Eucalyptus Plantation Area Extraction Based on SLPSO-RFE Feature Selection and Multi-Temporal Sentinel-1/2 Data
Abstract
:1. Introduction
2. Study Area and Data Source
2.1. Study Area Profile
2.2. Data Source and Preprocessing
2.2.1. Sentinel-1 Data
2.2.2. Sentinel-2 Data
2.2.3. Sample Selection
3. Methodology
3.1. Feature Set Construction
3.2. Construction and Principle of Feature Selection Model
3.3. SNIC Superpixel Segmentation
3.4. Classification Method
4. Result Analysis and Accuracy Verification
4.1. Result Analysis
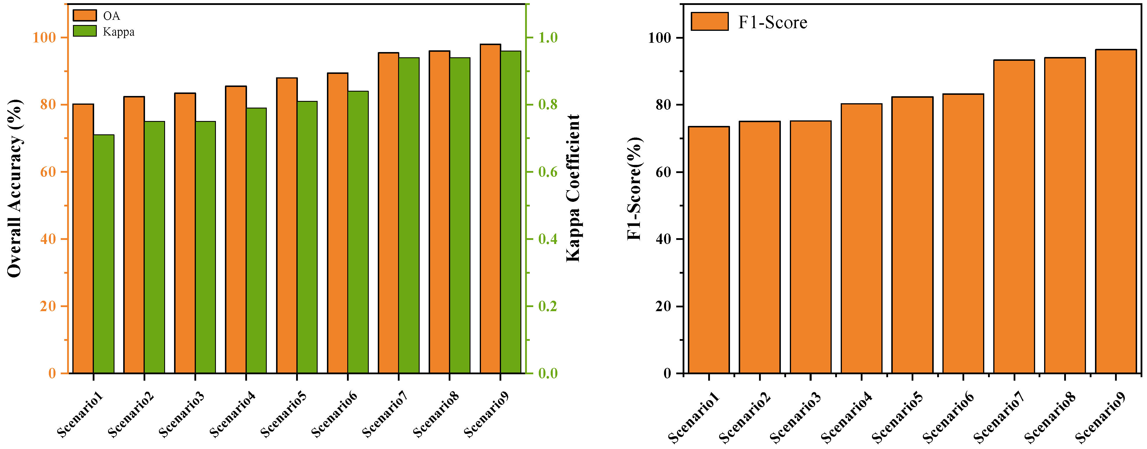
4.2. Accuracy Verification Based on Confusion Matrix
4.3. Comparative Analysis Based on UAV Image Verification
5. Discussion
6. Conclusions
Author Contributions
Funding
Data Availability Statement
Conflicts of Interest
References
- Zhang, Y.; Wang, X. Geographical Spatial Distribution and Productivity Dynamic Change of Eucalyptus Plantations in China. Sci. Rep. 2021, 11, 19764. [Google Scholar] [CrossRef] [PubMed]
- de Oliveira, B.R.; da Silva, A.A.P.; Teodoro, L.P.R.; de Azevedo, G.B.; Azevedo, G.T.d.O.S.; Baio, F.H.R.; Sobrinho, R.L.; da Silva Junior, C.A.; Teodoro, P.E. Eucalyptus Growth Recognition Using Machine Learning Methods and Spectral Variables. For. Ecol. Manag. 2021, 497, 119496. [Google Scholar] [CrossRef]
- Whitehead, D.; Beadle, C.L. Physiological Regulation of Productivity and Water Use in Eucalyptus: A Review. For. Ecol. Manag. 2004, 193, 113–140. [Google Scholar] [CrossRef]
- Deng, X.; Guo, S.; Sun, L.; Chen, J. Identification of Short-Rotation Eucalyptus Plantation at Large Scale Using Multi-Satellite Imageries and Cloud Computing Platform. Remote Sens. 2020, 12, 2153. [Google Scholar] [CrossRef]
- Batish, D.R.; Singh, H.P.; Kohli, R.K.; Kaur, S. Eucalyptus Essential Oil as a Natural Pesticide. For. Ecol. Manag. 2008, 256, 2166–2174. [Google Scholar] [CrossRef]
- Sibanda, M.; Buthelezi, S.; Ndlovu, H.S.; Mothapo, M.C.; Mutanga, O. Mapping the Eucalyptus Spp Woodlots in Communal Areas of Southern Africa Using Sentinel-2 Multi-Spectral Imager Data for Hydrological Applications. Phys. Chem. Earth Parts A/B/C 2021, 122, 102999. [Google Scholar] [CrossRef]
- Oliveira, D.; Martins, L.; Mora, A.; Damásio, C.; Caetano, M.; Fonseca, J.; Ribeiro, R.A. Data Fusion Approach for Eucalyptus Trees Identification. Int. J. Remote Sens. 2021, 42, 4087–4109. [Google Scholar] [CrossRef]
- Bayle, G. Ecological and Social Impacts of Eucalyptus Tree Plantation on the Environment. J. Biodivers. Conserv. Bioresour. Manag. 2019, 5, 93–104. [Google Scholar] [CrossRef]
- Hughes, L.; Cawsey, E.M.; Westoby, M. Climatic Range Sizes of Eucalyptus Species in Relation to Future Climate Change. Glob. Ecol. Biogeogr. Lett. 1996, 5, 23–29. [Google Scholar] [CrossRef]
- Le Maire, G.; Marsden, C.; Nouvellon, Y.; Grinand, C.; Hakamada, R.; Stape, J.-L.; Laclau, J.-P. MODIS NDVI Time-Series Allow the Monitoring of Eucalyptus Plantation Biomass. Remote Sens. Environ. 2011, 115, 2613–2625. [Google Scholar] [CrossRef]
- Qiao, H.; Wu, M.; Shakir, M.; Wang, L.; Kang, J.; Niu, Z. Classification of Small-Scale Eucalyptus Plantations Based on NDVI Time Series Obtained from Multiple High-Resolution Datasets. Remote Sens. 2016, 8, 117. [Google Scholar] [CrossRef]
