Multiproxy Approach to Reconstruct the Fire History of Araucaria araucana Forests in the Nahuelbuta Coastal Range, Chile
Abstract
1. Introduction
2. Materials and Methods
2.1. Study Area
2.2. Dendrochronology Field Sampling
2.3. Tree Ring Sample Preparation, Dating and Measurement
2.4. Climate-Growth Analysis
2.5. Chemical Measurements
2.6. Dendrochemical Data Analysis
2.7. Charcoal Record
3. Results and Discussion
3.1. Fire History of Araucaria-Nothofagus Forests
3.2. Ring Width Chronology of Araucaria araucana
3.3. Dendrochemistry and Fire Scar Dates
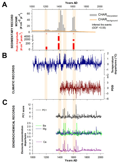
3.4. Extending the Fire History of Nahuelbuta Range Using Dendrochemistry and Charcoal Records from Sediment Cores
4. Conclusions
Supplementary Materials
Author Contributions
Funding
Data Availability Statement
Acknowledgments
Conflicts of Interest
References
- Swetnam, T.W.; Farella, J.; Roos, C.I.; Liebmann, M.J.; Falk, D.A.; Allen, C.D. Multiscale perspectives of fire, climate and humans in western North America and the Jemez Mountains, USA. Philos. Trans. R. Soc. B Biol. Sci. 2016, 371, 20150168. [Google Scholar] [CrossRef] [PubMed]
- Okin, G.S.; Dong, C.; Willis, K.S.; Gillespie, T.W.; MacDonald, G.M. The Impact of Drought on Native Southern California Vegetation: Remote Sensing Analysis Using MODIS-Derived Time Series. J. Geophys. Res. Biogeosci. 2018, 123, 1927–1939. [Google Scholar] [CrossRef]
- Jones, M.W.; Smith, A.; Betts, R.; Canadell, J.G.; Prentice, I.C.; Le Quéré, C. Climate change increases the risk of wildfires. Sci. Brief Rev. 2020, 116, 117. Available online: https://www.preventionweb.net/files/73797_wildfiresbriefingnote.pdf (accessed on 13 December 2022).
- Xu, R.; Yu, P.; Abramson, M.J.; Johnston, F.H.; Samet, J.M.; Bell, M.L.; Haines, A.; Ebi, K.L.; Li, S.; Guo, Y. Wildfires, Global Climate Change, and Human Health. N. Engl. J. Med. 2020, 383, 2173–2181. [Google Scholar] [CrossRef] [PubMed]
- Garreaud, R.D.; Alvarez-Garreton, C.; Barichivich, J.; Boisier, J.P.; Christie, D.; Galleguillos, M.; LeQuesne, C.; McPhee, J.; Zambrano-Bigiarini, M. The 2010–2015 megadrought in central Chile: Impacts on regional hydroclimate and vegetation. Hydrol. Earth Syst. Sci. 2017, 21, 6307–6327. [Google Scholar] [CrossRef]
- Garreaud, R.D.; Boisier, J.P.; Rondanelli, R.; Montecinos, A.; Sepúlveda, H.H.; Veloso-Aguila, D. The Central Chile Mega Drought (2010–2018): A climate dynamics perspective. Int. J. Clim. 2019, 40, 421–439. [Google Scholar] [CrossRef]
- Demortier, A.; Bozkurt, D.; Jacques-Coper, M. Identifying key driving mechanisms of heat waves in central Chile. Clim. Dyn. 2021, 57, 2415–2432. [Google Scholar] [CrossRef]
- Jacques-Coper, M.; Veloso-Aguila, D.; Segura, C.; Valencia, A. Intraseasonal teleconnections leading to heat waves in central Chile. Int. J. Clim. 2021, 41, 4712–4731. [Google Scholar] [CrossRef]
- Liu, Y.; Stanturf, J.; Goodrick, S. Trends in global wildfire potential in a changing climate. For. Ecol. Manag. 2010, 259, 685–697. [Google Scholar] [CrossRef]
- González, M.E.; Lara, A.; Urrutia, R.; Bosnich, J. Cambio climático y su impacto potencial en la ocurrencia de incendios forestales en la zona centro-sur de Chile (33°–42° S). Bosque 2011, 32, 215–219. [Google Scholar] [CrossRef]
