Quantifying the Profiles of Heartwood, Sapwood, and Bark Using a Seemingly Unrelated Mixed-Effect Model for Larix Olgensis in Northeast China
Abstract
1. Introduction
2. Materials and Methods
2.1. Study Area and Data Collection
2.2. Methods
2.2.1. Bade Model Selection
2.2.2. Development of a Seemingly Unrelated Mixed-Effect Model System
2.2.3. Model Prediction and Local Calibration
2.2.4. Model Evaluation and Validation
3. Results
3.1. The Ordinary SUR Model System vs. Mixed-Effect SUR Model System
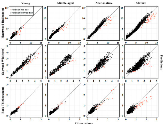
3.2. Model Validation
3.3. Model Calibration
4. Discussion
5. Conclusions
Supplementary Materials
Author Contributions
Funding
Data Availability Statement
Acknowledgments
Conflicts of Interest
References
- Climent, J.; Chambel, M.R.; Pérez, E.; Gil, L.; Pardos, J. Relationship between Heartwood Radius and Early Radial Growth, Tree Age, and Climate in Pinus canariensis. Can. J. For. Res. 2002, 32, 103–111. [Google Scholar] [CrossRef]
- Pinto, I.; Helena, P.; Usenius, A. Heartwood and Sapwood Development within Maritime Pine (Pinus pinaster Ait.) Stems. Trees 2004, 18, 284–294. [Google Scholar] [CrossRef]
- Wiedenhoeft, A.C. Structure and Function of Wood. In Handbook of Wood Chemistry and Wood Composite, 2nd ed.; Taylor & Francis: Oxford, UK, 2012; pp. 9–32. [Google Scholar] [CrossRef]
- Knapic, S.; Tavares, F.; Pereira, H. Heartwood and Sapwood Variation in Acacia Melanoxylon R. Br. Trees in Portugal. Forestry 2006, 79, 371–380. [Google Scholar] [CrossRef]
- Nawrot, M.; Pazdrowski, W.; Szymański, M. Dynamics of Heartwood Formation and Axial and Radial Distribution of Sapwood and Heartwood in Stems of European Larch (Larix decidua Mill.). J. For. Sci. 2008, 54, 409–417. [Google Scholar] [CrossRef]
- Pâques, L.E. Genetic Control of Heartwood Content in Larch. Silvae Genet. 2001, 50, 69–75. [Google Scholar]
- Bektas, I.; Hakki Alma, M.; Goker, Y.; Yuksel, A.; Gundogan, R. Influence of Site on Sapwood and Heartwood Ratios of Turkish Calabrian Pine. For. Prod. J. 2003, 53, 48–50. [Google Scholar]
- Climent, J.; Chambel, M.R.; Gil, L.; Pardos, J.A. Vertical Heartwood Variation Patterns and Prediction of Heartwood Volume in Pinus canariensis Sm. For. Ecol. Manag. 2003, 174, 203–211. [Google Scholar] [CrossRef]
- Yang, K.C.; Hazenberg, G.; Bradfield, G.E.; Maze, J.R. Vertical Variation of Sapwood Thickness in Pinus banksiana Lamb. and Larix laricina (Du Roi) K. Koch. Can. J. For. Res. 1985, 15, 822–828. [Google Scholar] [CrossRef]
- Flæte, P.O.; Høibø, O. Models for Predicting Vertical Profiles of Heartwood Diameter in Mature Scots Pine. Can. J. For. Res. 2009, 39, 527–536. [Google Scholar] [CrossRef]
- Li, R.; Weiskittel, A.R. Estimating and Predicting Bark Thickness for Seven Conifer Species in the Acadian Region of North America Using a Mixed-Effects Modeling Approach: Comparison of Model Forms and Subsampling Strategies. Eur. J. For. Res. 2011, 130, 219–233. [Google Scholar] [CrossRef]
- Stängle, S.M.; Sauter, U.H.; Dormann, C.F. Comparison of Models for Estimating Bark Thickness of Picea Abies in Southwest Germany: The Role of Tree, Stand, and Environmental Factors. Ann. For. Sci. 2017, 74, 16. [Google Scholar] [CrossRef]
