Select or Not? Comparing the Impact of Selective and Schematic Thinning on Scots Pine Tree Growth and Stand Structure
Abstract
1. Introduction
2. Materials and Methods
2.1. Experimental Design
2.2. Treatment Comparisons
2.3. Comparing Growth Predictions with and without Competition Indices
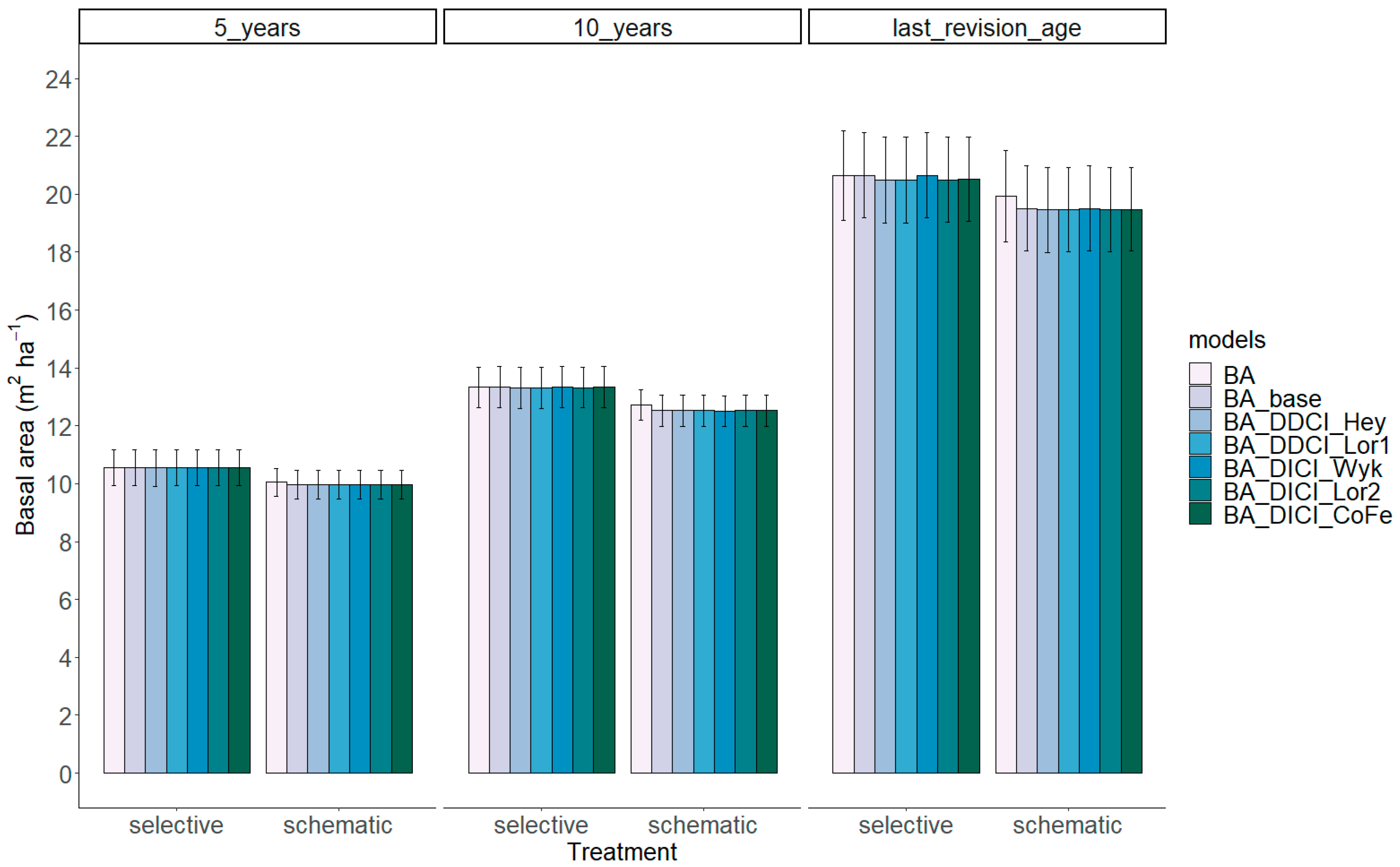
3. Results
3.1. Treatment Effect on Stand and Individual Tree Growth
3.2. Stand Structure
3.3. Competition Indices and Model Performance
4. Discussion
5. Conclusions
Author Contributions
Funding
Data Availability Statement
Acknowledgments
Conflicts of Interest
References
- Mäkinen, H.; Isomäki, A.; Hongisto, T. Effect of half-systematic and systematic thinning on the increment of Scots pine and Norway spruce in Finland. For. Int. J. For. Res. 2005, 79, 103–121. [Google Scholar] [CrossRef]
- Niemistö, P.; Kilpeläinen, H.; Poutiainen, E. Effect of first thinning type and age on growth, stem quality and financial performance of a Scots pine stand in Finland. Silva Fenn. 2018, 52, 7816. [Google Scholar] [CrossRef]
- Saarinen, N.; Kankare, V.; Yrttimaa, T.; Viljanen, N.; Honkavaara, E.; Holopainen, M.; Hyyppä, J.; Huuskonen, S.; Hynynen, J.; Vastaranta, M. Assessing the effects of thinning on stem growth allocation of individual Scots pine trees. For. Ecol. Manag. 2020, 474, 118344. [Google Scholar] [CrossRef]
- Bianchi, S.; Huuskonen, S.; Hynynen, J.; Siipilehto, J.; Niemistö, P. Tree-level differences in Norway spruce and Scots pine growth after extreme thinning treatments. Scand. J. For. Res. 2022, 37, 109–118. [Google Scholar] [CrossRef]