- González, M.E.; Gómez-González, S.; Lara, A.; Garreaud, R.; Díaz-Hormazábal, I. The 2010–2015 Megadrought and its influence on the fire regime in central and south-central Chile. Ecosphere 2018, 9, e02300. [Google Scholar] [CrossRef]
- Yoon, J.-H.; Kravitz, B.; Rasch, P.J.; Simon Wang, S.-Y.; Gillies, R.R.; Hipps, L. Extreme Fire Season in California: A Glimpse Into the Future? [in “Explaining Extremes of 2014 from a Climate Perspective”]. Bull. Am. Meteorol. Soc. 2015, 96, S5–S9. [Google Scholar] [CrossRef]
- Úbeda, X.; Sarricolea, P. Wildfires in Chile: A review. Glob. Planet. Chang. 2016, 146, 152–161. [Google Scholar] [CrossRef]
- Turco, M.; von Hardenberg, J.; AghaKouchak, A.; Llasat, M.C.; Provenzale, A.; Trigo, R.M. On the key role of droughts in the dynamics of summer fires in Mediterranean Europe. Sci. Rep. 2017, 7, 81. [Google Scholar] [CrossRef]
- Turco, M.; Rosa-Cánovas, J.J.; Bedia, J.; Jerez, S.; Montávez, J.P.; Llasat, M.C.; Provenzale, A. Exacerbated fires in Mediterranean Europe due to anthropogenic warming projected with non-stationary climate-fire models. Nat. Commun. 2018, 9, 3821. [Google Scholar] [CrossRef] [PubMed]
- Sun, Q.; Miao, C.; Hanel, M.; Borthwick, A.G.L.; Duan, Q.; Ji, D.; Li, H. Global heat stress on health, wildfires, and agricultural crops under different levels of climate warming. Environ. Int. 2019, 128, 125–136. [Google Scholar] [CrossRef] [PubMed]
- Holz, A.; Paritsis, J.; Mundo, I.A.; Veblen, T.T.; Kitzberger, T.; Williamson, G.J.; Aráoz, E.; Bustos-Schindler, C.; González, M.E.; Grau, H.R.; et al. Southern Annular Mode drives multicentury wildfire activity in southern South America. Proc. Natl. Acad. Sci. USA 2017, 114, 9552–9557. [Google Scholar] [CrossRef]
- González, M.E.; Muñoz, A.A.; González-Reyes, Á.; Christie, D.A.; Sibold, J. Fire history in Andean Araucaria–Nothofagus forests: Coupled influences of past human land-use and climate on fire regimes in north-west Patagonia. Int. J. Wildland Fire 2020, 29, 649–660. [Google Scholar] [CrossRef]
- González, M.E.; Veblen, T.T. Climatic influences on fire in Araucaria araucana–Nothofagus forests in the Andean cordillera of south-central Chile. Écoscience 2006, 13, 342–350. [Google Scholar] [CrossRef]
- Urrutia-Jalabert, R.; González, M.E.; González-Reyes, Á.; Lara, A.; Garreaud, R. Climate variability and forest fires in central and south-central Chile. Ecosphere 2018, 9, e02171. [Google Scholar] [CrossRef]
- González, M.E.; Veblen, T.T.; Sibold, J.S. Fire history of Araucaria-Nothofagus forests in Villarrica National Park, Chile. J. Biogeogr. 2005, 32, 1187–1202. [Google Scholar] [CrossRef]
- Mundo, I.A.; Kitzberger, T.; Roig Juñent, F.A.; Villalba, R.; Barrera, M.D. Fire history in the Araucaria araucana forests of Argentina: Human and climate influences. Int. J. Wildland Fire 2013, 22, 194. [Google Scholar] [CrossRef]
- Dickson, B.; Fletcher, M.; Hall, T.L.; Moreno, P.I. Centennial and millennial-scale dynamics in Araucaria–Nothofagus forests in the southern Andes. J. Biogeogr. 2020, 48, 537–547. [Google Scholar] [CrossRef]
