Automatic Extraction of Forest Inventory Variables at the Tree Level by Using Smartphone Images to Construct a Three-Dimensional Model
Abstract
1. Introduction
2. Materials and Methods
2.1. Experimental Sample Sites and Data Acquisition
2.1.1. Experimental Sample Site Overview and Equipment
2.1.2. Image Generation of Dense Point Clouds
2.1.3. Point Cloud Data Pre-Processing
2.2. Optimized DBSCAN Clustering Algorithm to Obtain Single-Standing Trees
2.2.1. Improved DBSCAN Algorithm
2.2.2. Evaluating Indicator
- (1)
- Accuracy (ACC)
- (2)
- Adjusted Rand Index (ARI)
- (3)
- Adjusted Mutual Information (AMI)
- (4)
- F1 Score
2.3. Calculate the Scale Factor
2.4. Automatic Extraction of Forest Inventory Variables Based on the AdQSM Algorithm
3. Results
3.1. Experimental Conditions
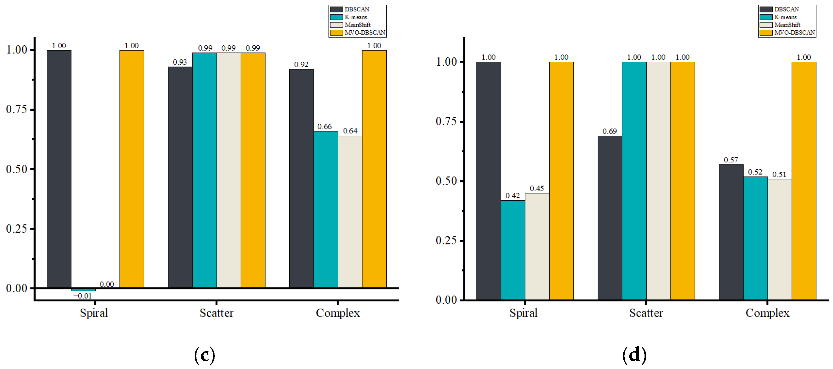
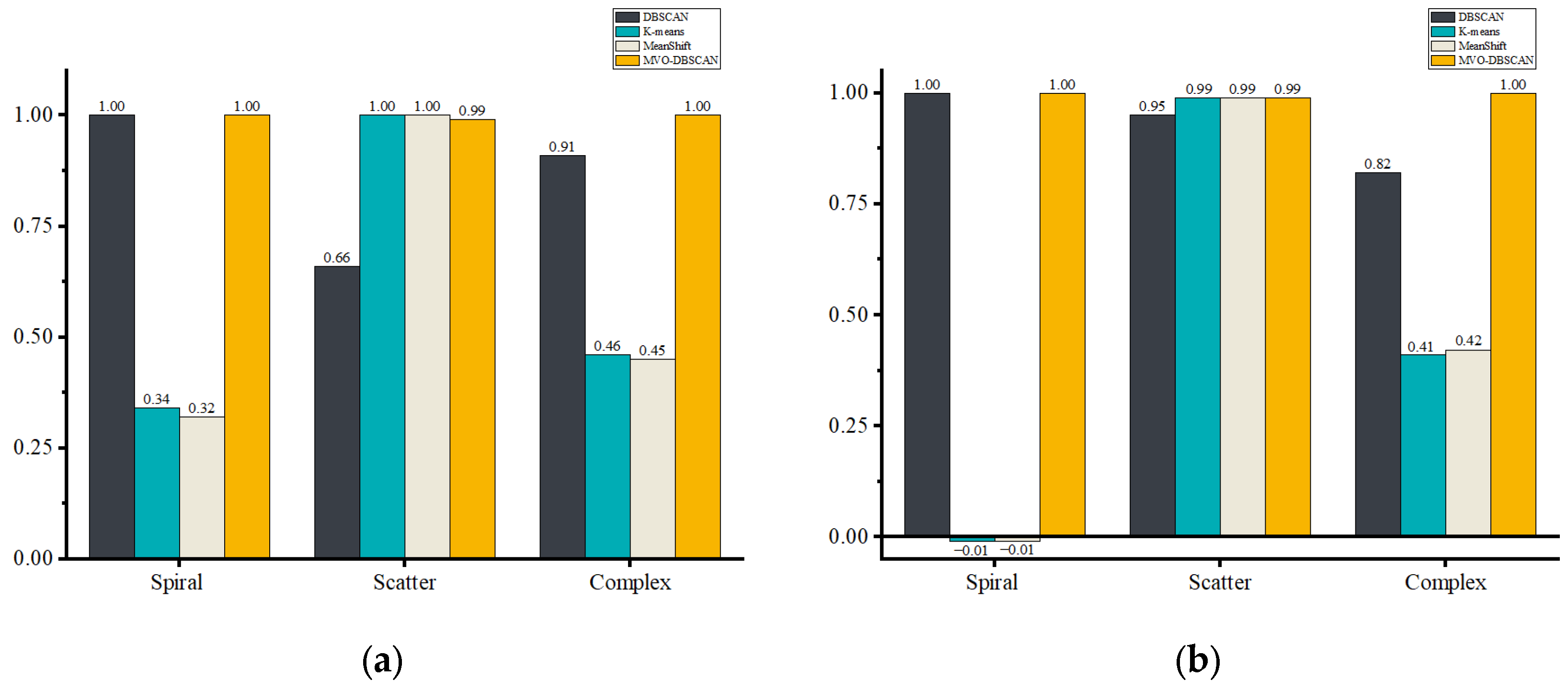
3.2. Clustering Algorithm Comparison Experiment
3.3. Experiment and Analysis of Forest Stand Measurement Model Construction
- (1)
- (2)
- Number the single wood point clouds in the standpoint clouds, as shown in Figure 11, take the single woods numbered 1, 7, 9, 10, and 13 as the first group and the remaining single woods as the second group, obtain the model output values of tree height and diameter at breast height from the first group of single wood point clouds using Cloud Compare software, and use the measured tree height and diameter at breast height values and the model output tree height and diameter at breast height values to obtain the scale factor, as shown in Table 1 and Table 2.
- (3)
- Using the scale coefficients obtained in step (2) to transform the single wood coordinates and model the single wood separately using the AdQSM method, the output values of the measurement model for the two variables of tree height and diameter at the breast height of the second group of single wood were obtained, as shown in Table 3 and Table 4, and the stand measurement model was generated, as shown in Figure 12, and the model was analyzed by the relationship between the output values of the measurement model for tree height and diameter at breast height and the actual measured values.
4. Discussion
5. Conclusions
Author Contributions
Funding
Data Availability Statement
Conflicts of Interest
References
- Bradford, J.B.; Jensen, N.R.; Domke, G.M.; D’amato, A.W. Potential increases in natural disturbance rates could offset forest management impacts on ecosystem carbon stocks. For. Ecol. Manag. 2013, 308, 178–187. [Google Scholar] [CrossRef]
- Yin, S.; Gong, Z.; Gu, L.; Deng, Y.; Niu, Y. Driving forces of the efficiency of forest carbon sequestration production: Spatial panel data from the national forest inventory in China. J. Clean. Prod. 2021, 330, 129776. [Google Scholar] [CrossRef]
