The Impact of Nitrogen Application on Leaf and Root Functional Traits of Davidia involucrata Saplings
Abstract
1. Introduction
2. Materials and Methods
2.1. Pot Experiment
2.2. N Application
2.3. Plant Sampling and Measurements
2.4. Statistical Analysis
3. Results
3.1. Effects of N Application on Leaf Functional Traits
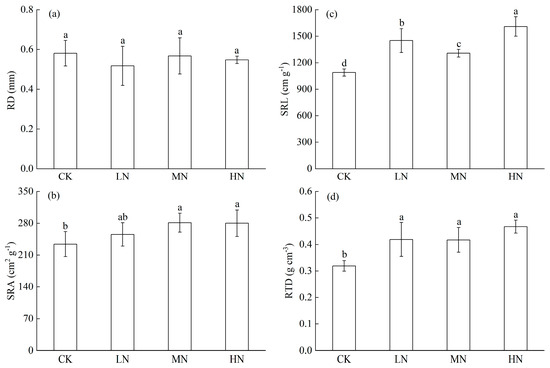
3.2. Effects of N Application on Root Functional Traits
3.3. Dose Effect of N Application on Leaf and Root Functional Traits
3.4. Correlations between the Leaf and Root Functional Traits
4. Discussion
4.1. Leaf Functional Traits Affected by N Application
4.2. Root Functional Traits Affected by N application
4.3. Correlations between Leaf and Root Functional Traits Affected by N Application
5. Conclusions
Supplementary Materials
Author Contributions
Funding
Institutional Review Board Statement
Informed Consent Statement
Data Availability Statement
Acknowledgments
Conflicts of Interest
References
- Harpole, W.S.; Ngai, J.T.; Cleland, E.E.; Seabloom, E.W.; Borer, E.T.; Bracken, M.E.; Elser, J.J.; Gruner, D.S.; Hillebrand, H.; Shurin, J.B.; et al. Nutrient co-limitation of primary producer communities. Ecol. Lett. 2011, 14, 852–862. [Google Scholar] [CrossRef] [PubMed]
- Du, E.; de Vries, W.; Han, W.; Liu, X.; Yan, Z.; Jiang, Y. Imbalanced phosphorus and nitrogen deposition in China’s forests. Atmos. Chem. Phys. 2016, 16, 8571–8579. [Google Scholar] [CrossRef]
- Zhu, J.; Wang, Q.; He, N.; Smith, M.D.; Elser, J.J.; Du, J.; Yuan, G.; Yu, G.; Yu, Q. Imbalanced atmospheric nitrogen and phosphorus depositions in China: Implications for nutrient limitation. JGR Biogeosci. 2016, 121, 1605–1616. [Google Scholar] [CrossRef]
- de la Riva, E.G.; Tosto, A.; Pérez-Ramos, I.M.; Navarro-Fernández, C.M.; Olmo, M.; Anten, N.P.R.; Marañón, T.; Villar, R. A plant economics spectrum in Mediterranean forests along environmental gradients: Is there coordination among leaf, stem and root traits? J. Veg. Sci. 2016, 27, 187–199. [Google Scholar] [CrossRef]
- Lin, G.; Zeng, D.; Mao, R. Traits and their plasticity determine responses of plant performance and community functional property to nitrogen enrichment in a boreal peatland. Plant Soil 2020, 449, 151–167. [Google Scholar] [CrossRef]
- Qiao, J.; Zuo, X.; Yue, P.; Wang, S.; Hu, Y.; Guo, X.; Li, X.; Lv, P.; Guo, A.; Sun, S. High nitrogen addition induces functional trait divergence of plant community in a temperate desert steppe. Plant Soil 2023, 187, 133–156. [Google Scholar] [CrossRef]
- Dalke, I.V.; Novakovskiy, A.B.; Maslova, S.P.; Dubrovskiy, Y.A. Morphological and functional traits of herbaceous plants with different functional types in the European Northeast. Plant Ecol. 2018, 219, 1295–1305. [Google Scholar] [CrossRef]
- Zhao, X.; Tian, Q.; Huang, L.; Lin, Q.; Wu, J.; Liu, F. Fine-root functional trait response to nitrogen deposition across forest ecosystems: A meta-analysis. Sci. Total Environ. 2022, 844, 157111. [Google Scholar] [CrossRef]
