Multi-Agent Evolutionary Game Strategy for Ecotourism Development in National Parks: A Case Study of Wuyishan National Park
Abstract
1. Introduction
2. Literature Review
3. Construction of a Tripartite Evolutionary Game Model
3.1. Model Hypotheses
3.2. Model Construction
4. Analysis of Tripartite Evolutionary Stability Strategy
4.1. Tripartite Evolutionary Stability Strategy Solutions
4.2. Stability Analysis of Equilibrium Points
5. Simulation Analysis Using Wuyishan National Park as a Case Study
5.1. Influence of Different Initial Probabilities on the Stability of the Evolutiuonary Game System
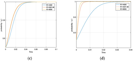
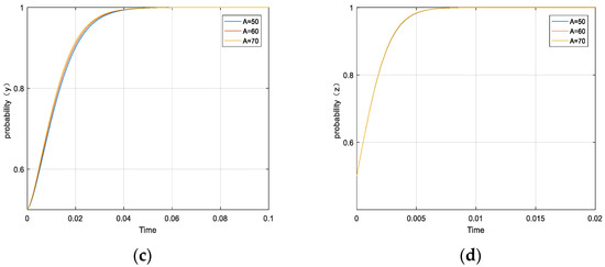
5.2. Sensitivity Analysis of Key Elements
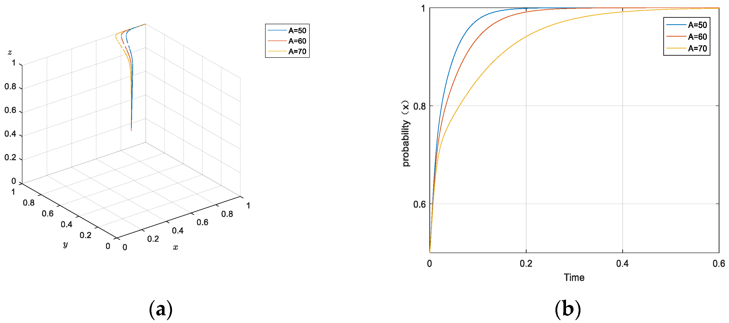
5.2.1. Impact of A on System Evolution
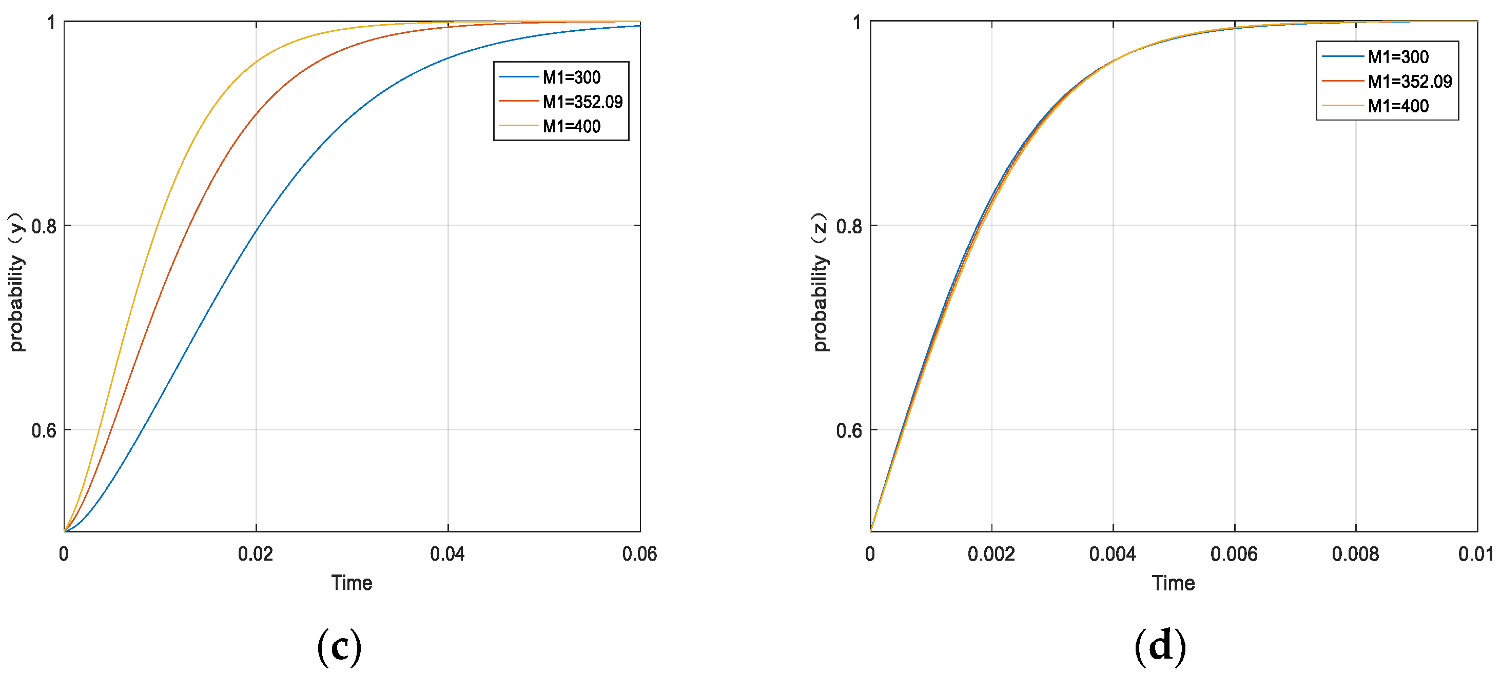
5.2.2. Impact of on System Evolution
5.2.3. Impact of on System Evolution
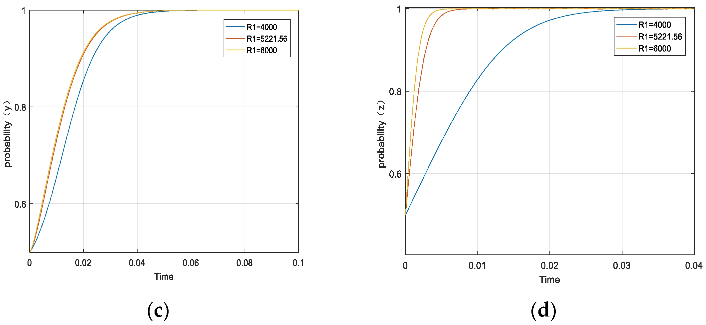
5.2.4. Impact of on System Evolution
6. Discussions
7. Conclusions
Author Contributions
Funding
Data Availability Statement
Conflicts of Interest
References
- Cai, X.; Su, Y. From conflict to symbiosis: The institutional logic of national parks in the construction of ecological civilization. Manag. World 2022, 38, 131–154. [Google Scholar] [CrossRef]
- Wang, J.-H.Z. National parks in China: Parks for people or for the nation? Land Use Policy 2019, 81, 825–833. [Google Scholar] [CrossRef]
- Zhang, Z.; Cao, J.; Luo, Y. Tourism or recreation? Rethink the expression of the public use in Chinese national parks. J. Nat. Resour. 2019, 34, 1797–1806. [Google Scholar] [CrossRef]
- National Forestry and Grassland Administration. Notice of Forestry and Grass Administration on Issuing Interim Measures for National Park Management; Bulletin of The State Council of the People’s Republic of China; National Forestry and Grassland Administration: Beijing, China, 2022; pp. 52–56. [Google Scholar]
- Bessa, E.; Geffroy, B.; Gonçalves-De-Freitas, E. Tourism impact on stream fish measured with an ecological and a behavioural indicator. Aquat. Conserv. 2017, 27, 1281–1289. [Google Scholar] [CrossRef]
- Ma, Y.; Li, L. Tourism development of national parks: International experience and Chinese practice. Tour. Sci. 2017, 31, 33–50. [Google Scholar] [CrossRef]
- Peng, J.; Chen, X.; Wang, J. Applying relative deprivation theory to study the attitudes of host community residents towards tourism: The case study of the Zhangjiang National Park, China. Curr. Issues Tour. 2016, 19, 734–754. [Google Scholar] [CrossRef]
- Wang, B.; He, S.; Min, Q.; Yang, X. Conflict or coexistence? Synergies between nature conservation and traditional tea industry development in Wuyishan National Park, China. Front. Sustain. Food Syst. 2023, 6, 991847. [Google Scholar] [CrossRef]
- Liao, H.; Ning, Z. Practice summary and system advancement of zoning control of national parks. China Environ. Manag. 2021, 13, 64–70. [Google Scholar] [CrossRef]
- Liang, Y.; Yin, J.; Pan, B.; Lin, M.S.; Miller, L.; Taff, B.D.; Chi, G. Assessing the validity of mobile device data for estimating visitor demographics and visitation patterns in Yellowstone National Park. J. Environ. Manag. 2022, 317, 115410. [Google Scholar] [CrossRef]
