Effects of Multiple-Metal-Compound Contamination on the Soil Microbial Community in Typical Karst Tea Plantations
Abstract
:1. Introduction
2. Materials and Methods
2.1. Study Region
2.2. Research Design
2.2.1. Sample Collection
2.2.2. Sample Preparation and Test
2.3. Evaluation and Analysis
2.3.1. Soil Heavy Metal Pollution Assessment
2.3.2. Soil Microbial Diversity and Community Structure
2.3.3. Statistical Methods and Software
3. Results
3.1. Descriptive Statistics of Soil Heavy Metal Content
3.2. Characteristics of Soil Heavy Metal Pollution in Different Tea Plantation Areas
3.3. Statistical Analysis of Soil Microbial Numbers at Each Level
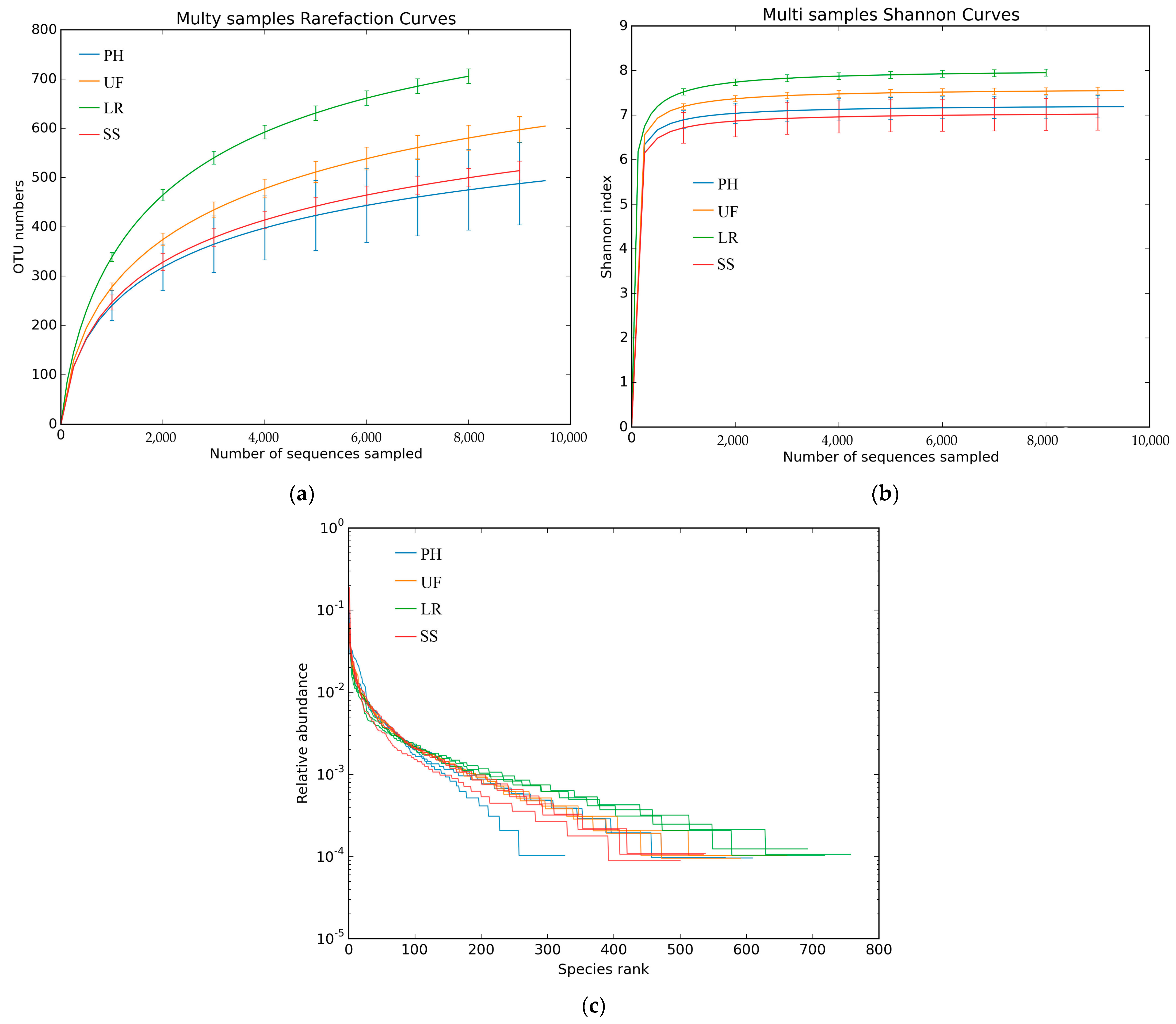
3.4. Distribution Characteristics of Soil Microbial Diversity in Different Tea Plantations
3.5. The Soil Microbial Community Composition and Structure Characteristics Vary in Different Tea Plantations
3.6. Soil Microbial Cluster Characteristics in Different Tea Plantations
4. Discussion
4.1. The Reliability of Soil Microbial Data Is Dependent on Various Factors
4.2. Investigating the Response of Soil Microbial Diversity to Heavy Metals
4.3. The Key Factors Impacting the Soil Microbial Community
5. Conclusions
Author Contributions
Funding
Institutional Review Board Statement
Informed Consent Statement
Data Availability Statement
Conflicts of Interest
References
- Jurowski, K.; Kondratowicz-Pietruszka, E.; Kroniak, M. The Toxicological Safety Assessment of Heavy Metal Impurities (As, Pb, and Cd) in Mint Tea Infusions (Mentha piperita L.) Available in Polish Markets. Biol. Trace Elem. Res. 2022, 201, 2627–2635. [Google Scholar] [CrossRef] [PubMed]
- Gebrewold, A.Z. Review on integrated nutrient management of tea (Camellia sinensis L.). Cogent Food Agric. 2018, 4, 1543536. [Google Scholar] [CrossRef]
- Chen, Y.H.; Li, M.J. Evaluation of influencing factors on tea production based on random forest regression and mean impact value. Agric. Econ. 2019, 65, 340–347. [Google Scholar] [CrossRef]
- Jia, X.T.; Huang, Y.; Wang, Y.H.; Sun, D.Z. Research on water and fertilizer irrigation system of tea plantation. Int. J. Distrib. Sens. Netw. 2019, 15, 1550147719840182. [Google Scholar] [CrossRef]
- Huang, H.B.; Lin, C.Q.; Yu, R.L.; Hu, G.R.; Jiang, S.H.; Qiu, Q.J. Distribution and pollution assessment of heavy metals in soils from Tieguanyin tea garden of Anxi County. Environ. Chem. 2018, 37, 994–1001. [Google Scholar]
- Wang, X.F.; Cao, R.S.; Wu, X.L.; Zhang, Z.M.; Huang, X.F. Study on heavy metals pollution assessment method of soil around a wasted mining in Karst mountain area. J. Guizhou Norm. Univ. (Nat. Sci.) 2021, 39, 29–35. [Google Scholar]
