Properties of Plywood Made of Thermally Treated Veneers Bonded with Castor Oil-Based Polyurethane Adhesive
Abstract
1. Introduction
2. Materials and Methods
2.1. Materials
2.2. Treatment Veneers
2.3. Test Applied to Veneers
2.3.1. Chemical Analyses
2.3.2. Surface Roughness
2.3.3. Wettability
2.4. Plywood Preparation
2.5. Physical Properties of Plywood
2.6. Mechanical Properties of Plywood
2.7. Data Analysis
3. Results
3.1. Chemical Analyses of Veneers
3.2. Roughness of Veneers
3.3. Wettability of Veneers
3.4. Physical Properties of Plywood Samples
3.5. Mechanical Properties of Plywood Samples
4. Discussion
5. Conclusions
- There were no significant differences between the veneers treated using the HT and TM processes under the conditions carried out in this experiment;
- Heating above 160 °C for 30 min is sufficient for changes in the veneer, such as to soften the wood material and reduce its roughness;
- The treatment increased the lignin content, while decreasing hemicellulose. In consequence, there was a reduction in the equilibrium moisture content and the contact angles with water, expressing the wettability, thereby producing veneers with hydrophobic characteristics;
- The reduction in strength and stiffness was not statistically significant;
- There was a reduction in tensile rupture in the glue line of at least 20% affected due to the heat treatment. This means that the glue ability of veneers can simultaneously be dependent on the combination of several parameters, including its roughness and wettability;
- This study provides a technical baseline that can help in the development of new panel protection technologies. In terms of treatment, although the results in general were not so different, the treatment in hot-press at 180 °C indicated better performance at analyzing all parameters.
Author Contributions
Funding
Data Availability Statement
Acknowledgments
Conflicts of Interest
References
- Järvinen, J.; Ilgın, H.E.; Karjalainen, M. Wood Preservation Practices and Future Outlook: Perspectives of Experts from Finland. Forests 2022, 13, 1044. [Google Scholar] [CrossRef]
- Martín, J.A.; López, R. Biological Deterioration and Natural Durability of Wood in Europe. Forests 2023, 14, 283. [Google Scholar] [CrossRef]
- Bekhta, P.; Pipíška, T.; Gryc, V.; Sedliačik, J.; Král, P.; Ráheľ, J.; Vaněrek, J. Properties of Plywood Panels Composed of Thermally Densified and Non-Densified Alder and Birch Veneers. Forests 2023, 14, 96. [Google Scholar] [CrossRef]