- Khan, M.N.I.; Islam, M.R.; Rahman, A.; Azad, M.S.; Knohl, A. Allometric relationships of stand level carbon stocks to basal area, tree height and wood density of nine tree species in Bangladesh. Glob. Ecol. Conserv. 2020, 22, e01025. [Google Scholar] [CrossRef]
- Lodin, I.; Brukas, V. Ideal vs real forest management: Challenges in promoting production-oriented silvicultural ideals among small-scale forest owners in southern Sweden. Land Use Policy 2020, 100, 104931. [Google Scholar] [CrossRef]
- Gillerot, L.; Grussu, G.; Condor-Golec, R.; Tavani, R.; Dargush, P.; Attorre, F. Progress on incorporating biodiversity monitoring in REDD plus through national forest inventories. Glob. Ecol. Conserv. 2021, 32, e01901. [Google Scholar]
- Fischer, F.J.; Labrière, N.; Vincent, G.; Hérault, B.; Alonso, A.; Memiaghe, H.; Bissiengou, P.; Kenfack, D.; Saatchi, S.; Chave, J. A simulation method to infer tree allometry and forest structure from airborne laser scanning and forest inventories. Remote Sens. Environ. 2020, 251, 112056. [Google Scholar] [CrossRef]
- Barral, P.-A.; Demasi-Jacquier, M.A.; Bal, L.; Omnes, V.; Bartoli, A.; Piquet, P.; Jacquier, A.; Gaudry, M. Fusion Imaging to Guide Thoracic Endovascular Aortic Repair (TEVAR): A Randomized Comparison of Two Methods, 2D/3D Versus 3D/3D Image Fusion. Cardiovasc. Interv. Radiol. 2019, 42, 1522–1529. [Google Scholar] [CrossRef] [PubMed]
- Münzinger, M.; Prechtel, N.; Behnisch, M. Mapping the urban forest in detail: From LiDAR point clouds to 3D tree models. Urban For. Urban Green. 2022, 74, 127637. [Google Scholar] [CrossRef]
- Schneider, F.D.; Leiterer, R.; Morsdorf, F.; Gastellu-Etchegorry, J.P.; Lauret, N.; Pfeifer, N.; Schaepman, M.E. Simulating imaging spectrometer data: 3D forest modeling based on LiDAR and in situ data. Remote Sens. Environ. 2014, 152, 235–250. [Google Scholar] [CrossRef]
- Wei, Y.; Ding, Z.; Huang, H.; Yan, C.; Huang, J.; Leng, J. A non-contact measurement method of ship block using image-based 3D reconstruction technology. Ocean Eng. 2019, 178, 463–475. [Google Scholar] [CrossRef]
- Tang, S.; Dong, P.; Buckles, B.P. Three-dimensional surface reconstruction of tree canopy from lidar point clouds using a region-based level set method. Int. J. Remote Sens. 2012, 34, 1373–1385. [Google Scholar] [CrossRef]
- Yang, X.Y.; Strahler, A.H.; Schaaf, C.B.; Jupp, D.L.B.; Yao, T.; Zhao, F.; Wang, Z. Three-dimensional forest reconstruction and structural parameter retrievals using a terrestrial full-waveform lidar instrument (Echidn (R)). Remote Sens. Environ. 2013, 135, 36–51. [Google Scholar] [CrossRef]
- Bulut, S.; Günlü, A.; Çakır, G. Modelling some stand parameters using Landsat 8 OLI and Sentinel-2 satellite images by machine learning techniques: A case study in Türkiye. Geocarto Int. 2023, 38, 2158238. [Google Scholar] [CrossRef]