- Teng, Y.; Luo, Y.M.; Huang, C.Y.; Long, J.; Li, Z.G.; Christie, P. Tolerance of grasses to heavy metals and microbial functional diversity in soils contaminated with copper mine tailings. Pedosphere 2008, 18, 363–370. [Google Scholar] [CrossRef]
- Rashed, M.N. Monitoring of contaminated toxic and heavy metals, from mine tailings through age accumulation, in soil and some wild plants at Southeast Egypt. J. Hazard. Mater. 2010, 178, 739–746. [Google Scholar] [CrossRef]
- Kumar, S.; Rana, S.S.; Ramesh, A.N.N. Weed managemet in tea with herbicides mixture. Indian J. Weed Sci. 2014, 46, 353–357. [Google Scholar]
- Zhu, L.; Zhao, Y.; Yan, X.B.; Sun, S.N. Reasearch Progress on Effects of Tea Plantation Managements on Soil Microbial Community. Chin. J. Soil Sci. 2023, 54, 245–252. [Google Scholar]
- Xavier, J.C.; Costa, P.E.S.; Hissa, D.C.; Melo, V.M.M.; Falcão, R.M.; Balbino, V.Q.; Mendonça, L.A.R.; Lima, M.G.S.; Coutinho, H.D.M.; Verde, L.C.L. Evaluation of the microbial diversity and heavy metal resistance genes of a microbial community on contaminated environment. Appl. Geochem. 2019, 105, 1–6. [Google Scholar] [CrossRef]
- Chen, R.L.; Cai, X.X.; Zhou, L.H. Characteristics of soil contamination with heavy metals (Pb and Cd) in a smelting plant of Gansu and their effects on microbial community structure. Ecol. Environ. Sci. 2021, 30, 596–603. [Google Scholar]
- Klatt, C.G.; Liu, Z.; Ludwig, M.; Kühl, M.; Jensen, S.I.; Bryant, D.A.; Ward, D.M. Temporal metatranscriptomic patterning in phototrophic Chloroflexi inhabiting a microbial mat in a geothermal spring. ISME J. 2013, 7, 1775–1789. [Google Scholar] [CrossRef]
- Bian, F.Y.; Zhong, Z.K.; Zhang, X.P.; Yang, C.B.; Su, W.H. Remediation of Heavy Metal Contaminated Soil by Moso Bamboo (Phyllostachys edulis) Intercropping with Sedum plumbizincicola and the Impact on Microbial Community Structure. Sci. Silvae Cinicae 2018, 54, 106–116. [Google Scholar]
- Xing, Y.; Si, Y.X.; Hong, C.; Li, Y. Impact of long-term heavy metal pollution on microbial community in iron mine soil. Res. Environ. Sci. 2013, 26, 1201–1211. [Google Scholar]
- Jin, Z.G.; Zhou, M.Z. An assessment on contamination and potential ecological risk of cadmium and arsenic in the cultivated soils around the Ni-Mo mining area in Songli, Zunyi, China. J. Agro-Environ. Sci. 2012, 31, 2367–2373. (In Chinese) [Google Scholar]
- Xu, Z.Y.; Tang, M.; Chen, H.; Ban, Y.H.; Zhang, H.H. Microbial community structure in the rhizosphere of Sophora viciifolia grown at a lead and zinc mine of northwest China. Sci. Total Environ. 2012, 435/436, 453–464. [Google Scholar] [CrossRef]
