Hibiscus hamabo Rootstock-Grafting Improves Photosynthetic Capacity of Hibiscus syriacus under Salt Stress
Abstract
1. Introduction
2. Materials and Methods
2.1. Plant Cultivation and Salt Treatment
2.2. Harvesting
2.3. Determination of Chlorophyll and Carotenoids
2.4. Determination of Gas Exchange
2.5. Determination of Chlorophyll Fluorescence Parameters
2.6. Analysis of Transcript Levels
2.7. Statistical Analysis
3. Results
3.1. Morphology and Photosynthetic Pigments
3.2. Gas-Exchange Parameters
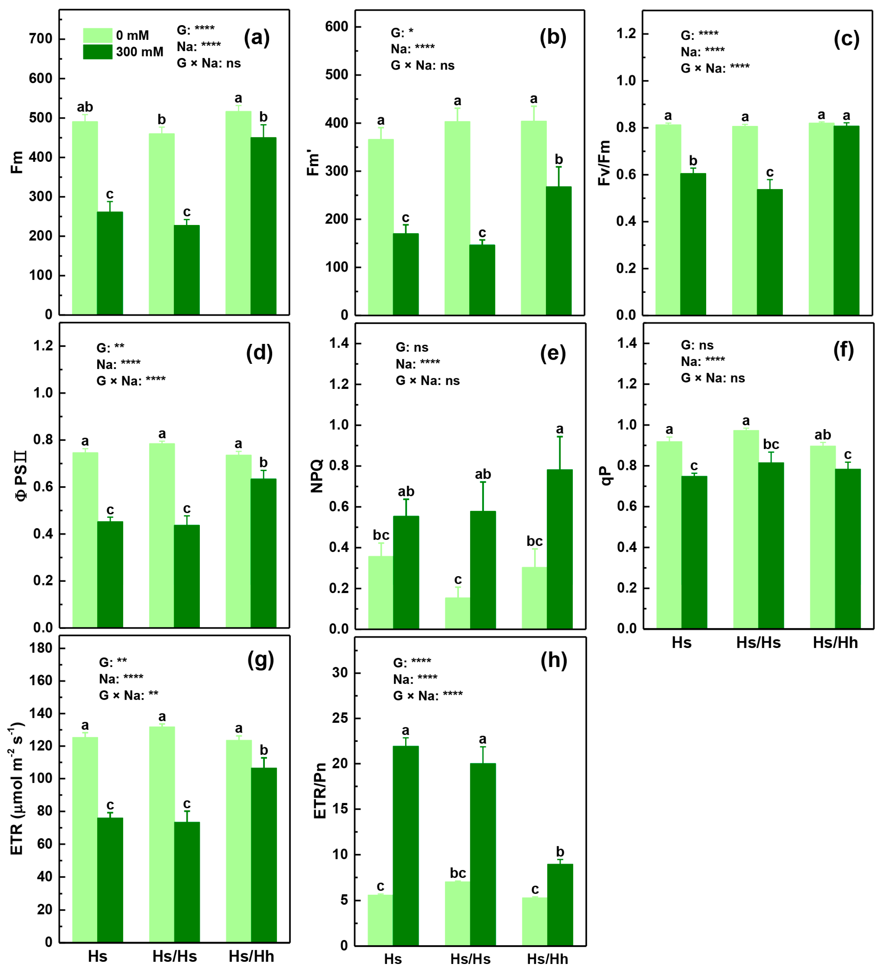
3.3. Chlorophyll Fluorescence Parameters
3.4. PCA Analysis of Photosynthetic Parameters
3.5. Changes in mRNA Levels of Key Genes Participating in Photosynthesis
4. Discussion
4.1. Grafting onto H. hamabo Rootstock Ameliorates the Inhibition of Saline on the Photosynthetic Capacity of H. syriacus Leaves
4.2. Grafting Alleviates the Inhibition of Salt Stress on Photosynthetic Capacity through Amelioration of Photosynthetic Pigment Reduction
4.3. Grafting Alleviates the Inhibition of Salt Stress on Photosynthetic Capacity through Amelioration of Limitations on Photochemical Efficiency
4.4. Grafting Alleviates the Limitation of Salt Stress on Photosynthetic Capacity through Amelioration of Inhibition on mRNA Levels of Genes Involved in the CBB Cycle
5. Conclusions
Supplementary Materials
Author Contributions
Funding
Institutional Review Board Statement
Informed Consent Statement
Data Availability Statement
Conflicts of Interest
References
- Behera, T.K.; Krishna, R.; Ansari, W.A.; Aamir, M.; Kumar, P.; Kashyap, S.P.; Pandey, S.; Kole, C. Approaches involved in the vegetable crops salt stress tolerance improvement: Present status and way ahead. Front. Plant Sci. 2022, 12, 3104. [Google Scholar] [CrossRef] [PubMed]
- Li, W.; Meng, R.; Liu, Y.; Chen, S.; Jiang, J.; Wang, L.; Zhao, S.; Wang, Z.; Fang, W.; Chen, F. Heterografted chrysanthemums enhance salt stress tolerance by integrating reactive oxygen species, soluble sugar, and proline. Hortic. Res. 2022, 9, uhac073. [Google Scholar] [CrossRef] [PubMed]
- Luo, J.; Shi, W.; Li, H.; Janz, D.; Luo, Z.-B. The conserved salt-responsive genes in the roots of Populus × canescens and Arabidopsis thaliana. Environ. Exp. Bot. 2016, 129, 48–56. [Google Scholar] [CrossRef]
- Li, H.; Lin, J.; Yang, Q.-S.; Li, X.-G.; Chang, Y.-H. Comprehensive analysis of differentially expressed genes under salt stress in pear (Pyrus betulaefolia) using RNA-Seq. Plant Growth Regul. 2017, 82, 409–420. [Google Scholar] [CrossRef]
- Yan, Y.; Wang, S.; Wei, M.; Gong, B.; Shi, Q. Effect of Different Rootstocks on the Salt Stress Tolerance in Watermelon Seedlings. Hortic. Plant J. 2018, 4, 239–249. [Google Scholar] [CrossRef]
- Rahman, A.; Hossain, M.S.; Mahmud, J.-A.; Nahar, K.; Hasanuzzaman, M.; Fujita, M. Manganese-induced salt stress tolerance in rice seedlings: Regulation of ion homeostasis, antioxidant defense and glyoxalase systems. Physiol. Mol. Biol. Plants 2016, 22, 291–306. [Google Scholar] [CrossRef]