- Tatarko, A.R.; Knops, J.M.H. Nitrogen addition and ecosystem functioning: Both species abundances and traits alter community structure and function. Ecosphere 2018, 9, e02087. [Google Scholar] [CrossRef]
- Wang, S.; Wang, W.; Wang, S.; Yang, L.; Gu, J. Intraspecific variations of anatomical, morphological and chemical traits in leaves and absorptive roots along climate and soil gradients: A case study with Ginkgo biloba and Eucommia ulmoides. Plant Soil 2021, 469, 73–88. [Google Scholar] [CrossRef]
- Zheng, Z.; Bai, W.; Zhang, W. Root trait-mediated belowground competition and community composition of a temperate steppe under nitrogen enrichment. Plant Soil 2019, 437, 341–354. [Google Scholar] [CrossRef]
- Zhang, X.; Xing, Y.; Wang, Q.; Yan, G.; Wang, M.; Liu, G.; Wang, H.; Huang, B.; Zhang, J. Effects of long-term nitrogen addition and decreased precipitation on the fine root morphology and anatomy of the main tree species in a temperate forest. For. Ecol. Manag. 2020, 455, 117664. [Google Scholar] [CrossRef]
- Gao, W.; Chen, D.; Hu, X.; Fang, X.; Li, Q.; Huang, Q.; Sun, F.; Zhou, J.; Bai, Y.; Zhang, J.; et al. Nitrogen deposition drives the intricate changes of fine root traits. Glob. Ecol. Conserv. 2023, 43, e02443. [Google Scholar] [CrossRef]
- Wang, W.; Wang, Y.; Hoch, G.; Wang, Z.; Gu, J. Linkage of root morphology to anatomy with increasing nitrogen availability in six temperate tree species. Plant Soil 2018, 425, 189–200. [Google Scholar] [CrossRef]
- Noguchi, K.; Nagakura, J.; Kaneko, S. Biomass and morphology of fine roots of sugi (Cryptomeria japonica) after 3 years of nitrogen fertilization. Front. Plant Sci. 2013, 4, 347. [Google Scholar] [CrossRef]
- Zinnen, J.; Charles, B.; Zaya, D.N.; Matthews, J.W. Functional traits and responses to nutrient and mycorrhizal addition are inconsistently related to wetland plant species’ coefficients of conservatism. Wetl. Ecol. Manag. 2022, 30, 513–526. [Google Scholar] [CrossRef]
- Zou, Y.; Li, B.; Peñuelas, J.; Sardans, J.; Yu, H.; Chen, X.; Deng, X.; Cheng, D.; Zhong, Q. Response of functional traits in Machilus pauhoi to nitrogen addition is influenced by differences of provenances. For. Ecol. Manag. 2022, 513, 120207. [Google Scholar] [CrossRef]
- Ye, X.; Bu, W.; Hu, X.; Liu, B.; Liang, K.; Chen, F. Species divergence in seedling leaf traits and tree growth response to nitrogen and phosphorus additions in an evergreen broadleaved forest of subtropical China. J. For. Res. 2023, 34, 137–150. [Google Scholar] [CrossRef]
- Li, Z.; Qiu, X.; Sun, Y.; Liu, S.; Hu, H.; Xie, J.; Chen, G.; Xiao, Y.; Tang, Y.; Tu, L. C:N:P stoichiometry responses to 10 years of nitrogen addition differ across soil components and plant organs in a subtropical Pleioblastus amarus forest. Sci. Total Environ. 2021, 796, 148925. [Google Scholar] [CrossRef]
- Sardans, J.; Grau, O.; Chen, H.Y.H.; Janssens, I.A.; Ciais, P.; Piao, S.; Peñuelas, J. Changes in nutrient concentrations of leaves and roots in response to global change factors. Glob. Chang. Biol. 2017, 23, 3849–3856. [Google Scholar] [CrossRef]
