Effects of Moso Bamboo Expansion on the Spatial Pattern of Coarse Woody Debris in Secondary Coniferous and Broad-Leaved Mixed Forest in Wuxie National Forest Park, China
Abstract
1. Introduction
2. Materials and Methods
2.1. Study Site
2.2. Sampling Design
2.3. Statistical Analysis
3. Results
3.1. Basic Characteristics of CWD
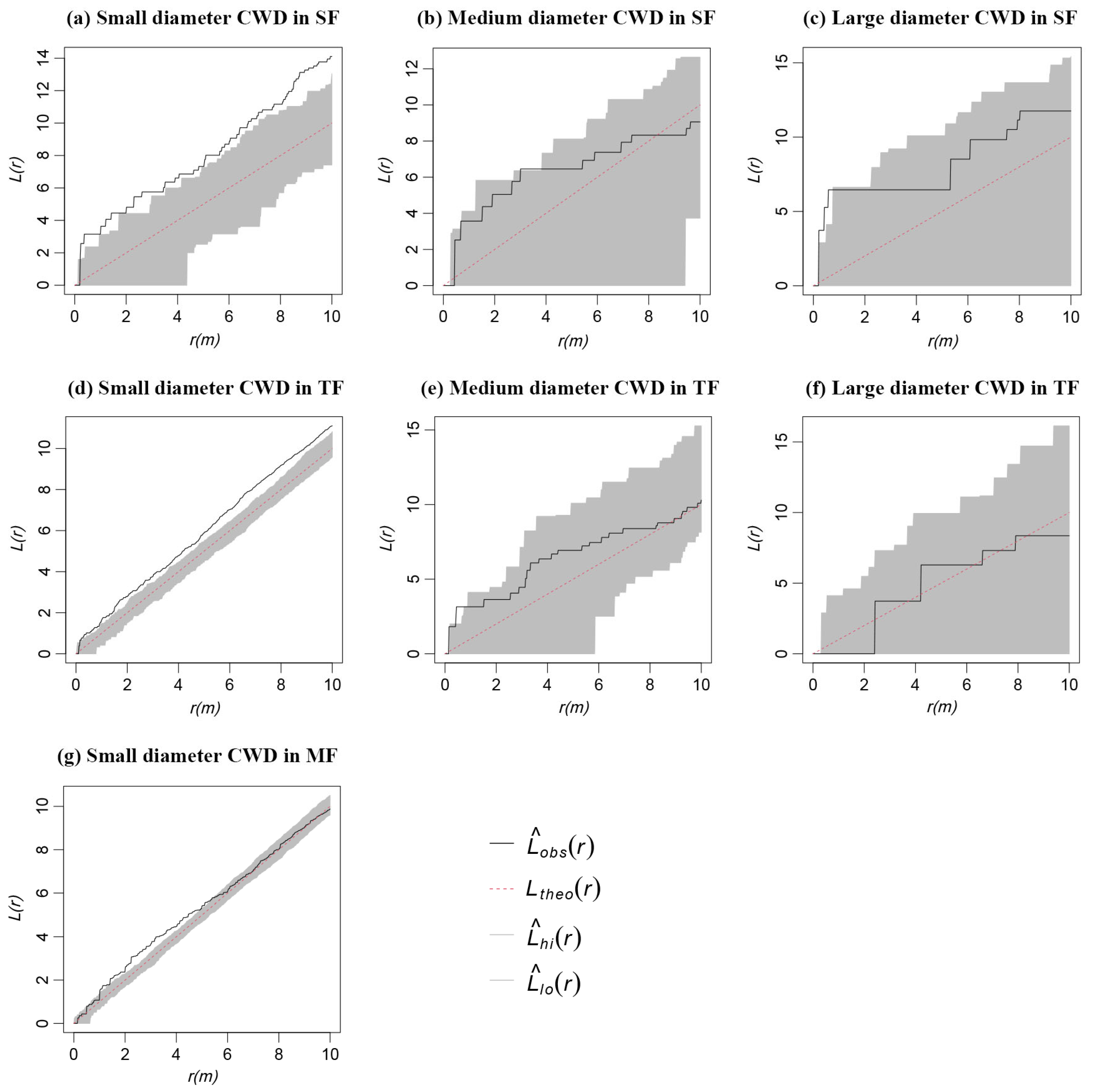
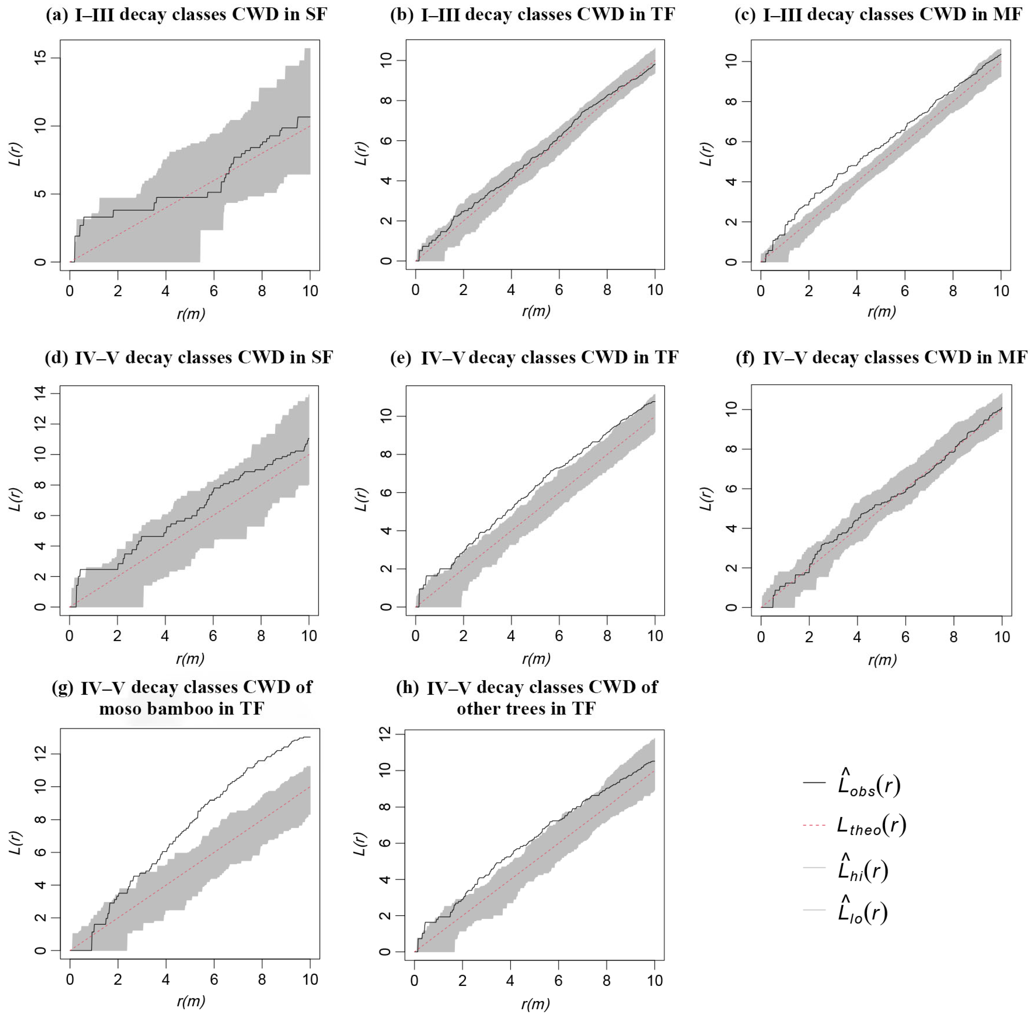
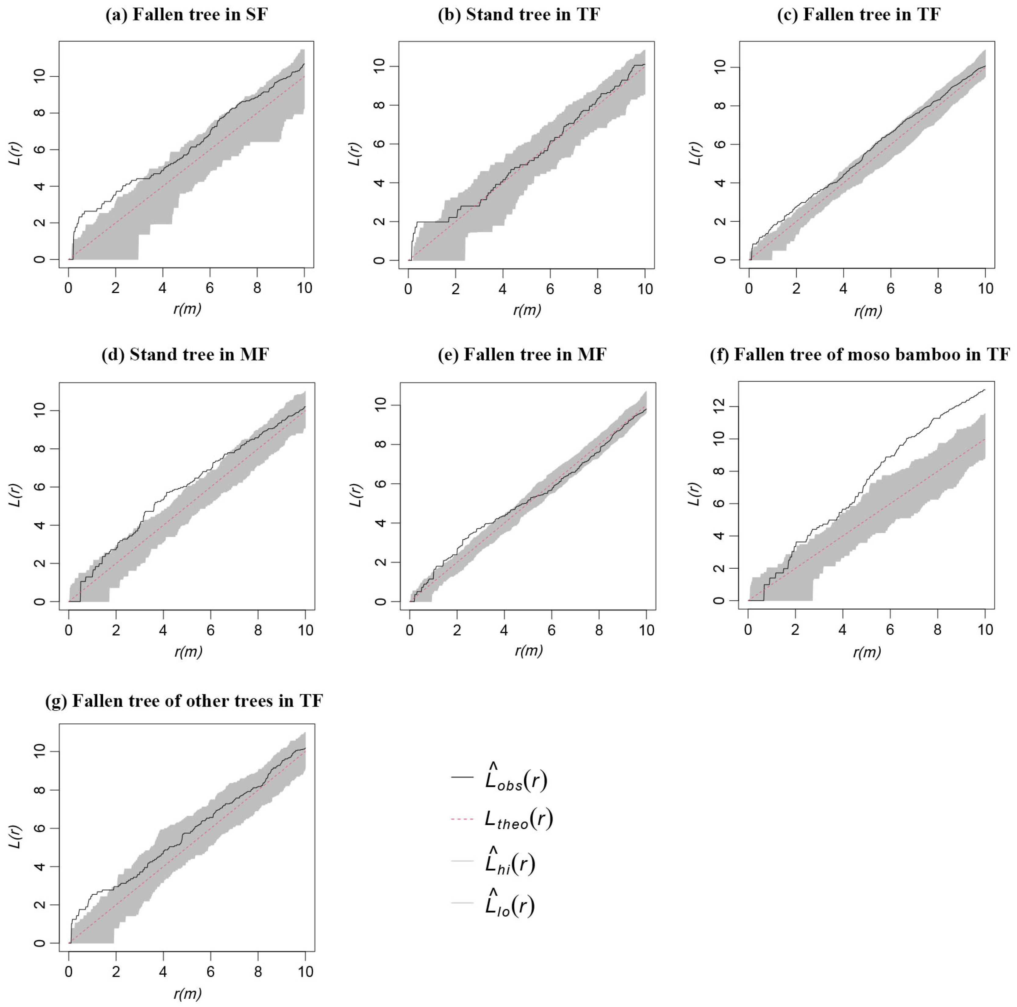
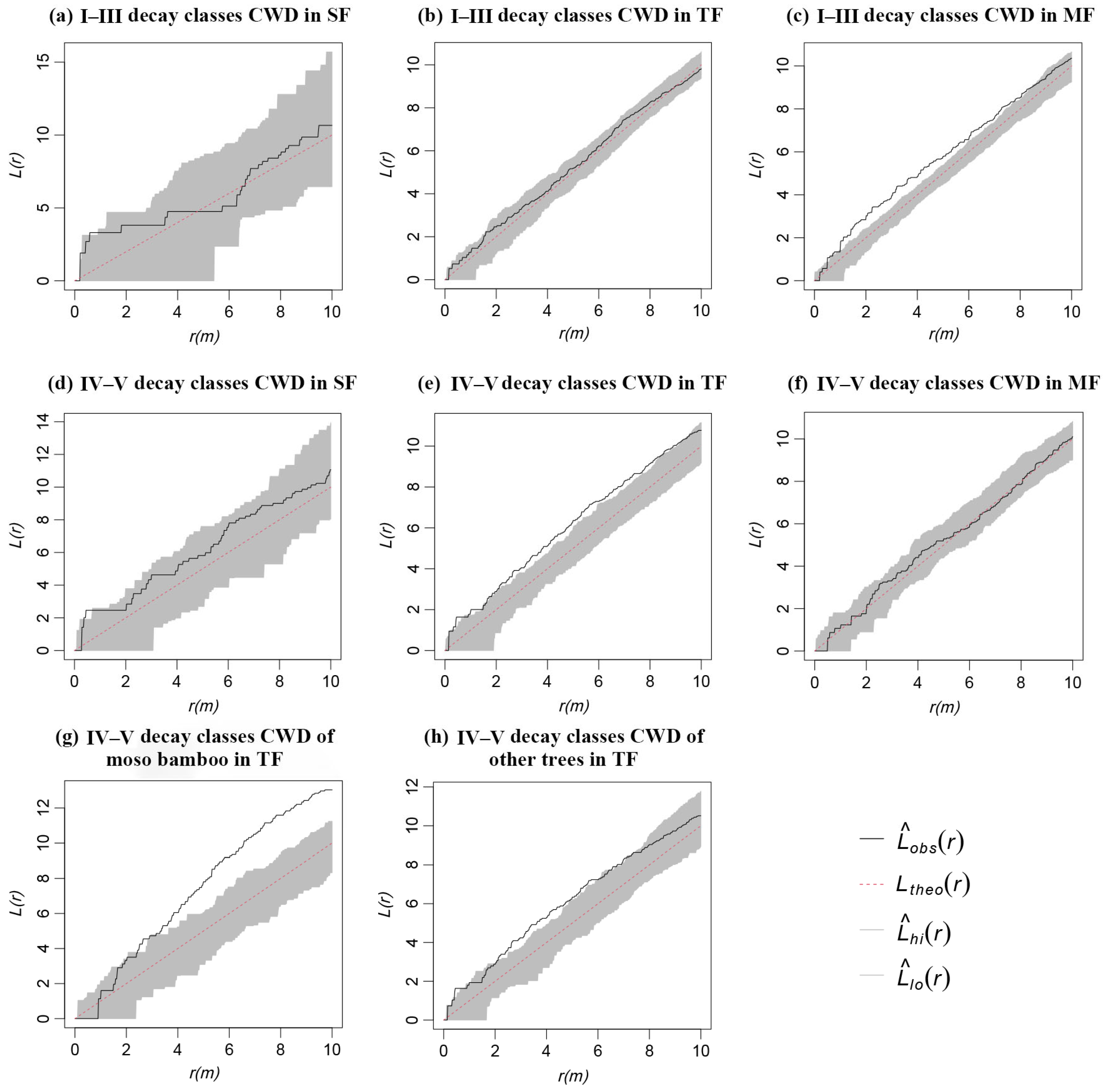
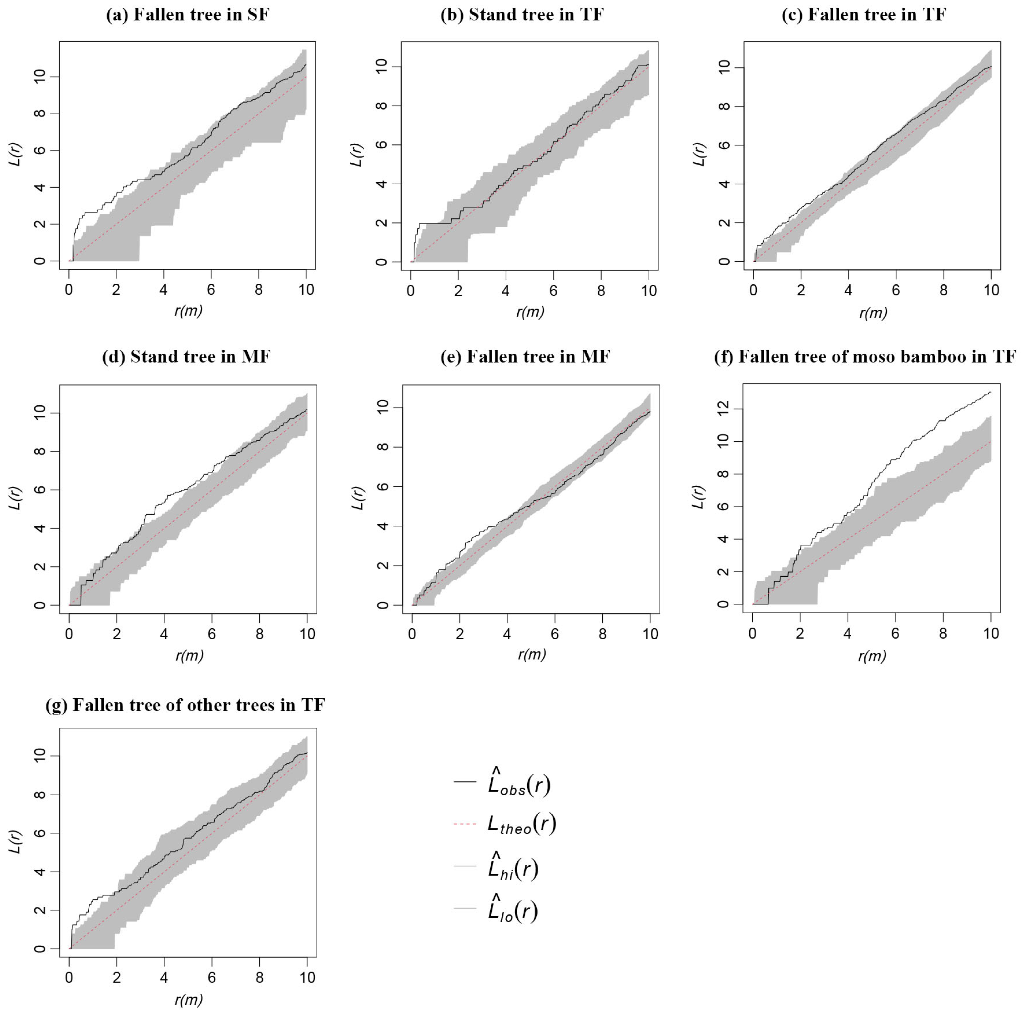
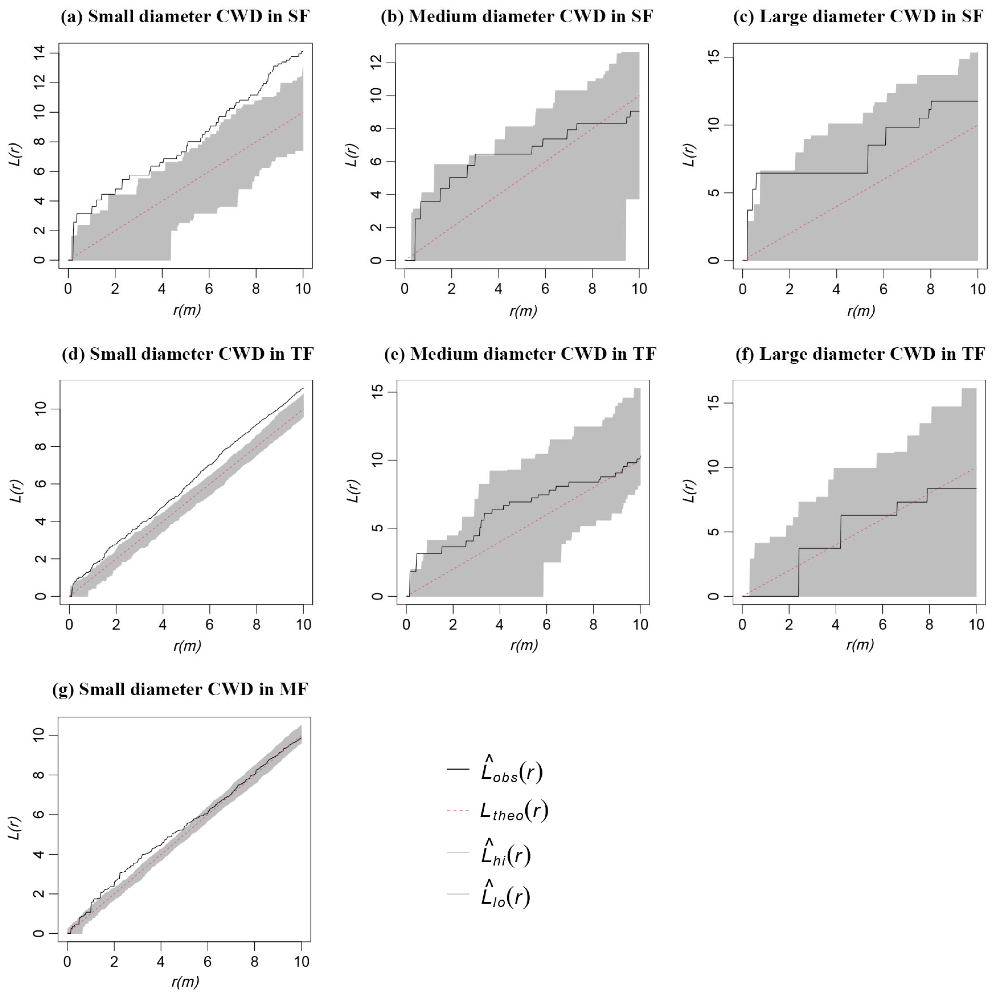
3.2. Spatial Pattern of CWD in Three Forests
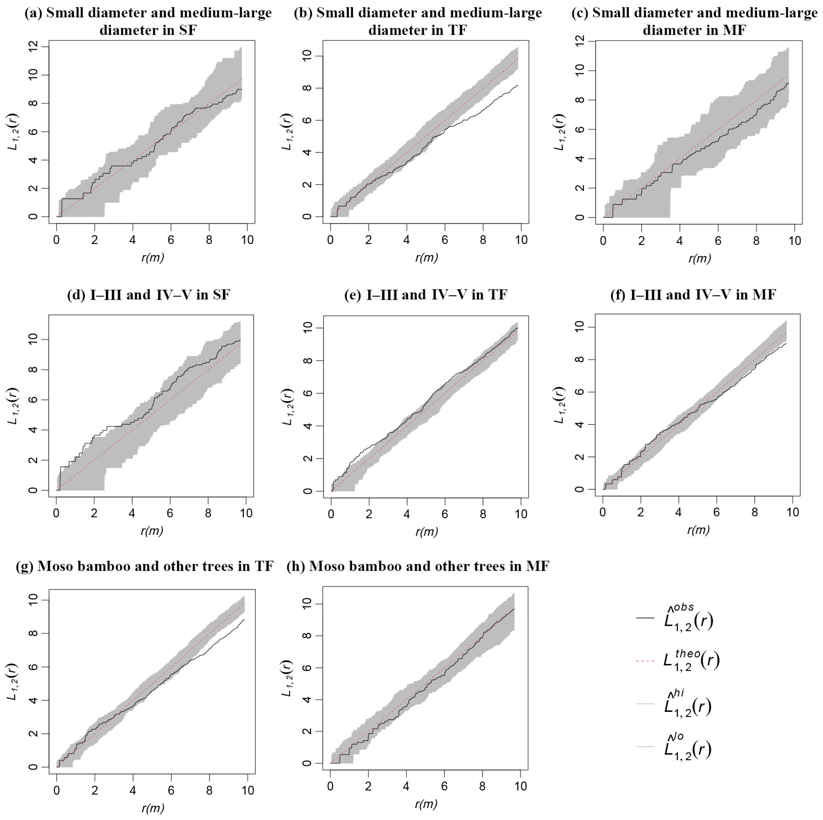
3.3. Spatial Association of CWD in Three Forests
4. Discussion
4.1. Spatial Distribution Pattern of CWD
4.2. Spatial Association of CWD
5. Conclusions
Author Contributions
Funding
Data Availability Statement
Acknowledgments
Conflicts of Interest
References
- Bin, Y.; Lian, J.; Wang, Z.; Ye, W.; Cao, H. Tree mortality and recruitment in a subtropical broadleaved monsoon forest in South China. J. Trop. For. Sci. 2011, 23, 57–66. [Google Scholar]
- Romero, L.M.; Smith III, T.J.; Fourqurean, J.W. Changes in mass and nutrient content of wood during decomposition in a south Florida mangrove forest. J. Ecol. 2005, 93, 618–631. [Google Scholar] [CrossRef]
- Condit, R.; Hubbell, S.P.; Foster, R.B. Mortality rates of 205 neotropical tree and shrub species and the impact of a severe drought. Ecol. Monogr. 1995, 65, 419–439. [Google Scholar] [CrossRef]
- Franklin, J.; Shugart, H.; Harmon, M. Tree death as an ecological process: The causes, consequences, and variability of tree mortality. BioScience 1987, 37, 550–556. [Google Scholar] [CrossRef]
- Hilger, A.; Shaw, C.; Metsaranta, J.; Kurz, W. Estimation of snag carbon transfer rates by ecozone and lead species for forests in Canada. Ecol. Appl. 2012, 22, 2078–2090. [Google Scholar] [CrossRef]