- Liao, C.; Wang, J.; Shan, B.; Shang, J.; Dong, T.; He, Y. Near Real-Time Detection and Forecasting of within-Field Phenology of Winter Wheat and Corn Using Sentinel-2 Time-Series Data. ISPRS J. Photogramm. Remote Sens. 2023, 196, 105–119. [Google Scholar] [CrossRef]
- Chen, Z.; Zhao, S. Automatic Monitoring of Surface Water Dynamics Using Sentinel-1 and Sentinel-2 Data with Google Earth Engine. Int. J. Appl. Earth Obs. 2022, 113, 103010. [Google Scholar] [CrossRef]
- Martinis, S.; Groth, S.; Wieland, M.; Knopp, L.; Rättich, M. Towards a Global Seasonal and Permanent Reference Water Product from Sentinel-1/2 Data for Improved Flood Mapping. Remote Sens. Environ. 2022, 278, 113077. [Google Scholar] [CrossRef]
- Tuvdendorj, B.; Zeng, H.; Wu, B.; Elnashar, A.; Zhang, M.; Tian, F.; Nabil, M.; Nanzad, L.; Bulkhbai, A.; Natsagdorj, N. Performance and the Optimal Integration of Sentinel-1/2 Time-Series Features for Crop Classification in Northern Mongolia. Remote Sens. 2022, 14, 1830. [Google Scholar] [CrossRef]
- Li, R.; Xia, H.; Zhao, X.; Guo, Y. Mapping Evergreen Forests Using New Phenology Index, Time Series Sentinel-1/2 and Google Earth Engine. Ecol. Indic. 2023, 149, 110157. [Google Scholar] [CrossRef]
- Bjerreskov, K.S.; Nord-Larsen, T.; Fensholt, R. Classification of Nemoral Forests with Fusion of Multi-Temporal Sentinel-1 and 2 Data. Remote Sens. 2021, 13, 950. [Google Scholar] [CrossRef]
- Persson, M.; Lindberg, E.; Reese, H. Tree Species Classification with Multi-Temporal Sentinel-2 Data. Remote Sens. 2018, 10, 1794. [Google Scholar] [CrossRef]
- Schriever, J.R.; Congalton, R.G. Evaluating Seasonal Variability as an Aid to Cover-Type Mapping from Landsat Thematic Mapper Data in the Northeast. Photogramm. Eng. Remote Sens. 1995, 61, 321–327. [Google Scholar]
- Mickelson, J.G.; Civco, D.L.; Silander, J.A. Delineating Forest Canopy Species in the Northeastern United States Using Multi-Temporal TM Imagery. Photogramm. Eng. Remote Sens. 1998, 64, 891–904. [Google Scholar]
- Zhu, X.; Liu, D. Accurate Mapping of Forest Types Using Dense Seasonal Landsat Time-Series. ISPRS J. Photogramm. Remote Sens. 2014, 96, 1–11. [Google Scholar] [CrossRef]
- Liang, J.; Zheng, Z.; Xia, S.; Zhang, X.; Tang, Y. Crop Recognition and Evaluationusing Red Edge Features of GF-6 Satellite. Yaogan Xuebao/J. Remote Sens. 2020, 24, 1168–1179. [Google Scholar] [CrossRef]
- Wu, N.; Crusiol, L.G.T.; Liu, G.; Wuyun, D.; Han, G. Comparing Machine Learning Algorithms for Pixel/Object-Based Classifications of Semi-Arid Grassland in Northern China Using Multisource Medium Resolution Imageries. Remote Sens. 2023, 15, 750. [Google Scholar] [CrossRef]
- Bindhu, J.S.; Pramod, K.V. Texture and Pixel-Based Satellite Image Classification Using Cellular Automata. Multimed. Tools Appl. 2023, 82, 9913–9937. [Google Scholar] [CrossRef]
- Wang, M.; Mao, D.; Xiao, X.; Song, K.; Jia, M.; Ren, C.; Wang, Z. Interannual Changes of Coastal Aquaculture Ponds in China at 10-m Spatial Resolution during 2016–2021. Remote Sens. Environ. 2023, 284, 113347. [Google Scholar] [CrossRef]