- Song, Z.; Hou, J. Provenance differences in functional traits and N:P stoichiometry of the leaves and roots of Pinus tabulaeformis seedlings under N addition. Glob. Ecol. Conserv. 2020, 21, e00826. [Google Scholar] [CrossRef]
- Sardans, J.; Alonso, R.; Janssens, I.A.; Carnicer, J.; Vereseglou, S.; Rillig, M.C.; Fernández-Martínez, M.; Sanders, T.G.M.; Peñuelas, J. Foliar and soil concentrations and stoichiometry of nitrogen and phosphorous across European Pinus sylvestris forests: Relationships with climate, N deposition and tree growth. Funct. Ecol. 2015, 30, 676–689. [Google Scholar] [CrossRef]
- You, C.; Wu, F.; Yang, W.; Xu, Z.; Tan, B.; Yue, K.; Ni, X. Nutrient-limited conditions determine the responses of foliar nitrogen and phosphorus stoichiometry to nitrogen addition: A global meta-analysis. Environ. Pollut. 2018, 241, 740–749. [Google Scholar] [CrossRef] [PubMed]
- Zhou, X.; Guo, Z.; Zhang, P.; Du, G. Shift in community functional composition following nitrogen fertilization in an alpine meadow through intraspecific trait variation and community composition change. Plant Soil 2018, 431, 289–302. [Google Scholar] [CrossRef]
- Zhang, P.; Yin, M.; Zhang, X.; Wang, Q.; Wang, R.; Yin, H. Differential aboveground-belowground adaptive strategies to alleviate N addition-induced P deficiency in two alpine coniferous forests. Sci. Total Environ. 2022, 849, 157906. [Google Scholar] [CrossRef]
- Zheng, L.; Zhao, Q.; Yu, Z.; Zhao, S.; Zeng, D. Altered leaf functional traits by nitrogen addition in a nutrient-poor pine plantation: A consequence of decreased phosphorus availability. Sci. Rep. 2017, 7, 7415. [Google Scholar] [CrossRef]
- Zhu, H.; Zhao, J.; Gong, L. The morphological and chemical properties of fine roots respond to nitrogen addition in a temperate Schrenk’s spruce (Picea schrenkiana) forest. Sci. Rep. 2021, 11, 3839. [Google Scholar] [CrossRef] [PubMed]
- Chen, Y.; Su, Z. Research on the protection of Davidia involucrata populations, a rare and endangered plant endemic to China. Acta Ecol. Sin. 2011, 31, 5466–5474. [Google Scholar]
- Wu, G.; Han, S.; Wang, H.; Luo, Y.; Deng, H.; Zhao, J. Living characteristics of rare and endangered species—Davidia involucrata. J. For. Res. 2004, 15, 39–44. [Google Scholar]
- Tong, X.; Wang, K.; Yu, Y.; Brandt, M.; Liu, B.; Zhang, C.; Liao, C.; Fensholt, R. Quantifying the effectiveness of ecological restoration projects on long-term vegetation dynamics in the karst regions of Southwest China. Int. J. Appl. Earth Obs. 2017, 54, 105–113. [Google Scholar] [CrossRef]
- Xiao, K.; He, T.; Chen, H.; Peng, W.; Song, T.; Wang, K.; Li, D. Impacts of vegetation restoration strategies on soil organic carbon and nitrogen dynamics in a karst area, southwest China. Ecol. Eng. 2017, 101, 247–254. [Google Scholar] [CrossRef]
- Tang, C.; Dong, Y.; Herrando-Moraira, S.; Matsui, T.; Ohashi, H.; He, L.; Nakao, K.; Tanaka, N.; Tomita, M.; Li, X.; et al. Potential effects of climate change on geographic distribution of the Tertiary relict tree species Davidia involucrata in China. Sci. Rep. 2017, 7, 43822. [Google Scholar] [CrossRef] [PubMed]