- Stängle, S.M.; Dormann, C.F. Modelling the Variation of Bark Thickness within and between European Silver Fir (Abies alba Mill.) Trees in Southwest Germany. Forestry 2018, 91, 283–294. [Google Scholar] [CrossRef]
- Mosaffaei, Z.; Jahani, A. Modeling of Ash (Fraxinus excelsior) Bark Thickness in Urban Forests Using Artificial Neural Network (ANN) and Regression Models. Model. Earth Syst. Environ. 2021, 7, 1443–1452. [Google Scholar] [CrossRef]
- Yang, S.-I.; Radtke, P.J. Predicting Bark Thickness with One- and Two-Stage Regression Models for Three Hardwood Species in the Southeastern US. For. Ecol. Manag. 2022, 503, 119778. [Google Scholar] [CrossRef]
- Zeibig-Kichas, N.E.; Ardis, C.W.; Berrill, J.P.; King, J.P. Bark Thickness Equations for Mixed-Conifer Forest Type in Klamath and Sierra Nevada Mountains of California. Int. J. For. Res. 2016, 2016, 28–31. [Google Scholar] [CrossRef]
- Fernández-Sólis, D.; Berrocal, A.; Moya, R. Heartwood Formation and Prediction of Heartwood Parameters in Tectona grandis L. f. Trees Growing in Forest Plantations in Costa Rica. Bois For. Trop. 2018, 335, 25–37. [Google Scholar] [CrossRef]
- Costa, A.; Barbosa, I.; Pestana, M.; Miguel, C. Modelling Bark Thickness Variation in Stems of Cork Oak in South-Western Portugal. Eur. J. For. Res. 2020, 139, 611–625. [Google Scholar] [CrossRef]
- Wilhelmsson, L.; Arlinger, J.; Spångberg, K.; Lundqvist, S.O.; Grahn, T.; Hedenberg, Ö.; Olsson, L. Models for Predicting Wood Properties in Stems of Picea abies and Pinus sylvestris in Sweden. Scand. J. For. Res. 2002, 17, 330–350. [Google Scholar] [CrossRef]
- Laasasenaho, J.; Melkas, T.; Aldén, S. Modelling Bark Thickness of Picea abies with Taper Curves. For. Ecol. Manag. 2005, 206, 35–47. [Google Scholar] [CrossRef]
- Longuetaud, F.; Mothe, F.; Leban, J.M.; Mäkelä, A. Picea abies Sapwood Width: Variations within and between Trees. Scand. J. For. Res. 2006, 21, 41–53. [Google Scholar] [CrossRef]
- Lauri Mehtätalo, J.L. Biometry for Forestry and Environmental Data with Examples in R; CRC Press: Boca Raton, FL, USA, 2020; ISBN 977-2-08141-5. [Google Scholar]
- Maltamo, M.; Mehtätalo, L.; Vauhkonen, J.; Packalén, P. Predicting and Calibrating Tree Attributes by Means of Airborne Laser Scanning and Field Measurements. Can. J. For. Res. 2012, 42, 1896–1907. [Google Scholar] [CrossRef]
- Bronisz, K.; Mehtätalo, L. Seemingly Unrelated Mixed-Effects Biomass Models for Young Silver Birch Stands on Post-Agricultural Lands. Forests 2020, 11, 381. [Google Scholar] [CrossRef]
- Hao, Y.; Widagdo, F.R.A.; Liu, X.; Quan, Y.; Liu, Z.; Dong, L.; Li, F. Estimation and Calibration of Stem Diameter Distribution Using UAV Laser Scanning Data: A Case Study for Larch (Larix olgensis) Forests in Northeast China. Remote Sens. Environ. 2022, 268, 112769. [Google Scholar] [CrossRef]
- State Forestry and Grassland Administration. The Ninth Forest Resource Survey Report (2014–2018); State Forestry and Grassland Administration: Beijing, China, 2019. [Google Scholar]
- Akaike, H. Information Theory and an Extension of the Maximum Likelihood Principle. In Selected Papers of Hirotugu Akaike; Springer: New York, NY, USA, 1998; pp. 199–213. [Google Scholar]
- Pinheiro, J.; Bates, D.; DebRoy, S.; Sarkar, D. R Core Team Nlme: Linear and Nonlinear Mixed Effects Models; R Core Team: Vienna, Austria, 2020. [Google Scholar]