- Yang, Y.; Yu, L.; Wang, L.; Guo, S. Bottle gourd rootstock-grafting promotes photosynthesis by regulating the stomata and non-stomata performances in leaves of watermelon seedlings under NaCl stress. J. Plant Physiol. 2015, 186–187, 50–58. [Google Scholar] [CrossRef]
- Barhoumi, Z.; Atia, A.; Hussain, A.A.; Albinhassan, T.H.; Saleh, K.A. Effects of high salinity on photosynthesis characteristics, leaf histological components and chloroplasts ultrastructure of Avicennia marina seedlings. Acta Physiol. Plant. 2022, 44, 85. [Google Scholar] [CrossRef]
- Feng, X.; Guo, K.; Yang, C.; Li, J.; Chen, H.; Liu, X. Growth and fruit production of tomato grafted onto wolfberry (Lycium chinense) rootstock in saline soil. Sci. Hortic. 2019, 255, 298–305. [Google Scholar] [CrossRef]
- Patil, S.; Shinde, M.; Prashant, R.; Kadoo, N.; Upadhyay, A.; Gupta, V. Comparative Proteomics Unravels the Differences in Salt Stress Response of Own-Rooted and 110R-Grafted Thompson Seedless Grapevines. J. Proteome Res. 2020, 19, 583–599. [Google Scholar] [CrossRef]
- Niu, M.; Huang, Y.; Sun, S.; Sun, J.; Cao, H.; Shabala, S.; Bie, Z. Root respiratory burst oxidase homologue-dependent H2O2 production confers salt tolerance on a grafted cucumber by controlling Na+ exclusion and stomatal closure. J. Exp. Bot. 2018, 69, 3465–3476. [Google Scholar] [CrossRef] [PubMed]
- Zhang, H.H.; Li, X.; Zhang, S.B.; Yin, Z.P.; Zhu, W.X.; Li, J.B.; Meng, L.; Zhong, H.X.; Xu, N.; Wu, Y.N. Rootstock Alleviates Salt Stress in Grafted Mulberry Seedlings: Physiological and PSII Function Responses. Front. Plant Sci. 2018, 9, 1806. [Google Scholar] [CrossRef]
- Lazare, S.; Yasuor, H.; Yermiyahu, U.; Kuhalskaya, A.; Brotman, Y.; Ben-Gal, A.; Dag, A. It takes two: Reciprocal scion-rootstock relationships enable salt tolerance in ‘Hass’ avocado. Plant Sci. 2021, 312, 111048. [Google Scholar] [CrossRef] [PubMed]
- Simpson, C.R.; Nelson, S.D.; Melgar, J.C.; Jifon, J.; Schuster, G.; Volder, A. Effects of salinity on physiological parameters of grafted and ungrafted citrus trees. Sci. Hortic. 2015, 197, 483–489. [Google Scholar] [CrossRef]
- Magdalita, P.M.; San Pascual, A.O. Hibiscus (Hibiscus rosa-sinensis): Importance and Classification. In Floriculture and Ornamental Plants; Datta, S.K., Gupta, Y.C., Eds.; Springer: Singapore, 2020; pp. 1–44. [Google Scholar] [CrossRef]
- Punasiya, R.; Devre, K.; Pillai, S. Pharmacognostic and Pharmacological overview on Hibiscus syriacus L. Int. J. Pharm. Life Sci. 2014, 5, 3617–3621. [Google Scholar]
- Wang, Z.; Xue, J.-Y.; Hu, S.-Y.; Zhang, F.; Yu, R.; Chen, D.; Van de Peer, Y.; Jiang, J.; Song, A.; Ni, L.; et al. The genome of Hibiscus hamabo reveals its adaptation to saline and waterlogged habitat. Hortic. Res. 2022, 9, uhac067. [Google Scholar] [CrossRef] [PubMed]