- Qin, H.; Wang, C.; Xi, X.; Tian, J.; Zhou, G. Simulating the Effects of the Airborne Lidar Scanning Angle, Flying Altitude, and Pulse Density for Forest Foliage Profile Retrieval. Appl. Sci. 2017, 7, 712. [Google Scholar] [CrossRef]
- Pan, Y.; Han, Y.; Wang, L.; Chen, J.; Meng, H.; Wang, G.; Zhang, Z.; Wang, S. 3D Reconstruction of Ground Crops Based on Airborne LiDAR Technology—ScienceDirect. IFAC-Pap. 2019, 52, 35–40. [Google Scholar]
- Picos, J.; Bastos, G.; Miguez, D.; Alonso, L.; Armesto, J. Individual Tree Detection in a Eucalyptus Plantation Using Unmanned Aerial Vehicle (UAV)-LiDAR. Remote Sens. 2020, 12, 885. [Google Scholar] [CrossRef]
- Dassot, M.; Constant, T.; Fournier, M. The use of terrestrial LiDAR technology in forest science: Application fields, benefits and challenges. Ann. For. Sci. 2011, 68, 959–974. [Google Scholar] [CrossRef]
- Indirabai, I.; Nair, M.H.; Jaishanker, R.N.; Nidamanuri, R.R. Terrestrial laser scanner based 3D reconstruction of trees and retrieval of leaf area index in a forest environment. Ecol. Inform. 2019, 53, 100986. [Google Scholar] [CrossRef]
- Leblanc, S.; Fournier, R. Hemispherical photography simulations with an architectural model to assess retrieval of leaf area index. Agric. For. Meteorol. 2014, 194, 64–76. [Google Scholar] [CrossRef]
- Laurin, G.V.; Ding, J.; Disney, M.; Bartholomeus, H.; Valentini, R. Tree height in tropical forest as measured by different ground, proximal, and remote sensing instruments, and impacts on above ground biomass estimates. Int. J. Appl. Earth Obs. Geoinf. 2019, 82, 101899. [Google Scholar]
- Fan, G.; Nan, L.; Dong, Y.; Su, X.; Chen, F. AdQSM: A New Method for Estimating Above-Ground Biomass from TLS Point Clouds. Remote Sens. 2020, 12, 3089. [Google Scholar] [CrossRef]
- She, J.; Guo, X.; Tan, X.; Liu, J. 3D Visualization of Trees Based on a Sphere-Board Model. ISPRS Int. J. Geo-Inf. 2018, 7, 45. [Google Scholar] [CrossRef]
- Mokroš, M.; Liang, X.; Surový, P.; Valent, P.; Čerňava, J.; Chudý, F.; Tunák, D.; Saloň, Š.; Merganič, J. Evaluation of Close-Range Photogrammetry Image Collection Methods for Estimating Tree Diameters. Int. J. Geo-Inf. 2018, 7, 93. [Google Scholar] [CrossRef]
- Liang, X.; Wang, Y.; Jaakkola, A.; Kukko, A.; Kaartinen, H.; Hyyppa, J.; Honkavaara, E.; Liu, J. Forest Data Collection Using Terrestrial Image-Based Point Clouds From a Handheld Camera Compared to Terrestrial and Personal Laser Scanning. IEEE Trans. Geosci. Remote Sens. 2015, 53, 5117–5132. [Google Scholar] [CrossRef]
- Liang, X.; Jaakkola, A.; Wang, Y.; Hyyppä, J.; Honkavaara, E.; Liu, J.; Kaartinen, H. The Use of a Hand-Held Camera for Individual Tree 3D Mapping in Forest Sample Plots. Remote Sens. 2014, 6, 6587–6603. [Google Scholar] [CrossRef]