- Zhao, L.; Wang, S.; Xu, Y.; Sun, W.; Shi, L.; Yang, J.; Dash, J. Evaluating the Capability of Sentinel-1 Data in the Classification of Canola and Wheat at Different Growth Stages and in Different Years. Remote Sens. 2023, 15, 2731. [Google Scholar] [CrossRef]
- Cheng, K.; Su, Y.; Guan, H.; Tao, S.; Ren, Y.; Hu, T.; Ma, K.; Tang, Y.; Guo, Q. Mapping China’s Planted Forests Using High Resolution Imagery and Massive Amounts of Crowdsourced Samples. ISPRS J. Photogramm. Remote Sens. 2023, 196, 356–371. [Google Scholar] [CrossRef]
- Rizayeva, A.; Nita, M.D.; Radeloff, V.C. Large-Area, 1964 Land Cover Classifications of Corona Spy Satellite Imagery for the Caucasus Mountains. Remote Sens. Environ. 2023, 284, 113343. [Google Scholar] [CrossRef]
- Li, X.; Meng, Q.; Gu, X.; Jancso, T.; Yu, T.; Wang, K.; Mavromatis, S. A Hybrid Method Combining Pixel-Based and Object-Oriented Methods and Its Application in Hungary Using Chinese HJ-1 Satellite Images. Int. J. Remote Sens. 2013, 34, 4655–4668. [Google Scholar] [CrossRef]
- Li, B.; Gong, A.; Chen, Z.; Pan, X.; Li, L.; Li, J.; Bao, W. An Object-Oriented Method for Extracting Single-Object Aquaculture Ponds from 10 m Resolution Sentinel-2 Images on Google Earth Engine. Remote Sens. 2023, 15, 856. [Google Scholar] [CrossRef]
- Trinh, X.T.; Nguyen, L.D.; Takeuchi, W. Sentinel-2 Mapping of a Turbid Intertidal Seagrass Meadow in Southern Vietnam. Geocarto Int. 2023, 38, 2186490. [Google Scholar] [CrossRef]
- Zhang, S.; Xu, M.; Zhou, J.; Jia, S. Unsupervised Spatial-Spectral Cnn-Based Feature Learning for Hyperspectral Image Classification. IEEE Trans. Geosci. Remote Sens. 2022, 60, 5524617. [Google Scholar] [CrossRef]
- Vizzari, M. PlanetScope, Sentinel-2, and Sentinel-1 Data Integration for Object-Based Land Cover Classification in Google Earth Engine. Remote Sens. 2022, 14, 2628. [Google Scholar] [CrossRef]
- Castelo-Cabay, M.; Piedra-Fernandez, J.A.; Ayala, R. Deep Learning for Land Use and Land Cover Classification from the Ecuadorian Paramo. Int. J. Digit. Earth 2022, 15, 1001–1017. [Google Scholar] [CrossRef]
- Zhang, S.; Tang, D.; Li, N.; Jia, X.; Jia, S. Superpixel-Guided Variable Gabor Phase Coding Fusion for Hyperspectral Image Classification. IEEE Trans. Geosci. Remote Sens. 2022, 60, 5523816. [Google Scholar] [CrossRef]
- Yang, H.; Liu, X.; Chen, Q.; Cao, Y. Mapping Dongting Lake Wetland Utilizing Time Series Similarity, Statistical Texture, and Superpixels With Sentinel-1 SAR Data. IEEE J. Sel. Top. Appl. Earth Obs. Remote Sens. 2022, 15, 8235–8244. [Google Scholar] [CrossRef]
- Liu, Y.; Zhang, H.; Zhang, M.; Cui, Z.; Lei, K.; Zhang, J.; Yang, T.; Ji, P. Vietnam Wetland Cover Map: Using Hydro-Periods Sentinel-2 Images and Google Earth Engine to Explore the Mapping Method of Tropical Wetland. Int. J. Appl. Earth Obs. Geoinf. 2022, 115, 103122. [Google Scholar] [CrossRef]
- Yang, L.; Wang, L.; Abubakar, G.A.; Huang, J. High-Resolution Rice Mapping Based on SNIC Segmentation and Multi-Source Remote Sensing Images. Remote Sens. 2021, 13, 1148. [Google Scholar] [CrossRef]
- Al-Khafaji, S.L.; Zhou, J.; Zia, A.; Liew, A.W.-C. Spectral-Spatial Scale Invariant Feature Transform for Hyperspectral Images. IEEE Trans. Image Process. 2017, 27, 837–850. [Google Scholar] [CrossRef]