- Sakhanokho, H.F.; Islam-Faridi, N.; Babiker, E.M.; Nelson, C.D.; Stringer, S.J.; Adamczyk Jr, J.J. Determination of nuclear DNA content, ploidy, and FISH location of ribosomal DNA in Hibiscus hamabo. Sci. Hortic. 2020, 264, 109167. [Google Scholar] [CrossRef]
- He, J.; Ma, C.; Ma, Y.; Li, H.; Kang, J.; Liu, T.; Polle, A.; Peng, C.; Luo, Z.-B. Cadmium tolerance in six poplar species. Environ. Sci. Pollut. Res. 2013, 20, 163–174. [Google Scholar] [CrossRef] [PubMed]
- Lu, W.; Wei, G.; Zhou, B.; Liu, J.; Zhang, S.; Guo, J. A comparative analysis of photosynthetic function and reactive oxygen species metabolism responses in two hibiscus cultivars under saline conditions. Plant Physiol. Biochem. PPB 2022, 184, 87–97. [Google Scholar] [CrossRef]
- Maxwell, K.; Johnson, G.N. Chlorophyll fluorescence—A practical guide. J. Exp. Bot. 2000, 51, 659–668. [Google Scholar] [CrossRef]
- Toral-Juárez, M.A.; Avila, R.T.; Cardoso, A.A.; Brito, F.A.L.; Machado, K.L.G.; Almeida, W.L.; Souza, R.P.B.; Martins, S.C.V.; DaMatta, F.M. Drought-tolerant coffee plants display increased tolerance to waterlogging and post-waterlogging reoxygenation. Environ. Exp. Bot. 2021, 182, 104311. [Google Scholar] [CrossRef]
- Cao, X.; Jia, J.; Zhang, C.; Li, H.; Liu, T.; Jiang, X.; Polle, A.; Peng, C.; Luo, Z.B. Anatomical, physiological and transcriptional responses of two contrasting poplar genotypes to drought and re-watering. Physiol. Plant. 2014, 151, 480. [Google Scholar] [CrossRef]
- Lu, Y.; Deng, S.; Li, Z.; Wu, J.; Zhu, D.; Shi, W.; Zhou, J.; Fayyaz, P.; Luo, Z.B. Physiological Characteristics and Transcriptomic Dissection in Two Root Segments with Contrasting Net Fluxes of Ammonium and Nitrate of Poplar Under Low Nitrogen Availability. Plant Cell Physiol. 2022, 63, 30–44. [Google Scholar] [CrossRef] [PubMed]
- Ye, Z.P.; Yu, Q. A coupled model of stomatal conductance and photosynthesis for winter wheat. Photosynthetica 2008, 46, 637–640. [Google Scholar] [CrossRef]
- Penella, C.; Landi, M.; Guidi, L.; Nebauer, S.G.; Pellegrini, E.; San Bautista, A.; Remorini, D.; Nali, C.; Lopez-Galarza, S.; Calatayud, A. Salt-tolerant rootstock increases yield of pepper under salinity through maintenance of photosynthetic performance and sinks strength. J. Plant Physiol. 2016, 193, 1–11. [Google Scholar] [CrossRef] [PubMed]
- Yan, K.; Wu, C.W.; Zhang, L.H.; Chen, X.B. Contrasting photosynthesis and photoinhibition in tetraploid and its autodiploid honeysuckle (Lonicera japonica Thunb.) under salt stress. Front. Plant Sci. 2015, 6, 227. [Google Scholar] [CrossRef]
- He, Y.; Zhu, Z.; Yang, J.; Ni, X.; Zhu, B. Grafting increases the salt tolerance of tomato by improvement of photosynthesis and enhancement of antioxidant enzymes activity. Environ. Exp. Bot. 2009, 66, 270–278. [Google Scholar] [CrossRef]