- Piermattei, L.; Karel, W.; Wang, D.; Wieser, M.; Mokroš, M.; Surový, P.; Koreň, M.; Tomaštík, J.; Pfeifer, N.; Hollaus, M. Terrestrial Structure from Motion Photogrammetry for Deriving Forest Inventory Data. Remote Sens. 2019, 11, 950. [Google Scholar] [CrossRef]
- Mokroš, M.; Mikita, T.; Singh, A.; Tomaštík, J.; Chudá, J.; Wężyk, P.; Kuželka, K.; Surový, P.; Klimánek, M.; Zięba-Kulawik, K.; et al. Novel low-cost mobile mapping systems for forest inventories as terrestrial laser scanning alternatives. Int. J. Appl. Earth Obs. Geoinf. 2021, 104, 102512. [Google Scholar] [CrossRef]
- Miller, J.; Morgenroth, J.; Gomez, C. 3D modelling of individual trees using a handheld camera: Accuracy of height, diameter and volume estimates. Urban For. Urban Green. 2015, 14, 932–940. [Google Scholar] [CrossRef]
- Dersch, S.; Heurich, M.; Krueger, N.; Krzystek, P. Combining graph-cut clustering with object-based stem detection for tree segmentation in highly dense airborne lidar point clouds. ISPRS J. Photogramm. Remote Sens. 2021, 172, 207–222. [Google Scholar] [CrossRef]
- Mirjalili, S.; Mirjalili, S.M.; Hatamlou, A. Multi-Verse Optimizer: A nature-inspired algorithm for global optimization. Neural Comput. Appl. 2015, 27, 495–513. [Google Scholar] [CrossRef]
- Comesaña-Cebral, L.; Martínez-Sánchez, J.; Lorenzo, H.; Arias, P. Individual Tree Segmentation Method Based on Mobile Backpack LiDAR Point Clouds. Sensors 2021, 21, 6007. [Google Scholar] [CrossRef] [PubMed]















| Number of Trees | Model Output Value (m) | Measured Value (m) | Proportion |
|---|---|---|---|
| 1 | 81.83 | 15.20 | 5.38 |
| 7 | 115.73 | 21.10 | 5.48 |
| 9 | 108.01 | 19.40 | 5.56 |
| 10 | 85.2 | 15.90 | 5.36 |
| 13 | 99.37 | 18.20 | 5.46 |
| Average value of tree height proportion | 5.45 |
| Number of Trees | Model Output Value (m) | Measured Value (m) | Proportion |
|---|---|---|---|
| 1 | 1.760 | 0.847 | 2.078 |
| 7 | 2.110 | 0.110 | 1.927 |
| 9 | 1.630 | 0.766 | 2.128 |
| 10 | 1.070 | 0.565 | 1.894 |
| 13 | 1.440 | 0.738 | 1.951 |
| Average value of DBH proportion | 1.996 |
| Number of Trees | Actual Value of Tree Height (m) | Measurement Model Output Value (m) | Absolute Error (m) | Relative Error (%) |
|---|---|---|---|---|
| 2 | 16.30 | 16.13 | 0.13 | 0.80 |
| 3 | 15.70 | 15.48 | 0.22 | 1.40 |
| 4 | 16.80 | 16.55 | 0.25 | 1.49 |
| 5 | 19.20 | 19.51 | 0.31 | 1.61 |
| 6 | 19.30 | 19.67 | 0.37 | 1.92 |
| 8 | 20.30 | 19.96 | 0.34 | 1.67 |
| 11 | 21.10 | 21.41 | 0.31 | 1.47 |
| 12 | 17.20 | 17.55 | 0.35 | 2.03 |
| 14 | 21.20 | 21.53 | 0.33 | 1.56 |
| 15 | 22.90 | 23.25 | 0.35 | 1.53 |
| 16 | 20.90 | 20.14 | 0.36 | 1.72 |
| 17 | 19.60 | 19.92 | 0.32 | 1.63 |