- Jomura, M.; Kominami, Y.; Dannoura, M.; Kanazawa, Y. Spatial variation in respiration from coarse woody debris in a temperate secondary broad-leaved forest in Japan. For. Ecol. Manag. 2008, 255, 149–155. [Google Scholar] [CrossRef]
- Metcalf, C.J.E.; Horvitz, C.C.; Tuljapurkar, S.; Clark, D.A. A time to grow and a time to die: A new way to analyze the dynamics of size, light, age, and death of tropical trees. Ecology 2009, 90, 2766–2778. [Google Scholar] [CrossRef] [PubMed]
- Sturtevant, B.R.; Bissonette, J.A.; Long, J.N.; Roberts, D.W. Coarse woody debris as a function of age, stand structure, and disturbance in boreal Newfoundland. Ecol. Appl. 1997, 7, 702–712. [Google Scholar] [CrossRef]
- Garrott, R.A.; White, P.; White, C.A.V. Overabundance: An issue for conservation biologists? Conserv. Biol. 1993, 7, 946–949. [Google Scholar] [CrossRef]
- Lima, R.A.; Rother, D.C.; Muler, A.E.; Lepsch, I.F.; Rodrigues, R.R. Bamboo overabundance alters forest structure and dynamics in the Atlantic Forest hotspot. Biol. Conserv. 2012, 147, 32–39. [Google Scholar] [CrossRef]
- Wang, X.; Sasaki, A.; Toda, M.; Nakatsubo, T. Changes in soil microbial community and activity in warm temperate forests invaded by moso bamboo (Phyllostachys pubescens). J. For. Res. 2016, 21, 235–243. [Google Scholar] [CrossRef]
- Shi, J.; Ye, X.; Chen, F.; Yang, Q.; Li, Z.; Fang, K.; Yang, G.Y. Adaptation of bamboo to heterogeneous habitat: Phenotypic plasticity. Acta Ecol. Sin. 2014, 34, 5687–5695. [Google Scholar]
- Griscom, B.W.; Ashton, P.M.S. Bamboo control of forest succession: Guadua sarcocarpa in Southeastern Peru. For. Ecol. Manag. 2003, 175, 445–454. [Google Scholar] [CrossRef]
- Okutomi, K.; Shinoda, S.; Fukuda, H. Causal analysis of the invasion of broad-leaved forest by bamboo in Japan. J. Veg. Sci. 1996, 7, 723–728. [Google Scholar] [CrossRef]
- Bai, S.; Conant, R.T.; Zhou, G.; Wang, Y.; Wang, N.; Li, Y.; Zhang, K. Effects of moso bamboo encroachment into native, broad-leaved forests on soil carbon and nitrogen pools. Sci. Rep. 2016, 6, 1–8. [Google Scholar] [CrossRef]
