Effects of Shading on the Growth and Photosynthetic Fluorescence Characteristics of Castanopsis hystrix Seedlings of Top Community-Building Species in Southern Subtropical China
Abstract
1. Introduction
2. Materials and Methods
2.1. Experimental Site and Test Materials
2.2. Experimental Design
2.3. Determination Method
2.4. Data Analysis
3. Results
3.1. Effects of Shading on the Growth and the Biomass Accumulation and Distribution of Castanopsis hystrix Seedlings
3.2. Effect of Shading on the Quality Index of Castanopsis hystrix Seedlings
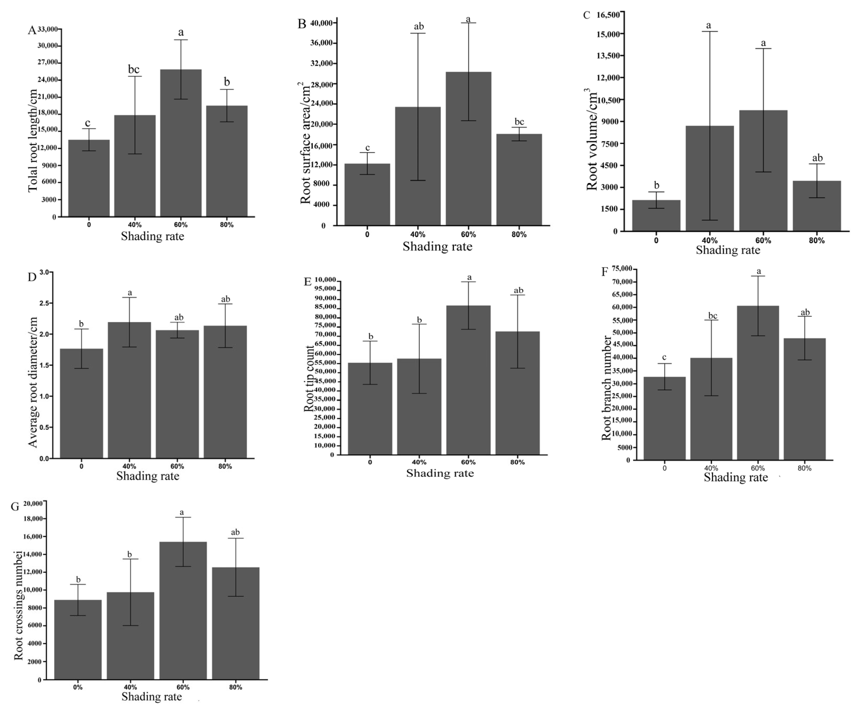
3.3. Effects of Shading on the Morphology and Structure of the Root System of Castanopsis hystrix Seedlings
3.4. Correlation between Growth Traits of Castanopsis hystrix Seedlings
3.5. Comprehensive Evaluation of the Growth Traits of Castanopsis hystrix Seedlings under Shade Conditions
3.6. Effects of Shading on Leaf Chlorophyll Content and Chlorophyll Fluorescence Properties of Castanopsis hystrix Seedlings
4. Discussion
4.1. Growth, Biomass Accumulation, and Distribution of Castanopsis hystrix Seedlings under Varying Light Intensities
4.2. Morphological Changes in Castanopsis hystrix Seedling Roots under Different Light Intensities
4.3. Changes in Chlorophyll Fluorescence of Castanopsis hystrix Seedlings under Different Light Intensities
5. Conclusions
Author Contributions
Funding
Data Availability Statement
Conflicts of Interest
References
- Rezvi, H.U.A.; Tahjib-Ul-Arif, M.; Azim, M.A.; Tumpa, T.A.; Tipu, M.M.H.; Najnine, F.; Dawood, M.F.A.; Skalicky, M.; Brestič, M. Rice and Food Security: Climate Change Implications and the Future Prospects for Nutritional Security. Food Energy Secur. 2023, 12, e430. [Google Scholar] [CrossRef]
- Carreiras, J.; Cruz-Silva, A.; Fonseca, B.; Carvalho, R.C.; Cunha, J.P.; Proença Pereira, J.; Paiva-Silva, C.; A. Santos, S.; Janeiro Sequeira, R.; Mateos-Naranjo, E.; et al. Improving Grapevine Heat Stress Resilience with Marine Plant Growth-Promoting Rhizobacteria Consortia. Microorganisms 2023, 11, 856. [Google Scholar] [CrossRef] [PubMed]
- Ahmed, H.A.; Tong, Y.; Yang, Q.; Al-Faraj, A.A.; Abdel-Ghany, A.M. Spatial Distribution of Air Temperature and Relative Hu midity in the Greenhouse as Affected by External Shading in Arid Climates. J. Integr. Agric. 2019, 18, 2869–2882. [Google Scholar] [CrossRef]
- Tang, Y.; Yang, P.; Lu, N. Effects of shade on growth and photosynthetic characteristics of fir seedlings. J. Appl. Environ. Biol. 2023, 1–15. (In Chinese) [Google Scholar]
- Han, Z.; Tian, X.; Zhang, F. Effects of shade on growth, physiological characteristics and quality of Northeast Clematis. J. Jilin Agric. Univ. 2021, 43, 303–309. (In Chinese) [Google Scholar]
- Fang, Z.; Zhong, C.; Cheng, C. Effects of shading on growth and biomass allocation of seedlings of Tetragonolobus rosa-sinensis. Mol. Plant Breed. 2023, 1–20. Available online: https://kns.cnki.net/kcms2/detail/46.1068.S.20230612.1151.004.html (accessed on 28 June 2023). (In Chinese).