- Jones, D.; Sandberg, D. A Review of Wood Modification Globally—Updated Findings from COST FP1407. Interdiscip. Perspect. Built Environ. 2020, 1, 1–31. [Google Scholar] [CrossRef]
- Ferreira, B.S.; Arroyo, F.N.; Kondo, M.Y.; Santos, H.F.d.; Barreto, R.L.; Dias, A.M.P.G.; Lahr, F.A.R.; Christoforo, A.L.; Campos, C.I.d. Physical and Mechanical Properties of Plywood Produced with Thermally Treated Pinus taeda Veneers. Forests 2022, 13, 1398. [Google Scholar] [CrossRef]
- Lovric, A.; Zdravkovic, V.; Popadic, R.; Milic, G. Properties of Plywood Boards Composed of Thermally Modified and Non-Modified Poplar Veneer. BioResources 2017, 12, 8581–8594. [Google Scholar] [CrossRef]
- Chotikhun, A.; Kittijaruwattana, J.; Lee, S.H.; Salca, E.-A.; Arsyad, W.O.M.; Hadi, Y.S.; Neimsuwan, T.; Hiziroglu, S. Characterization of Plywood Made from Heat-Treated Rubberwood Veneers Bonded with Melamine Urea Formaldehyde Resin. J. Wood Sci. 2023, 69, 23. [Google Scholar] [CrossRef]
- Hunt, C.G.; Frihart, C.R.; Dunky, M.; Rohumaa, A. Understanding Wood Bonds-Going beyond What Meets the Eye: A Critical Review. Rev. Adhes. Adhes. 2018, 6, 369–463. [Google Scholar] [CrossRef]
- Carvalho, A.G.; De Andrade, B.G.; Donato, D.B.; Da Silva, C.M.S.; Carneiro, A.D.O.; De Castro, V.R.; Zanuncio , A.J.V. Bonding Performance of Structural Adhesives on Heat-Treated Mimosa Scabrella and Pinus Oocarpa Wood. Cellul. Chem. Technol. 2020, 54, 663–668. [Google Scholar] [CrossRef]
- Bekhta, P.; Salca, E.A.; Lunguleasa, A. Some Properties of Plywood Panels Manufactured from Combinations of Thermally Densified and Non-Densified Veneers of Different Thicknesses in One Structure. J. Build. Eng. 2020, 29, 101116. [Google Scholar] [CrossRef]
- Ding, T.; Cheng, Y.; Jiang, T. Preparation and Characterization of Heat-Treated Douglas Fir Wood with Core–Shell Structure. Forests 2022, 13, 825. [Google Scholar] [CrossRef]
- Da Costa, L.J.; Paula, E.A.d.O.; de Melo, R.R.; Scatolino, M.V.; de Albuquerque, F.B.; de Oliveira, R.R.A.; de Souza, J.A.G.; da Silva, A.K.V.; Dos Santos, M.E.C.; Junior, F.R. Improvement of the Properties of Hardboard with Heat Treatment Application. Rev. Mater. 2023, 28, 11. [Google Scholar] [CrossRef]
- Bekhta, P.; Proszyk, S.; Krystofiak, T.; Sedliacik, J.; Novak, I.; Mamonova, M. Effects of Short-Term Thermomechanical Densification on the Structure and Properties of Wood Veneers. Wood Mater. Sci. Eng. 2015, 12, 40–54. [Google Scholar] [CrossRef]
- Bekhta, P. Effect of Heat Treatment on Some Physical and Mechanical Properties of Birch Plywood. Eur. J. Wood Wood Prod. 2020, 78, 683–691. [Google Scholar] [CrossRef]