- Liu, Z.; Bie, Z.; Huang, Y.; Zhen, A.; Niu, M.; Lei, B. Rootstocks improve cucumber photosynthesis through nitrogen metabolism regulation under salt stress. Acta Physiol. Plant. 2013, 35, 2259–2267. [Google Scholar] [CrossRef]
- Li, C.; Wei, Z.; Liang, D.; Zhou, S.; Li, Y.; Liu, C.; Ma, F. Enhanced salt resistance in apple plants overexpressing a Malus vacuolar Na+/H+ antiporter gene is associated with differences in stomatal behavior and photosynthesis. Plant Physiol. Biochem. PPB 2013, 70, 164–173. [Google Scholar] [CrossRef]
- Zhen, A.; Bie, Z.; Huang, Y.; Liu, Z.; Lei, B. Effects of salt-tolerant rootstock grafting on ultrastructure, photosynthetic capacity, and H2O2-scavenging system in chloroplasts of cucumber seedlings under NaCl stress. Acta Physiol. Plant. 2011, 33, 2311–2319. [Google Scholar] [CrossRef]
- Karaba, A.; Dixit, S.; Greco, R.; Aharoni, A.; Trijatmiko, K.R.; Marsch-Martinez, N.; Krishnan, A.; Nataraja, K.N.; Udayakumar, M.; Pereira, A. Improvement of water use efficiency in rice by expression of HARDY, an Arabidopsis drought and salt tolerance gene. Proc. Natl. Acad. Sci. USA 2007, 104, 15270–15275. [Google Scholar] [CrossRef] [PubMed]
- Yang, Y.; Tang, R.J.; Jiang, C.M.; Li, B.; Kang, T.; Liu, H.; Zhao, N.; Ma, X.J.; Yang, L.; Chen, S.L.; et al. Overexpression of the PtSOS2 gene improves tolerance to salt stress in transgenic poplar plants. Plant Biotechnol. J. 2015, 13, 962–973. [Google Scholar] [CrossRef] [PubMed]
- Dos Santos Araujo, G.; de Oliveira Paula-Marinho, S.; de Paiva Pinheiro, S.K.; de Castro Miguel, E.; de Sousa Lopes, L.; Camelo Marques, E.; de Carvalho, H.H.; Gomes-Filho, E. H2O2 priming promotes salt tolerance in maize by protecting chloroplasts ultrastructure and primary metabolites modulation. Plant Sci. Int. J. Exp. Plant Biol. 2021, 303, 110774. [Google Scholar] [CrossRef]
- Souza, R.; Machado, E.; Silva, J.; Lagôa, A.; Silveira, J. Photosynthetic gas exchange, chlorophyll fluorescence and some associated metabolic changes in cowpea (Vigna unguiculata) during water stress and recovery. Environ. Exp. Bot. 2004, 51, 45–56. [Google Scholar] [CrossRef]
- Baker, N.R. Chlorophyll fluorescence: A probe of photosynthesis in vivo. Annu. Rev. Plant Biol. 2008, 59, 89–113. [Google Scholar] [CrossRef]
- Lucini, L.; Rouphael, Y.; Cardarelli, M.; Canaguier, R.; Kumar, P.; Colla, G. The effect of a plant-derived biostimulant on metabolic profiling and crop performance of lettuce grown under saline conditions. Sci. Hortic. 2015, 182, 124–133. [Google Scholar] [CrossRef]
- Liu, Z.X.; Bie, Z.L.; Huang, Y.; Zhen, A.; Lei, B.; Zhang, H.Y. Grafting onto Cucurbita moschata rootstock alleviates salt stress in cucumber plants by delaying photoinhibition. Photosynthetica 2012, 50, 152–160. [Google Scholar] [CrossRef]
- Ilikova, I.; Ilik, P.; Opatikova, M.; Arshad, R.; Nosek, L.; Karlicky, V.; Kucerova, Z.; Roudnicky, P.; Pospisil, P.; Lazar, D.; et al. Towards spruce-type photosystem II: Consequences of the loss of light-harvesting proteins LHCB3 and LHCB6 in Arabidopsis. Plant Physiol. 2021, 187, 2691–2715. [Google Scholar] [CrossRef] [PubMed]
