Growth Response of European Beech (Fagus sylvatica L.) and Silver Fir (Abies alba Mill.) to Climate Factors along the Carpathian Massive
Abstract
1. Introduction
2. Materials and Methods
3. Results
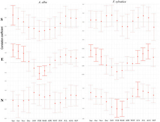
3.1. General Climate Response
3.2. Comparison of Beech and Fir Climate Response between Southern, Eastern and Northern Carpathians
3.3. Growth Response of Beech and Fir in Time
3.4. Climate Response between South, East, and North Carpathians
3.5. Comparison of Climate Response between Managed and Old Growth Forest
4. Discussion
5. Conclusions
Author Contributions
Funding
Data Availability Statement
Acknowledgments
Conflicts of Interest
Appendix A

References
- Parry, M.L.; Canziani, O.F.; Palutikof, J.P.; Van Der Linden, P.J.; Hanson, C.E. IPCC, 2007: Climate Change 2007: Impacts, Adaptation and Vulnerability. Contribution of Working Group II to the Fourth Assessment Report of the Intergovernmental Panel on Climate Change; Cambridge University Press: Cambridge, UK, 2007. [Google Scholar]
- Brousseau, L.; Postolache, D.; Lascoux, M.; Drouzas, A.D.; Källman, T.; Leonarduzzi, C.; Liepelt, S.; Piotti, A.; Popescu, F.; Roschanski, A.M. Local adaptation in European firs assessed through extensive sampling across altitudinal gradients in southern Europe. PLoS ONE 2016, 11, e0158216. [Google Scholar] [CrossRef] [PubMed]
- Gazol, A.; Camarero, J.J.; Gutiérrez, E.; Popa, I.; Andreu-Hayles, L.; Motta, R.; Nola, P.; Ribas, M.; Sangüesa-Barreda, G.; Urbinati, C. Distinct effects of climate warming on populations of silver fir (Abies alba) across Europe. J. Biogeogr. 2015, 42, 1150–1162. [Google Scholar] [CrossRef]
- Dobrowolska, D.; Bončina, A.; Klumpp, R. Ecology and silviculture of silver fir (Abies alba Mill.): A review. J. For. Res. 2017, 22, 326–335. [Google Scholar] [CrossRef]
- Ellenberg, H.H. Vegetation Ecology of Central Europe; Cambridge University Press: Cambridge, UK, 1988. [Google Scholar]
- Auñon, F.; del Barrio, J.M.G.; Mancha, J.; Vries, S.; Alia, R. Regions of Provenance of European Beech (Fagus sylvatica L.) in Europe. In Genetic Resources of European Beech (Fagus sylvatica L.) for Sustainable Forestry; Ministerio de Ciencia e Innovacion: Madrid, Spain, 2011; pp. 141–148. [Google Scholar]
- Jump, A.S.; Hunt, M.; Martinez-Izquieirdo, J.A.; Peñuelas, J. Natural selection and climate change: Temperature-linked spatial and temporal trends in gene frequency in Fagus sylvatica. Mol. Ecol. 2006, 15, 3469–3480. [Google Scholar] [CrossRef] [PubMed]
- Bošela, M.; Lukac, M.; Castagneri, D.; Sedmák, R.; Biber, P.; Carrer, M.; Konôpka, B.; Nola, P.; Nagel, T.A.; Popa, I. Contrasting effects of environmental change on the radial growth of co-occurring beech and fir trees across Europe. Sci. Total Environ. 2018, 615, 1460–1469. [Google Scholar] [CrossRef] [PubMed]
- Scharnweber, T.; Manthey, M.; Criegee, C.; Bauwe, A.; Schröder, C.; Wilmking, M. Drought matters–Declining precipitation influences growth of Fagus sylvatica L. and Quercus robur L. in north-eastern Germany. For. Ecol. Manag. 2011, 262, 947–961. [Google Scholar] [CrossRef]
- Kint, V.; Aertsen, W.; Campioli, M.; Vansteenkiste, D.; Delcloo, A.; Muys, B. Radial growth change of temperate tree species in response to altered regional climate and air quality in the period 1901–2008. Clim. Chang. 2012, 115, 343–363. [Google Scholar] [CrossRef]
- Zimmermann, J.; Hauck, M.; Dulamsuren, C.; Leuschner, C. Climate warming-related growth decline affects Fagus sylvatica, but not other broad-leaved tree species in Central European mixed forests. Ecosystems 2015, 18, 560–572. [Google Scholar] [CrossRef]