- Barker, A.; Stockdale, A. Out of the wilderness? Achieving sustainable development within Scottish national parks. J. Environ. Manag. 2008, 88, 181–193. [Google Scholar] [CrossRef] [PubMed]
- Zhong, L.; Xiao, L. Path selection and research topics of national park system pilot construction in China. Resour. Sci. 2017, 39, 1–10. [Google Scholar] [CrossRef]
- Wang, H.-X.; Shao, J.-L.; Yu, S.-T.; Wang, Y.-H.; Feng, Y. Prospect of the development of Northeast Tiger and Leopard National Park based on the theory of rewilding: Comments on the thought and practice of wilderness protection. J. Nat. Resour. 2021, 36, 2955–2965. [Google Scholar] [CrossRef]
- Yu, H.; Chen, T.; Zhong, L.; Zhou, R. Study on functional zoning of Qianjiangyuan National Park system pilot area. Resour. Sci. 2017, 39, 20–29. [Google Scholar] [CrossRef][Green Version]
- Bell, J.; Stockdale, A. Evolving national park models: The emergence of an economic imperative and its effect on the contested nature of the ‘national’ park concept in Northern Ireland. Land Use Policy 2015, 49, 213–226. [Google Scholar] [CrossRef][Green Version]
- Xiao, L.; Zhong, L.; Zhou, R.; Yu, H. Research progress and implications of national parks abroad in recent 30 years. Prog. Geogr. 2017, 36, 244–255. [Google Scholar] [CrossRef][Green Version]
- Slocum, S.L. Operationalising both sustainability and neo-liberalism in protected areas: Implications from the USA’s National Park Service’s evolving experiences and challenges. J. Sustain. Tour. 2017, 25, 1848–1864. [Google Scholar] [CrossRef]
- Getzner, M.; Švajda, J. Preferences of tourists with regard to changes of the landscape of the Tatra National Park in Slovakia. Land Use Policy 2015, 48, 107–119. [Google Scholar] [CrossRef]
- Cetin, M.; Sevik, H. Evaluating the recreation potential of Ilgaz Mountain National Park in Turkey. Environ. Monit. Assess. 2016, 188, 1–10. [Google Scholar] [CrossRef]
- Li, L.; Yang, A.; Wang, J. Evaluation and optimization of the perceived recreation value of forest parks in the context of national parks: A case study of Horseshoe Temple Forest Park. For. Resour. Manag. 2022, 164–171. [Google Scholar] [CrossRef]
- Cetinkaya, G.; Kambu, A.; Nakamura, K. Sustainable Development and Natural Resource Management: An Example from Köprülü Kanyon National Park, Turkey. Sustain. Dev. 2014, 22, 63–72. [Google Scholar] [CrossRef]
- Randle, E.J.; Hoye, R. Stakeholder perception of regulating commercial tourism in Victorian National Parks, Australia. Tour. Manag. 2016, 54, 138–149. [Google Scholar] [CrossRef]
- Hansen, A.J.; Piekielek, N.; Davis, C.; Haas, J.; Theobald, D.M.; Gross, J.E.; Monahan, W.B.; Olliff, T.; Running, S.W. Exposure of U.S. National Parks to land use and climate change 1900–2100. Ecol. Appl. 2014, 24, 484–502. [Google Scholar] [CrossRef]
- Cater, E.; Ceballos-Lascurain, H. Tourism, ecotourism, and protected areas: The state of nature-based tourism around the World and Guidelines for Its Development. Geogr. J. 1998, 164, 349–350. [Google Scholar] [CrossRef]