- Veblen, T.T.; Burns, B.R.; Kitzberger, T.; Lara, A.; Villalba, R. The ecology of the conifers of southern South America. In Ecology of the Southern Conifers; Enright, N., Hill, R., Eds.; Melbourne University Press: Melbourne, Australia, 1995; pp. 120–155. [Google Scholar]
- González, M.E.; Cortés, M.; Gallo, L.; Bekessy, S.; Echeverría, C.; Izquierdo, F.; Montaldo, P. Coníferas chilenas: Araucaria araucana. In Las Especies Arbóreas de Los Bosques Templados de Chile y Argentina: Autoecología; Donoso, C., Ed.; Marisa Cuneo Ediciones: Valdivia, Chile, 2013; pp. 36–53. [Google Scholar]
- Arroyo-Vargas, P.; Fuentes-Ramírez, A.; Muys, B.; Pauchard, A. Impacts of fire severity and cattle grazing on early plant dynamics in old-growth Araucaria-Nothofagus forests. For. Ecosyst. 2019, 6, 44. [Google Scholar] [CrossRef]
- Fuentes-Ramirez, A.; Salas-Eljatib, C.; González, M.E.; Urrutia-Estrada, J.; Arroyo-Vargas, P.; Santibañez, P. Initial response of understorey vegetation and tree regeneration to a mixed-severity fire in old-growth Araucaria–Nothofagus forests. Appl. Veg. Sci. 2020, 23, 210–222. [Google Scholar] [CrossRef]
- González, M.E.; Szejner, M.; Muñoz, A.A.; Silva, J. Incendios catastróficos en bosques andinos de Araucaria-Nothofagus: Efecto de la severidad y respuesta de la vegetación. Bosque Nativ. 2010, 46, 12–17. Available online: https://www.yumpu.com/es/document/view/14189903/incendios-catastroficos-en-bosques-andinos-de-araucaria- (accessed on 27 January 2023).
- González, M.E.; Veblen, T.T.; Sibold, J.S. Influence of fire severity on stand development of Araucaria araucana-Nothofagus pumilio stands in the Andean cordillera of south-central Chile. Austral Ecol. 2010, 35, 597–615. [Google Scholar] [CrossRef]
- González, M.E.; Lara, A. Large fires in the Andean Araucaria forests: When a natural ecological process becomes a threat. Oryx 2015, 49, 394. [Google Scholar] [CrossRef]
- Urrutia-Estrada, J.; Fuentes-Ramírez, A.; Hauenstein, E. Diferencias en la composición florística en bosques de Araucaria-Nothofagus afectados por distintas severidades de fuego. Gayana Botánica 2018, 75, 625–638. [Google Scholar] [CrossRef]
- Aguilera-Betti, I.; Muñoz, A.A.; Stahle, D.; Figueroa, G.; Duarte, F.; González-Reyes, Á.; Christie, D.; Lara, A.; González, M.E.; Sheppard, P.R.; et al. The First Millennium-Age Araucaria araucana in Patagonia. Tree-Ring Res. 2017, 73, 53–56. [Google Scholar] [CrossRef]
- Premoli, A.; Quiroga, P.; Gardner, M. Araucaria araucana. IUCN Red List. Threat. Species 2013, e.T31355A2805113. [Google Scholar] [CrossRef]
- Molina, J.R.; Martín, Á.; Drake, F.; Martín, L.M.; Herrera, M.Á. Fragmentation of Araucaria araucana forests in Chile: Quantification and correlation with structural variables. iForest-Biogeosci. For. 2015, 9, 244–252. [Google Scholar] [CrossRef]
- MMA. Decreto 79 Aprueba y Oficializa Clasificación de Especies Según Estado de Conservación, Decimocuarto Proceso [Approves and Makes Official Classification of Species According to Conservation Status, Fourteenth Process]. 2018. Available online: https://bcn.cl/2gaep (accessed on 27 January 2023).