- Walentowski, H.; Falk, W.; Mette, T.; Kunz, J.; Bräuning, A.; Meinardus, C.; Zang, C.; Sutcliffe, L.M.E.; Leuschner, C. Assessing Future Suitability of Tree Species under Climate Change by Multiple Methods: A Case Study in Southern Germany. Ann. For. Res. 2017, 60, 101–126. [Google Scholar] [CrossRef]
- Ellenberg, H. Coniferous woodland and mixed woods dominated by conifers. In Vegetation Ecology of Central Europe; Cambridge University Press: Cambridge, UK; New York, NY, USA; Milbourne, UK, 2009; pp. 191–242. [Google Scholar]
- Schütt, P.; Fleischer, M. Eichenvergilbung–eine neue, noch ungeklärte Krankheit der Stieleiche in Süddeutschland. Österr. Forstztg. 1987, 3, 60–62. [Google Scholar]
- Heuze, P.; Schnitzler, A.; Klein, F. Is browsing the major factor of silver fir decline in the Vosges Mountains of France? For. Ecol. Manag. 2005, 217, 219–228. [Google Scholar] [CrossRef]
- Vitali, V.; Büntgen, U.; Bauhus, J. Silver fir and Douglas fir are more tolerant to extreme droughts than Norway spruce in south-western Germany. Glob. Chang. Biol. 2017, 23, 5108–5119. [Google Scholar] [CrossRef] [PubMed]
- Macias, M.; Andreu, L.; Bosch, O.; Camarero, J.J.; Gutiérrez, E. Increasing aridity is enhancing silver fir Abies alba mill.) water stress in its south-western distribution limit. Clim. Chang. 2006, 79, 289–313. [Google Scholar] [CrossRef]
- Battipaglia, G.; Saurer, M.; Cherubini, P.; Siegwolf, R.T.; Cotrufo, M.F. Tree rings indicate different drought resistance of a native (Abies alba Mill.) and a nonnative (Picea abies (L.) Karst.) species co-occurring at a dry site in Southern Italy. For. Ecol. Manag. 2009, 257, 820–828. [Google Scholar] [CrossRef]
- Bohn, U.; Gollub, G.; Hettwer, C.; Weber, H.; Neuhäuslová, Z.; Raus, T.; Schlüter, H. Karte der Natürlichen Vegetation Europas/Map of the Natural Vegetation of Europe, Maßstab/Scale 1: 2,500,000; Landwirtschaftsverlag: Münster, Germany, 2000. [Google Scholar]
- Čater, M.; Levanič, T. Beech and silver fir’s response along the Balkan’s latitudinal gradient. Sci. Rep. 2019, 9, 16269. [Google Scholar] [CrossRef]
- Micu, D.M.; Dumitrescu, A.; Cheval, S.; Birsan, M.-V. Climate of the Romanian Carpathians; Springer: Berlin/Heidelberg, Germany, 2016. [Google Scholar]
- González, I.G.; Eckstein, D. Climatic signal of earlywood vessels of oak on a maritime site. Tree Physiol. 2003, 23, 497–504. [Google Scholar] [CrossRef] [PubMed]
- Levanič, T. Atrics—A New System for Image Acquisition in Dendrochronology. Tree-Ring Res. 2007, 63, 117–122, 116. [Google Scholar]
- Bunn, A.G. A dendrochronology program library in R (dplR). Dendrochronologia 2008, 26, 115–124. [Google Scholar] [CrossRef]
- Wigley, T.; Briffa, K.R.; Jones, P.D. On the average value of correlated time series, with applications in dendroclimatology and hydrometeorology. J. Clim. Appl. Meteorol. 1984, 23, 201–213. [Google Scholar] [CrossRef]
- Zang, C.; Biondi, F. treeclim: An R package for the numerical calibration of proxy-climate relationships. Ecography 2015, 38, 431–436. [Google Scholar] [CrossRef]
- Nechita, C.; Popa, I.; Eggertsson, Ó. Climate response of oak (Quercus spp.), an evidence of a bioclimatic boundary induced by the Carpathians. Sci. Total Environ. 2017, 599–600, 1598–1607. [Google Scholar] [CrossRef]
- Sofletea, N.; Curtu, L. Dendrologie; Editura Universitatii Transilvania din Brasov: Brasov, Romania, 2007. [Google Scholar]
- Rehfeldt, G.; Tchebakova, N.M.; Barnhardt, L. Efficacy of climate transfer functions: Introduction of Eurasian populations of Larix into Alberta. Can. J. For. Res. 2011, 29, 1660–1668. [Google Scholar] [CrossRef]
- Ficko, A.; Poljanec, A.; Boncina, A. Do changes in spatial distribution, structure and abundance of silver fir (Abies alba Mill.) indicate its decline? For. Ecol. Manag. 2011, 261, 844–854. [Google Scholar] [CrossRef]