- Chen, Y.; Jiang, Y.M.; Huang, H.Y.; Mou, L.C.; Ru, J.L.; Zhao, J.H.; Xiao, S. Long-term and high-concentration heavy-metal contamination strongly influences the microbiome and functional genes in Yellow River sediments. Sci. Total Environ. 2018, 637–638, 1400–1412. [Google Scholar] [CrossRef] [PubMed]
- Yin, K.; Wang, Q.; Lv, M.; Chen, L. Microorganism remediation strategies towards heavy metals. Chem. Eng. J. 2019, 360, 1553–1563. [Google Scholar] [CrossRef]
- Nguyen, J.; Lara-Gutiérrez, J.; Stocker, R. Environmental fluctuations and their effects on microbial communities, populations and individuals. FEMS Microbiol. Rev. 2021, 45, fuaa068. [Google Scholar] [CrossRef]
- Kowalchuk, G.A.; Heidelbery, J.F.; Bailey, M.J. Multidisciplinary journal of microbial ecology. ISME J. 2007, 1, 1–3. [Google Scholar] [CrossRef]
- Li, J.; Liu, Y.R.; Zhang, L.M.; He, J.Z. Sorption mechanism and distribution of cadmium by different microbial species. J. Environ. Manag. 2019, 237, 552–559. [Google Scholar] [CrossRef]
- Richard, J.; Manuela, P.; Antonella, S.; Anna, K.; Stanislav, K. The role of soil microorganisms in plant mineral nutrition—Current knowledge and future directions. Front. Plant Sci. 2017, 8, 1617. [Google Scholar]
- Du, Y.Y.; Zhang, D.W.; Chen, H.S.; Wu, J.F.; Zhou, D.G.; Jin, D.C.; Yan, M.L. Effect of cadmium stress on the soil fungal communities of two oilseed rape species. Microbiol. China 2021, 48, 4030–4045. [Google Scholar]
- Dick, R.P. Soil enzyme activities as integrative indicators of soil health. In Biological Indicators of Soil Health; CAB International: Wallingford, UK, 1997; pp. 121–156. [Google Scholar]
- Khan, M.U.; Malik, R.N.; Muhammad, S. Human health risk from heavy metal via food crops consumption with wastewater irrigation practices in Pakistan. Chemosphere 2013, 93, 2230–2238. [Google Scholar] [CrossRef] [PubMed]
- Zhang, X.; Zhang, Q.; Cheng, Y.; Jiang, R. The impact of heavy metal contamination on soil microbial diversity and enzyme activities in a copper mine. Ecol. Environ. Sci. 2016, 25, 517–522. [Google Scholar]
- Li, X.M.; Peng, W.H.; Jia, Y.Y. Biorem ediation of lead contaminated soil with Rhodobacter sphaeroides. Chemosphere 2016, 156, 228–235. [Google Scholar] [CrossRef]
- Vim, A.; Had, A.; Tgca, B. Chronic exposure to lead and cadmium pollution results in genomic instability in a model biomonitor species (Apodemus flavicollis Melchior, 1834). Ecotoxicol. Environ. Saf. 2020, 194, 110413. [Google Scholar] [CrossRef]
- Awadalla, A.; Mortada, W.I.; Abol-Enein, H.; Shokeir, A.A. Correlation between blood levels of cadmium and lead and the expression of microRNA-21 in Egyptian bladder cancer patients. Heliyon 2020, 6, e05642. [Google Scholar] [CrossRef] [PubMed]