- Larpkern, P.; Moe, S.R.; Totland, Ø. Bamboo dominance reduces tree regeneration in a disturbed tropical forest. Oecologia 2011, 165, 161–168. [Google Scholar] [CrossRef]
- Zhang, C.; Xie, G.; Fan, S.; Zhen, L. Variation in vegetation structure and soil properties, and the relation between understory plants and environmental variables under different Phyllostachys pubescens forests in southeastern China. Environ. Manag. 2010, 45, 779–792. [Google Scholar] [CrossRef]
- Wang, B.; Huang, Y.; Li, X.; Xiang, W.; Ding, T.; Huang, F.; Lu, S.; Han, W.; Wen, S.; He, L. Species composition and spatial distribution of a 15 ha northern tropical karst seasonal rain forest dynamics study plot in Nonggang, Guangxi, southern China. Biodivers. Sci. 2014, 22, 141–156. [Google Scholar]
- Busing, R.; White, P. Effects of area on old-growth forest attributes: Implications for the equilibrium landscape concept. Landsc. Ecol. 1993, 8, 119–126. [Google Scholar] [CrossRef]
- Condit, R.; Ashton, P.S.; Baker, P.; Bunyavejchewin, S.; Gunatilleke, S.; Gunatilleke, N.; Hubbell, S.P.; Foster, R.B.; Itoh, A.; LaFrankie, J.V. Spatial patterns in the distribution of tropical tree species. Science 2000, 288, 1414–1418. [Google Scholar] [CrossRef]
- Duncan, R.P.; Stewart, G.H. The temporal and spatial analysis of tree age distributions. Can. J. For. Res. 1991, 21, 1703–1710. [Google Scholar] [CrossRef]
- Hadly, E.A.; Maurer, B.A. Spatial and temporal patterns of species diversity in montane mammal communities of western North America. Evol. Ecol. Res. 2001, 3, 449–463. [Google Scholar]
- Miyadokoro, T.; Nishimura, N.; Yamamoto, S. Population structure and spatial patterns of major trees in a subalpine old-growth coniferous forest, central Japan. For. Ecol. Manag. 2003, 182, 259–272. [Google Scholar] [CrossRef]
- Toft, C.A.; Fraizer, T. Spatial dispersion and density dependence in a perennial desert shrub (Chrysothamnus nauseosus: Asteraceae). Ecol. Monogr. 2003, 73, 605–624. [Google Scholar] [CrossRef]