- Mihai, G.; Bîrsan, M.-V.; Dumitrescu, A.; Alexandru, A.; Mirancea, I.; Ivanov, P.; Stuparu, E.; Teodosiu, M.; Daia, M. Adaptive genetic potential of European silver fir in Romania in the context of climate change. Ann. For. Res. 2018, 61, 95–108. [Google Scholar] [CrossRef]
- Konnert, M.; Bergmann, F. The geographical distribution of genetic variation of silver fir (Abies alba, Pinaceae) in relation to its migration history. Plant Syst. Evol. 1995, 196, 19–30. [Google Scholar] [CrossRef]
- Cailleret, M.; Nourtier, M.; Amm, A.; Durand-Gillmann, M.; Davi, H. Drought-induced decline and mortality of silver fir differ among three sites in Southern France. Ann. For. Sci. 2013, 71, 1–15. [Google Scholar] [CrossRef]
- Durak, T. Long-term trends in vegetation changes of managed versus unmanaged Eastern Carpathian beech forests. For. Ecol. Manag. 2010, 260, 1333–1344. [Google Scholar] [CrossRef]
- Kucbel, S.; Saniga, M.; Jaloviar, P.; Vencurik, J. Stand structure and temporal variability in old-growth beech-dominated forests of the northwestern Carpathians: A 40-years perspective. For. Ecol. Manag. 2012, 264, 125–133. [Google Scholar] [CrossRef]
- Martinez Del Castillo, E.; Zang, C.S.; Buras, A.; Hacket-Pain, A.; Esper, J.; Serrano-Notivoli, R.; Hartl, C.; Weigel, R.; Klesse, S.; Resco de Dios, V.; et al. Climate-change-driven growth decline of European beech forests. Commun. Biol. 2022, 5, 163. [Google Scholar] [CrossRef]
- Tinner, W.; Colombaroli, D.; Heiri, O.; Henne, P.D.; Steinacher, M.; Untenecker, J.; Vescovi, E.; Allen, J.R.; Carraro, G.; Conedera, M. The past ecology of Abies alba provides new perspectives on future responses of silver fir forests to global warming. Ecol. Monogr. 2013, 83, 419–439. [Google Scholar] [CrossRef]
- Klopčič, M.; Mina, M.; Bugmann, H.; Bončina, A. The prospects of silver fir (Abies alba Mill.) and Norway spruce (Picea abies (L.) Karst) in mixed mountain forests under various management strategies, climate change and high browsing pressure. Eur. J. For. Res. 2017, 136, 1071–1090. [Google Scholar] [CrossRef]
- Šamonil, P.; Antolík, L.; Svoboda, M.; Adam, D. Dynamics of windthrow events in a natural fir-beech forest in the Carpathian mountains. For. Ecol. Manag. 2009, 257, 1148–1156. [Google Scholar] [CrossRef]
- Vrška, T.; Adam, D.; Hort, L.; Kolář, T.; Janík, D. European beech (Fagus sylvatica L.) and silver fir (Abies alba Mill.) rotation in the Carpathians—A developmental cycle or a linear trend induced by man? For. Ecol. Manag. 2009, 258, 347–356. [Google Scholar] [CrossRef]
- Janík, D.; Adam, D.; Hort, L.; Král, K.; Šamonil, P.; Unar, P.; Vrška, T. Tree spatial patterns of Abies alba and Fagus sylvatica in the Western Carpathians over 30 years. Eur. J. For. Res. 2014, 133, 1015–1028. [Google Scholar] [CrossRef]
- Brang, P.; Spathelf, P.; Larsen, J.B.; Bauhus, J.; Boncčìna, A.; Chauvin, C.; Drössler, L.; García-Güemes, C.; Heiri, C.; Kerr, G.; et al. Suitability of close-to-nature silviculture for adapting temperate European forests to climate change. For. Int. J. For. Res. 2014, 87, 492–503. [Google Scholar] [CrossRef]
- Bouriaud, O.; Popa, I. Comparative dendroclimatic study of Scots pine, Norway spruce, and silver fir in the Vrancea Range, Eastern Carpathian Mountains. Trees 2008, 23, 95–106. [Google Scholar] [CrossRef]
- Petritan, I.C.; Commarmot, B.; Hobi, M.L.; Petritan, A.M.; Bigler, C.; Abrudan, I.V.; Rigling, A. Structural patterns of beech and silver fir suggest stability and resilience of the virgin forest Sinca in the Southern Carpathians, Romania. For. Ecol. Manag. 2015, 356, 184–195. [Google Scholar] [CrossRef]