- Sun, Y.Q.; Zhang, X.; Wu, Z.X.; Wu, S.L.; Hu, Y.J.; Xing, Y.; Chen, B.D. Soil microbial community structure and carbon source metabolic diversity in the Realgar mining area. Acta Sci. Circumstantiae 2015, 35, 3669–3678. [Google Scholar]
- Wu, J.; Xie, M.J.; Yang, Q.; Tu, S.X. Current researches in microbial remediation of Arsenic pollution. Environ. Sci. 2011, 32, 817–824. [Google Scholar]
- Simon, T. The effect of nickel and arsenic on the occurrence and symbiotic abilities of native rhizobia. Rostlinna Vyroba 2000, 46, 63–68. [Google Scholar]
- Zhang, L.J.; Wang, N.; Huang, W.; Guli, N.S.; Sha, Y.M.; Luo, Y.; Zheng, G.F.; Wang, W. Effects of Radioactive Contamination on Soil Microbial Community Structure in Uranium Mine Area. J. Microbiol. 2023, 43, 43–50. [Google Scholar]
- Li, Y.B.; Zhang, M.M.; Xu, R.; Lin, H.Z.; Sun, X.X.; Xu, F.Q.; Gao, P.; Kong, T.L.; Xiao, E.Z.; Yang, N.; et al. Arsenic and antimony co-contamination influences on soil microbial community composition and functions: Relevance to arsenic resistance and carbon, nitrogen, and sulfur cycling. Environ. Int. 2021, 153, 106522. [Google Scholar] [CrossRef] [PubMed]
- Guo, X.L.; Gu, J.; Chen, Z.X.; Gao, H.; Qin, Q.J.; Sun, W.; Zhang, W.J. Effects of heavy metals pollution on soil microbial communities metabolism and soil enzyme activities in coal mining area of Tongchuan, Shaanxi Province of Northwest China. Chin. J. Appl. Ecol. 2012, 23, 798–806. [Google Scholar]
- Zhang, H.D.; Liu, X.H.; Wang, Y.J.; Duan, L.S.; Dong, L. Effects of heavy metal pollution on microbial community in soil profiles. Environ. Sci. Technol. 2022, 45, 184–191. [Google Scholar]
- Burns, R.G.; Deforest, J.L.; Marxsen, J.; Sinsabaugh, R.L.; Stromberger, M.E.; Wallenstein, M.D.; Weintraub, M.N.; Zoppini, A. Soil enzymes in a changing environment: Current knowledge and future directions. Soil Biol. Biochem. 2013, 58, 216–234. [Google Scholar] [CrossRef]
- Zhang, Q.; Zhou, W.; He, P.; Sun, J.W.; Wang, X.b. Distribution of soil nutrients, extracellular enzyme activities and microbial communities across particle-size fractions in a long-term fertilizer experiment. Appl. Soil Ecol. 2015, 94, 59–71. [Google Scholar] [CrossRef]
- Mandal, K.; Jyot, G.; Singh, B. Effect of dehydrogenase, phosphatase and urease activity in cotton soil after applying thiamethoxam as seed treatment. Environ. Monit. Assess. 2015, 187, 298. [Google Scholar]
- Tejada, M.; Moreno, J.L.; Hernández, M.T.; García, C. Soil amendments with organic wastes reduce the toxicity of nickel to soil enzyme activities. Eur. J. Soil Biol. 2008, 44, 129–140. [Google Scholar] [CrossRef]
- Wang, X.F.; Huang, X.F.; Hu, J.W.; Yao, S.M. Cadmium pollution and Bioconcentration characteristic in crops around the abandon Ni-Mo mining area in the karst mountainous. Environ. Chem. 2020, 39, 1872–1882. [Google Scholar]