- Gu, L.; Gong, Z.; Li, W. Spatial patterns and storage composition of woody debris in a natural secondary forest dominated by Pinus tabulaeformis on Loess Plateau, China. J. Mt. Sci. 2017, 14, 1839–1851. [Google Scholar] [CrossRef]
- Ma, F.; Zhuang, L.; Wang, S.; Sang, W. Coarse woody debris features of a warm temperate deciduous broad-leaved forest, northern China. J. For. Res. 2021, 32, 1105–1114. [Google Scholar] [CrossRef]
- Travaglini, D.; Paffetti, D.; Bianchi, L.; Bottacci, A.; Bottalico, F.; Giovannini, G.; Maltoni, A.; Nocentini, S.; Vettori, C.; Calamini, G. Characterization, structure and genetic dating of an old-growth beech-fir forest in the northern Apennines (Italy). Plant Biosyst. Int. J. Deal. All Asp. Plant Biol. 2012, 146, 175–188. [Google Scholar] [CrossRef]
- Li, M.; He, F.; Liu, Y.; Pan, C. Spatial distribution pattern of tree individuals in the Schrenk spruce forest, Northwest China. Acta Ecol. Sin. 2005, 25, 1000–1006. [Google Scholar]
- von Oheimb, G.; Westphal, C.; Härdtle, W. Diversity and spatio-temporal dynamics of dead wood in a temperate near-natural beech forest (Fagus sylvatica). Eur. J. For. Res. 2007, 126, 359–370. [Google Scholar] [CrossRef]
- Touyama, Y.; Yamamoto, T.; Nakagoshi, N. Myrmecofaunal change with bamboo invasion into broadleaf forests. J. For. Res. 1998, 3, 155–159. [Google Scholar] [CrossRef]
- Wang, Y.; Shi, X.; Peng, Y.; Zhong, Z.; Tao, J. Effects of fine-scale pattern of dwarf bamboo on understory species diversity in Abies faxoniana forest, southwest, China. Sains Malays. 2012, 41, 649–657. [Google Scholar]
- Huang, R.; Qi, D.; Tao, J.; Jiang, H.; Hao, Y.; He, Y. Effects of bamboo-invasion disturbance on the spatial distribution of Alsophila spinulosa population. J. Sichuan Norm. Univ. Nat. Sci. 2009, 32, 106–111. [Google Scholar]
- Zhang, H.; Xue, J. Spatial pattern and competitive relationships of moso bamboo in a native subtropical rainforest community. Forests 2018, 9, 774. [Google Scholar] [CrossRef]