- R Core Team. R: A Language and Environment for Statistical Computing; R Core Team: Vienna, Austria, 2020. [Google Scholar]
- Lappi, J. Calibration of Height and Volume Equations with Random Parameters. For. Sci. 1991, 37, 781–801. [Google Scholar]
- Dong, L.; Zhang, L.; Li, F. A Compatible System of Biomass Equations for Three Conifer Species in Northeast, China. For. Ecol. Manag. 2014, 329, 306–317. [Google Scholar] [CrossRef]
- Temesgen, H.; Monleon, V.J.; Hann, D.W. Analysis and Comparison of Nonlinear Tree Height Prediction Strategies for Douglas-Fir Forests. Can. J. For. Res. 2008, 38, 553–565. [Google Scholar] [CrossRef]
- Ciceu, A.; Garcia-Duro, J.; Seceleanu, I.; Badea, O. A Generalized Nonlinear Mixed-Effects Height–Diameter Model for Norway Spruce in Mixed-Uneven Aged Stands. For. Ecol. Manag. 2020, 477, 118507. [Google Scholar] [CrossRef]
- Herrero de Aza, C.; Turrión, M.B.; Pando, V.; Bravo, F. Carbon in Heartwood, Sapwood and Bark along the Stem Profile in Three Mediterranean Pinus Species. Ann. For. Sci. 2011, 68, 1067–1076. [Google Scholar] [CrossRef]
- Sousa, V.B.; Cardoso, S.; Pereira, H. Ring Width Variation and Heartwood Development in Quercus faginea. Wood Fiber Sci. 2013, 45, 405–414. [Google Scholar]
- Zhao, Z.; Shen, W.; Wang, C.; Jia, H.; Zeng, J. Heartwood Variations in Mid-Aged Plantations of Erythrophleum fordii. J. For. Res. 2021, 32, 2375–2383. [Google Scholar] [CrossRef]
- Cardoso, S.; Pereira, H. Characterization of Douglas-Fir Grown in Portugal: Heartwood, Sapwood, Bark, Ring Width and Taper. Eur. J. For. Res. 2017, 136, 597–607. [Google Scholar] [CrossRef]
- Cao, Q.V.; Pepper, W.D. Predicting Inside Bark Diameter for Shortleaf, Loblolly, and Longleaf Pines. South. J. Appl. For. 1986, 10, 220–224. [Google Scholar] [CrossRef]
- Max, T.A.; Burkhart, H.E. Segmented Polynomial Regression Applied to Taper Equations. For. Sci. 1976, 22, 283–289. [Google Scholar]
- Kozak, A. My Last Words on Taper Equations. For. Chron. 2004, 80, 507–515. [Google Scholar] [CrossRef]
- He, P.; Jiang, L.; Li, F. Evaluation of Parametric and Non-Parametric Stem Taper Modeling Approaches: A Case Study for Betula Platyphylla in Northeast China. For. Ecol. Manag. 2022, 525, 120535. [Google Scholar] [CrossRef]
- Crecente-Campo, F.; Tomé, M.; Soares, P.; Diéguez-Aranda, U. A Generalized Nonlinear Mixed-Effects Height–Diameter Model for Eucalyptus globulus L. in Northwestern Spain. For. Ecol. Manag. 2010, 259, 943–952. [Google Scholar] [CrossRef]
- Ferrenberg, S.; Mitton, J.B. Smooth Bark Surfaces Can Defend Trees against Insect Attack: Resurrecting a “slippery” Hypothesis. Funct. Ecol. 2014, 28, 837–845. [Google Scholar] [CrossRef]
- Pausas, J.G. Bark Thickness and Fire Regime. Funct. Ecol. 2015, 29, 315–327. [Google Scholar] [CrossRef]







| Variable | Min | Mean | Max | Std | |
|---|---|---|---|---|---|
| Stand level | Dg (cm) | 5.8 | 18.5 | 29.9 | 6.30 |
| Hdom (m) | 8.8 | 20.4 | 28.1 | 4.97 | |
| N (tree/ha) | 275 | 1218 | 3150 | 908.38 | |
| SI (m) | 15.6 | 19.6 | 25.1 | 1.70 | |
| BAS (m2/ha) | 6.35 | 22.5 | 34.35 | 6.02 | |
| Tree level | DBH (cm) | 2 | 19.1 | 35.7 | 7.17 |
| Age (years) | 8 | 33 | 53 | 14.00 | |
| HT (m) | 3.8 | 17.3 | 26.9 | 5.62 | |
| CL (m) | 2.3 | 7.3 | 14.7 | 0.52 | |
| CW (m) | 0.55 | 1.71 | 3.18 | 2.12 |
| Response | Ordinary SUR | Mixed-Effect SUR | ||||