| 18 | 15.30 | 15.08 | 0.22 | 1.44 |
| 19 | 20.30 | 20.65 | 0.35 | 1.73 |
| 20 | 21.00 | 21.34 | 0.34 | 1.62 |
| 21 | 22.10 | 22.40 | 0.30 | 1.36 |
| 22 | 21.70 | 22.04 | 0.34 | 1.57 |
| Average value | — | — | 0.29 | 1.53 |
| Number of Trees | Actual Value of DBH (m) | Measurement Model Output Value (m) | Absolute Error (m) | Relative Error (%) |
|---|---|---|---|---|
| 2 | 0.900 | 0.907 | 0.007 | 0.757 |
| 3 | 0.647 | 0.631 | 0.016 | 2.432 |
| 4 | 0.752 | 0.797 | 0.045 | 5.930 |
| 5 | 0.923 | 0.982 | 0.059 | 6.388 |
| 8 | 0.835 | 0.872 | 0.037 | 4.431 |
| 6 | 0.770 | 0.827 | 0.057 | 7.358 |
| 11 | 0.840 | 0.872 | 0.032 | 3.779 |
| 12 | 0.592 | 0.556 | 0.036 | 6.062 |
| 14 | 0.800 | 0.822 | 0.022 | 2.705 |
| 15 | 1.015 | 1.032 | 0.017 | 1.681 |
| 16 | 0.900 | 0.912 | 0.012 | 1.314 |
| 17 | 0.775 | 0.807 | 0.032 | 4.079 |
| 18 | 0.545 | 0.516 | 0.029 | 5.315 |
| 19 | 0.805 | 0.812 | 0.007 | 0.823 |
| 20 | 0.614 | 0.591 | 0.023 | 3.716 |
| 21 | 0.672 | 0.681 | 0.009 | 1.393 |
| 22 | 0.805 | 0.832 | 0.027 | 3.312 |
| Average value | — | — | 0.027 | 3.616 |
Disclaimer/Publisher’s Note: The statements, opinions and data contained in all publications are solely those of the individual author(s) and contributor(s) and not of MDPI and/or the editor(s). MDPI and/or the editor(s) disclaim responsibility for any injury to people or property resulting from any ideas, methods, instructions or products referred to in the content. |
© 2023 by the authors. Licensee MDPI, Basel, Switzerland. This article is an open access article distributed under the terms and conditions of the Creative Commons Attribution (CC BY) license (https://creativecommons.org/licenses/by/4.0/).
Share and Cite
Song, J.; Huang, Q.; Zhao, Y.; Song, W.; Fan, Y.; Lu, C. Automatic Extraction of Forest Inventory Variables at the Tree Level by Using Smartphone Images to Construct a Three-Dimensional Model. Forests 2023, 14, 1081. https://doi.org/10.3390/f14061081
Song J, Huang Q, Zhao Y, Song W, Fan Y, Lu C. Automatic Extraction of Forest Inventory Variables at the Tree Level by Using Smartphone Images to Construct a Three-Dimensional Model. Forests. 2023; 14(6):1081. https://doi.org/10.3390/f14061081
Chicago/Turabian StyleSong, Jiayin, Qiqi Huang, Yue Zhao, Wenlong Song, Yiming Fan, and Chao Lu. 2023. "Automatic Extraction of Forest Inventory Variables at the Tree Level by Using Smartphone Images to Construct a Three-Dimensional Model" Forests 14, no. 6: 1081. https://doi.org/10.3390/f14061081
APA StyleSong, J., Huang, Q., Zhao, Y., Song, W., Fan, Y., & Lu, C. (2023). Automatic Extraction of Forest Inventory Variables at the Tree Level by Using Smartphone Images to Construct a Three-Dimensional Model. Forests, 14(6), 1081. https://doi.org/10.3390/f14061081
