A Trunk Detection Method for Camellia oleifera Fruit Harvesting Robot Based on Improved YOLOv7
Abstract
1. Introduction
- (1)
- The creation of a dataset comprising manually annotated visible images of Camellia oleifera trunks and fruits captured in Camellia oleifera orchards.
- (2)
- An algorithm for trunk detection was proposed based on the improved YOLOv7 model using monocular vision images. This method enables Camellia oleifera harvesting robots to identify and detect trunks. An attention mechanism, specifically, a CBAM (Convolutional block attention module) module, is incorporated in the backbone of YOLOv7 to enhance the detection accuracy of Camellia oleifera trunks.
- (3)
- The application of the Facol-EIoU loss function to replace the loss function in the improved YOLOv7 network, further enhancing the detection of Camellia oleifera trunks. A comparison is made between the Precision (P), Recall(R), F1 and Detection Speed of the improved YOLOv7 and other algorithms, including YOLOv3, YOLOv4, YOLOv5 and YOLOv7.
2. Materials and Methods
2.1. Camellia oleifera Trunk Image Acquisition
2.2. Data Annotation
2.3. Data Augmentation
2.4. Camellia oleifera Trunk Detection Algorithm Based on the Improved YOLOv7
2.4.1. YOLOv7
2.4.2. Improvement of the YOLOv7 Network
2.4.3. Loss Function
2.5. Model Training
2.5.1. Training Platforms and Parameter Settings
2.5.2. Evaluation Indicators of the Model
3. Results
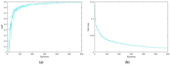
3.1. Training Results
3.2. Ablation Experiments
3.3. Experiment Results
3.4. Comparison of Detection Algorithms
4. Discussion
5. Conclusions
Author Contributions
Funding
Data Availability Statement
Conflicts of Interest
References
- Deng, Q.; Li, J.; Gao, C.; Cheng, J.; Deng, X.; Jiang, D.; Li, L.; Yan, P. New perspective for evaluating the main Camellia oleifera cultivars in China. Sci. Rep. 2020, 10, 20676. [Google Scholar] [CrossRef] [PubMed]
- Gao, S.; Wang, B.; Liu, F.; Zhao, J.; Yuan, J.; Xiao, S.; Masabni, J.; Zou, F.; Yuan, D. Variation in Fruit Morphology and Seed Oil Fatty Acid Composition of Camellia oleifera Collected from Diverse Regions in Southern China. Horticulturae 2022, 8, 818. [Google Scholar] [CrossRef]
- Zhou, Y.; Tang, Y.; Zou, X.; Wu, M.; Tang, W.; Meng, F.; Zhang, Y.; Kang, H. Adaptive Active Positioning of Camellia oleifera Fruit Picking Points: Classical Image Processing and YOLOv7 Fusion Algorithm. Appl. Sci. 2022, 12, 12959. [Google Scholar] [CrossRef]
- Wu, D.; Zhao, E.; Fang, D.; Jiang, S.; Wu, C.; Wang, W.; Wang, R. Determination of Vibration Picking Parameters of Camellia oleifera Fruit Based on Acceleration and Strain Response of Branches. Agriculture 2022, 12, 1222. [Google Scholar] [CrossRef]
- Zicheng, G.; Lijun, L.; Penghui, W.; Qiang, Z.; Yukun, L. Design and Analysis of Picking Head of Camellia Fruit Picking Robot. J. Cent. South Univ. For. Technol. Pap. 2016, 36, 114–118. [Google Scholar]
- Liang, C.; Xiong, J.; Zheng, Z.; Zhong, Z.; Li, Z.; Chen, S.; Yang, Z. A visual detection method for nighttime litchi fruits and fruiting stems. Comput. Electron. Agric. 2020, 169, 105192. [Google Scholar] [CrossRef]
- Mirhaji, H.; Soleymani, M.; Asakereh, A.; Mehdizadeh, S.A. Fruit detection and load estimation of an orange orchard using the YOLO models through simple approaches in different imaging and illumination conditions. Comput. Electron. Agric. 2021, 191, 106533. [Google Scholar] [CrossRef]