- Lara, A.; Solari, M.E.; Rutherford, P.; Thiers, O.; Trecamán, R. Cobertura de la Vegetación Original de la Ecoregión de los Bosques Valdivianos de Chile Hacia 1550. [Original Vegetation Cover of the Valdivian Forest Ecoregion of Chile around 1550]; Technical Report Project FB 49; World Wildlife Found/Universidad Austral de Chile: Valdivia, Chile, 1999. [Google Scholar]
- González, M.; Cortés, M.; Izquierdo, F.; Gallo, L.; Echeverría, C.; Bekkesy, S.; Montaldo, P. Araucaria araucana (Molina) K. Koch Araucaria (ó), Pehuen, Piñonero, Pino Araucaria, Pino chileno, Pino del Neuquén, Monky puzzle tree. In Las Especies Arbóreas de los Bosques Templados de Chile y Argentina: Autoecología; Donoso, C., Ed.; María Cuneo Ediciones: Valdivia, Chile, 2006; pp. 36–53. [Google Scholar]
- Zamorano-Elgueta, C.; Cayuela, L.; Gonzalez-Espinosa, M.; Lara, A.; Parra-Vazquez, M.R. Impacts of cattle on the South American temperate forests: Challenges for the conservation of the endangered monkey puzzle tree (Araucaria araucana) in Chile. Biol. Conserv. 2012, 152, 110–118. [Google Scholar] [CrossRef]
- Urrutia, J.; Pauchard, A.; García, R.A. Diferencias en la composición vegetal de un bosque de Araucaria araucana (Molina) K.Koch y Nothofagus antarctica (G. Forst.) Oerst: Asociadas a un gradiente de invasión de Pinus contorta Douglas ex Loudon. [Differences in the vegetal composition of a forest of Araucaria araucana (Molina) K.Koch and Nothofagus antarctica (G. Forst.) Oerst. associated with an invasion gradient of Pinus contorta Douglas ex Loudon]. Gayana Botánica 2013, 70, 92–100. [Google Scholar] [CrossRef]
- Cóbar-Carranza, A.J.; García, R.A.; Pauchard, A.; Peña, E. Effect of Pinus contorta invasion on forest fuel properties and its potential implications on the fire regime of Araucaria araucana and Nothofagus antarctica forests. Biol. Invasions 2014, 16, 2273–2291. [Google Scholar] [CrossRef]
- Assal, T.J.; González, M.E.; Sibold, J.S. Burn severity controls on postfire Araucaria-Nothofagus Regeneration in the Andean Cordillera. J. Biogeogr. 2018, 45, 2483–2494. [Google Scholar] [CrossRef]
- Agee, J.K. Fire Ecology of Pacific Northwest Forests; Island Press: Washington, DC, USA, 1993; 493p. [Google Scholar]
- Whitlock, C.; Anderson, R.S. Fire history reconstructions based on sediment records from lakes and wetlands. In Fire and Climatic Change in Temperate Ecosystems of the Western Americas; Veblen, T.T., Baker, W.L., Montenegro, G., Swetnam, T.W., Eds.; Springer: New York, NY, USA, 2003; pp. 3–31. [Google Scholar]
- Conedera, M.; Tinner, W.; Neff, C.; Meurer, M.; Dickens, A.F.; Krebs, P. Reconstructing past fire regimes: Methods, applications, and relevance to fire management and conservation. Quat. Sci. Rev. 2009, 28, 555–576. [Google Scholar] [CrossRef]
- Baker, W.L. Fire Ecology in Rocky Mountain Landscapes; Island Press: Washington, DC, USA, 2009; 605p. [Google Scholar]
- Kitzberger, T.; Veblen, T.T.; Villalba, R. Métodos dendrocronológicos y sus aplicaciones en estudios de dinámica de bosques templados de Sudamérica [Dendrochronological methods and their applications in studies of dynamics of temperate forests in South America]. In Dendrocronología en América Latina; Roig, F., Ed.; EDIUNC: Mendoza, Argentina, 2000; pp. 17–78. [Google Scholar]
- Smith, K.T.; Sutherland, E.K. Terminology and biology of fire scars in selected central hardwoods. Tree-Ring Res. 2001, 57, 141–147. Available online: https://www.fs.usda.gov/research/treesearch/18749 (accessed on 27 January 2023).
- Guyette, R.P.; Dey, D.C.; Stambaugh, M.C.; Muzika, R. Fire scars reveal variability and dynamics of eastern fire regimes. In Proceedings of the Fire in Eastern Oak Forests: Delivering Science to Land Managers, Proceedings of a Conference; Columbus, OH, USA, 15–17 November 2005, Dickinson, M.B., Ed.; General Technical Report NRS-P-1; U.S. Department of Agriculture, Forest Service, Northern Research Station: Newtown Square, PA, USA, 2006; pp. 20–39. Available online: https://www.nrs.fs.usda.gov/pubs/gtr/gtr_nrs-p1/guyette_p1_20.pdf (accessed on 27 January 2023).