- He, G.; Zhang, Z.; Zhang, J.; Huang, X. Stoichiometric characteristics of nutrients in a soil-vegetation system of the rare plant Davidia involucrata Baill. Glob. Ecol. Conserv. 2020, 24, e01266. [Google Scholar] [CrossRef]
- Li, Y.; Zhang, L.; Su, Z. Responses to UV-B exposure by saplings of the relict species Davidia involucrata Ball are modified by soil nitrogen availability. Pol. J. Ecol. 2014, 62, 101–110. [Google Scholar]
- Long, T.; Tang, J.; Pilfold, N.W.; Zhao, X.; Dong, T. Predicting range shifts of Davidia involucrata Ball. under future climate change. Ecol. Evol. 2021, 11, 12779–12789. [Google Scholar] [CrossRef]
- Tang, J.; Zhao, X. Forecasting the combined effects of future climate and land use change on the suitable habitat of Davidia involucrata Baill. Ecol. Evol. 2022, 12, e9023. [Google Scholar] [CrossRef]
- Ye, P.; Zhang, G.; Zhao, X.; Chen, H.; Si, Q.; Wu, J. Potential geographical distribution and environmental explanations of rare and endangered plant species through combined modeling: A case study of Northwest Yunnan, China. Ecol. Evol. 2021, 11, 13052–13067. [Google Scholar] [CrossRef]
- Sturchio, M.A.; Chieppa, J.; Simpson, L.T.; Feller, I.C.; Chapman, S.K.; Aspinwall, M.J. Contrasting effects of nitrogen addition on leaf photosynthesis and respiration in black mangrove in north Florida. Estuar. Coast 2023, 46, 182–197. [Google Scholar] [CrossRef]
- Yang, Q.; Chen, Z.; Zhou, J.; Lai, S.; Jian, C.; Wang, Z.; Xu, B. Responses of leaf functional traits of dominant plant species in grassland communities to nitrogen and phosphorus addition in loess hilly-gully region. Chin. J. Appl. Ecol. 2019, 11, 3697–3706. [Google Scholar]
- Williams, G.M.; Nelson, A.S. Spatial variation in specific leaf area and horizontal distribution of leaf area in juvenile western larch (Larix occidentalis Nutt.). Trees 2018, 2, 1621–1631. [Google Scholar] [CrossRef]
- Scalon, M.C.; Haridasan, M.; Franco, A.C. Influence of long-term nutrient manipulation on specific leaf area and leaf nutrient concentrations in savanna woody species of contrasting leaf phenologies. Plant Soil 2017, 421, 233–244. [Google Scholar] [CrossRef]
- Yu, H.; Cheng, D.; Li, B.; Xu, C.; Zhang, Z.; Zhong, Y.; Zhong, Q. Short-term nitrogen addition does not significantly alter the effects of seasonal drought on leaf functional traits in Machilus pauhoi Kanehira seedlings. Forests 2019, 10, 78. [Google Scholar] [CrossRef]
- Feng, Y.; Fu, G.; Zheng, Y. Specific leaf area relates to the differences in leaf construction cost, photosynthesis, nitrogen allocation, and use efficiencies between invasive and noninvasive alien congeners. Planta 2008, 228, 383–390. [Google Scholar] [CrossRef] [PubMed]
- Poorter, H.; Niinemets, U.; Poorter, L.; Wright, I.J.; Villar, R. Causes and consequences of variation in leaf mass per area (LMA): A meta-analysis. New Phytol. 2009, 182, 565–588. [Google Scholar] [CrossRef]
- Zhang, H.; Li, W.; Adams, H.D.; Wang, A.; Wu, J.; Jin, C.; Guan, D.; Yuan, F. Responses of woody plant functional traits to nitrogen addition: A meta-analysis of leaf economics, gas exchange, and hydraulic traits. Front. Plant Sci. 2018, 9, 683. [Google Scholar] [CrossRef]