- Ma, L.F.; Yang, X.D.; Shi, Y.Z.; Yi, X.Y.; Ji, L.F.; Cheng, Y.; Ni, K.; Ruan, J.Y. Response of tea yield, quality and soil bacterial characteristics to long-term nitrogen fertilization in an eleven-year field experiment. Appl. Soil Ecol. 2021, 166, 103976. [Google Scholar] [CrossRef]
- Sen, S.; Pathak, S.K.; Suiam, M.L. Weed flora of tea plantations of Ri Bhoi district of Meghalaya, India with a glimpse on its ethno biological value. World Sci. News 2016, 56, 82–96. [Google Scholar]
- Zhang, X.C.; Jiang, H.G.; Wan, X.C.; Li, Y.W. The effects of different types of mulch on soil properties and tea production and quality. J. Sci. Food Agric. 2020, 100, 5292–5300. [Google Scholar]
- Lei, B.N.; Wang, J.; Yao, H.Y. Ecological and Environmental Benefits of Planting Green Manure in Paddy Fields. Agriculture 2022, 12, 223. [Google Scholar] [CrossRef]
- Fu, H.P.; Li, H.; Yin, P.; Mei, H.L.; Li, J.J.; Zhou, P.Q.; Wang, Y.J.; Ma, Q.P.; Jeyaraj, A.; Thangara, K.; et al. Integrated Application of Rapeseed Cake and Green Manure Enhances Soil Nutrients and Microbial Communities in Tea Garden Soil. Sustainability 2021, 13, 2967. [Google Scholar] [CrossRef]
- Li, Y.; Xiong, K.n.; Liu, Z.Q.; Li, K.; Luo, D. Distribution and influencing factors of soil organic carbon in a typical karst catchment undergoing natural restoration. Catena 2022, 212, 106078. [Google Scholar] [CrossRef]
- Lan, J.C.; Long, Q.X.; Huang, M.Z.; Jiang, Y.X.; Hu, N. Afforestation-induced large macroaggregate formation promotes soil organic carbon accumulation in degraded karst area. For. Ecol. Manag. 2022, 505, 119884. [Google Scholar] [CrossRef]
- Dai, B.; Peng, T.; Zhang, X.B.; Mo, X.M.; Wang, S.J. Major types and formation mechanism of karst in plateau and discussion on karst landform zoning in Guizhou, China. Mt. Res. 2023, 41, 155–168. [Google Scholar]
- Cao, R.S.; Fan, M.Y.; Huang, X.F.; Yang, H.; Zhang, Z.; Hu, J.W.; Qin, F.X. Analysis of organic matter and heavy metals in soils around the coal-fired power plant in Jinsha. Environ. Chem. 2017, 36, 398–407. (In Chinese) [Google Scholar]
- Pruvot, C.; Douay, F.; Hervé, F.; Waterlot, C. Heavy metals in soil, crops and grass as a source of human exposure in the former Mining Areas (6 pp). J. Soils Sediments 2006, 6, 215–220. [Google Scholar] [CrossRef]
- Zhong, W.S.; Ren, T.; Zhao, L.J. Determination of Pb (lead), Cd (cadmium), Cr (chromium), Cu (copper), and Ni (nickel) in Chinese tea with high-resolution continuum source graphite furnace atomic absorption spectrometry. J. Food Drug Anal. 2016, 24, 46–55. [Google Scholar] [CrossRef] [PubMed]