- Cobbinah, P.B. Contextualising the meaning of ecotourism. Tour. Manag. Perspect. 2015, 16, 179–189. [Google Scholar] [CrossRef]
- Wang, W.; Feng, L.; Zheng, T.; Liu, Y. The sustainability of ecotourism stakeholders in ecologically fragile areas: Implications for cleaner production. J. Clean. Prod. 2021, 279, 123606. [Google Scholar] [CrossRef]
- Baral, N. Assessing the temporal stability of the ecotourism evaluation scale: Testing the role and value of replication studies as a reliable management tool. J. Sustain. Tour. 2015, 23, 280–293. [Google Scholar] [CrossRef]
- Lee, T.H.; Jan, F.-H. Ecotourism behavior of nature-based tourists: An integrative framework. J. Travel Res. 2018, 57, 792–810. [Google Scholar] [CrossRef]
- Stronza, A.L.; Hunt, C.A.; Fitzgerald, L.A. Ecotourism for Conservation? Annu. Rev. Environ. Resour. 2019, 44, 229–253. [Google Scholar] [CrossRef]
- Lee, T.H.; Jan, F.-H.; Chen, J.-C. Influence analysis of interpretation services on ecotourism behavior for wildlife tourists. J. Sustain. Tour. 2021, 31, 1233–1251. [Google Scholar] [CrossRef]
- Lee, J.-H. Conflict mapping toward ecotourism facility foundation using spatial Q methodology. Tour. Manag. 2019, 72, 69–77. [Google Scholar] [CrossRef]
- Freemann, R.E. Strategic Management: A Stakeholder Approach; Cambridge University Press: Cambridge, UK, 1984; Volume 25. [Google Scholar]
- Friedman, A.L.; Miles, S. Developing Stakeholder Theory. J. Manag. Stud. 2002, 39, 1–21. [Google Scholar] [CrossRef]
- He, P.; He, Y.; Xu, F. Evolutionary analysis of sustainable tourism. Ann. Tour. Res. 2018, 69, 76–89. [Google Scholar] [CrossRef]
- Do Valle, P.O.; Assaker, G. Using Partial Least Squares Structural Equation Modeling in Tourism Research: A review of past research and recommendations for future applications. J. Travel Res. 2016, 55, 695–708. [Google Scholar] [CrossRef]
- Liu, Y.; Suk, S. Coupling and Coordinating Relationship between Tourism Economy and Ecological Environment—A Case Study of Nagasaki Prefecture, Japan. Int. J. Environ. Res. Public Health 2021, 18, 12818. [Google Scholar] [CrossRef] [PubMed]
- Friedman, D. On economic applications of evolutionary game theory. J. Evol. Econ. 1998, 8, 15–43. [Google Scholar] [CrossRef]
- Wondirad, A.; Tolkach, D.; King, B.J.T.M. Stakeholder collaboration as a major factor for sustainable ecotourism development in developing countries. Tour. Manag. 2019, 78, 104024. [Google Scholar] [CrossRef]
- Todd, L.; Leask, A.; Ensor, J. Understanding primary stakeholders’ multiple roles in hallmark event tourism management. Tour. Manag. 2017, 59, 494–509. [Google Scholar] [CrossRef]
- Huang, X.; Hu, Z.; Fu, C.; Yu, D. Evolution game analysis of major stakeholders in ecotourism. Eco-Economy 2015, 31, 142–146, 171. [Google Scholar] [CrossRef]
- Sun, K.; Xing, Z.; Cao, X.; Li, W. The Regime of Rural Ecotourism Stakeholders in Poverty-Stricken Areas of China: Implications for Rural Revitalization. Int. J. Environ. Res. Public Health 2021, 18, 9690. [Google Scholar] [CrossRef]
- Zhang, Y.; Deng, H.; Wang, L. Study on the mechanism of interest linkage and value creation in tourism development in ecologically fragile areas from the perspective of multiple participants. Tour. Sci. 2022, 36, 56–74. [Google Scholar] [CrossRef]