- Sharifi-Rad, J.; Mohsenzadeh, S.; Kavoosi, G.; Iriti, M.; Sharifi-Rad, R. Exogenous ammonium nitrate and urea effects as sources of nitrogen on nitrate assimilation, photosynthetic pigments and biochemical characteristics in Zea mays L. IJST-T A Sci. 2017, 41, 95–101. [Google Scholar] [CrossRef][Green Version]
- Nautiyal, P.; Yamuna, L.; Singh Raghav, C. Liquid urea: A fertilizer for 21st century. Food Sci. Rep. 2023, 4, 33–35. [Google Scholar]
- Sun, M.; Li, S.; Yu, H.; Gong, Q.; Zhang, B.; Liu, G.; Xiao, Y.; Peng, F. Effects of valine and urea on carbon and nitrogen accumulation and lignin content in Peach trees. Plants 2023, 12, 1596. [Google Scholar] [CrossRef]
- Liang, X.; Zhang, T.; Lu, X.; Ellsworth, D.S.; Bassirirad, H.; You, C.; Wang, D.; He, P.; Deng, Q.; Liu, H.; et al. Global response patterns of plant photosynthesis to nitrogen addition: A meta-analysis. Glob. Chang. Biol. 2020, 26, 3585–3600. [Google Scholar] [CrossRef]
- Xiao, J.; Dong, S.; Shen, H.; Li, S.; Wessell, K.; Liu, S.; Li, W.; Zhi, Y.; Mu, Z.; Li, H. N addition overwhelmed the effects of P addition on the soil C, N, and P cycling genes in alpine meadow of the Qinghai-Tibetan Plateau. Front. Plant Sci. 2022, 13, 860590. [Google Scholar] [CrossRef]
- Fujita, Y.; Robroek, B.J.M.; De Ruiter, P.C.; Heil, G.W.; Wassen, M.J. Increased N affects P uptake of eight grassland species: The role of root surface phosphatase activity. Oikos 2010, 119, 1665–1673. [Google Scholar] [CrossRef]
- Marklein, A.R.; Houlton, B.Z. Nitrogen inputs accelerate phosphorus cycling rates across a wide variety of terrestrial ecosystems. New Phytol. 2012, 193, 696–704. [Google Scholar] [CrossRef] [PubMed]
- Tian, D.; Reich, P.B.; Chen, H.Y.H.; Xiang, Y.; Luo, Y.; Shen, Y.; Meng, C.; Han, W.; Niu, S. Global changes alter plant multi-element stoichiometric coupling. New Phytol. 2019, 221, 807–817. [Google Scholar] [CrossRef] [PubMed]
- Wen, J.; Ji, H.; Sun, N.; Tao, H.; Du, B.; Hui, D.; Liu, C. Imbalanced plant stoichiometry at contrasting geologic-derived phosphorus sites in subtropics: The role of microelements and plant functional group. Plant Soil 2018, 430, 113–125. [Google Scholar] [CrossRef]
- Xu, L.; Xing, A.; Du, E.; Shen, H.; Yan, Z.; Jiang, L.; Tian, D.; Hu, H.; Fang, J. Effects of nitrogen addition on leaf nutrient stoichiometry in an old-growth boreal forest. Ecosphere 2021, 12, e03335. [Google Scholar] [CrossRef]
- Zhan, S.; Wang, Y.; Zhu, Z.; Li, W.; Bai, Y. Nitrogen enrichment alters plant N: P stoichiometry and intensifies phosphorus limitation in a steppe ecosystem. Environ. Exp. Bot. 2017, 134, 21–32. [Google Scholar] [CrossRef]
- Hong, J.; Ma, X.; Yan, Y.; Zhang, X.; Wang, X. Which root traits determine nitrogen uptake by alpine plant species on the Tibetan Plateau? Plant Soil 2018, 424, 63–72. [Google Scholar] [CrossRef]
- Shan, S.; Devens, H.; Fahey, T.J.; Yanai, R.D.; Fisk, M.C. Fine root growth increases in response to nitrogen addition in phosphorus-limited northern hardwood forests. Ecosystems 2022, 25, 1589–1600. [Google Scholar] [CrossRef]