- Bai, S.; Zhou, G.; Wang, Y.; Liang, Q.; Chen, J.; Cheng, Y.; Shen, R. Plant species diversity and dynamics in forests invaded by Moso bamboo (Phyllostachys edulis) in Tianmu Mountain Nature Reserve. Biodivers. Sci. 2013, 21, 288–295. [Google Scholar]
- Yan, E.; Wang, X.; Huang, J. Concept and classification of coarse woody debris in forest ecosystems. Acta Ecol. Sin. 2005, 25, 158–167. [Google Scholar] [CrossRef]
- Shen, Q.; Tang, M. Stem volume models of Phyllostachys edulis in Zhejiang Province. Sci. Silvae Sin. 2020, 56, 89–96. [Google Scholar]
- Fraver, S.; Ringvall, A.; Jonsson, B.G. Refining volume estimates of down woody debris. Can. J. For. Res. 2007, 37, 627–633. [Google Scholar] [CrossRef]
- Zeng, W. Validation of two-variable tree volume tables for main tree species in China. For. Resour. Manag. 2018, 5, 37–43. [Google Scholar]
- Ripley, B.D. Modelling spatial patterns. J. R. Stat. Soc. Ser. B Methodol. 1977, 39, 172–192. [Google Scholar] [CrossRef]
- Baddeley, A.; Rubak, E.; Turner, R. Spatial Point Patterns: Methodology and Applications with R; CRC Press: Boca Raton, FL, USA, 2015. [Google Scholar]
- Stoyan, D.; Stoyan, H. Fractals, Random Shapes and Point Fields: Methods of Geometrical Statistics; John Wiley & Sons Incorporated: Hoboken, NJ, USA, 1994; Volume 302. [Google Scholar]
- Lotwick, H.; Silverman, B. Methods for analysing spatial processes of several types of points. J. R. Stat. Soc. Ser. B Methodol. 1982, 44, 406–413. [Google Scholar] [CrossRef]
- Frelich, L.E.; Calcote, R.R.; Davis, M.B.; Pastor, J. Patch formation and maintenance in an old-growth hemlock-hardwood forest. Ecology 1993, 74, 513–527. [Google Scholar] [CrossRef]
- Qi, Y.; Zhang, G.; Xiong, Z.; Yang, T. Spatial point pattern analysis for coarse woody debris in karst mixed evergreen and deciduous broadleaved forest. Acta Ecol. Sin. 2019, 39, 4933–4943. [Google Scholar]