- Hynynen, J. Self-thinning models for even-aged stands of Pinus sylvestris, Picea abies and Betula pendula. Scand. J. For. Res. 1993, 8, 326–336. [Google Scholar] [CrossRef]
- Siipilehto, J.; Allen, M.; Nilsson, U.; Brunner, A.; Huuskonen, S.; Haikarainen, S.; Subramanian, N.; Antón-Fernández, C.; Holmström, E.; Andreassen, K.; et al. Stand-level mortality models for Nordic boreal forests. Silva Fenn. 2020, 54, 10414. [Google Scholar] [CrossRef]
- Karlsson, L.; Bergsten, U.; Ulvcrona, T.; Elfving, B. Long-term effects on growth and yield of corridor thinning in young Pinus sylvestris stands. Scand. J. For. Res. 2013, 28, 28–37. [Google Scholar] [CrossRef]
- Nilsson, U.; Agestam, E.; Ekö, P.-M.; Elfving, B.; Fahlvik, N.; Johansson, U.; Karlsson, K.; Lundmark, T.; Wallentin, C. Thinning of Scots pine and Norway spruce monocultures in Sweden. Stud. For. Suec. 2010, 219, 1–46. [Google Scholar]
- Nuutinen, Y.; Miina, J.; Saksa, T.; Bergström, D.; Routa, J. Comparing the characteristics of boom-corridor and selectively thinned stands of Scots pine and birch. Silva Fenn. 2021, 55, 10462. [Google Scholar] [CrossRef]
- Hamilton, G.J. Forestry Commission Leafle; Line Thinning: Oxford, UK, 1980; Volume 77, ISBN 0-11-710229-6. Available online: https://www.forestresearch.gov.uk/publications/archive-line-thinning-fc-leaflet-77-1980/ (accessed on 7 June 2023).