- Hummel, I.; Vile, D.; Violle, C.; Devaux, J.; Ricci, B.; Blanchard, A.; Garnier, É.; Roumet, C. Relating root structure and anatomy to whole-plant functioning in 14 herbaceous Mediterranean species. New Phytol. 2007, 173, 313–321. [Google Scholar] [CrossRef]
- Ostonen, I.; Puttsepp, U.; Biel, C.; Alberton, O.; Bakker, M.R.; Lõhmus, K.; Majdi, H.; Metcalfe, D.; Olsthoorn, A.F.M.; Pronk, A.; et al. Specific root length as an indicator of environmental change. Plant Biosyst. 2007, 141, 426–442. [Google Scholar] [CrossRef]
- Li, W.; Shi, Y.; Zhu, D.; Wang, W.; Liu, H.; Li, J.; Shi, N.; Ma, L.; Fu, S. Fine root biomass and morphology in a temperate forest are influenced more by the nitrogen treatment approach than the rate. Ecol. Indic. 2021, 130, 108031. [Google Scholar] [CrossRef]
- Liao, Y.; Fan, H.; Wei, X.; Wang, H.; Shen, F.; Hu, L.; Li, Y.; Fang, H.; Huang, R. Shifting of the first-order root foraging strategies of Chinese fir (Cunninghamia lanceolata) under varied environmental conditions. Trees 2023, 37, 921–932. [Google Scholar] [CrossRef]
- Yan, X.; Jia, L.; Dai, T. Fine root morphology and growth in response to nitrogen addition through drip fertigation in a Populus × euramericana “Guariento” plantation over multiple years. Ann. For. Sci. 2019, 76, 13. [Google Scholar] [CrossRef]
- Wurzburger, N.; Wright, S.J. Fine-root responses to fertilization reveal multiple nutrient limitation in a lowland tropical forest. Ecology 2015, 96, 2137–2146. [Google Scholar] [CrossRef] [PubMed]
- Sun, Y.; Gu, J.C.; Zhuang, H.; Wang, Z. Effects of ectomycorrhizal colonization and nitrogen fertilization on morphology of root tips in a Larix gmelinii plantation in northeastern China. Ecol. Res. 2010, 25, 295–302. [Google Scholar] [CrossRef]
- Feng, H.; Guo, J.; Peng, C.; Kneeshaw, D.; Roberge, G.; Pan, C.; Ma, X.; Zhou, D.; Wang, W. Nitrogen addition promotes terrestrial plants to allocate more biomass to aboveground organs: A global meta-analysis. Glob. Chang. Biol. 2023, 29, 3970–3989. [Google Scholar] [CrossRef]
- Hyvönen, R.; Persson, T.; Andersson, S.; Olsson, B.; Ågren, G.I.; Linder, S. Impact of long-term nitrogen addition on carbon stocks in trees and soils in northern Europe. Biogeochemistry 2008, 89, 121–137. [Google Scholar] [CrossRef]
- Freschet, G.T.; Roumet, C.; Comas, L.H.; Weemstra, M.; Bengough, A.G.; Rewald, B.; Bardgett, R.D.; De Deyn, G.B.; Johnson, D.; Klimešová, J.; et al. Root traits as drivers of plant and ecosystem functioning: Current understanding, pitfalls and future research needs. New Phytol. 2021, 232, 1123–1158. [Google Scholar] [CrossRef]
- Li, Y.; Niu, S.; Yu, G. Aggravated phosphorus limitation on biomass production under increasing nitrogen loading: A meta-analysis. Glob. Chang. Biol. 2016, 22, 934–943. [Google Scholar] [CrossRef]
- Li, W.; Jin, C.; Guan, D.; Wang, Q.; Wang, A.; Yuan, F.; Wu, J. The effects of simulated nitrogen deposition on plant root traits: A meta-analysis. Soil Biol. Biochem. 2015, 82, 112–118. [Google Scholar] [CrossRef]