- Harms, K.E.; Wright, S.J.; Calderón, O.; Hernandez, A.; Herre, E.A. Pervasive density-dependent recruitment enhances seedling diversity in a tropical forest. Nature 2000, 404, 493–495. [Google Scholar] [CrossRef]
- Wiegand, T.; Moloney, K.A. Rings, circles, and null-models for point pattern analysis in ecology. Oikos 2004, 104, 209–229. [Google Scholar] [CrossRef]
- Boyden, S.; Binkley, D.; Shepperd, W. Spatial and temporal patterns in structure, regeneration, and mortality of an old-growth ponderosa pine forest in the Colorado Front Range. For. Ecol. Manag. 2005, 219, 43–55. [Google Scholar] [CrossRef]
- Zhang, H.; Chen, S.; Xia, X.; Ge, X.; Zhou, D.; Wang, Z. The competitive mechanism between post-abandonment Chinese fir plantations and rehabilitated natural secondary forest species under an in situ conservation policy. For. Ecol. Manag. 2021, 502, 119725. [Google Scholar] [CrossRef]
- Zhu, Y.; Comita, L.S.; Hubbell, S.P.; Ma, K. Conspecific and phylogenetic density-dependent survival differs across life stages in a tropical forest. J. Ecol. 2015, 103, 957–966. [Google Scholar] [CrossRef]
- Getzin, S.; Dean, C.; He, F.; Trofymow, J.A.; Wiegand, K.; Wiegand, T. Spatial patterns and competition of tree species in a Douglas-fir chronosequence on Vancouver Island. Ecography 2006, 29, 671–682. [Google Scholar] [CrossRef]
- Pommerening, A.; Särkkä, A. What mark variograms tell about spatial plant interactions. Ecol. Model. 2013, 251, 64–72. [Google Scholar] [CrossRef]
- Lu, Z.; Liu, F.; Wu, H.; Jiang, M. Species composition, size class, and spatial patterns of snags in the Badagongshan (BDGS) mixed evergreen and deciduous broad-leaved forest in central China. Biodivers. Sci. 2015, 23, 167. [Google Scholar] [CrossRef]
- Rouvinen, S.; Kouki, J. Spatiotemporal availability of dead wood in protected old-growth forests: A case study from boreal forests in eastern Finland. Scand. J. For. Res. 2002, 17, 317–329. [Google Scholar] [CrossRef]