- Wu, D.; Jiang, S.; Zhao, E.; Liu, Y.; Zhu, H.; Wang, W.; Wang, R. Detection of Camellia oleifera Fruit in Complex Scenes by Using YOLOv7 and Data Augmentation. Appl. Sci. 2022, 12, 11318. [Google Scholar] [CrossRef]
- Lai, Y.; Ma, R.; Chen, Y.; Wan, T.; Jiao, R.; He, H. A Pineapple Target Detection Method in a Field Environment Based on Improved YOLOv7. Appl. Sci. 2023, 13, 2691. [Google Scholar] [CrossRef]
- Jin, Y.; Yu, C.; Yin, J.; Yang, S.X. Detection method for table grape ears and stems based on a far-close-range combined vision system and hand-eye-coordinated picking test. Comput. Electron. Agric. 2022, 202, 107364. [Google Scholar] [CrossRef]
- Qiu, C.; Tian, G.; Zhao, J.; Liu, Q.; Xie, S.; Zheng, K. Grape Maturity Detection and Visual Pre-Positioning Based on Improved YOLOv4. Electronics 2022, 11, 2677. [Google Scholar] [CrossRef]
- Ji, W.; Pan, Y.; Xu, B.; Wang, J. A real-time Apple targets detection method for picking robot based on ShufflenetV2-YOLOX. Agriculture 2022, 12, 856. [Google Scholar] [CrossRef]
- Zhang, C.; Kang, F.; Wang, Y. An Improved Apple Object Detection Method Based on Lightweight YOLOv4 in Complex Backgrounds. Remote Sens. 2022, 14, 4150. [Google Scholar] [CrossRef]
- Su, F.; Zhao, Y.; Shi, Y.; Zhao, D.; Wang, G.; Yan, Y.; Zu, L.; Chang, S. Tree Trunk and Obstacle Detection in Apple Orchard Based on Improved YOLOv5s Model. Agronomy 2022, 12, 2427. [Google Scholar] [CrossRef]
- Yan, B.; Fan, P.; Lei, X.; Liu, Z.; Yang, F. A real-time apple targets detection method for picking robot based on improved YOLOv5. Remote Sens. 2021, 13, 1619. [Google Scholar] [CrossRef]
- Xia, Y.; Nguyen, M.; Yan, W.Q. A Real-Time Kiwifruit Detection Based on Improved YOLOv7. In Image and Vision Computing, Proceedings of the 37th International Conference, IVCNZ 2022, Auckland, New Zealand, 24–25 November 2022, Revised Selected Papers; Springer: Berlin/Heidelberg, Germany, 2023; pp. 48–61. [Google Scholar]
- Suo, R.; Gao, F.; Zhou, Z.; Fu, L.; Song, Z.; Dhupia, J.; Li, R.; Cui, Y. Improved multi-classes kiwifruit detection in orchard to avoid collisions during robotic picking. Comput. Electron. Agric. 2021, 182, 106052. [Google Scholar] [CrossRef]
- Wang, K.; Meng, Z.; Wu, Z. Deep Learning-Based Ground Target Detection and Tracking for Aerial Photography from UAVs. Appl. Sci. 2021, 11, 8434. [Google Scholar] [CrossRef]
- Lin, G.; Tang, Y.; Zou, X.; Li, J.; Xiong, J. In-field citrus detection and localisation based on RGB-D image analysis. Biosyst. Eng. 2019, 186, 34–44. [Google Scholar] [CrossRef]
- Pang, Y.; Yuan, Y.; Li, X.; Pan, J. Efficient HOG human detection. Signal Process. 2011, 91, 773–781. [Google Scholar] [CrossRef]
- Devietti, J.; Lucia, B.; Ceze, L.; Oskin, M. DMP: Deterministic shared memory multiprocessing. In Proceedings of the 14th international Conference on Architectural Support for Programming Languages and Operating Systems, Washington, DC, USA, 7–11 March 2009; pp. 85–96. [Google Scholar]
- Alom, M.Z.; Taha, T.M.; Yakopcic, C.; Westberg, S.; Sidike, P.; Nasrin, M.S.; Van Esesn, B.C.; Awwal, A.A.S.; Asari, V.K. The history began from alexnet: A comprehensive survey on deep learning approaches. arXiv 2018, arXiv:1803.01164. [Google Scholar]
- Wang, L.; Guo, S.; Huang, W.; Qiao, Y. Places205-vggnet models for scene recognition. arXiv 2015, arXiv:1508.01667. [Google Scholar]