- Güsewell, S. N:P ratios in terrestrial plants: Variation and functional significance. New Phytol. 2004, 164, 243–266. [Google Scholar] [CrossRef] [PubMed]
- Kou, L.; Wang, H.; Gao, W.; Chen, W.; Yang, H.; Li, S. Nitrogen addition regulates tradeoff between root capture and foliar resorption of nitrogen and phosphorus in a subtropical pine plantation. Trees 2017, 31, 77–91. [Google Scholar] [CrossRef]
- Wang, Z.; Yu, K.; Lv, S.; Niklas, K.J.; Mipam, T.D.; Crowther, T.W.; Umaña, M.N.; Zhao, Q.; Huang, H.; Reich, P.B. The scaling of fine root nitrogen versus phosphorus in terrestrial plants: A global synthesis. Funct. Ecol. 2019, 33, 2081–2094. [Google Scholar] [CrossRef]
- Zhao, Y.; Zhang, L.; Chen, Y.; Liu, X.; Xu, W.; Pan, Y.; Duan, L. Atmospheric nitrogen deposition to China: A model analysis on nitrogen budget and critical load exceedance. Atmos. Environ. 2017, 153, 32–40. [Google Scholar] [CrossRef]
- Zhan, S.; Zheng, S.; Wang, Y.; Bai, Y. Response and correlation of above- and below-ground functional traits of Leymus chinensis to nitrogen and phosphorus additions. Chin. J. Plant Ecol. 2016, 40, 36–47. [Google Scholar]
- Li, X.; Zhang, C.; Zhang, B.; Wu, D.; Shi, Y.; Zhang, W.; Ye, Q.; Yan, J.; Fu, J.; Fang, C.; et al. Canopy and understory nitrogen addition have different effects on fine root dynamics in a temperate forest: Implications for soil carbon storage. New Phytol. 2021, 231, 1377–1386. [Google Scholar] [CrossRef]
- Cai, J.; Weiner, J.; Luo, W.; Feng, X.; Yang, G.; Lu, J.; Lü, X.; Li, M.; Jiang, Y.; Han, X. Functional structure mediates the responses of productivity to addition of three nitrogen compounds in a meadow steppe. Oecologia 2023, 201, 575–584. [Google Scholar] [CrossRef]






| Leaf Functional Traits | Root Functional Traits | ||
|---|---|---|---|
| LL | Leaf length (mm) | RD | Root diameter (mm) |
| LW | Leaf width (mm) | SRA | Specific root surface area (cm2 g−1) |
| LT | Leaf thickness (mm) | SRL | Specific root length (cm g−1) |
| LL:LW | Ratio of leaf length: leaf width | RTD | Root tissue density (g cm−3) |
| SLA | Specific leaf area (cm2 g−1) | Root C content | Root carbon content (g kg−1) |
| LTD | Leaf tissue density (mg mm−3) | Root N content | Root nitrogen content (g kg−1) |
| Leaf C content | Leaf carbon content (g kg−1) | Root P content | Root phosphorus content (g kg−1) |
| Leaf N content | Leaf nitrogen content (g kg−1) | Root C:N | Ratio of root carbon:nitrogen |
| Leaf P content | Leaf phosphorus content (g kg−1) | Root C:P | Ratio of root carbon:phosphorus |
| Leaf C:N | Ratio of leaf carbon:nitrogen | Root N:P | Ratio of root nitrogen:phosphorus |
| Leaf C:P | Ratio of leaf carbon:phosphorus | ||
| Leaf N:P | Ratio of leaf nitrogen:phosphorus | ||
| Plant Functional Traits | Root Biomas | RD | SRA | SRL | RTD | Root C Content | Root N Content | Root P Content | Root C:N | Root C:P | Root N:P |
|---|---|---|---|---|---|---|---|---|---|---|---|