|---|---|---|---|---|---|---|
| HR | BT | HR | BT | |||
| Intercept | 1.648 | 1.086 | 0.032 | 3.487 | 0.560 | 0.061 |
| RH | −8.417 | 1.453 | −7.235 | 1.216 | ||
| RH2 | −1.99 | −1.755 | ||||
| Ln (RH) | −0.146 | −0.121 | ||||
| DBH | 0.058 | 0.031 | 0.022 | 0.137 | 0.047 | 0.024 |
| Age | 0.202 | −0.011 | −0.225 | 0.025 | −0.003 | −0.005 |
| Submodels | Ordinary SUR | Mixed-Effect SUR | ||
|---|---|---|---|---|
| RMSE | RMSE | |||
| HR | 1.039 | 0.886 | 0.552 | 0.968 |
| SW | 0.575 | 0.471 | 0.331 | 0.825 |
| BT | 0.169 | 0.598 | 0.126 | 0.775 |
| Random Effects | Int_HR | RH_HR | Int_SW | RH_SW | RH2_SW | lnRH | DBH_BT |
|---|---|---|---|---|---|---|---|
| Int_HR | 2.298 | −7.864 | −0.850 | 1.024 | −0.461 | −0.061 | −0.007 |
| RH_HR | −0.990 | 3.460 | 1.251 | −1.704 | 0.917 | 0.099 | 0.010 |
| Int_SW | −0.942 | 0.922 | 0.392 | −0.189 | 0.074 | 0.010 | 0.001 |
| RH_SW | 0.638 | −0.706 | −0.689 | 0.698 | −0.375 | −0.021 | −0.002 |
| RH2_SW | −0.330 | 0.436 | 0.309 | −0.883 | 0.608 | 0.017 | 0.001 |
| Ln(RH) | −0.362 | 0.391 | 0.382 | −0.412 | 0.379 | 0.073 | 0.000 |
| DBH_BT | −0.690 | 0.714 | 0.578 | −0.572 | 0.500 | 0.657 | 0.004 |
| Submodels | HR | SW | BT |
|---|---|---|---|
| HR | 0.570 | 0.009 | 0.406 |
| SW | 0.122 | 0.133 | 0.008 |
| BT | 0.549 | 0.471 | 0.13 |
| Submodels | Ordinary SUR | Mixed-Effect SUR | ||||
|---|---|---|---|---|---|---|
| ME | MAE | RMSE | ME | MAE | RMSE | |
| HR | −0.012 | 0.759 | 1.046 | 0.014 | 0.454 | 0.666 |
| SW | 0.624 | 0.729 | 0.900 | 0.016 | 0.249 | 0.328 |
| BT | 0.007 | 0.114 | 0.170 | −0.002 | 0.088 | 0.123 |
Disclaimer/Publisher’s Note: The statements, opinions and data contained in all publications are solely those of the individual author(s) and contributor(s) and not of MDPI and/or the editor(s). MDPI and/or the editor(s) disclaim responsibility for any injury to people or property resulting from any ideas, methods, instructions or products referred to in the content. |
© 2023 by the authors. Licensee MDPI, Basel, Switzerland. This article is an open access article distributed under the terms and conditions of the Creative Commons Attribution (CC BY) license (https://creativecommons.org/licenses/by/4.0/).
Share and Cite
Qiao, Y.; Yang, S.-I.; Hao, Y.; Miao, Z.; Dong, L.; Li, F. Quantifying the Profiles of Heartwood, Sapwood, and Bark Using a Seemingly Unrelated Mixed-Effect Model for Larix Olgensis in Northeast China. Forests 2023, 14, 1216. https://doi.org/10.3390/f14061216
Qiao Y, Yang S-I, Hao Y, Miao Z, Dong L, Li F. Quantifying the Profiles of Heartwood, Sapwood, and Bark Using a Seemingly Unrelated Mixed-Effect Model for Larix Olgensis in Northeast China. Forests. 2023; 14(6):1216. https://doi.org/10.3390/f14061216
Chicago/Turabian StyleQiao, Yudan, Sheng-I Yang, Yuanshuo Hao, Zheng Miao, Lihu Dong, and Fengri Li. 2023. "Quantifying the Profiles of Heartwood, Sapwood, and Bark Using a Seemingly Unrelated Mixed-Effect Model for Larix Olgensis in Northeast China" Forests 14, no. 6: 1216. https://doi.org/10.3390/f14061216
APA StyleQiao, Y., Yang, S.-I., Hao, Y., Miao, Z., Dong, L., & Li, F. (2023). Quantifying the Profiles of Heartwood, Sapwood, and Bark Using a Seemingly Unrelated Mixed-Effect Model for Larix Olgensis in Northeast China. Forests, 14(6), 1216. https://doi.org/10.3390/f14061216