- Ferreira, B.S.; de Campos, C.I.; Rangel, E.C. Effect of heat treatment on the bonding quality of wood veneers to plywood production. Cienc. Florest. 2018, 28, 274–282. [Google Scholar] [CrossRef]
- Esteves, B.; Ayata, U.; Cruz-Lopes, L.; Brás, I.; Ferreira, J.; Domingos, I. Extractives in Thermally Modified Tropical Hardwoods. Maderas Cienc. Y Tecnol. 2022, 24, 1–14. [Google Scholar] [CrossRef]
- Rohumaa, A.; Kallakas, H.; Mäetalu, M.; Savest, N.; Kers, J. The Effect of Surface Properties on Bond Strength of Birch, Black Alder, Grey Alder and Aspen Veneers. Int. J. Adhes. Adhes. 2021, 110, 102945. [Google Scholar] [CrossRef]
- Chu, D.; Mu, J.; Avramidis, S.; Rahimi, S.; Lai, Z.; Ayanleye, S. Effect of Heat Treatment on Bonding Performance of Poplar via an Insight into Dynamic Wettability and Surface Strength Transition from Outer to Inner Layers. Holzforschung 2020, 74, 777–787. [Google Scholar] [CrossRef]
- Can, A.; Krystofiak, T.; Lis, B. Shear and Adhesion Strength of Open and Closed System Heat-Treated Wood Samples. Maderas Cienc. Y Tecnol. 2021, 23, 1–10. [Google Scholar] [CrossRef]
- Sugahara, E.; Casagrande, B.; Arroyo, F.; De Araujo, V.; Santos, H.; Faustino, E.; Christoforo, A.; Campos, C. Comparative Study of Plywood Boards Produced with Castor Oil-Based Polyurethane and Phenol-Formaldehyde Using Pinus taeda L. Veneers Treated with Chromated Copper Arsenate. Forests 2022, 13, 1144. [Google Scholar] [CrossRef]
- Chen, Y.-C.; Tai, W. Castor Oil-Based Polyurethane Resin for Low-Density Composites with Bamboo Charcoal. Polymers 2018, 10, 1100. [Google Scholar] [CrossRef]
- Chen, Y.H.; Wu, C.H.; Chen, Y.C. Optimized Condition for Eco-Friendly Wood Composites Manufactured from Castor Oil-Based Polyurethane. Constr. Build. Mater. 2021, 306, 124789. [Google Scholar] [CrossRef]
- Galdino, D.S.; Kondo, M.Y.; De Araujo, V.A.; Larisa, G.; Arce, A.; Faustino, E.; Ferreira, H.; Christoforo, L.; Manuel, C.; Luna, R.; et al. Thermal and Gluing Properties of Phenol-Based Resin with Lignin for Potential Application in Structural Composites. Polymers 2023, 15, 357. [Google Scholar] [CrossRef]
- Ferreira, B.S.; Silva, J.V.F.; de Campos, C.I. Static Bending Strength of Heat-Treated and Chromated Copper Arsenate-Treated Plywood. BioResources 2017, 12, 6276–6282. [Google Scholar] [CrossRef]
- TAPPI T-257; Sampling and Preparing Wood for Analysis. Tappi Press: Atlanta, GA, USA, 2021.
- ASTM D1106-21; Standard Test Method for Acid-Insoluble Lignin in Wood. ASTM International: West Conshohocken, PA, USA, 2021.
- ABNT NBR 9485; PLYWOOD—Determination of the Specific Apparent Mass. ABNT: São Paulo, Brazil, 2022.