- Che, Y.; Kusama, S.; Matsui, S.; Suorsa, M.; Nakano, T.; Aro, E.M.; Ifuku, K. Arabidopsis PsbP-Like Protein 1 Facilitates the Assembly of the Photosystem II Supercomplexes and Optimizes Plant Fitness under Fluctuating Light. Plant Cell Physiol. 2020, 61, 1168–1180. [Google Scholar] [CrossRef]
- Ihnatowicz, A.; Pesaresi, P.; Varotto, C.; Richly, E.; Schneider, A.; Jahns, P.; Salamini, F.; Leister, D. Mutants for photosystem I subunit D of Arabidopsis thaliana: Effects on photosynthesis, photosystem I stability and expression of nuclear genes for chloroplast functions. Plant J. Cell Mol. Biol. 2004, 37, 839–852. [Google Scholar] [CrossRef]
- Yi, X.; Hargett, S.R.; Frankel, L.K.; Bricker, T.M. The effects of simultaneous RNAi suppression of PsbO and PsbP protein expression in photosystem II of Arabidopsis. Photosynth. Res. 2008, 98, 439–448. [Google Scholar] [CrossRef] [PubMed]
- Yi, X.; McChargue, M.; Laborde, S.; Frankel, L.K.; Bricker, T.M. The manganese-stabilizing protein is required for photosystem II assembly/stability and photoautotrophy in higher plants. J. Biol. Chem. 2005, 280, 16170–16174. [Google Scholar] [CrossRef] [PubMed]
- Ifuku, K.; Yamamoto, Y.; Ono, T.-a.; Ishihara, S.; Sato, F. PsbP Protein, But Not PsbQ Protein, Is Essential for the Regulation and Stabilization of Photosystem II in Higher Plants. Plant Physiol. 2005, 139, 1175–1184. [Google Scholar] [CrossRef]
- Yu, A.; Xie, Y.; Pan, X.; Zhang, H.; Cao, P.; Su, X.; Chang, W.; Li, M. Photosynthetic Phosphoribulokinase Structures: Enzymatic Mechanisms and the Redox Regulation of the Calvin-Benson-Bassham Cycle. Plant Cell 2020, 32, 1556–1573. [Google Scholar] [CrossRef] [PubMed]
- Andersson, I.; Backlund, A. Structure and function of Rubisco. Plant Physiol. Biochem. 2008, 46, 275–291. [Google Scholar] [CrossRef] [PubMed]
- Carmo-Silva, A.E.; Salvucci, M.E. The regulatory properties of Rubisco activase differ among species and affect photosynthetic induction during light transitions. Plant Physiol. 2013, 161, 1645–1655. [Google Scholar] [CrossRef]
- Favery, B.; Lecomte, P.; Gil, N.; Bechtold, N.; Bouchez, D.; Dalmasso, A.; Abad, P. RPE, a plant gene involved in early developmental steps of nematode feeding cells. EMBO J. 1998, 17, 6799–6811. [Google Scholar] [CrossRef]
- Izumi, M.; Tsunoda, H.; Suzuki, Y.; Makino, A.; Ishida, H. RBCS1A and RBCS3B, two major members within the Arabidopsis RBCS multigene family, function to yield sufficient Rubisco content for leaf photosynthetic capacity. J. Exp. Bot. 2012, 63, 2159–2170. [Google Scholar] [CrossRef]
- Kim, S.Y.; Stessman, D.J.; Wright, D.A.; Spalding, M.H.; Huber, S.C.; Ort, D.R. Arabidopsis plants expressing only the redox-regulated Rca-α isoform have constrained photosynthesis and plant growth. Plant J. 2020, 103, 2250–2262. [Google Scholar] [CrossRef]