| Leaf biomass | −0.414 | −0.059 | 0.533 * | 0.458 * | 0.672 ** | −0.829 ** | 0.599 ** | −0.707 ** | −0.843 ** | −0.580 ** | 0.728 ** |
| LL | −0.383 | −0.156 | 0.506 * | 0.846 ** | 0.662 ** | −0.896 ** | 0.380 | −0.330 | −0.829 ** | −0.878 ** | 0.351 |
| LW | −0.507 * | −0.016 | 0.553 * | 0.529 * | 0.458 * | −0.804 ** | 0.758 ** | −0.731 ** | −0.870 ** | −0.535 * | 0.829 ** |
| LT | −0.360 | 0.089 | 0.398 | 0.675 ** | 0.624 ** | −0.867 ** | 0.544 * | −0.342 | −0.860 ** | −0.823 ** | 0.460 * |
| LL:LW | 0.143 | −0.136 | −0.078 | 0.243 | 0.230 | 0.003 | −0.529 * | 0.506 * | 0.167 | −0.292 | −0.618 ** |
| SLA | 0.452 * | 0.115 | −0.517 * | −0.691 ** | −0.720 ** | 0.800 ** | −0.487 * | 0.751 ** | 0.785 ** | 0.512 * | −0.688 ** |
| LTD | −0.424 | −0.313 | 0.575 ** | 0.661 ** | 0.620 ** | −0.656 ** | 0.270 | −0.684 ** | −0.593 ** | −0.392 | 0.532 * |
| Leaf C content | −0.665 ** | −0.225 | 0.571 ** | 0.737 ** | 0.664 ** | −0.752 ** | 0.344 | −0.715 ** | −0.689 ** | −0.474 * | 0.593 ** |
| Leaf N content | 0.559 * | 0.224 | −0.485 * | −0.747 ** | −0.716 ** | 0.694 ** | −0.246 | 0.532 * | 0.623 ** | 0.507* | −0.435 |
| Leaf P content | −0.557 * | 0.112 | 0.475 * | 0.703 ** | 0.569 ** | −0.830 ** | 0.379 | −0.260 | −0.790 ** | −0.843 ** | 0.300 |
| Leaf C:N | -0.601 ** | −0.259 | 0.497 * | 0.774 ** | 0.716 ** | −0.729 ** | 0.246 | −0.621 ** | −0.644 ** | −0.499 * | 0.485 * |
| Leaf C:P | −0.182 | −0.387 | 0.265 | 0.110 | 0.190 | −0.004 | −0.010 | −0.532 * | 0.031 | 0.317 | 0.352 |
| Leaf N:P | 0.639 ** | 0.131 | −0.446 * | −0.810 ** | −0.739 ** | 0.810 ** | −0.319 | 0.506 * | 0.743 ** | 0.663 ** | −0.443 |
Disclaimer/Publisher’s Note: The statements, opinions and data contained in all publications are solely those of the individual author(s) and contributor(s) and not of MDPI and/or the editor(s). MDPI and/or the editor(s) disclaim responsibility for any injury to people or property resulting from any ideas, methods, instructions or products referred to in the content. |
© 2023 by the authors. Licensee MDPI, Basel, Switzerland. This article is an open access article distributed under the terms and conditions of the Creative Commons Attribution (CC BY) license (https://creativecommons.org/licenses/by/4.0/).
Share and Cite
Liu, M.; Wen, J.; Xu, W.; Chen, Y.; Ma, Z. The Impact of Nitrogen Application on Leaf and Root Functional Traits of Davidia involucrata Saplings. Forests 2023, 14, 1668. https://doi.org/10.3390/f14081668
Liu M, Wen J, Xu W, Chen Y, Ma Z. The Impact of Nitrogen Application on Leaf and Root Functional Traits of Davidia involucrata Saplings. Forests. 2023; 14(8):1668. https://doi.org/10.3390/f14081668
Chicago/Turabian StyleLiu, Mei, Jiahao Wen, Wenjuan Xu, Yamei Chen, and Zhiliang Ma. 2023. "The Impact of Nitrogen Application on Leaf and Root Functional Traits of Davidia involucrata Saplings" Forests 14, no. 8: 1668. https://doi.org/10.3390/f14081668
APA StyleLiu, M., Wen, J., Xu, W., Chen, Y., & Ma, Z. (2023). The Impact of Nitrogen Application on Leaf and Root Functional Traits of Davidia involucrata Saplings. Forests, 14(8), 1668. https://doi.org/10.3390/f14081668