- Witzell, J.; Bergström, D.; Bergsten, U. Variable corridor thinning—A cost-effective key to provision of multiple ecosystem services from young boreal conifer forests? Scand. J. For. Res. 2019, 34, 497–507. [Google Scholar] [CrossRef]
- Cho, M.-J.; Choi, Y.-S.; Oh, J.-H.; Mun, H.-S.; Han, S.-K. Comparison of harvesting productivity, cost, and residual stand damages between single-tree selection thinning and mechanized line thinning using a small-scale grapple-saw. For. Sci. Technol. 2022, 18, 45–55. [Google Scholar] [CrossRef]
- de la Fuente, T.; Bergström, D.; Fernandez-Lacruz, R.; Hujala, T.; Krajnc, N.; Laina, R.; Nordfjell, T.; Triplat, M.; Tolosana, E. Environmental Impacts of Boom-Corridor and Selectively Thinned Small-Diameter-Tree Forests. Sustainability 2022, 14, 6075. [Google Scholar] [CrossRef]
- Ahnlund Ulvcrona, K.; Bergström, D.; Bergsten, U. Stand structure after thinning in 1–2 m wide corridors in young dense stands. Silva Fenn. 2017, 51, 1563. [Google Scholar] [CrossRef]
- del Río, M.; Bravo-Oviedo, A.; Pretzsch, H.; Löf, M.; Ruiz-Peinado, R. A review of thinning effects on Scots pine stands: From growth and yield to new challenges under global change. For. Syst. 2017, 26, 9. [Google Scholar] [CrossRef]
- Pretzsch, H.; del Río, M.; Ammer, C.; Avdagic, A.; Barbeito, I.; Bielak, K.; Brazaitis, G.; Coll, L.; Dirnberger, G.; Drössler, L.; et al. Growth and yield of mixed versus pure stands of Scots pine (Pinus sylvestris L.) and European beech (Fagus sylvatica L.) analysed along a productivity gradient through Europe. Eur. J. For. Res. 2015, 134, 927–947. [Google Scholar] [CrossRef]
- Jäghagen, K.; Albrektson, A. Induced competition among scots pine seedlings and its effect on future timber quality. New For. 1996, 12, 163–174. [Google Scholar] [CrossRef]
- Lorimer, C.G. Tests of age-independent competition indices for individual trees in natural hardwood stands. For. Ecol. Manag. 1983, 6, 343–360. [Google Scholar] [CrossRef]
- García-Abril, A.; Martin-Fernández, S.; Grande, M.A.; Manzanera, J.A. Stand structure, competition and growth of Scots pine (Pinus sylvestris L.) in a Mediterranean mountainous environment. Ann. For. Sci. 2007, 64, 825–830. [Google Scholar] [CrossRef]
- Huuskonen, S.; Hynynen, J. Timing and intensity of precommercial thinning and their effects on the first commercial thinning in Scots pine stands. Silva Fenn. 2006, 40, 645–662. [Google Scholar] [CrossRef]
- Fahlvik, N.; Ekö, P.-M.; Pettersson, N. Influence of precommercial thinning grade on branch diameter and crown ratio in Pinus sylvestris in southern Sweden. Scand. J. For. Res. 2005, 20, 243–251. [Google Scholar] [CrossRef]
- Suadicani, K.; Nordfjell, T. Operational aspects of row and selective Thinning in the establishing of a shelterwood in a 50-year-old Norway Spruce stand. Int. J. For. Eng. 2003, 14, 25–37. [Google Scholar] [CrossRef]
- Bergström, D. Techniques and Systems for Boom-Corridor Thinning in Young Dense Forests. Ph.D. Thesis, Swedish University of Agricultural Sciences, Uppsala, Sweden, 2009. [Google Scholar]