- Guo, X.; Luo, Y.-J.; Xu, Z.-W.; Li, M.-Y.; Guo, W.-H. Response Strategies of Acer Davidii to Varying Light Regimes under Different Water Conditions. Flora 2019, 257, 151423. [Google Scholar] [CrossRef]
- Zhang, N.; Van Westreenen, A.; Anten, N.P.R.; Evers, J.B.; Marcelis, L.F.M. Disentangling the Effects of Photosynthetically Active Radiation and Red to Far-Red Ratio on Plant Photosynthesis under Canopy Shading: A Simulation Study Using a Functional–Structural Plant Model. Ann. Bot. 2020, 126, 635–646. [Google Scholar] [CrossRef]
- Lizana, C.; Wentworth, M.; Martinez, J. Differential adaptation of two varieties of common bean to abiotic stress: I. Effects of drought on yield and photosynthesis. J. Exp. Bot. 2006, 57, 685–697. [Google Scholar]
- Krause, G.; Weis, E. Chlorophyll fluorescence as a tool in plant physiology. Photosynth. Res. 1984, 5, 139–157. [Google Scholar] [CrossRef]
- Baker, N. Chlorophyll fluorescence: A probe of photosynthesis in vivo. Annu. Rev. Plant Biol. 2008, 59, 89–113. [Google Scholar] [CrossRef]
- Chen, T.; Zhang, H.; Zeng, R.; Wang, X.; Huang, L.; Wang, L.; Wang, X.; Zhang, L. Shade Effects on Peanut Yield Associate with Physiological and Expressional Regulation on Photosynthesis and Sucrose Metabolism. IJMS 2020, 21, 5284. [Google Scholar] [CrossRef]
- Toscano, S.; Trivellini, A.; Cocetta, G.; Bulgari, R.; Francini, A.; Romano, D.; Ferrante, A. Effect of Preharvest Abiotic Stresses on the Accumulation of Bioactive Compounds in Horticultural Produce. Front. Plant Sci. 2019, 10, 1212. [Google Scholar] [CrossRef] [PubMed]
- Ren, Y.; Chen, G.; Pu, T.; Chen, C.; Zeng, J.; Peng, X.; Ma, Y.; Yang, W.; Wang, X. Response of Photosynthetic Characteristics of Maize Ear Leaves in Narrow Rows of High-light Efficiency Maize to Low-light Stress in Maize-Soybean Strip Intercropping. Acta Agron. Sin. 2019, 45, 728–739. (In Chinese) [Google Scholar] [CrossRef]
- Xue, G.; Deng, Z.; Zhu, X.; Wu, J.; Dong, S.; Xie, X.; Zeng, J. Characterization and Phylogenetic Analysis of the Chloroplast Genome of Castanopsis hystrix. Chin. J. Biotechnol. 2023, 39, 670–684. (In Chinese) [Google Scholar]
- Guo, W.; Cai, D. Analysis of the Applicability of Near-Natural Cultivation of Large Diameter Castanopsis hystrix Timber. Hunan For. Sci. Technol. 2015, 42, 79–82. (In Chinese) [Google Scholar]
- Liao, Y.; Hong, W.; Chen, F.; Zhang, G.; Li, S.; Li, Z.; Zhuang, X.; Xing, F.; Wang, F. Study on Species Composition and Diversity of Castanopsis hystrix—Acacia mangium Forest in Guangzhou. J. Trop. Subtrop. Bot. 2021, 29, 494–502. (In Chinese) [Google Scholar]
- Huang, Z.; Jiang, Y.; Hao, H. The effect of different light intensities on the response curve of red cone light. J. Cent. South Univ. For. Technol. 2014, 34, 30–33. (In Chinese) [Google Scholar]
- Thorne, G.N. The Quantitative Analysis of Plant Growth. By G. Clifford Evans. Ann. Appl. Biol. 1973, 73, 357. [Google Scholar] [CrossRef]