- Kurek, I.; Chang, T.K.; Bertain, S.M.; Madrigal, A.; Liu, L.; Lassner, M.W.; Zhu, G. Enhanced thermostability of Arabidopsis Rubisco activase improves photosynthesis and growth rates under moderate heat stress. Plant Cell 2007, 19, 3230–3241. [Google Scholar] [CrossRef]





| Grafting | NaCl | Pnmax (μmol CO2 m−2 s−1) | LSP (μmol m−2 s−1) | LCP (μmol m−2 s−1) | AQY (mol mol−1) | Rd (mmol CO2 m−2 s−1) |
|---|---|---|---|---|---|---|
| Hs | 0 mM | 15.32 ± 1.42 a | 1057.32 ± 186.86 ab | 36.09 ± 4.26 a | 0.11 ± 0.01 b | 3.39 ± 0.15 a |
| 300 mM | 5.97 ± 0.99 d | 713.27 ± 63.24 b | 45.17 ± 9.88 a | 0.06 ± 0.01 c | 2.25 ± 0.34 b | |
| Hs/Hs | 0 mM | 12.99 ± 1.30 ab | 1274.99 ± 366.86 a | 35.11 ± 2.46 a | 0.12 ± 0.00 b | 3.36 ± 0.09 a |
| 300 mM | 7.47 ± 1.74 cd | 818.93 ± 29.76 ab | 47.97 ± 0.20 a | 0.08 ± 0.00 c | 2.98 ± 0.05 ab | |
| Hs/Hh | 0 mM | 15.28 ± 0.44 a | 1051.27 ± 6.70 ab | 44.86 ± 4.28 a | 0.14 ± 0.00 a | 3.53 ± 0.52 a |
| 300 mM | 11.30 ± 1.26 bc | 899.88 ± 149.53 ab | 43.00 ± 6.96 a | 0.08 ± 0.01 c | 2.79 ± 0.12 ab | |
| p-values | G | ns | ns | ns | * | ns |
| Na | **** | * | ns | **** | *** | |
| G × Na | ns | ns | ns | ns | ns |
Disclaimer/Publisher’s Note: The statements, opinions and data contained in all publications are solely those of the individual author(s) and contributor(s) and not of MDPI and/or the editor(s). MDPI and/or the editor(s) disclaim responsibility for any injury to people or property resulting from any ideas, methods, instructions or products referred to in the content. |
© 2023 by the authors. Licensee MDPI, Basel, Switzerland. This article is an open access article distributed under the terms and conditions of the Creative Commons Attribution (CC BY) license (https://creativecommons.org/licenses/by/4.0/).
Share and Cite
Zhang, S.; Yu, W.; Lu, Z.; Xiang, P.; Wang, Z.; Hua, J.; Gu, C.; Cai, J.; Lu, Y. Hibiscus hamabo Rootstock-Grafting Improves Photosynthetic Capacity of Hibiscus syriacus under Salt Stress. Forests 2023, 14, 1226. https://doi.org/10.3390/f14061226
Zhang S, Yu W, Lu Z, Xiang P, Wang Z, Hua J, Gu C, Cai J, Lu Y. Hibiscus hamabo Rootstock-Grafting Improves Photosynthetic Capacity of Hibiscus syriacus under Salt Stress. Forests. 2023; 14(6):1226. https://doi.org/10.3390/f14061226
Chicago/Turabian StyleZhang, Shuqing, Wanwen Yu, Zhiguo Lu, Peng Xiang, Zhiquan Wang, Jianfeng Hua, Chunsun Gu, Jinfeng Cai, and Yan Lu. 2023. "Hibiscus hamabo Rootstock-Grafting Improves Photosynthetic Capacity of Hibiscus syriacus under Salt Stress" Forests 14, no. 6: 1226. https://doi.org/10.3390/f14061226
APA StyleZhang, S., Yu, W., Lu, Z., Xiang, P., Wang, Z., Hua, J., Gu, C., Cai, J., & Lu, Y. (2023). Hibiscus hamabo Rootstock-Grafting Improves Photosynthetic Capacity of Hibiscus syriacus under Salt Stress. Forests, 14(6), 1226. https://doi.org/10.3390/f14061226