- Sängstuvall, L.; Bergström, D.; Lämås, T.; Nordfjell, T. Simulation of harvester productivity in selective and boom-corridor thinning of young forests. Scand. J. For. Res. 2012, 27, 56–73. [Google Scholar] [CrossRef]
- Amateis, R.L.; Carlson, C.A. Modeling diameter class removals for thinned loblolly pine (Pinus taeda) plantations. For. Ecol. Manag. 2014, 327, 26–30. [Google Scholar] [CrossRef]
- Pukkala, T.; Kolström, T. Competition indices and the prediction of radial growth in Scots pine. Silva Fenn. 1987, 21, 55–67. [Google Scholar] [CrossRef]
- Fraver, S.; D’Amato, A.W.; Bradford, J.B.; Jonsson, B.G.; Jönsson, M.; Esseen, P.-A. Tree growth and competition in an old-growth Picea abies forest of boreal Sweden: Influence of tree spatial patterning. J. Veg. Sci. 2014, 25, 374–385. [Google Scholar] [CrossRef]
- Assmann, E. Section C—The Constitution and Development of Stands. In The Principles of Forest Yield Study; Assmann, E., Ed.; Pergamon: Oxford, UK, 1970; pp. 83–205. [Google Scholar]
- Eriksson, L. Single-Tree Competition Models: Predicting Stand Development after Cleaning; Swedish University of Agricultural Sciences: Garpenberg, Sweden, 1977. [Google Scholar]
- Fukumoto, K.; Nishizono, T.; Kitahara, F.; Hosoda, K. Evaluation of individual distance-independent diameter growth models for Japanese Cedar (Cryptomeria japonica) trees under multiple thinning treatments. Forests 2020, 11, 344. [Google Scholar] [CrossRef]
- Soares, P.; Tomé, M. Distance-dependent competition measures for eucalyptus plantations in Portugal. Ann. For. Sci. 1999, 56, 307–319. [Google Scholar] [CrossRef]
- Kahriman, A.; Şahin, A.; Sönmez, T.; Yavuz, M. A novel approach to selecting a competition index: The effect of competition on individual-tree diameter growth of Calabrian pine. Can. J. For. Res. 2018, 48, 1217–1226. [Google Scholar] [CrossRef]
- Burton, P.J. Some limitations inherent to static indices of plant competition. Can. J. For. Res. 1993, 23, 2141–2152. [Google Scholar] [CrossRef]
- Pedersen, R.Ø.; Næsset, E.; Gobakken, T.; Bollandsås, O.M. On the evaluation of competition indices—The problem of overlapping samples. For. Ecol. Manag. 2013, 310, 120–133. [Google Scholar] [CrossRef]
- McTague, J.P.; Weiskittel, A.R. Individual-Tree Competition Indices and Improved Compatibility with Stand-Level Estimates of Stem Density and Long-Term Production. Forests 2016, 7, 238. [Google Scholar] [CrossRef]
- García, O. Plasticity as a link between spatially explicit, distance-independent, and whole-stand forest growth models. For. Sci. 2021, 68, 1–7. [Google Scholar] [CrossRef]
- Maltamo, M.; Vartiainen, P.; Packalen, P.; Korhonen, L. Estimation of periodic annual increment of tree ring widths by airborne laser scanning. Can. J. For. Res. 2022, 52, 644–651. [Google Scholar] [CrossRef]