- MacDonald, G.M.; Larsen, C.P.S.; Szeicz, J.M.; Moser, K.A. The reconstruction of boreal forest fire history from lake sediments: A comparison of charcoal, pollen, sedimentological, and geochemical indices. Quat. Sci. Rev. 1991, 10, 53–71. [Google Scholar] [CrossRef]
- Abarzúa, A.M.; Pinchicura, A.G.; Jarpa, L.; Martel-Cea, A.; Sterken, M.; Vega, R.; Pino, Q.M. Environmental Responses to Climatic and Cultural Changes. In The Teleoscopic Polity; Dillehay, T., Ed.; Springer International Publishing: Berlin/Heidelberg, Germany, 2014; pp. 123–141. [Google Scholar] [CrossRef]
- Whitlock, C.; Larsen, C. Charcoal as a fire proxy. In Tracking Environmental Change Using Lake Sediments: Terrestrial, Algal, and Siliceous Indicators; Smol, J.P., Birks, H.J.B., Last, W.M., Eds.; Springer: Dordrecht, The Netherlands, 2001; pp. 75–97. [Google Scholar] [CrossRef]
- Nabais, C.; Freitas, H.; Hagemeyer, J. Tree rings and dendroanalysis. In Metals in the Environment. Analysis by Biodiversity, New York. Prasad, M.N.V. (2001). Metals in the Environment; Prasad, M., Ed.; CRC Press: Boca Raton, FL, USA, 2001; pp. 367–400. [Google Scholar] [CrossRef]
- Watmough, S.A. An evaluation of the use of dendrochemical analyses in environmental monitoring. Environ. Rev. 1997, 5, 181–201. [Google Scholar] [CrossRef]
- Binda, G.; Di Iorio, A.; Monticelli, D. The what, how, why, and when of dendrochemistry: (Paleo) Environmental information from the chemical analysis of tree rings. Sci. Total Environ. 2021, 758, 143672. [Google Scholar] [CrossRef]
- Ballikaya, P.; Marshall, J. Cherubini, PCan tree-ring chemistry be used to monitor atmospheric nanoparticle contamination over time? Atmos. Environ. 2022, 268, 118781. [Google Scholar] [CrossRef]
- Muñoz, A.A.; Klock-Barría, K.; Sheppard, P.R.; Aguilera-Betti, I.; Toledo-Guerrero, I.; Christie, D.A.; Gorena, T.; Gallardo, L.; González-Reyes, Á.; Lara, A.; et al. Multidecadal environmental pollution in a mega-industrial area in central Chile registered by tree rings. Sci. Total Environ. 2019, 696, 133915. [Google Scholar] [CrossRef] [PubMed]
- Cocozza, C.; Alterio, E.; Bachmann, O.; Guillong, M.; Sitzia, T.; Cherubini, P. Monitoring air pollution close to a cement plant and in a multi-source industrial area through tree-ring analysis. Environ. Sci. Pollut. Res. 2021, 28, 54030–54040. [Google Scholar] [CrossRef]
- Ballikaya, P.; Song, W.; Bachmann, O.; Guillong, M.; Wang, X.; Cherubini, P. Chemical Elements Recorded by Quercus mongolica Fisch. ex Ledeb. Tree Rings Reveal Trends of Pollution History in Harbin, China. Forests 2023, 14, 187. [Google Scholar] [CrossRef]
- Pearson, C.; Manning, S.W.; Coleman, M.; Jarvis, K. Can tree-ring chemistry reveal absolute dates for past volcanic eruptions? J. Archaeol. Sci. 2005, 32, 1265–1274. [Google Scholar] [CrossRef]
- Pearson, C.L.; Manning, S.W.; Coleman, M.; Jarvis, K. A dendrochemical study of Pinus sylvestris from Siljansfors Experimental Forest, central Sweden. Appl. Geochem. 2006, 21, 1681–1691. [Google Scholar] [CrossRef]
- Alfaro-Sánchez, R.; Camarero, J.J.; Querejeta, J.I.; Sagra, J.; Moya, D.; Rodríguez-Trejo, D.A. Volcanic activity signals in tree-rings at the treeline of the Popocatépetl, Mexico. Dendrochronologia 2020, 59, 125663. [Google Scholar] [CrossRef]