- Hu, J.W.; Liu, F.; Chen, J.A.; Li, C.X.; Wu, D.; Zhang, J.P.; Luo, J. Assessment of selenium pollution in sediments from Hongfeng Lake, China. Environ. Chem. 2013, 32, 1448–1455. [Google Scholar]
- Sun, H.; Wu, Z.N.; Miao, T.T.; Liu, J.L.; Su, X.H.; Ding, C.J.; Cao, Z.H.; Yan, C.X.; Wang, T. Effects of Different Fertilization Treatments on Soil Microbial Communities in Poplar Forest Land. Chin. Agric. Sci. Bull. 2023, 39, 36–43. [Google Scholar]
- Jorfi, S.; Maleki, R.; Jaafarzadeh, N.; Ahmadi, M. Pollution load index for heavy metals in main-ab plain soil, khuzestan, iran. Data Brief 2017, 15, 584–590. [Google Scholar] [CrossRef] [PubMed]
- Edgar, R.C. UPARSE: Highly accurate OTU sequences from microbial amplicon reads. Nat. Methods 2013, 10, 996–998. [Google Scholar] [CrossRef]
- Bokulich, N.A.; Subramanian, S.; Faith, J.J.; Gevers, D.; Gordon, G.L.; Knight, R.; Mills, D.A.; Caporaso, J.G. Quality-filtering vastly improves diversity estimates from Illumina amplicon sequencing. Nat. Methods 2013, 10, 57–59. [Google Scholar] [CrossRef]
- Wang, Y.; Sheng, H.F.; He, Y.; Wu, J.Y.; Jiang, Y.X.; Tam, N.F.Y.; Zhou, H.W. Comparison of the levels of bacterial diversity in freshwater, intertidal wetland, and marine sediments by using millions of illumina tags. Appl. Environ. Microbiol. 2012, 78, 8264–8271. [Google Scholar] [CrossRef]
- Kõljalg, U.; Nilsson, R.H.; Abarenkov, K.; Tedersoo, L.; Taylor, A.F.; Bahram, M.; Bates, S.T.; Bruns, T.D.; Bengtsson-Palme, J.; Callaghan, T.M.; et al. Towards a unified paradigm for sequence-based identification of fungi. Mol. Ecol. 2013, 22, 5271–5277. [Google Scholar] [CrossRef]
- Hiroki, M. Effects of Heavy metal contamination on soil microbial population. Soil Sci. Plant Nutr. 1992, 38, 141–147. [Google Scholar] [CrossRef]
- Wang, X.L.; Xu, J.M.; Yao, H.Y.; Xie, Z.M. Effects of Cu Zn Cd and Pb compound contamination on soil microbial community. Acta Sci. Circumstantiae 2003, 23, 22–27. [Google Scholar]










| Research Area | Phyla | Classes | Orders | Families | Genera | Species |
|---|---|---|---|---|---|---|
| PH | 19 ± 1 | 31 ± 1 | 74 ± 2 | 120 ± 10 | 173 ± 21 | 241 ± 46 |
| UF | 18 ± 1 | 34 ± 1 | 79 ± 5 | 123 ± 1 | 186 ± 7 | 272 ± 14 |
| LR | 19 ± 2 | 34 ± 2 | 87 ± 4 | 127 ± 10 | 197 ± 15 | 296 ± 23 |
| SS | 19 ± 1 | 33 ± 3 | 75 ± 2 | 113 ± 4 | 176 ± 13 | 246 ± 26 |
| Total | 23 | 43 | 113 | 176 | 299 | 455 |
| Tea Plantation Type | OTUs Number | Shannon Index | Simpson Index | Chao1 Index | ACE Index |
|---|---|---|---|---|---|
| PH | 501 ± 153 | 7.20 ± 0.44 | 0.98 ± 0.00 | 598.36 ± 170.33 | 583.14 ± 170.89 |
| UF | 610 ± 44 | 7.55 ± 0.13 | 0.99 ± 0.00 | 716.49 ± 43.87 | 718.70 ± 53.50 |