- Mátýas, C.; Vendramin, G.G.; Fady, B. Forests at the limit: Evolutionary—Genetic consequences of environmental changes at the receding (xeric) edge of distribution. Report from a research workshop. Ann. For. Sci. 2009, 66, 800. [Google Scholar] [CrossRef]
- Lefèvre, F.; Boivin, T.; Bontemps, A.; Courbet, F.; Davi, H.; Durand-Gillmann, M.; Fady, B.; Gauzere, J.; Gidoin, C.; Karam, M.-J.; et al. Considering evolutionary processes in adaptive forestry. Ann. For. Sci. 2014, 71, 723–739. [Google Scholar] [CrossRef]
- Fady, B.; Aravanopoulos, F.; Alizoti, P.; Mátyás, C.; Wuehlisch, G.; Westergren, M.; Belletti, P.; Cvjetkovic, B.; Ducci, F.; Huber, G.; et al. Evolution-based approach needed for the conservation and silviculture of peripheral forest tree populations. For. Ecol. Manag. 2016, 375, 66–75. [Google Scholar] [CrossRef]





| No. | County | Plot | Managed/Old Growth Forest | Altitude (m) | E (DMS) | N (DMS) |
|---|---|---|---|---|---|---|
| 1 | Gorj | Tismana | managed | 985 | 22°55′1.00″ | 45°10′10.00″ |
| 2 | Arges | Arefu | managed | 995 | 24°39′4.00″ | 45°27′37.00″ |
| 3 | Buzau | Zagon | old growth | 1038 | 26°13′44.00″ | 45°36′51.00″ |
| 4 | Vrancea | Soveja | managed | 830 | 26°36′14.00″ | 46°0′5.00″ |
| 5 | Neamt | Tarcau | managed | 950 | 26°10′6.00″ | 46°51′15.00″ |
| 6 | Suceava | Frumosu | managed | 850 | 25°40′60.00″ | 47°28′6.00″ |
| 7 | Bardejov | Livovska huta | managed | 880 | 21°0′59.62″ | 49°15′17.06″ |
| Group of Research Sites | Average Temperature (°C) | Temperature May to AUGUST (°C) | Average Precipitation (mm/Month) | Precipitation May to August (mm/Month) |
|---|---|---|---|---|
| S: site 1, 2, 3 | 7.7 | 15.9 | 65.1 | 96.4 |
| E: site 4, 5, 6 | 7.1 | 16.0 | 53.9 | 84.1 |
| N: site 7 | 7.2 | 15.5 | 63.1 | 94.0 |
| Site | F. sylvatica | A. alba |
|---|---|---|
| 1 | 0.864 | 0.818 |
| 2 | 0.869 | 0.869 |
| 3 | 0.862 | 0.878 |
| 4 | 0.874 | 0.893 |
| 5 | 0.855 | 0.898 |
| 6 | 0.952 | 0.864 |
| 7 | 0.919 | 0.877 |
Disclaimer/Publisher’s Note: The statements, opinions and data contained in all publications are solely those of the individual author(s) and contributor(s) and not of MDPI and/or the editor(s). MDPI and/or the editor(s) disclaim responsibility for any injury to people or property resulting from any ideas, methods, instructions or products referred to in the content. |
© 2023 by the authors. Licensee MDPI, Basel, Switzerland. This article is an open access article distributed under the terms and conditions of the Creative Commons Attribution (CC BY) license (https://creativecommons.org/licenses/by/4.0/).
Share and Cite
Adamič, P.C.; Levanič, T.; Hanzu, M.; Čater, M. Growth Response of European Beech (Fagus sylvatica L.) and Silver Fir (Abies alba Mill.) to Climate Factors along the Carpathian Massive. Forests 2023, 14, 1318. https://doi.org/10.3390/f14071318
Adamič PC, Levanič T, Hanzu M, Čater M. Growth Response of European Beech (Fagus sylvatica L.) and Silver Fir (Abies alba Mill.) to Climate Factors along the Carpathian Massive. Forests. 2023; 14(7):1318. https://doi.org/10.3390/f14071318
Chicago/Turabian StyleAdamič, Pia Caroline, Tom Levanič, Mihail Hanzu, and Matjaž Čater. 2023. "Growth Response of European Beech (Fagus sylvatica L.) and Silver Fir (Abies alba Mill.) to Climate Factors along the Carpathian Massive" Forests 14, no. 7: 1318. https://doi.org/10.3390/f14071318
APA StyleAdamič, P. C., Levanič, T., Hanzu, M., & Čater, M. (2023). Growth Response of European Beech (Fagus sylvatica L.) and Silver Fir (Abies alba Mill.) to Climate Factors along the Carpathian Massive. Forests, 14(7), 1318. https://doi.org/10.3390/f14071318