- Zhang, Y.; Zhang, Y. Research on development model of agricultural ecotourism based on evolutionary game theory. Econ. Probl. 2022, 111–119. [Google Scholar] [CrossRef]
- Li, B.; Li, S.; Zhu, Y. Study on the Positioning and Benefits of Ecotourism in National Parks in China. Ecol. Econ. 2021, 37, 111–115. [Google Scholar]
- Xu, N.; Li, Y. Evolution game analysis in the construction of national parks based on the public value perspective. For. Econ. 2018, 40, 10–16, 32. [Google Scholar] [CrossRef]
- Yang, G.; Yang, H.; Shi, Y.; Zhang, H. Study on the development path of Three Gorges National Park based on evolutionary game. For. Econ. 2019, 41, 40–46. [Google Scholar] [CrossRef]
- Meng, J.; Long, Y.; Lefeng, S. Stakeholders’ evolutionary relationship analysis of China’s national park ecotourism development. J. Environ. Manag. 2022, 316, 115188. [Google Scholar] [CrossRef]
- Thomas-Francois, K.; von Massow, M.; Joppe, M. Service-oriented, sustainable, local food value chain—A case study. Ann. Tour. Res. 2017, 65, 83–96. [Google Scholar] [CrossRef]
- Stykel, T. Stability and inertia theorems for generalized Lyapunov equations. Linear Algebra Appl. 2002, 355, 297–314. [Google Scholar] [CrossRef]
- Liu, Q. Study on Valuation of Recreation Resources and Ecological Compensation of Tourism in Wuyishan National Park. Master’s Thesis, Fujian Normal University, Fuzhou, China, 2020. [Google Scholar] [CrossRef]
- Bu, Y.; Wang, E.; Yu, Y. Analysis on asymptotic stabilization of eco-compensation program for forest ecotourism stakeholders. Environ. Sci. Pollut. Res. 2021, 28, 29304–29320. [Google Scholar] [CrossRef]
- Salman, A.; Jaafar, M.; Mohamad, D.; Malik, S. Ecotourism development in Penang Hill: A multi-stakeholder perspective towards achieving environmental sustainability. Environ. Sci. Pollut. Res. 2021, 28, 42945–42958. [Google Scholar] [CrossRef]
- Sun, Y.; Liu, B.; Fan, J.; Qiao, Q. The multi-player evolutionary game analysis for the protective development of ecotourism. Environ. Sci. Policy 2021, 126, 111–121. [Google Scholar] [CrossRef]









| Parameter | Meaning |
|---|---|
| The regulatory costs paid by the government. | |
| The basic revenue of the government generated by tourists participating in ecotourism, visiting the local area, promoting economic development, and paying taxes. | |
| Appropriate subsidies given by the government to tourism enterprises that provide high-level services during government supervision. | |
| Fines imposed by the government on tourism enterprises that provide low-level services under government supervision. | |
| Benefits to the government from improved reputation or other social benefits due to tourists’ experience of high-level local tourism services under government supervision. | |
| Damage to the image of the local government when tourists experience low-level local tourism services without government supervision, where negative news may be spread through media channels. | |
| The cost paid by tourism enterprises for environmental governance of scenic spots, construction of infrastructure and service facilities, and employee training when adopting high-level services. | |