- Bertin, L.J.; Christie, D.A.; Sheppard, P.R.; Muñoz, A.A.; Lara, A.; Alvarez, C. Chemical Signals in Tree Rings from Northern Patagonia as Indicators of Calbuco Volcano Eruptions since the 16th Century. Forests 2021, 12, 1305. [Google Scholar] [CrossRef]
- Odigie, K.O.; Khanis, E.; Hibdon, S.A.; Jana, P.; Araneda, A.; Urrutia, R.; Flegal, A.R. Remobilization of trace elements by forest fire in Patagonia, Chile. Reg. Environ. Chang. 2015, 16, 1089–1096. [Google Scholar] [CrossRef]
- Fernandez-Marcos, M.L. Potentially Toxic Substances and Associated Risks in Soils Affected by Wildfires: A Review. Toxics 2022, 10, 31. [Google Scholar] [CrossRef] [PubMed]
- Balouet, J.-C.; Oudijk, G.; Smith, K.T.; Petrisor, I.; Grudd, H.; Stocklassa, B. Applied Dendroecology and Environmental Forensics. Characterizing and Age Dating Environmental Releases: Fundamentals and Case Studies. Environ. Forensics 2007, 8, 1–17. [Google Scholar] [CrossRef]
- Smith, K.T.; Arbellay, E.; Falk, D.A.; Sutherland, E.K. Macroanatomy and compartmentalization of recent fire scars in three North American conifers. Can. J. For. Res. 2016, 46, 535–542. [Google Scholar] [CrossRef]
- Abraham, J.; Dowling, K.; Florentine, S. The Unquantified Risk of Post-Fire Metal Concentration in Soil: A Review. Water Air Soil Pollut. 2017, 228, 1–33. [Google Scholar] [CrossRef]
- McBride, J.R. Analysis of tree rings and fire scars to establish fire history. Tree-Ring Bull. 1983, 43, 51–67. Available online: https://repository.arizona.edu/handle/10150/261216 (accessed on 27 January 2023).
- Wei, M.; Guo, X.; Ma, Y.; Tigabu, M.; Zheng, W.; Liu, M.; Guo, F. Impact of forest fire on radial growth of tree rings and their element concentrations of Pinus sylvestris and Larix gmelinii in northern China. Front. For. Glob. Chang. 2023, 6, 1136039. [Google Scholar] [CrossRef]
- Aguilera-Betti, I.; Lucas, C.; Ferrero, M.E.; Muñoz, A.A. A Network for Advancing Dendrochronology, Dendrochemistry and Dendrohydrology in South America. Tree-Ring Res. 2020, 76, 94. [Google Scholar] [CrossRef]
- Figueroa, G.; Muñoz, A.A.; Aguilera-Betti, I.; Toledo-Guerrero, I.; Puchi, P.; Sheppard, P. Effects of eruptions Villarrica Volcano observed in the chemical variability of Araucaria araucana tree-rings records. In Proceedings of the Cities on Volcanoes 9. Understanding Volcanoes a Society: The Key for Risk Mitigation, Puerto Varas, Chile, 20–25 November 2016. [Google Scholar]
- Cutter, B.E.; Guyette, R.P. Anatomical, Chemical, and Ecological Factors Affecting Tree Species Choice in Dendrochemistry Studies. J. Environ. Qual. 1993, 22, 611–619. [Google Scholar] [CrossRef]
- Smith-Ramírez, C. The Chilean coastal range: A vanishing center of biodiversity and endemism in South American temperate rainforests. Biodivers. Conserv. 2004, 13, 373–393. [Google Scholar] [CrossRef]
- Di Castri, F.; Hajek, E. Bioclimatología de Chile [Bioclimatology of Chile]; Vicerrectoría Académica de la Universidad Católica de Chile: Santiago, Chile, 1976; 129p. [Google Scholar]
- Donoso, C.; Gerding, V.; Olivares, B.; Real, P.; Sandoval, V.; Schlatter, R.; Schlegel, F. Antecedentes Para el Manejo del Bosque Nativo de Forestal Arauco [Background for the Management of the Native Forest of Forestal Arauco]; Informe de Convenio N° 74; Universidad Austral de Chile: Valdivia, Chile, 1984; 183p. [Google Scholar]
- Dillehay, T. La Organización Política Temprana de los Mapuche. Materialidad y Patriarcado Andino [The Early Political Organization of the Mapuche. Materiality and Andean Patriarchy]; Pehuén: Santiago, Chile, 2017. [Google Scholar]