- Bourdier, T.; Cordonnier, T.; Kunstler, G.; Piedallu, C.; Lagarrigues, G.; Courbaud, B. Tree size inequality reduces forest productivity: An analysis combining inventory data for ten European species and a light competition model. PLoS ONE 2016, 11, e0151852. [Google Scholar] [CrossRef] [PubMed]
- Pretzsch, H.; Bravo-Oviedo, A.; Hilmers, T.; Ruiz-Peinado, R.; Coll, L.; Löf, M.; Ahmed, S.; Aldea, J.; Ammer, C.; Avdagić, A.; et al. With increasing site quality asymmetric competition and mortality reduces Scots pine (Pinus sylvestris L.) stand structuring across Europe. For. Ecol. Manag. 2022, 520, 120365. [Google Scholar] [CrossRef]
- Cattaneo, N.; Bravo-Oviedo, A.; Bravo, F. Analysis of tree interactions in a mixed Mediterranean pine stand using competition indices. Eur. J. For. Res. 2018, 137, 109–120. [Google Scholar] [CrossRef]
- Maleki, K.; Kiviste, A.; Korjus, H. Analysis of individual tree competition on diameter growth of Silver Birch in Estonia. For. Syst. 2015, 24, e023. [Google Scholar] [CrossRef]
- Soares, P.; Tomé, M. A tree crown ratio prediction equation for eucalypt plantations. Ann. For. Sci. 2001, 58, 193–202. [Google Scholar] [CrossRef]
- McCreary, D.D.; Perry, D.A. Strip Thinning and Selective Thinning in Douglas-Fir. J. For. 1983, 81, 375–377. [Google Scholar]
- Sprugel, D.G.; Rascher, K.G.; Gersonde, R.; Dovčiak, M.; Lutz, J.A.; Halpern, C.B. Spatially explicit modeling of overstory manipulations in young forests: Effects on stand structure and light. Ecol. Model. 2009, 220, 3565–3575. [Google Scholar] [CrossRef]
- Saarinen, N.; Kankare, V.; Huuskonen, S.; Hynynen, J.; Bianchi, S.; Yrttimaa, T.; Luoma, V.; Junttila, S.; Holopainen, M.; Hyyppä, J.; et al. Effects of stem density on crown architecture of Scots Pine trees. Front. Plant Sci. 2022, 13, 817792. [Google Scholar] [CrossRef] [PubMed]
- Kankare, V.; Saarinen, N.; Pyörälä, J.; Yrttimaa, T.; Hynynen, J.; Huuskonen, S.; Hyyppä, J.; Vastaranta, M. Assessing the dependencies of Scots Pine (Pinus sylvestris L.) structural characteristics and internal wood property variation. Forests 2022, 13, 397. [Google Scholar] [CrossRef]
- Ronoud, G.; Poorazimy, M.; Yrttimaa, T.; Luoma, V.; Huuskonen, S.; Hynynen, J.; Hyyppä, J.; Saarinen, N.; Kankare, V.; Vastaranta, M. Terrestrial laser scanning in assessing the effect of different thinning treatments on the competition of Scots Pine (Pinus sylvestris L.) forests. Remote Sens. 2022, 14, 5196. [Google Scholar] [CrossRef]
- Corona, P.; Ferrara, A. Individual competition indices for conifer plantations. Agric. Ecosyst. Environ. 1989, 27, 429–437. [Google Scholar] [CrossRef]
- Saksa, T.; Uusitalo, J.; Lindeman, H.; Häyrynen, E.; Kulju, S.; Huuskonen, S. Decision support tool for tree species selection in forest regeneration based on harvester data. Forests 2021, 12, 1329. [Google Scholar] [CrossRef]
- Wimberly, M.C.; Bare, B.B. Distance-dependent and distance-independent models of Douglas-fir and western hemlock basal area growth following silvicultural treatment. For. Ecol. Manag. 1996, 89, 1–11. [Google Scholar] [CrossRef]