| The cost paid by tourism enterprises for low-level services (). | |
| The economic benefits (such as tourists’ consumption income, etc.) obtained by tourism enterprises when they provide high-level services. | |
| The economic benefits obtained by tourism enterprises when they adopt low-level services (). | |
| The utilities experienced by tourists participating in national park ecotourism when they receive a high level of service. | |
| The utilities experienced by tourists participating in national park ecotourism when they receive a low level of service (). | |
| The utilities gained by tourists from spending their time elsewhere rather than engaging in ecotourism in national parks. |
| Local Government/Tourism Enterprises/Tourists | ||||
|---|---|---|---|---|
| High-Level | Low-Level | High-Level | Low-Level | |
| supervise | ||||
| not supervise | ||||
| Equilibrium Point | |||
|---|---|---|---|
| D1 (0, 0, 0) | |||
| (0, 0, 1) | |||
| (0, 1, 0) | |||
| (1, 0, 0) | |||
| (0, 1, 1) | |||
| (1, 1, 0) | |||
| (1, 0, 1) | |||
| (1, 1, 1) |
| Parameters | Numerical Value | Calculation Process |
|---|---|---|
| 352.09 | In 2021, the Wuyishan National Scenic Area received 106,600 tourists during the Spring Festival and 134,100 tourists during May Day, and it is estimated that 565,800 tourists were received during 6.18–9.30, and that 75,000 tourists were received during National Day. Based on the number of tourists received during the Spring Festival, May Day, and National Day holidays, the number of tourists received during other legal holidays in China, such as New Year’s Day, Qingming Festival, and Dragon Boat Festival, are converted respectively. Next, according to the number of tourists from 18 June to 30 September, combined with the 24% of tourists received in the off-season (December to February the following year) and the 76% of tourists received in the peak season (March to November), and converting the number of tourists received in the rest of the time, it is concluded that the total number of tourists received by Wuyishan National Scenic Area in 2021 was 1.96 million. During the May Day holiday, the ticket income of Wuyishan National Scenic Area totaled CNY 14.80 million. When scaled to the correct proportions, the ticket income of scenic spots in 2021 was CNY 214.99 million, the number of sightseeing vehicles was 0.70 million, and the number of bamboo rafts was 0.57 million. M1 = ticket income 214.99 + sightseeing car 49 (CNY 70/per person × 0.70 million visits) + bamboo raft 74.1 (CNY 130/per person × 0.57 million visits) + elderly health care project 10 (1.96 × the proportion of the elderly population in China 18.9% × the proportion of the elderly choosing healthcare projects 5% × the average cost of healthcare 500) +primary and secondary school students research project 4 (1.96 × the population of primary and secondary school students in China 20% × the proportion of the primary and secondary school students choosing research projects 5% × the average cost of research projects 200) = CNY 352.09 million | |
| 214.99 | only includes ticket income, CNY 214.99 million | |
