 107, 2249. [Google Scholar] [CrossRef] [PubMed]
- Chen, Y.; Fu, D.; Wang, W.; Gleason, M.L.; Zhang, R.; Liang, X.; Sun, G. Diversity of Colletotrichum Species Causing Apple Bitter Rot and Glomerella Leaf Spot in China. J. Fungi 2022, 8, 740. [Google Scholar] [CrossRef] [PubMed]
- Alam, A.; Adhikary, S.K.; Ahmed, M. Morphological Characterization of Colletotrichum gloeosporioiedes Identified from Anthracnose of Mangifera indica L. Asian J. Plant Pathol. 2017, 11, 102–117. [Google Scholar] [CrossRef][Green Version]
- Soares, V.F.; Velho, A.C.; Stadnik, M.J. First Report of Colletotrichum chrysophilum Causing Anthracnose on Blueberry in Brazil. Plant Dis. 2022, 106, 322. [Google Scholar] [CrossRef]
- Daykin, M.E. Infection of Blueberry Fruit by Colletotrichum gloeosporioides. Plant Dis. 1984, 68, 948. [Google Scholar] [CrossRef]
- Cappellini, R.A. Fungi Associated with Blueberries Held at Various Storage Times and Temperatures. Phytopathology 1972, 62, 68. [Google Scholar] [CrossRef]
- Verma, N.; MacDonald, L.; Punja, Z.K. Inoculum prevalence, host infection and biological control of Colletotrichum acutatum: Causal agent of blueberry anthracnose in British Columbia. Plant Pathol. 2006, 55, 442–450. [Google Scholar] [CrossRef]
- Moriwaki, J.; Sato, T.; Tsukiboshi, T. Morphological and molecular characterization of Colletotrichum boninense sp. nov. from Japan. Mycoscience 2003, 44, 47–53. [Google Scholar] [CrossRef]
- Crouch, J.A.; Tredway, L.P.; Clarke, B.B.; Hillman, B.I. Phylogenetic and population genetic divergence correspond with habitat for the pathogen Colletotrichum cereale and allied taxa across diverse grass communities. Mol. Ecol. 2009, 18, 123–135. [Google Scholar] [CrossRef] [PubMed]
- Shi, N.-N.; Ruan, H.-C.; Jie, Y.-L.; Chen, F.-R.; Du, Y.-X. Characterization, fungicide sensitivity and efficacy of Colletotrichum spp. from chili in Fujian, China. Crop Prot. 2021, 143, 105572. [Google Scholar] [CrossRef]
- Chen, X.; Jiang, L.; Bao, A.; Liu, C.; Liu, J.; Zhou, G. Molecular Characterization, Pathogenicity and Biological Characterization of Colletotrichum Species Associated with Anthracnose of Camellia yuhsienensis Hu in China. Forests 2021, 12, 1712. [Google Scholar] [CrossRef]
- Li, J.; Xu, J.; Wang, H.; Wu, C.; Zheng, J.; Zhang, C.; Han, Y. First Report of Fungal Pathogens Causing Leaf Spot on Sorghum–Sudangrass Hybrids and Their Interactions with Plants. Plants 2023, 12, 3091. [Google Scholar] [CrossRef]
- Zhou, W.J.; Fan, H.; He, F.; Wang, Y.Q. Study on Biological Characteristics and Toxicity Determination of Colletotrichum orbiculare Causing Anthracnose of Watermelon in Hainan Province. Plant Dis. Pests 2012, 3, 5. [Google Scholar]
- Li, F.; Matloob, M.; Nzabanita, C.; Li, Y. Growth, sporulation and germination of Verticillium alfalfae on media. Eur. J. Plant Pathol. 2021, 161, 383–395. [Google Scholar] [CrossRef]
- Rotem, J.; Cohen, Y.; Bashi, E. Host and Environmental Influences on Sporulation In Vivo. Annu. Rev. Phytopathol. 1978, 16, 83–101. [Google Scholar] [CrossRef]
- Zhang, Y.; Nan, M.; Xue, H. Isolating, Identifying, and Analyzing the Biological Characteristics of Pathogens Causing Postharvest Disease in Fresh Radix Astragali. Horticulturae 2023, 9, 1019. [Google Scholar] [CrossRef]