- ABNT NBR 9484; PLYWOOD—Determination of Moisture Content. ABNT: São Paulo, Brazil, 2011.
- ABNT NBR 9486; PLYWOOD—Determination of Water Absorption. ABNT: São Paulo, Brazil, 2011.
- ABNT NBR 9535; PLYWOOD—Determination of Swelling—Test Method. ABNT: São Paulo, Brazil, 2011.
- ABNT NBR 9533; PLYWOOD—Determination of Bending Resistance. ABNT: São Paulo, Brazil, 2013.
- ABNT NBR ISO 12466-1; PLYWOOD—Bonding Quality Part 1: Test Methods. ABNT: São Paulo, Brazil, 2012.
- Esteves, B.; Ferreira, H.; Viana, H.; Ferreira, J.; Domingos, I.; Cruz-Lopes, L.; Jones, D.; Nunes, L. Termite Resistance, Chemical and Mechanical Characterization of Paulownia Tomentosa Wood before and after Heat Treatment. Forests 2021, 12, 1114. [Google Scholar] [CrossRef]
- Li, D.; Yang, S.; Liu, Z.; Wang, Z.; Ji, N.; Liu, J. Effects of Heat Treatment under Different Pressures on the Properties of Bamboo. Polymers 2023, 15, 3074. [Google Scholar] [CrossRef]
- Mecca, M.; D’Auria, M.; Todaro, L. Effect of Heat Treatment on Wood Chemical Composition, Extraction Yield and Quality of the Extractives of Some Wood Species by the Use of Molybdenum Catalysts. Wood Sci. Technol. 2019, 53, 119–133. [Google Scholar] [CrossRef]
- Kučerová, V.; Lagaňa, R.; Hýrošová, T. Changes in Chemical and Optical Properties of Silver Fir (Abies alba L.) Wood Due to Thermal Treatment. J. Wood Sci. 2019, 65, 21. [Google Scholar] [CrossRef]
- Bekhta, P.; Salca, E.-A. Influence of Veneer Densification on the Shear Strength and Temperature Behavior inside the Plywood during Hot Press. Constr. Build. Mater. 2018, 162, 20–26. [Google Scholar] [CrossRef]
- Börcsök, Z.; Pásztory, Z. The Role of Lignin in Wood Working Processes Using Elevated Temperatures: An Abbreviated Literature Survey. Eur. J. Wood Wood Prod. 2021, 79, 511–526. [Google Scholar] [CrossRef]
- Krystofiak, T.; Can, A.; Lis, B. Investigation of Roughness and Adhesion Strength Properties of Pine and Poplar Wood Heat Treated in Air and under Vacuum after Artificial Aging. Coatings 2022, 12, 1910. [Google Scholar] [CrossRef]
- Arpaci, S.S.; Tomak, E.D.; Ermeydan, M.A.; Yildirim, I. Natural Weathering of Sixteen Wood Species: Changes on Surface Properties. Polym. Degrad. Stab. 2021, 183, 109415. [Google Scholar] [CrossRef]
- Gao, Y.; Fu, Z.; Zhou, Y.; Gao, X.; Zhou, F.; Cao, H. Moisture-Related Shrinkage Behavior of Wood at Macroscale and Cellular Level. Polymers 2022, 14, 5045. [Google Scholar] [CrossRef]