| 270.84 | Referring to the data from Global Journey net and combining with the interviews of tourism practitioners and relevant experts, 30% is measured as the average profit margin of tourism enterprises. = 352.09/130% = CNY 270.84 million. (https://www.huanqiulcw.com/lvyoudaquan/guizhouqianhumiaozhailvyougonglue/69195.html, accessed on 2 December 2022) | |
| 165.38 | According to the 30% profit rate of tourism enterprises, = 214.99/130% = CNY 165.38 million | |
| 20.31 | Based on the corporate income tax rate of 25%, G = (352.09–270.84) × 25% = CNY 20.31 million | |
| 5221.56 | The per capita consumer expenditure and per capita consumer surplus of tourists in the Wuyishan National Scenic Area in 2019 were CNY 1237.66 and CNY 1072.39, respectively. Then, the per capita national income growth rate was calculated according to the per capita national income from 2019 to 2021 published by the National Bureau of Statistics. It was estimated that the per capita consumer expenditure and per capita consumer surplus of tourists in the Wuyishan National Scenic Area in 2021 were CNY 1427.33 and CNY 1236.73, respectively. = (per capita consumer expenditure + per capita consumer surplus) × the number of tourists received by the scenic spot = (1427.33 + 1236.73) × 1.96 = CNY 5221.56 million | |
| 20 | Reasonable assignment of values based on actual conditions and stability constraints | |
| 60 | ||
| 80 | ||
| 100 | ||
| 90 | ||
| 3655.09 | ||
| 3400 |
| Influence Factor | ||||||||||
|---|---|---|---|---|---|---|---|---|---|---|
| Numerical value | 20 | 270.84 | 165.38 | 100 | 60 | 80 | 352.09 | 214.99 | 5221.56 | 3400 |
Disclaimer/Publisher’s Note: The statements, opinions and data contained in all publications are solely those of the individual author(s) and contributor(s) and not of MDPI and/or the editor(s). MDPI and/or the editor(s) disclaim responsibility for any injury to people or property resulting from any ideas, methods, instructions or products referred to in the content. |
© 2023 by the authors. Licensee MDPI, Basel, Switzerland. This article is an open access article distributed under the terms and conditions of the Creative Commons Attribution (CC BY) license (https://creativecommons.org/licenses/by/4.0/).
Share and Cite
Li, S.; Yang, J.; Cheng, X.; Liu, Z. Multi-Agent Evolutionary Game Strategy for Ecotourism Development in National Parks: A Case Study of Wuyishan National Park. Forests 2023, 14, 1590. https://doi.org/10.3390/f14081590
Li S, Yang J, Cheng X, Liu Z. Multi-Agent Evolutionary Game Strategy for Ecotourism Development in National Parks: A Case Study of Wuyishan National Park. Forests. 2023; 14(8):1590. https://doi.org/10.3390/f14081590
Chicago/Turabian StyleLi, Suwan, Jiameng Yang, Xiu Cheng, and Zhiyong Liu. 2023. "Multi-Agent Evolutionary Game Strategy for Ecotourism Development in National Parks: A Case Study of Wuyishan National Park" Forests 14, no. 8: 1590. https://doi.org/10.3390/f14081590
APA StyleLi, S., Yang, J., Cheng, X., & Liu, Z. (2023). Multi-Agent Evolutionary Game Strategy for Ecotourism Development in National Parks: A Case Study of Wuyishan National Park. Forests, 14(8), 1590. https://doi.org/10.3390/f14081590