- Joshi, N.; Baumann, M.; Ehammer, A.; Fensholt, R.; Grogan, K.; Hostert, P.; Jepsen, M.R.; Kuemmerle, T.; Meyfroidt, P.; Mitchard, E.T. A Review of the Application of Optical and Radar Remote Sensing Data Fusion to Land Use Mapping and Monitoring. Remote Sens. 2016, 8, 70. [Google Scholar] [CrossRef]
- Li, B.; Zhang, H.; Xu, F. Water Extraction in High Resolution Remote Sensing Image Based on Hierarchical Spectrum and Shape Features. In Proceedings of the IOP Conference Series: Earth and Environmental Science, Beijing, China, 22–26 April 2014; IOP Publishing: Bristol, UK, 2014; Volume 17, p. 012123. [Google Scholar]
- Fan, Y.; Chen, B.; Huang, W.; Liu, J.; Weng, W.; Lan, W. Multi-Label Feature Selection Based on Label Correlations and Feature Redundancy. Knowl.-Based Syst. 2022, 241, 108256. [Google Scholar] [CrossRef]
- Chen, Z.; Gu, S.; Lu, G.; Xu, D. Exploiting Intra-Slice and Inter-Slice Redundancy for Learning-Based Lossless Volumetric Image Compression. IEEE Trans. Image Process. 2022, 31, 1697–1707. [Google Scholar] [CrossRef] [PubMed]
- Jin, X.-B.; Wang, Z.-Y.; Gong, W.-T.; Kong, J.-L.; Bai, Y.-T.; Su, T.-L.; Ma, H.-J.; Chakrabarti, P. Variational Bayesian Network with Information Interpretability Filtering for Air Quality Forecasting. Mathematics 2023, 11, 837. [Google Scholar] [CrossRef]
- Zhang, P.; Li, T.; Yuan, Z.; Luo, C.; Wang, G.; Liu, J.; Du, S. A Data-Level Fusion Model for Unsupervised Attribute Selection in Multi-Source Homogeneous Data. Inf. Fusion 2022, 80, 87–103. [Google Scholar] [CrossRef]
- Vommi, A.M.; Battula, T.K. A Hybrid Filter-Wrapper Feature Selection Using Fuzzy KNN Based on Bonferroni Mean for Medical Datasets Classification: A COVID-19 Case Study. Expert. Syst. Appl. 2023, 218, 119612. [Google Scholar] [CrossRef]
- Agrawal, U.; Rohatgi, V.; Katarya, R. Normalized Mutual Information-Based Equilibrium Optimizer with Chaotic Maps for Wrapper-Filter Feature Selection. Expert Syst. Appl. 2022, 207, 118107. [Google Scholar] [CrossRef]
- Pashaei, E.; Pashaei, E. An Efficient Binary Chimp Optimization Algorithm for Feature Selection in Biomedical Data Classification. Neural Comput. Appl. 2022, 34, 6427–6451. [Google Scholar] [CrossRef]
- Tiwari, A.; Chaturvedi, A. A Hybrid Feature Selection Approach Based on Information Theory and Dynamic Butterfly Optimization Algorithm for Data Classification. Expert Syst. Appl. 2022, 196, 116621. [Google Scholar] [CrossRef]
- Robnik-Šikonja, M.; Kononenko, I. Theoretical and Empirical Analysis of ReliefF and RReliefF. Mach. Learn. 2003, 53, 23–69. [Google Scholar] [CrossRef]
- Fu, B.; He, X.; Yao, H.; Liang, Y.; Deng, T.; He, H.; Fan, D.; Lan, G.; He, W. Comparison of RFE-DL and Stacking Ensemble Learning Algorithms for Classifying Mangrove Species on UAV Multispectral Images. Int. J. Appl. Earth Obs. 2022, 112, 102890. [Google Scholar] [CrossRef]
- Hu, J.; Gui, W.; Heidari, A.A.; Cai, Z.; Liang, G.; Chen, H.; Pan, Z. Dispersed Foraging Slime Mould Algorithm: Continuous and Binary Variants for Global Optimization and Wrapper-Based Feature Selection. Knowl.-Based Syst. 2022, 237, 107761. [Google Scholar] [CrossRef]
- Guyon, I.; Weston, J.; Barnhill, S.; Vapnik, V. Gene Selection for Cancer Classification Using Support Vector Machines. Mach. Learn. 2002, 46, 389–422. [Google Scholar] [CrossRef]