| LR | 722 ± 323 | 7.96 ± 0.14 | 0.99 ± 0.00 | 814.81 ± 11.95 | 812.72 ± 26.27 |
| SS | 525 ± 21 | 7.03 ± 0.62 | 0.97 ± 0.02 | 631.56 ± 34.33 | 620.70 ± 32.70 |
| Average | 590 ± 114 | 7.43 ± 0.50 | 0.98 ± 0.01 | 690.31 ± 116.30 | 683.77 ± 121.89 |
| ACE | Chao1 | Simpson Index | Shannon Index | Pb | Cd | Hg | As | Cu | Ni | Zn | |
|---|---|---|---|---|---|---|---|---|---|---|---|
| Chao1 | 0.99 ** | 1 | |||||||||
| Simpson index | 0.39 | 0.37 | 1 | ||||||||
| Shannon index | 0.81 ** | 0.84 ** | 0.80 ** | 1 | |||||||
| Pb | 0.39 | 0.34 | 0.52 | 0.57 | 1 | ||||||
| Cd | 0.68 * | 0.70 * | 0.28 | 0.62 * | 0.43 | 1 | |||||
| Hg | −0.03 | −0.01 | 0.06 | 0.04 | 0.21 | 0.51 | 1 | ||||
| As | 0.04 | 0.05 | 0.41 | 0.26 | −0.31 | −0.41 | −0.61 * | 1 | |||
| Cu | 0.12 | 0.16 | 0.17 | 0.20 | −0.11 | 0.27 | 0.35 | −0.08 | 1 | ||
| Ni | 0.66 * | 0.69 * | 0.15 | 0.52 | 0.06 | 0.70 * | 0.40 | −0.22 | 0.58 * | 1 | |
| Zn | 0.43 | 0.46 | 0.08 | 0.39 | −0.01 | 0.64 * | 0.35 | −0.05 | 0.53 | 0.81 ** | 1 |
| Cr | 0.44 | 0.47 | 0.11 | 0.40 | 0.03 | 0.66 * | 0.40 | −0.10 | 0.58 * | 0.84 ** | 0.99 ** |
Disclaimer/Publisher’s Note: The statements, opinions and data contained in all publications are solely those of the individual author(s) and contributor(s) and not of MDPI and/or the editor(s). MDPI and/or the editor(s) disclaim responsibility for any injury to people or property resulting from any ideas, methods, instructions or products referred to in the content. |
© 2023 by the authors. Licensee MDPI, Basel, Switzerland. This article is an open access article distributed under the terms and conditions of the Creative Commons Attribution (CC BY) license (https://creativecommons.org/licenses/by/4.0/).
Share and Cite
Huang, X.; Wang, X.; Wu, Q.; Zhang, Z.; Yang, H.; Wen, X. Effects of Multiple-Metal-Compound Contamination on the Soil Microbial Community in Typical Karst Tea Plantations. Forests 2023, 14, 1840. https://doi.org/10.3390/f14091840
Huang X, Wang X, Wu Q, Zhang Z, Yang H, Wen X. Effects of Multiple-Metal-Compound Contamination on the Soil Microbial Community in Typical Karst Tea Plantations. Forests. 2023; 14(9):1840. https://doi.org/10.3390/f14091840
Chicago/Turabian StyleHuang, Xianfei, Xingfu Wang, Qing Wu, Zhenming Zhang, Huili Yang, and Ximei Wen. 2023. "Effects of Multiple-Metal-Compound Contamination on the Soil Microbial Community in Typical Karst Tea Plantations" Forests 14, no. 9: 1840. https://doi.org/10.3390/f14091840
APA StyleHuang, X., Wang, X., Wu, Q., Zhang, Z., Yang, H., & Wen, X. (2023). Effects of Multiple-Metal-Compound Contamination on the Soil Microbial Community in Typical Karst Tea Plantations. Forests, 14(9), 1840. https://doi.org/10.3390/f14091840