- Leroy, A.; Falourd, X.; Foucat, L.; Méchin, V.; Guillon, F.; Paës, G. Biotechnology for Biofuels Evaluating Polymer Interplay after Hot Water Pretreatment to Investigate Maize Stem Internode Recalcitrance. Biotechnol. Biofuels 2021, 14, 164. [Google Scholar] [CrossRef] [PubMed]
- Bao, M.; Huang, X.; Jiang, M.; Li, N.; Yu, Y.; Yu, W. Study on the Changes in Surface Characteristics of Populus Tomentosa Due to Thermo-Hydro-Process. J. Wood Sci. 2018, 64, 264–278. [Google Scholar] [CrossRef]
- Brazilian Association of the Mechanically Processed Wood Industry. Pine Plywood Panel Requirements; ABIMCI: Curitiba, Brazil, 2007. [Google Scholar]
- Shangguan, W.; Gong, Y.; Zhao, R.; Ren, H. Effects of Heat Treatment on the Properties of bamboo scrimber. J. Wood Sci. 2016, 62, 383–391. [Google Scholar] [CrossRef]
- Farajollah Pour, M.; Edalat, H.; Valizadeh Kiamahalleh, M.; Doost Hoseini, K. Microwave-Assisted Laminated Veneer Lumber (LVL): Investigation on the Effect of Preheating Time and Moisture Content on Resin Penetration and Bonding Quality. Constr. Build. Mater. 2021, 304, 124677. [Google Scholar] [CrossRef]
- Budhe, S.; Banea, M.D.; Ghugal, S.; de Barros, S. Effects of Heat Treatment on the Behavior of Teak Wood Adherends Bonded Joints. Appl. Adhes. Sci. 2020, 8, 1. [Google Scholar] [CrossRef]








| Treatment | Temp. (°C) | Holocellulose | Cellulose | Hemicellulose | Lignin | Extractives |
|---|---|---|---|---|---|---|
| Control | 67.28 (0.06) a 1 | 43.17 (0.38) ab | 24.11 (0.34) a | 26.11 (0.06) a | 6.58 (0.11) a | |
| HT | 160 | 66.23 (0.34) ab | 43.37 (0.19) a | 22.85 (0.49) b | 26.80 (0.34) a | 6.97 (0.10) b |
| HT | 180 | 64.99 (0.69) b | 42.88 (0.41) ab | 22.11 (0.28) bc | 29.51 (0.69) c | 6.50 (0.05) a |
| HT | 200 | 61.64 (0.48) d | 41.12 (0.13) d | 20.52 (0.35) d | 31.80 (0.48) d | 6.56 (0.10) a |
| TM | 160 | 63.54 (0.18) c | 42.47 (0.24) bc | 21.24 (0.16) cd | 27.94 (0.18) b | 8.52 (0.40) d |
| TM | 180 | 62.65 (0.31) cd | 41.99 (0.18) c | 20.33 (0.14) d | 30.03 (0.27) c | 7.65 (0.12) c |
| TM | 200 | 57.41 (0.76) e | 41.94 (0.09) c | 15.14 (0.49) e | 35.24 (0.45) e | 7.68 (0.09) c |
| Treatment | Temp. (°C) | Density (kg/m3) | EMC (%) | WA (%) | TS (%) |
|---|---|---|---|---|---|
| Control | 592 (57) a 1 | 7.59 (1.02) a | 41.18 (9.27) a | 4.90 (0.58) a | |
| HT | 160 | 566 (43) ab | 6.95 (0.56) a | 33.71 (5.09) b | 4.26 (0.21) ab |
| HT | 180 | 528 (42) b | 6.34 (0.42) ab | 34.30 (7.29) b | 3.81 (0.22) ab |
| HT | 200 | 567 (45) ab | 6.11 (0.41) ab | 29.55 (6.98) b | 3.65 (0.55) ab |
| TM | 160 | 563 (19) ab | 6.99 (1.33) a | 30.67 (5.74) b | 4.68 (0.62) ab |
| TM | 180 | 553 (27) ab | 6.42 (1.08) ab | 30.38 (5.05) b | 4.67 (0.48) ab |