- Akinola, O.O.; Ezugwu, A.E.; Agushaka, J.O.; Zitar, R.A.; Abualigah, L. Multiclass Feature Selection with Metaheuristic Optimization Algorithms: A Review. Neural Comput. Appl. 2022, 34, 19751–19790. [Google Scholar] [CrossRef] [PubMed]
- Ma, J.; Xia, D.; Guo, H.; Wang, Y.; Niu, X.; Liu, Z.; Jiang, S. Metaheuristic-Based Support Vector Regression for Landslide Displacement Prediction: A Comparative Study. Landslides 2022, 19, 2489–2511. [Google Scholar] [CrossRef]
- He, B.; Armaghani, D.J.; Lai, S.H. Assessment of Tunnel Blasting-Induced Overbreak: A Novel Metaheuristic-Based Random Forest Approach. Tunn. Undergr. Space Technol. 2023, 133, 104979. [Google Scholar] [CrossRef]
- Veeraiah, V.; Khan, H.; Kumar, A.; Ahamad, S.; Mahajan, A.; Gupta, A. Integration of PSO and Deep Learning for Trend Analysis of Meta-Verse. In Proceedings of the 2022 2nd International Conference on Advance Computing and Innovative Technologies in Engineering (ICACITE), Greater Noida, India, 28–29 April 2022; IEEE: New York, NY, USA, 2022; pp. 713–718. [Google Scholar]
- Du, B.; Huang, S.; Guo, J.; Tang, H.; Wang, L.; Zhou, S. Interval Forecasting for Urban Water Demand Using PSO Optimized KDE Distribution and LSTM Neural Networks. Appl. Soft Comput. 2022, 122, 108875. [Google Scholar] [CrossRef]
- Garg, V.; Shukla, A.; Tiwari, R. AERPSO—An Adaptive Exploration Robotic PSO Based Cooperative Algorithm for Multiple Target Searching. Expert Syst. Appl. 2022, 209, 118245. [Google Scholar] [CrossRef]
- Aslan, M.F.; Durdu, A.; Sabanci, K. Goal Distance-Based UAV Path Planning Approach, Path Optimization and Learning-Based Path Estimation: GDRRT*, PSO-GDRRT* and BiLSTM-PSO-GDRRT. Appl. Soft Comput. 2023, 137, 110156. [Google Scholar] [CrossRef]
- Moazen, H.; Molaei, S.; Farzinvash, L.; Sabaei, M. PSO-ELPM: PSO with Elite Learning, Enhanced Parameter Updating, and Exponential Mutation Operator. Inf. Sci. 2023, 628, 70–91. [Google Scholar] [CrossRef]
- Cheng, R.; Jin, Y. A Social Learning Particle Swarm Optimization Algorithm for Scalable Optimization. Inf. Sci. 2015, 291, 43–60. [Google Scholar] [CrossRef]
- Duan, Y.; Yang, Z.; Yu, T.; Yang, Q.; Liu, X.; Ji, W.; Jiang, H.; Zhuo, X.; Wu, T.; Qin, J. Geogenic Cadmium Pollution in Multi-Medians Caused by Black Shales in Luzhai, Guangxi. Environ. Pollut. 2020, 260, 113905. [Google Scholar] [CrossRef] [PubMed]
- Tu, C.; Li, P.; Li, Z.; Wang, H.; Yin, S.; Li, D.; Zhu, Q.; Chang, M.; Liu, J.; Wang, G. Synergetic Classification of Coastal Wetlands over the Yellow River Delta with GF-3 Full-Polarization SAR and Zhuhai-1 OHS Hyperspectral Remote Sensing. Remote Sens. 2021, 13, 4444. [Google Scholar] [CrossRef]
- Torres, R.; Snoeij, P.; Geudtner, D.; Bibby, D.; Davidson, M.; Attema, E.; Potin, P.; Rommen, B.; Floury, N.; Brown, M. GMES Sentinel-1 Mission. Remote Sens. Environ. 2012, 120, 9–24. [Google Scholar] [CrossRef]
- Wang, Q.; Shi, W.; Li, Z.; Atkinson, P.M. Fusion of Sentinel-2 Images. Remote Sens. Environ. 2016, 187, 241–252. [Google Scholar] [CrossRef]
- Wang, Z.; Ren, C.; Liang, Y.; Shi, Y.; Li, X.; Zhang, S. Object-Oriented Eucalyptus Plantation Forest Information Extraction Based on the Red-Edge Feature of GF-6. Bull. Surv. Mapp. 2021, 6, 6–11. [Google Scholar]