- Fagerberg, N.; Olsson, J.-O.; Lohmander, P.; Andersson, M.; Bergh, J. Individual-tree distance-dependent growth models for uneven-sized Norway spruce. For. Int. J. For. Res. 2022, 95, 634–646. [Google Scholar] [CrossRef]










| Study Sites | Location | Year of Last Revision | No. of Revisions | Age * | Establishment of Treatments * | Hdom (m) * | Site Index (H100) ** | Coordinates | Number of Thinnings | |
|---|---|---|---|---|---|---|---|---|---|---|
| E | N | |||||||||
| 1034 | Kronoberg | 2010 | 4 | 21 | 1978 | 8.15 | 27.5 | 15°01′ | 56°44′ | 1 |
| 1038 | Västerbotten | 2022 | 4 | 29 | 1979 | 8.53 | 23.5 | 18°48′ | 64°22′ | 1 |
| 1039 | Dalarna | 1999 | 4 | 28 | 1978 | 8.5 | 23.5 | 14°27′ | 61°29′ | 1 |
| 1040 | Norrbotten | 1999 | 3 | 28 | 1976 | 8.15 | 23 | 21°23′ | 66°04′ | 1 |
| 1041 | Jämtland | 2003 | 5 | 25 | 1974 | 8.45 | 25 | 14°32′ | 63°08′ | 1 |
| 1042 | Västernorrland | 2022 | 5 | 26 | 1977 | 8.4 | 24.5 | 17°10′ | 63°50′ | 1 |
| 10,432 *** | Jämtland | 1984 | 3 | 32 | 1974 | 11.4 | 28.5 | 16°18′ | 63° 49′ | 1 |
| 1051 | Västernorrland | 1999 | 3 | 25 | 1980 | 7.95 | 24.5 | 15°22′ | 62°20′ | 1 |
| 1053 | Jämtland | 2003 | 3 | 24 | 1981 | 7.55 | 24 | 14°32′ | 63°08′ | 1 |
| 1033 | Kalmar | 1998 | 5 | 22 | 1976 | 10.25 | 31.5 | 15°43′ | 57°47′ | 3 |
| 1035 | Kalmar | 1998 | 4 | 25 | 1980 | 10.5 | 28 | 15°45′ | 57°47′ | 2 |
| 10,431 *** | Jämtland | 2022 | 5 | 32 | 1974 | 11.8 | 27.5 | 16°18′ | 63° 49′ | 2 |
| 1050 | Västernorrland | 1999 | 4 | 29 | 1978 | 9.55 | 25 | 16°13′ | 63°28′ | 2 |
| 8097 | Halland | 2018 | 7 | 18 | 1974 | 7 | 28 | 13°04′ | 56°40′ | 4 |
| First Revision | Last Revision | ||||||
|---|---|---|---|---|---|---|---|
| Treatment | Thinning Strategy | N | CV% ± sd | Gini Coefficient ± sd | N | CV% ± sd | Gini Coefficient ± sd |
| Selective | Thinned once | 10 | 18.17 ± 1.78 | 0.10 ± 0.010 | 10 | 17.47 ± 3.12 | 0.10 ± 0.018 |
| Schematic | Thinned once | 10 | 29.59 ± 4.65 | 0.16 ± 0.025 | 10 | 23.98 ± 1.89 | 0.13 ± 0.010 |
| Selective | Thinned more | 6 | 16.54 ± 1.47 | 0.09 ± 0.009 | 6 | 13.16 ± 1.42 | 0.07 ± 0.008 |
| Schematic | Thinned more | 6 | 28.11 ± 3.13 | 0.16 ± 0.018 | 6 | 15.27 ± 3.46 | 0.08 ± 0.019 |
| Competition Index | Spearman’s rho | |
|---|---|---|
| Hegyi (Hey) | Distance-dependent | −0.4945112 |
| Lorimer_(Lor1) | −0.4416078 | |
| Wyk (BAL) | Distance-independent | −0.5403026 |
| CoFe (BAR) | −0.5864578 | |
| LOR_(Lor2) | −0.551673 | |
| Model | Response Variable | Parameter | Estimates | Std. Error | p-Value | Marginal R2 | Conditional R2 | Random Variance |
|---|---|---|---|---|---|---|---|---|
| BA_BASE | 5 year dbh increment | intercept dbh (cm) basal area (m2·ha−1) scaled SI sites: plots (random) | 1.4507 0.1979 −0.1420 1.0592 | 0.1778 0.004 0.0149 0.1883 | <0.0001 <0.0001 <0.0001 0.0143 | 0.70 | 0.80 | 0.09 |
| BA_DDCI_Hey | 5 year dbh increment | intercept dbh (cm) basal area (m2·ha−1) scaled SI DDCI * (Hegyi) sites:plots (random) | 1.7319 0.1728 −0.1329 1.0340 −0.0086 | 0.1920 0.0068 0.0151 0.1981 0.0019 | <0.0001 <0.0001 <0.0001 0.0201 <0.0001 | 0.67 | 0.77 | 0.10 |