- Rogosinski, W. On Subordinate Functions In Mathematical Proceedings of the Cambridge Philosophical Society; Cambridge University Press: Cambridge, UK, 1939; Volume 35, pp. 1–26. [Google Scholar]
- Ghasemi, M.; Arzani, K.; Yadollahi, A.; Ghasemi, S.; Sarikhani Khorrami, S. Estimate of Leaf Chlorophyll and Nitrogen Content in Asian Pear (Pyrus serotina Rehd.) by CCM-200. Not. Sci. Biol. 2011, 3, 91–94. [Google Scholar] [CrossRef][Green Version]
- Huang, J.; Wei, L.; Zhou, H.; Yuan, H.; Tian, Y.; Wang, Q. Effects of Shading on the Growth and Physiological and Biochemical Characteristics of Parashorea cathayensis. J. Southwest Norm. Univ. (Nat. Sci. Ed.) 2021, 46, 74–79. (In Chinese) [Google Scholar]
- Dai, Y.; Shen, Z.; Liu, Y.; Wang, L.; Hannaway, D.; Lu, H. Effects of Shade Treatments on the Photosynthetic Capacity, Chlorophyll Fluorescence, and Chlorophyll Content of Tetrastigma Hemsleyanum Diels et Gilg. Environ. Exp. Bot. 2009, 65, 177–182. [Google Scholar] [CrossRef]
- Szechyńska-Hebda, M.; Karpiński, S. Light Intensity-Dependent Retrograde Signalling in Higher Plants. J. Plant Physiol. 2013, 170, 1501–1516. [Google Scholar] [CrossRef] [PubMed]
- Sultan, S.E. Phenotypic Plasticity for Plant Development, Function and Life History. Trends Plant Sci. 2000, 5, 537–542. [Google Scholar] [CrossRef] [PubMed]
- Pokhrel, A.; Snider, J.L.; Virk, S.; Sintim, H.Y.; Hand, L.C.; Vellidis, G.; Parkash, V.; Chalise, D.P.; Lee, J.M. Quantifying Physiological Contributions to Nitrogen-Induced Yield Variation in Field-Grown Cotton. Field Crops Res. 2023, 299, 108976. [Google Scholar] [CrossRef]
- Li, D.; Jin, Y.; Cui, M.; Huang, L.; Pei, W. Effects of Shading on Physiological Characteristics and Ultrastructure of Mesophyll Cell of Emmenopterys henryi Leaves. Bull. Bot. Res. 2020, 40, 29–40. (In Chinese) [Google Scholar]
- Zhang, L.; Zhang, D. Gender Differences in Growth and Physiological Respond of Phellodendron amurense Rupr. in Condition of Overshadow. Bull. Bot. Res. 2020, 40, 735–742. (In Chinese) [Google Scholar]
- Bilen, C.; El Chami, D.; Mereu, V.; Trabucco, A.; Marras, S.; Spano, D. A Systematic Review on the Impacts of Climate Change on Coffee Agrosystems. Plants 2022, 12, 102. [Google Scholar] [CrossRef]
- Xu, F.; Guo, W.; Xu, W.; Wei, Y.; Wang, R. Leaf Morphology Correlates with Water and Light Availability: What Consequences for Simple and Compound Leaves? Prog. Nat. Sci. 2009, 19, 1789–1798. [Google Scholar] [CrossRef]
- Guenni, O.; Romero, E.; Guédez, Y.; Bravo De Guenni, L.; Pittermann, J. Influence of Low Light Intensity on Growth and Biomass Allocation, Leaf Photosynthesis and Canopy Radiation Interception and Use in Two Forage Species of Centrosema (DC.) Benth. Grass Forage Sci. 2018, 73, 967–978. [Google Scholar] [CrossRef]
- Kishore, K.; Rupa, T.R.; Samant, D. Influence of Shade Intensity on Growth, Biomass Allocation, Yield and Quality of Pineapple in Mango-Based Intercropping System. Sci. Hortic. 2021, 278, 109868. [Google Scholar] [CrossRef]