- Szegedy, C.; Ioffe, S.; Vanhoucke, V.; Alemi, A. Inception-v4, inception-resnet and the impact of residual connections on learning. In Proceedings of the AAAI Conference on Artificial Intelligence, San Francisco, CA, USA, 4–9 February 2017; Volume 31. [Google Scholar]
- Williams, H.A.; Jones, M.H.; Nejati, M.; Seabright, M.J.; Bell, J.; Penhall, N.D.; Barnett, J.J.; Duke, M.D.; Scarfe, A.J.; Ahn, H.S.; et al. Robotic kiwifruit harvesting using machine vision, convolutional neural networks, and robotic arms. Biosyst. Eng. 2019, 181, 140–156. [Google Scholar] [CrossRef]
- Zheng, Y.; Izzat, I.H.; Ziaee, S. GFD-SSD: Gated fusion double SSD for multispectral pedestrian detection. arXiv 2019, arXiv:1903.06999. [Google Scholar]
- Qiu, Y.; Lu, Y.; Wang, Y.; Jiang, H. IDOD-YOLOV7: Image-Dehazing YOLOV7 for Object Detection in Low-Light Foggy Traffic Environments. Sensors 2023, 23, 1347. [Google Scholar] [CrossRef] [PubMed]
- Wang, C.Y.; Bochkovskiy, A.; Liao, H.Y.M. YOLOv7: Trainable bag-of-freebies sets new state-of-the-art for real-time object detectors. In Proceedings of the IEEE/CVF Conference on Computer Vision and Pattern Recognition, Vancouver, BC, Canada, 18–22 June 2023; pp. 7464–7475. [Google Scholar]
- Everingham, M.; Van Gool, L.; Williams, C.K.; Winn, J.; Zisserman, A. The pascal visual object classes (voc) challenge. Int. J. Comput. Vis. 2010, 88, 303–338. [Google Scholar] [CrossRef]
- Dai, J.; Qi, H.; Xiong, Y.; Li, Y.; Zhang, G.; Hu, H.; Wei, Y. Deformable convolutional networks. In Proceedings of the IEEE International Conference on Computer Vision, Venice, Italy, 22–29 October 2017; pp. 764–773. [Google Scholar]
- Jiang, K.; Xie, T.; Yan, R.; Wen, X.; Li, D.; Jiang, H.; Jiang, N.; Feng, L.; Duan, X.; Wang, J. An Attention Mechanism-Improved YOLOv7 Object Detection Algorithm for Hemp Duck Count Estimation. Agriculture 2022, 12, 1659. [Google Scholar] [CrossRef]
- Wang, C.Y.; Liao, H.Y.M.; Wu, Y.H.; Chen, P.Y.; Hsieh, J.W.; Yeh, I.H. CSPNet: A new backbone that can enhance learning capability of CNN. In Proceedings of the IEEE/CVF Conference on Computer Vision and Pattern Recognition Workshops, Seattle, WA, USA, 14–19 June 2020; pp. 390–391. [Google Scholar]
- Ding, X.; Zhang, X.; Ma, N.; Han, J.; Ding, G.; Sun, J. Repvgg: Making vgg-style convnets great again. In Proceedings of the IEEE/CVF Conference on Computer Vision and Pattern Recognition, Virtual, 19–25 June 2021; pp. 13733–13742. [Google Scholar]
- Niu, Z.; Zhong, G.; Yu, H. A review on the attention mechanism of deep learning. Neurocomputing 2021, 452, 48–62. [Google Scholar] [CrossRef]
- Li, C.; Zhao, G.; Gu, D.; Wang, Z. Improved Lightweight YOLOv5 Using Attention Mechanism for Satellite Components Recognition. IEEE Sensors J. 2022, 23, 514–526. [Google Scholar] [CrossRef]
- Ma, X.; Guo, J.; Sansom, A.; McGuire, M.; Kalaani, A.; Chen, Q.; Tang, S.; Yang, Q.; Fu, S. Spatial pyramid attention for deep convolutional neural networks. IEEE Trans. Multimed. 2021, 23, 3048–3058. [Google Scholar] [CrossRef]
- Jiang, G.; Jiang, X.; Fang, Z.; Chen, S. An efficient attention module for 3d convolutional neural networks in action recognition. Appl. Intell. 2021, 51, 7043–7057. [Google Scholar] [CrossRef]
- Vaswani, A.; Shazeer, N.; Parmar, N.; Uszkoreit, J.; Jones, L.; Gomez, A.N.; Kaiser, Ł.; Polosukhin, I. Attention is all you need. Adv. Neural Inf. Process. Syst. 2017, 30. [Google Scholar]
- Ying, X.; Wang, Y.; Wang, L.; Sheng, W.; An, W.; Guo, Y. A stereo attention module for stereo image super-resolution. IEEE Signal Process. Lett. 2020, 27, 496–500. [Google Scholar] [CrossRef]