- Orozco Santos, M.; Manzo Sánchez, G.; Guzmán González, S.; Larios, J.F.; Timmer, L.W. Crecimiento y cambios morfológicos de Colletotrichum acutatum Simmonds, agente causal de la antracnosis del limón mexicano (Citrus aurantifolia Christm. Swingle) incubado en diferentes medios de cultivo sólidos y líquidos. Rev. Mex. Fitopatol. 2004, 22, 423–428. [Google Scholar]
- Armesto, C.; Maia, F.G.M.; Monteiro, F.P.; de Abreu, M.S. exoenzymes as a pathogenicity factor for Colletotrichum gloeosporioides associated with coffee plants. Summa Phytopathol. 2019, 45, 368–373. [Google Scholar] [CrossRef]






| Gene | Primer (Forward/Reverse) | PCR: Thermal Cycles: (Annealing Temp. in Bold) |
|---|---|---|
| ITS | ITS1/ITS4 | 94 °C: 3 min, (94 °C: 30 s, 55 °C: 30 s, 72 °C: 45 s) × 33 cycles, 72 °C: 10 min |
| CAL | CL1C/CL2C | 95 °C: 3 min, (95 °C: 30 s, 55 °C: 30 s, 72 °C: 30 s) × 35 cycles, 72 °C: 10 min |
| ACT | ACT512/ACT783 | 94 °C: 3 min, (94 °C: 30 s, 58 °C: 30 s, 72 °C: 45 s) × 35 cycles, 72 °C: 10 min |
| TUB2 | Bt2a/Bt2b | 95 °C: 3 min, (95 °C: 30 s, 55 °C: 30 s, 72 °C: 30 s) × 35 cycles, 72 °C: 10 min |
| ApMat | AmF/AmR | 94 °C: 3 min, (94 °C: 1 min, 55 °C: 30 s, 72 °C: 1 min) × 35 cycles, 72 °C: 10 min |
| GAPDH | GDF/GDR | 94 °C: 3 min, (94 °C: 30 s, 58 °C: 30 s, 72 °C: 45 s) × 35 cycles, 72 °C: 10 min |
| Medium | Ingredients |
|---|---|
| Potato Dextrose Agar | Potato, 200 g; dextrose, 20 g; distilled water, 1 L |
| Czapek’s Agar | NaNO3, 3 g; KCl, 0.5 g; KH2PO4, 1 g; MgSO4·7H2O, 0.5 g; FeSO4·7H2O, 0.01 g; sucrose, 20 g; distilled water, 1 L |
| Minimal Medium | NaNO3, 6 g; KCl, 0.52 g; KH2PO4, 1.52 g; MgSO4·7H2O, 0.64 g; Vogel-Bonner salts, 0.01 g; trace element, 1 mL; agar powder, 15 g |
| Complete Medium | 20 × nitrogen salt, 50 mL; trace element, 1 mL; peptone, 2 g; yeast extract, 1 g; casamino acid, 1 g; vitamin, 1 mL; dextrose, 10 g; agar powder, 15 g |
Disclaimer/Publisher’s Note: The statements, opinions and data contained in all publications are solely those of the individual author(s) and contributor(s) and not of MDPI and/or the editor(s). MDPI and/or the editor(s) disclaim responsibility for any injury to people or property resulting from any ideas, methods, instructions or products referred to in the content. |
© 2024 by the authors. Licensee MDPI, Basel, Switzerland. This article is an open access article distributed under the terms and conditions of the Creative Commons Attribution (CC BY) license (https://creativecommons.org/licenses/by/4.0/).
Share and Cite
Feng, W.-K.; Wang, C.-H.; Ju, Y.-W.; Chen, Z.-X.; Wu, X.; Fang, D.-L. Identifying the Biological Characteristics of Anthracnose Pathogens of Blueberries (Vaccinium corymbosum L.) in China. Forests 2024, 15, 117. https://doi.org/10.3390/f15010117
Feng W-K, Wang C-H, Ju Y-W, Chen Z-X, Wu X, Fang D-L. Identifying the Biological Characteristics of Anthracnose Pathogens of Blueberries (Vaccinium corymbosum L.) in China. Forests. 2024; 15(1):117. https://doi.org/10.3390/f15010117
Chicago/Turabian StyleFeng, Wei-Kun, Chong-He Wang, Yun-Wei Ju, Zeng-Xin Chen, Xue Wu, and Dong-Lu Fang. 2024. "Identifying the Biological Characteristics of Anthracnose Pathogens of Blueberries (Vaccinium corymbosum L.) in China" Forests 15, no. 1: 117. https://doi.org/10.3390/f15010117
APA StyleFeng, W.-K., Wang, C.-H., Ju, Y.-W., Chen, Z.-X., Wu, X., & Fang, D.-L. (2024). Identifying the Biological Characteristics of Anthracnose Pathogens of Blueberries (Vaccinium corymbosum L.) in China. Forests, 15(1), 117. https://doi.org/10.3390/f15010117