- Chandrashekar, G.; Sahin, F. A Survey on Feature Selection Methods. Comput. Electr. Eng. 2014, 40, 16–28. [Google Scholar] [CrossRef]
- Reyes, O.; Morell, C.; Ventura, S. Scalable Extensions of the ReliefF Algorithm for Weighting and Selecting Features on the Multi-Label Learning Context. Neurocomputing 2015, 161, 168–182. [Google Scholar] [CrossRef]
- Shao, Z.; Yang, S.; Gao, F.; Zhou, K.; Lin, P. A New Electricity Price Prediction Strategy Using Mutual Information-Based SVM-RFE Classification. Renew. Sustain. Energy Rev. 2017, 70, 330–341. [Google Scholar] [CrossRef]
- Sun, C.; Jin, Y.; Cheng, R.; Ding, J.; Zeng, J. Surrogate-Assisted Cooperative Swarm Optimization of High-Dimensional Expensive Problems. IEEE Trans. Evol. Comput. 2017, 21, 644–660. [Google Scholar] [CrossRef]
- Valjarević, A.; Djekić, T.; Stevanović, V.; Ivanović, R.; Jandziković, B. GIS Numerical and Remote Sensing Analyses of Forest Changes in the Toplica Region for the Period of 1953–2013. Appl. Geogr. 2018, 92, 131–139. [Google Scholar] [CrossRef]
- Achanta, R.; Shaji, A.; Smith, K.; Lucchi, A.; Fua, P.; Süsstrunk, S. SLIC Superpixels Compared to State-of-the-Art Superpixel Methods. IEEE Trans. Pattern Anal. Mach. Intell. 2012, 34, 2274–2282. [Google Scholar] [CrossRef] [PubMed]
- Tassi, A.; Vizzari, M. Object-Oriented Lulc Classification in Google Earth Engine Combining Snic, Glcm, and Machine Learning Algorithms. Remote Sens. 2020, 12, 3776. [Google Scholar] [CrossRef]
- Petitjean, F.; Kurtz, C.; Passat, N.; Gançarski, P. Spatio-Temporal Reasoning for the Classification of Satellite Image Time Series. Pattern Recogn. Lett. 2012, 33, 1805–1815. [Google Scholar] [CrossRef]
- Wang, X.; Wang, J.; Lian, Z.; Yang, N. Semi-Supervised Tree Species Classification for Multi-Source Remote Sensing Images Based on a Graph Convolutional Neural Network. Forests 2023, 14, 1211. [Google Scholar] [CrossRef]
- Das, S.; Imtiaz, M.S.; Neom, N.H.; Siddique, N.; Wang, H. A Hybrid Approach for Bangla Sign Language Recognition Using Deep Transfer Learning Model with Random Forest Classifier. Expert Syst. Appl. 2023, 213, 118914. [Google Scholar] [CrossRef]
- Wei, M.; Wang, H.; Zhang, Y.; Li, Q.; Du, X.; Shi, G.; Ren, Y. Investigating the Potential of Crop Discrimination in Early Growing Stage of Change Analysis in Remote Sensing Crop Profiles. Remote Sens. 2023, 15, 853. [Google Scholar] [CrossRef]
- Lu, J.; Han, L.; Liu, L.; Wang, J.; Xia, Z.; Jin, D.; Zha, X. Lithology Classification in Semi-Arid Area Combining Multi-Source Remote Sensing Images Using Support Vector Machine Optimized by Improved Particle Swarm Algorithm. Int. J. Appl. Earth Obs. Geoinf. 2023, 119, 103318. [Google Scholar] [CrossRef]
- Zhou, R.; Yang, C.; Li, E.; Cai, X.; Yang, J.; Xia, Y. Object-Based Wetland Vegetation Classification Using Multi-Feature Selection of Unoccupied Aerial Vehicle RGB Imagery. Remote Sens. 2021, 13, 4910. [Google Scholar] [CrossRef]
- Firigato, J.O.N.; Junior, J.M.; Gonçalves, W.N.; Bacani, V.M. Deep Learning and Google Earth Engine Applied to Mapping Eucalyptus. In Proceedings of the 2021 IEEE International Geoscience and Remote Sensing Symposium IGARSS, Brussels, Belgium, 11–16 July 2021; IEEE: New York, NY, USA, 2021; pp. 4696–4699. [Google Scholar]