- Griscom, B.W.; Ashton, P.M.S. A self-perpetuating bamboo disturbance cycle in a neotropical forest. J. Trop. Ecol. 2006, 22, 587–597. [Google Scholar] [CrossRef]
- Kudo, G.; Amagai, Y.; Hoshino, B.; Kaneko, M. Invasion of dwarf bamboo into alpine snow-meadows in northern Japan: Pattern of expansion and impact on species diversity. Ecol. Evol. 2011, 1, 85–96. [Google Scholar] [CrossRef]
- Ren, Y.; Luo, D.; Zhou, Y.; Fang, J.; Lu, J. Spatial distribution patterns of coarse woody debris in the Abies georgei var. smithii pristine forest in the Sejila Mountain. Acta Ecol. Sin. 2019, 39, 8048–8057. [Google Scholar]
- Chu, C.J.; Maestre, F.T.; Xiao, S.; Weiner, J.; Wang, Y.S.; Duan, Z.H.; Wang, G. Balance between facilitation and resource competition determines biomass–density relationships in plant populations. Ecol. Lett. 2008, 11, 1189–1197. [Google Scholar] [CrossRef]
- Lin, Y.; Berger, U.; Grimm, V.; Ji, Q.R. Differences between symmetric and asymmetric facilitation matter: Exploring the interplay between modes of positive and negative plant interactions. J. Ecol. 2012, 100, 1482–1491. [Google Scholar] [CrossRef]
- Waterman, J.M.; Roth, J.D. Interspecific associations of Cape ground squirrels with two mongoose species: Benefit or cost? Behav. Ecol. Sociobiol. 2007, 61, 1675–1683. [Google Scholar] [CrossRef]
- Manabe, T.; Nishimura, N.; Miura, M.; Yamamoto, S. Population structure and spatial patterns for trees in a temperate old-growth evergreen broad-leaved forest in Japan. Plant Ecol. 2000, 151, 181–197. [Google Scholar] [CrossRef]
- Pedlar, J.H.; Pearce, J.L.; Venier, L.A.; McKenney, D.W. Coarse woody debris in relation to disturbance and forest type in boreal Canada. For. Ecol. Manag. 2002, 158, 189–194. [Google Scholar] [CrossRef]
- Siitonen, J.; Martikainen, P.; Punttila, P.; Rauh, J. Coarse woody debris and stand characteristics in mature managed and old-growth boreal mesic forests in southern Finland. For. Ecol. Manag. 2000, 128, 211–225. [Google Scholar] [CrossRef]