| BA_DDCI_Lor1 | 5 year dbh increment | intercept dbh (cm) basal area (m2·ha−1) scaled SI DDCI * (Lorimer) sites: plots (random) | 1.5979 0.1853 −0.1379 1.0405 −0.0007 | 0.1906 0.0066 0.0150 0.1947 0.0003 | <0.0001 <0.0001 <0.0001 0.0179 0.0211 | 0.68 | 0.78 | 0.10 |
| BA_DICI_Wyk | 5 year dbh increment | intercept dbh (cm) basal area ( m2·ha−1) scaled SI DICI ** (BAL) sites: plots (random) | 1.2540 0.2271 −0.1639 1.0731 0.0221 | 0.1903 0.0095 0.0162 0.1921 0.0065 | <0.0001 <0.0001 <0.0001 0.0152 0.0007 | 0.70 | 0.80 | 0.09 |
| BA_DICI_Lor2 | 5 year dbh increment | intercept dbh (cm) basal area (m2·ha−1) scaled SI DICI ** (Lor) sites: plots (random) | 1.4922 0.1936 −0.1401 1.0595 −0.00001 | 0.1849 0.0064 0.0148 0.1887 0.00002 | <0.0001 <0.0001 <0.0001 0.0139 0.4203 | 0.70 | 0.79 | 0.09 |
| BA_DICI_CoFe | 5 year dbh increment | intercept dbh (cm) basal area (m2·ha−1) scaled SI DICI ** (BAR) sites: plots (random) | 1.4145 0.2030 −0.1439 1.0599 0.000003 | 0.1772 0.0045 0.0145 0.1874 0.000002 | <0.0001 <0.0001 <0.0001 0.0155 0.0293 | 0.71 | 0.8 | 0.09 |
| Model | AICc |
|---|---|
| BA_DDCI_Hey | 5258.54a |
| BA_DICI_Wyk | 5268.97b |
| BA_DICI_CoFe | 5273.71c |
| BA_DDCI_Lor1 | 5273.97c |
| BA_BASE | 5278.1d |
| BA_DICI_Lor2 | 5279.33d |
Disclaimer/Publisher’s Note: The statements, opinions and data contained in all publications are solely those of the individual author(s) and contributor(s) and not of MDPI and/or the editor(s). MDPI and/or the editor(s) disclaim responsibility for any injury to people or property resulting from any ideas, methods, instructions or products referred to in the content. |
© 2023 by the authors. Licensee MDPI, Basel, Switzerland. This article is an open access article distributed under the terms and conditions of the Creative Commons Attribution (CC BY) license (https://creativecommons.org/licenses/by/4.0/).
Share and Cite
Segtowich, A.C.; Huuskonen, S.; Fahlvik, N.; Holmström, E. Select or Not? Comparing the Impact of Selective and Schematic Thinning on Scots Pine Tree Growth and Stand Structure. Forests 2023, 14, 1194. https://doi.org/10.3390/f14061194
Segtowich AC, Huuskonen S, Fahlvik N, Holmström E. Select or Not? Comparing the Impact of Selective and Schematic Thinning on Scots Pine Tree Growth and Stand Structure. Forests. 2023; 14(6):1194. https://doi.org/10.3390/f14061194
Chicago/Turabian StyleSegtowich, Amanda Castro, Saija Huuskonen, Nils Fahlvik, and Emma Holmström. 2023. "Select or Not? Comparing the Impact of Selective and Schematic Thinning on Scots Pine Tree Growth and Stand Structure" Forests 14, no. 6: 1194. https://doi.org/10.3390/f14061194
APA StyleSegtowich, A. C., Huuskonen, S., Fahlvik, N., & Holmström, E. (2023). Select or Not? Comparing the Impact of Selective and Schematic Thinning on Scots Pine Tree Growth and Stand Structure. Forests, 14(6), 1194. https://doi.org/10.3390/f14061194