- Shang, X.; Chisholm, L.A. Classification of Australian Native Forest Species Using Hyperspectral Remote Sensing and Machine-Learning Classification Algorithms. IEEE J. Sel. Top. Appl. Earth Obs. Remote Sens. 2014, 7, 2481–2489. [Google Scholar] [CrossRef]
- Praticò, S.; Solano, F.; Di Fazio, S.; Modica, G. Machine Learning Classification of Mediterranean Forest Habitats in Google Earth Engine Based on Seasonal Sentinel-2 Time-Series and Input Image Composition Optimisation. Remote Sens. 2021, 13, 586. [Google Scholar] [CrossRef]
- Chen, Y.; Peng, Z.; Ye, Y.; Jiang, X.; Lu, D.; Chen, E. Exploring a Uniform Procedure to Map Eucalyptus Plantations Based on Fused Medium–High Spatial Resolution Satellite Images. Int. J. Appl. Earth Obs. 2021, 103, 102462. [Google Scholar] [CrossRef]















| Band Name | Resolution/m |
|---|---|
| VH polarization | 10 |
| VV polarization | 10 |
| Bandnames | Central Wavelength/nm | Spatial Resolution/m | |
|---|---|---|---|
| B1 | Coastal | 443 | 60 |
| B2 | Blue | 490 | 10 |
| B3 | Green | 560 | |
| B4 | Red | 665 | |
| B5 | Red-Edge1 | 705 | 20 |
| B6 | Red-Edge2 | 740 | |
| B7 | Red-Edge3 | 783 | |
| B8 | Nir | 842 | 10 |
| B8A | Narrow Nir | 865 | 20 |
| B9 | Water vapour | 945 | 60 |
| B10 | Cirrus | 1375 | 60 |
| B11 | SWIR1 | 1610 | 20 |
| B12 | SWIR2 | 2190 | 20 |
| Sensors | Feature Variables | Symbol or Calculation Formula | |
|---|---|---|---|
| Sentinel-1 | Texture feature | Var Contrast Corr Ent | |
| Sentinel-2 | Index feature | NDVI | |
| EVI | |||
| Vigreen | |||
| GNDVI | |||
| Red- edge feature | IRECI | ||
| NDRE1 | |||
| MCARI2 | |||
| MNDRE | |||
| NDVI710 | |||
| NDVI750 |
| Feature Selection Strategy | Feature Number | Optimal Feature Subset |
|---|---|---|
| SLPSO-RFE | 56 | B1, B11, B11_1, B12, B12_1, B1_1, B2, B2_1, B3, B3_1, B4, B4_1, B5, B5_1, B6, B6_1, B7, B7_1, B8, B8_1, B8A, B8A_1, B9, B9_1, CIRE_S, CIRE_W, EVI_S, EVI_W, GNDVI_S, GNDVI_W, IRECI_W, MCARI2_S, MCARI_W, MNDRE_S, MNDRE_W, NDRE_S, NDRE_W, NDVI750_S, NDVI750_W, NDVI_W, VV_W_asm, VV_W_asm_1, VV_W_com, VV_W_con_1, VV_W_diss, VV_W_diss_1, VV_W_ent, VV_W_ent_1, VV_W_idm, VV_W_idm_1, VV_diss, VV_diss_1, VV_ent, VV_ent_1, VV_idm, VV_diidm_1 |
| Classification Scheme | Scheme Content | |
|---|---|---|
| First set of experiments | 1 | SVM classification based on Relief-RFE feature selection in single phase |
| 2 | CART classification based on Relief-RFE feature selection in a single phase | |
| 3 | RF classification based on ReliEF-RFE feature selection in a single phase | |
| The second set of experiments | 4 | SVM classification based on Relief-RFE feature selection under multi-temporal conditions |
| 5 | CART classification based on Relief-RFE feature selection in multi-temporal conditions | |
| 6 | RF classification based on Relief-RFE feature selection over multi-temporal periods | |
| The third set of experiments | 7 | SVM classification based on SLPSO and Relief-RFE feature selection under multi-temporal conditions |
| 8 | CART classification based on SLPSO and Relief-RFE feature selection in multi-temporal conditions | |