- Mailly, D.; Kimmins, J.P. Growth of Pseudotsuga Menziesii and Tsuga Heterophylla Seedlings along a Light Gradient: Resource Allocation and Morphological Acclimation. Can. J. Bot. 1997, 75, 1424–1435. [Google Scholar] [CrossRef]
- Wang, L.; Yan, Z.; Li, J.; Wang, J.; He, Q.; Su, Y.; Chen, B.; Ma, J.; Dong, J. Effects of Exponential Fertilization on Biomass Allocation and Root Morphology of Catalpa bungei Clones. Acta Ecol. Sin. 2012, 32, 7452–7462. (In Chinese) [Google Scholar] [CrossRef][Green Version]
- Wei, R.; Hu, D.; Chen, J.; Shi, J. Study on the Response of Root Morphology and Nutrient Utilization of Cunninghamia lanceolata Clones under Low Phosphorus Stress. J. Nanjing For. Univ. (Nat. Sci. Ed.) 2018, 42, 1–8. (In Chinese) [Google Scholar]
- Liu, S.; Chen, L.; Yang, B.; Jia, H.; Pang, S.; Zhang, P.; Wang, H. Effects of Nitrogen and Phosphorus Fertilizers on Biomass Allocation and Root Morphology of Betula albosinensis Clones. J. Nanjing For. Univ. (Nat. Sci. Ed.) 2019, 43, 23–29. (In Chinese) [Google Scholar]
- Cao, P.; Ren, Y.; Zhang, K.; Teng, W.; Zhao, X.; Dong, Z.; Liu, X.; Qin, H.; Li, Z.; Wang, D.; et al. Further Genetic Analysis of a Major Quantitative Trait Locus Controlling Root Length and Related Traits in Common Wheat. Mol. Breed. 2014, 33, 975–985. [Google Scholar] [CrossRef]
- Chen, Q.; Huang, X.; Jiang, D.; Ren, K.; Rong, J.; Chen, L.; Zheng, Y. Effects of Shading on the Growth and Biomass of Fokienia hodginsii Seedlings. J. Fujian Agric. For. Univ. (Nat. Sci. Ed.) 2020, 49, 796–802. (In Chinese) [Google Scholar]
- Li, D.; Xiang, Q. The Influence of Light Conditions on the Growth and Photosynthetic Characteristics of Phoebe chekiangensis Seedlings. J. Nanjing For. Univ. (Nat. Sci. Ed.) 2004, 5, 27–31. [Google Scholar]
- Zhang, L.; Zhang, J.; Jiao, Z.; Hao, R. Diurnal Changes in Photosynthetic Characteristics of Three Ilex Species under Different Light Conditions. J. Northwest Bot. 2006, 26, 490–495. (In Chinese) [Google Scholar]
- Sun, X.; He, J.; Huang, X.; Ping, J.; Ge, J. The Effect of Different Light Intensities on the Growth and Chlorophyll Fluorescence of Solidago canadensis. J. Northwest Bot. 2008, 4, 4752–4758. (In Chinese) [Google Scholar]
- Glasby, T.M. Effects of Shading on Subtidal Epibiotic Assemblages. J. Exp. Mar. Biol. Ecol. 1999, 234, 275–290. [Google Scholar] [CrossRef]
- Steckel, L.E.; Sprague, C.L.; Hager, A.G.; Simmons, F.W.; Bollero, G.A. Effects of Shading on Common Waterhemp (Amaranthus rudis) Growth and Development. Weed Sci. 2003, 51, 898–903. [Google Scholar] [CrossRef]
- Wang, Z.; Wang, C. Individual and Interactive Responses of Woody Plants’ Biomass and Leaf Traits to Drought and Shade. Glob. Ecol. Biogeogr. 2023, 32, 35–48. [Google Scholar] [CrossRef]
- Chen, M.; Tang, Y. Chlorophyll Fluorescence Characteristics of Amaranthus under High Temperature Stress. Chin. J. Ecol. 2013, 32, 1813–1818. (In Chinese) [Google Scholar]