| TM | 200 | 525 (12) ab | 5.78 (0.78) b | 30.94 (4.06) b | 3.46 (0.38) b |
| Cellulose | Hemicellulose | Lignin | Extractives | Roughness | EMC | Contact Angle | |
|---|---|---|---|---|---|---|---|
| Roughness | 0.661 n.s. 1 | 0.422 n.s. | −0.576 n.s. | 0.139 n.s. | x | x | x |
| EMC | 0.601 n.s. | 0.979 *** | −0.882 *** | −0.631 *** | 0.368 n.s. | x | x |
| Contact angle | −0.652 n.s | −0.744 * | 0.764 * | −0.392 n.s. | −0.651 n.s. | −0.748 * | x |
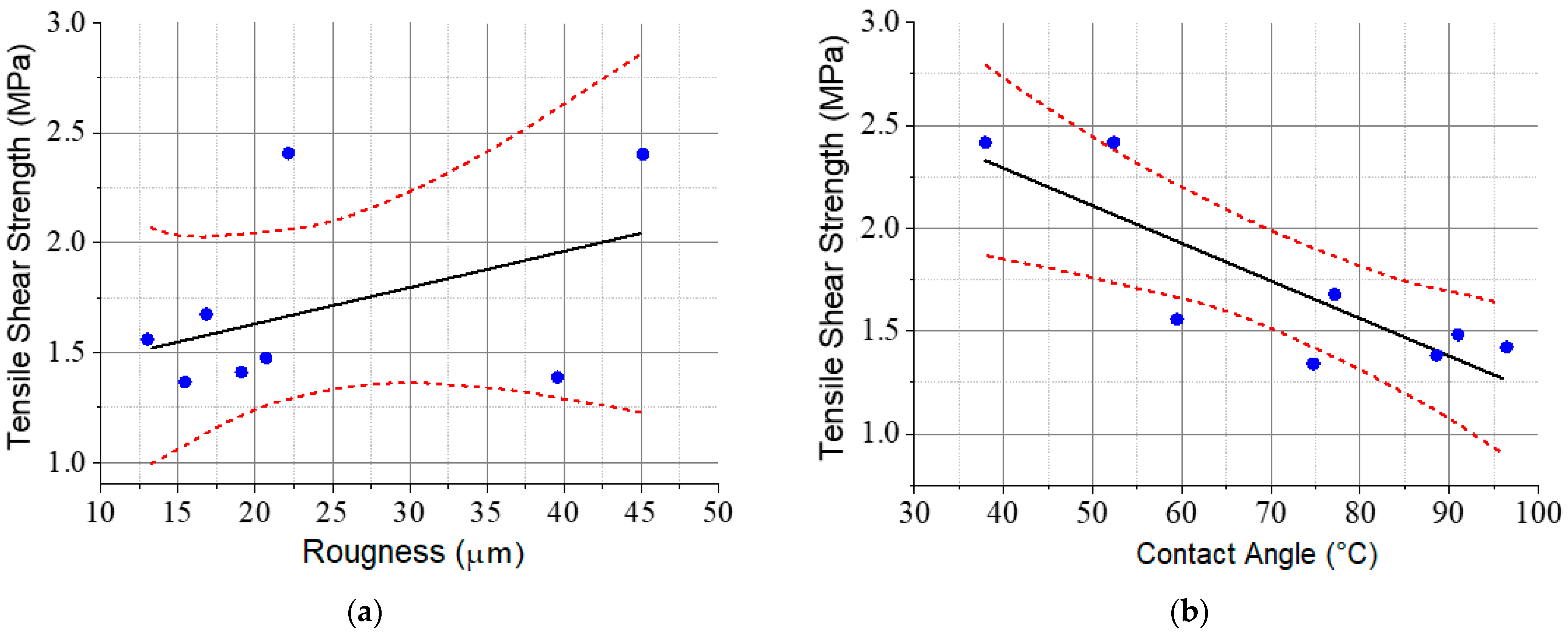
| Glue line | 0.502 n.s | 0.643 n.s. | −0.655 n.s. | −0.360 n.s. | 0.740 * | 0.618 n.s. | −0.891 *** |
Disclaimer/Publisher’s Note: The statements, opinions and data contained in all publications are solely those of the individual author(s) and contributor(s) and not of MDPI and/or the editor(s). MDPI and/or the editor(s) disclaim responsibility for any injury to people or property resulting from any ideas, methods, instructions or products referred to in the content. |
© 2023 by the authors. Licensee MDPI, Basel, Switzerland. This article is an open access article distributed under the terms and conditions of the Creative Commons Attribution (CC BY) license (https://creativecommons.org/licenses/by/4.0/).
Share and Cite
Galdino, D.S.; Silva, M.F.F.; Arroyo, F.N.; Rangel, E.C.; Caraschi, J.C.; Santos, H.F.d.; de Freitas, L.; Christoforo, A.L.; de Campos, C.I. Properties of Plywood Made of Thermally Treated Veneers Bonded with Castor Oil-Based Polyurethane Adhesive. Forests 2023, 14, 1635. https://doi.org/10.3390/f14081635
Galdino DS, Silva MFF, Arroyo FN, Rangel EC, Caraschi JC, Santos HFd, de Freitas L, Christoforo AL, de Campos CI. Properties of Plywood Made of Thermally Treated Veneers Bonded with Castor Oil-Based Polyurethane Adhesive. Forests. 2023; 14(8):1635. https://doi.org/10.3390/f14081635
Chicago/Turabian StyleGaldino, Danilo Soares, Maria Fernanda Felippe Silva, Felipe Nascimento Arroyo, Elidiane Cipriano Rangel, José Cláudio Caraschi, Herisson Ferreira dos Santos, Ludmila de Freitas, André Luis Christoforo, and Cristiane Inácio de Campos. 2023. "Properties of Plywood Made of Thermally Treated Veneers Bonded with Castor Oil-Based Polyurethane Adhesive" Forests 14, no. 8: 1635. https://doi.org/10.3390/f14081635
APA StyleGaldino, D. S., Silva, M. F. F., Arroyo, F. N., Rangel, E. C., Caraschi, J. C., Santos, H. F. d., de Freitas, L., Christoforo, A. L., & de Campos, C. I. (2023). Properties of Plywood Made of Thermally Treated Veneers Bonded with Castor Oil-Based Polyurethane Adhesive. Forests, 14(8), 1635. https://doi.org/10.3390/f14081635