| 9 | RF classification based on SLPSO and Relief-RFE feature selection in multi-temporal conditions | |
| Scenario 1 | Scenario 2 | Scenario 3 | ||||
|---|---|---|---|---|---|---|
| PA/% | UA/% | PA/% | UA/% | PA/% | UA/% | |
| Eucalyptus | 64.52 | 74.07 | 77.78 | 87.5 | 79 | 88.43 |
| Other vegetation | 92.08 | 89.42 | 86 | 83.33 | 87.1 | 85.32 |
| Non-vegetation | 64.71 | 61.11 | 88.89 | 85.03 | 89.05 | 88.67 |
| OA/% | 80.23 | 82.42 | 83.43 | |||
| Kappa | 0.71 | 0.75 | 0.75 | |||
| F1-Score | 73.53 | 75.07 | 75.2 | |||
| Scenario 4 | Scenario 5 | Scenario 6 | ||||
|---|---|---|---|---|---|---|
| PA/% | UA/% | PA/% | UA/% | PA/% | UA/% | |
| Eucalyptus | 74.33 | 73.33 | 77.78 | 77 | 79.41 | 80.32 |
| Other vegetation | 81.25 | 76.47 | 82 | 83.33 | 82.98 | 81.76 |
| Non-vegetation | 88.89 | 90.26 | 89.67 | 91.45 | 90.23 | 91.97 |
| OA/% | 85.48 | 88 | 89.43 | |||
| Kappa | 0.79 | 0.81 | 0.84 | |||
| F1-Score | 80.33 | 82.35 | 83.23 | |||
| Scenario 7 | Scenario 8 | Scenario 9 | ||||
|---|---|---|---|---|---|---|
| PA/% | UA/% | PA/% | UA/% | PA/% | UA/% | |
| Eucalyptus | 93.76 | 93.55 | 96.25 | 96.38 | 100 | 92.91 |
| Other vegetation | 91.4 | 96.57 | 94.73 | 95.95 | 100 | 99 |
| Non-vegetation | 98.45 | 97 | 98.89 | 99 | 90 | 100 |
| OA/% | 95.48 | 96 | 97.97 | |||
| Kappa | 0.94 | 0.94 | 0.96 | |||
| F1-Score | 93.33 | 94.01 | 96.43 | |||
| Scenario | Classification Verification Accuracy/% | |
|---|---|---|
| Area 1 | Area 2 | |
| 1 | 88.47 | 92.31 |
| 2 | 91.45 | 93.14 |
| 3 | 91.56 | 93 |
| 4 | 92.31 | 82.81 |
| 5 | 93.14 | 81.56 |
| 6 | 93 | 94.24 |
| 7 | 95.78 | 90.31 |
| 8 | 96.51 | 93.44 |
| 9 | 97 | 95.78 |
Disclaimer/Publisher’s Note: The statements, opinions and data contained in all publications are solely those of the individual author(s) and contributor(s) and not of MDPI and/or the editor(s). MDPI and/or the editor(s) disclaim responsibility for any injury to people or property resulting from any ideas, methods, instructions or products referred to in the content. |
© 2023 by the authors. Licensee MDPI, Basel, Switzerland. This article is an open access article distributed under the terms and conditions of the Creative Commons Attribution (CC BY) license (https://creativecommons.org/licenses/by/4.0/).
Share and Cite
Lin, X.; Ren, C.; Li, Y.; Yue, W.; Liang, J.; Yin, A. Eucalyptus Plantation Area Extraction Based on SLPSO-RFE Feature Selection and Multi-Temporal Sentinel-1/2 Data. Forests 2023, 14, 1864. https://doi.org/10.3390/f14091864
Lin X, Ren C, Li Y, Yue W, Liang J, Yin A. Eucalyptus Plantation Area Extraction Based on SLPSO-RFE Feature Selection and Multi-Temporal Sentinel-1/2 Data. Forests. 2023; 14(9):1864. https://doi.org/10.3390/f14091864
Chicago/Turabian StyleLin, Xiaoqi, Chao Ren, Yi Li, Weiting Yue, Jieyu Liang, and Anchao Yin. 2023. "Eucalyptus Plantation Area Extraction Based on SLPSO-RFE Feature Selection and Multi-Temporal Sentinel-1/2 Data" Forests 14, no. 9: 1864. https://doi.org/10.3390/f14091864
APA StyleLin, X., Ren, C., Li, Y., Yue, W., Liang, J., & Yin, A. (2023). Eucalyptus Plantation Area Extraction Based on SLPSO-RFE Feature Selection and Multi-Temporal Sentinel-1/2 Data. Forests, 14(9), 1864. https://doi.org/10.3390/f14091864