- Zhang, Y.F.; Ren, W.; Zhang, Z.; Jia, Z.; Wang, L.; Tan, T. Focal and efficient IOU loss for accurate bounding box regression. Neurocomputing 2022, 506, 146–157. [Google Scholar] [CrossRef]
- Lin, T.Y.; Goyal, P.; Girshick, R.; He, K.; Dollár, P. Focal loss for dense object detection. In Proceedings of the IEEE international Conference on Computer Vision, Venice, Italy, 22–29 October 2017; pp. 2980–2988. [Google Scholar]
- Yang, T.T.; Zhou, S.Y.; Ai-Jun, X.U. Rapid Image Detection of Tree Trunks Using a Convolutional Neural Network and Transfer Learning. IAENG Int. J. Comput. Sci. 2021, 48, 257–265. [Google Scholar]













| Operation | Value | Description | The Percentage of Total Dataset(%) |
|---|---|---|---|
| Hue, Saturation and Value | Random | Enhance and reduce image’s hue, saturation and value | 10 |
| Mirror | Random | Horizontal and vertical mirroring | 10 |
| Noise | Random | Add Gaussian noise | 25 |
| Mosaic | Random | Image Mosaic | 10 |
| Rotation | 90°, 180°, and 270° | Image Rotation | 10 |
| Scale | Random | Image Scale | 20 |
| Parameter | Value | Parameter | Value |
|---|---|---|---|
| Ephochs | 600 | Batch Size | 16 |
| Learning Rate | 0.01 | Weight Decay | 0.0005 |
| Image Size | 640 × 640 | Momentum | 0.937 |
| CBAM | Focal-EIoU Loss Function | mAP(%) | Recall | F1 |
|---|---|---|---|---|
| 84.2 | 0.89 | 0.84 | ||
| √ | 86 | 0.92 | 0.84 | |
| √ | 85.6 | 0.9 | 0.84 | |
| √ | √ | 89.2 | 0.94 | 0.87 |
| Object Detection Networks | mAP (%) | Recall | F1 | Average Detection Speed (s/pic) |
|---|---|---|---|---|
| YOLOv3 | 84.9 | 0.83 | 0.84 | 0.032 |
| YOLOv4 | 80.9 | 0.82 | 0.81 | 0.045 |
| YOLOv5 | 83.9 | 0.88 | 0.83 | 0.041 |
| YOLOv7 | 84.2 | 0.89 | 0.84 | 0.025 |
| Our model | 89.2 | 0.94 | 0.87 | 0.018 |
Disclaimer/Publisher’s Note: The statements, opinions and data contained in all publications are solely those of the individual author(s) and contributor(s) and not of MDPI and/or the editor(s). MDPI and/or the editor(s) disclaim responsibility for any injury to people or property resulting from any ideas, methods, instructions or products referred to in the content. |
© 2023 by the authors. Licensee MDPI, Basel, Switzerland. This article is an open access article distributed under the terms and conditions of the Creative Commons Attribution (CC BY) license (https://creativecommons.org/licenses/by/4.0/).
Share and Cite
Liu, Y.; Wang, H.; Liu, Y.; Luo, Y.; Li, H.; Chen, H.; Liao, K.; Li, L. A Trunk Detection Method for Camellia oleifera Fruit Harvesting Robot Based on Improved YOLOv7. Forests 2023, 14, 1453. https://doi.org/10.3390/f14071453
Liu Y, Wang H, Liu Y, Luo Y, Li H, Chen H, Liao K, Li L. A Trunk Detection Method for Camellia oleifera Fruit Harvesting Robot Based on Improved YOLOv7. Forests. 2023; 14(7):1453. https://doi.org/10.3390/f14071453
Chicago/Turabian StyleLiu, Yang, Haorui Wang, Yinhui Liu, Yuanyin Luo, Haiying Li, Haifei Chen, Kai Liao, and Lijun Li. 2023. "A Trunk Detection Method for Camellia oleifera Fruit Harvesting Robot Based on Improved YOLOv7" Forests 14, no. 7: 1453. https://doi.org/10.3390/f14071453
APA StyleLiu, Y., Wang, H., Liu, Y., Luo, Y., Li, H., Chen, H., Liao, K., & Li, L. (2023). A Trunk Detection Method for Camellia oleifera Fruit Harvesting Robot Based on Improved YOLOv7. Forests, 14(7), 1453. https://doi.org/10.3390/f14071453