- Yuan, Y.; Wu, C.; Liu, L.; Ma, Q.; Yang, Q.; Feng, B. Unravelling the Distinctive Growth Mechanism of Proso Millet (Panicum miliaceum L.) under Salt Stress: From Root-to-leaf Adaptations to Molecular Response. GCB Bioenergy 2022, 14, 192–214. [Google Scholar] [CrossRef]






| Shading Treatment | Comprehensive Index Value | Subordinate Function Values | D | Sort | ||||||||
|---|---|---|---|---|---|---|---|---|---|---|---|---|
| C (1) | C (2) | C (3) | C (4) | C (5) | U (1) | U (2) | U (3) | U (4) | U (5) | |||
| 0% | −3.09 | −0.59 | −0.77 | −0.68 | 0.54 | 0.00 | 0.00 | 0.00 | 0.00 | 0.91 | 0.10 | 4 |
| 40% | −0.59 | −0.30 | −0.17 | 1.21 | −0.44 | 0.40 | 0.37 | 0.37 | 1.00 | 0.23 | 0.41 | 3 |
| 60% | 3.22 | 0.24 | 0.05 | −0.49 | 0.66 | 1.00 | 0.50 | 0.50 | 0.10 | 1.00 | 0.63 | 1 |
| 80% | 0.46 | 0.66 | 0.89 | −0.04 | −0.76 | 0.56 | 1.00 | 1.00 | 0.34 | 0.00 | 0.61 | 2 |
| Weighting | 0.31 | 0.25 | 0.14 | 0.12 | 0.11 | |||||||
Disclaimer/Publisher’s Note: The statements, opinions and data contained in all publications are solely those of the individual author(s) and contributor(s) and not of MDPI and/or the editor(s). MDPI and/or the editor(s) disclaim responsibility for any injury to people or property resulting from any ideas, methods, instructions or products referred to in the content. |
© 2023 by the authors. Licensee MDPI, Basel, Switzerland. This article is an open access article distributed under the terms and conditions of the Creative Commons Attribution (CC BY) license (https://creativecommons.org/licenses/by/4.0/).
Share and Cite
Xue, G.; Wu, J.; Zhou, B.; Zhu, X.; Zeng, J.; Ma, Y.; Wang, Y.; Jia, H. Effects of Shading on the Growth and Photosynthetic Fluorescence Characteristics of Castanopsis hystrix Seedlings of Top Community-Building Species in Southern Subtropical China. Forests 2023, 14, 1659. https://doi.org/10.3390/f14081659
Xue G, Wu J, Zhou B, Zhu X, Zeng J, Ma Y, Wang Y, Jia H. Effects of Shading on the Growth and Photosynthetic Fluorescence Characteristics of Castanopsis hystrix Seedlings of Top Community-Building Species in Southern Subtropical China. Forests. 2023; 14(8):1659. https://doi.org/10.3390/f14081659
Chicago/Turabian StyleXue, Guangyu, Junduo Wu, Bingjiang Zhou, Xueping Zhu, Ji Zeng, Yue Ma, Yanan Wang, and Hongyan Jia. 2023. "Effects of Shading on the Growth and Photosynthetic Fluorescence Characteristics of Castanopsis hystrix Seedlings of Top Community-Building Species in Southern Subtropical China" Forests 14, no. 8: 1659. https://doi.org/10.3390/f14081659
APA StyleXue, G., Wu, J., Zhou, B., Zhu, X., Zeng, J., Ma, Y., Wang, Y., & Jia, H. (2023). Effects of Shading on the Growth and Photosynthetic Fluorescence Characteristics of Castanopsis hystrix Seedlings of Top Community-Building Species in Southern Subtropical China. Forests, 14(8), 1659. https://doi.org/10.3390/f14081659