| Types | Characteristics |
|---|---|
| Fallen tree | Dead tree with inclination ≥ 45°, large end diameter ≥ 10 cm, and length ≥ 1 m |
| Snag | Dead tree with inclination < 45°, large end diameter ≥ 10 cm, and length ≥ 1 m |
| Stump | Dead tree with inclination < 45°, large end diameter ≥ 10 cm, and height < 1 m |
Disclaimer/Publisher’s Note: The statements, opinions and data contained in all publications are solely those of the individual author(s) and contributor(s) and not of MDPI and/or the editor(s). MDPI and/or the editor(s) disclaim responsibility for any injury to people or property resulting from any ideas, methods, instructions or products referred to in the content. |
© 2023 by the authors. Licensee MDPI, Basel, Switzerland. This article is an open access article distributed under the terms and conditions of the Creative Commons Attribution (CC BY) license (https://creativecommons.org/licenses/by/4.0/).
Share and Cite
Chen, X.; Bai, S. Effects of Moso Bamboo Expansion on the Spatial Pattern of Coarse Woody Debris in Secondary Coniferous and Broad-Leaved Mixed Forest in Wuxie National Forest Park, China. Forests 2023, 14, 1402. https://doi.org/10.3390/f14071402
Chen X, Bai S. Effects of Moso Bamboo Expansion on the Spatial Pattern of Coarse Woody Debris in Secondary Coniferous and Broad-Leaved Mixed Forest in Wuxie National Forest Park, China. Forests. 2023; 14(7):1402. https://doi.org/10.3390/f14071402
Chicago/Turabian StyleChen, Xi, and Shangbin Bai. 2023. "Effects of Moso Bamboo Expansion on the Spatial Pattern of Coarse Woody Debris in Secondary Coniferous and Broad-Leaved Mixed Forest in Wuxie National Forest Park, China" Forests 14, no. 7: 1402. https://doi.org/10.3390/f14071402
APA StyleChen, X., & Bai, S. (2023). Effects of Moso Bamboo Expansion on the Spatial Pattern of Coarse Woody Debris in Secondary Coniferous and Broad-Leaved Mixed Forest in Wuxie National Forest Park, China. Forests, 14(7), 1402. https://doi.org/10.3390/f14071402