- Aldunate, C.; Villagrán, C. Recolectores de los bosques templados del cono-sur americano [Collectors of the temperate forests of the American southern cone]. In Botánica Indígena de Chile; de Moesbach, W., Ed.; Andrés Bello: Santiago, Chile, 1992; pp. 23–38. [Google Scholar]
- Zavala, J.M. La cordillera de Nahuelbuta, ¿lugar de naturaleza o de cultura?: Concepción del espacio cordillerano en fuentes españolas del siglo XVI [The Nahuelbuta mountain range, a place of nature or culture?: Conception of the mountain range space in Spanish sources of the 16th century]. Rev. Cuhso 2008, 15, 17–24. [Google Scholar]
- de Góngora Marmolejo, A. Historia de Chile Desde su Descubrimiento Hasta el año de 1575. Colección de Historiadores de Chile y de Documentos Relativos a la Historia Nacional [History of Chile from Its Discovery to the Year 1575. Collection of Chilean Historians and Documents Related to National History]; Impr. del Ferrocarril: Santiago, Chile, 1862. [Google Scholar]
- González de Nájera, A. Desengaño y Reparo de la Guerra del Reino de Chile Donde se Manifiestan las Principales Ventajas que en Ella tienen los Indios a Nuestros Españoles [Disappointment and Repair of the War in the Kingdom of Chile Where the Main Advantages That the Indians Have over Our Spaniards in It Are Manifested]; Impr. Ercilla: Santiago, Chile, 1889. [Google Scholar]
- Fitz-Roy, R. Viajes del “Adventure” y el “Beagle”: Diario (Biblioteca Darwiniana); Catarata: Madrid, Spain, 2013. [Google Scholar]
- Lara, H. Crónica de la Araucanía: Descubrimiento y Conquista, Pacificación Definitiva i Campaña de Villa-Rica (Leyenda Heroica de Tres Siglos) [Chronicle of the Araucanía: Discovery and Conquest, Final Pacification and Campaign of Villa-Rica (Heroic Legend of Three Centuries)]; Impr. El Progreso: Santiago, Chile, 1888. [Google Scholar]
- Mansoulet, J. Guía-Crónica de la Frontera Araucana de Chile: Años 1892–1893. Apuntes Históricos, Topográficos, Geográficos, Descriptivos y Estadísticos de sus Poblaciones, de su Comercio, Industrias y Agricultura [Guide-Chronicle of the Araucanian Border of Chile: Years 1892–1893. Historical, Topographical, Geographical, Descriptive and Statistical Notes of Its Populations, Its Commerce, Industries and Agricultura]; Impr. Barcelona: Santiago, Chile, 1893. [Google Scholar]
- Domeyko, I. Araucanía y sus Habitantes: Recuerdos de un Viaje Hecho en las Provincias Meridionales de Chile en los Meses de Enero y Febrero 1845 [Araucanía and Its Inhabitants: Memories of a Trip Made in the Southern Provinces of Chile in the Months of January and February 1845]; Editorial Francisco de Aguirre: Buenos Aires, Argentina, 1971. [Google Scholar]
- Arno, S.F.; Sneck, K.M. A Method for Determining Fire history in Coniferous Forests of the Mountain West; General Technical Report INT-42; USDA Forest Service, Intermountain Forest Experiment Station: Tucson, AZ, USA, 1977. [Google Scholar]
- Barrett, S.W.; Arno, S.F. Increment-Borer Methods For Determining Fire History in Coniferous Forests; General Technical Report INT-244; US Department of Agriculture, Forest Service, Intermountain Research Station: Ogden, UT, USA, 1988; Volume 244, 15p.
- Stokes, M.A.; Smiley, T.L. An Introduction to Tree-Ring Dating; University of Arizona Press: Tucson, AZ, USA, 1996; 73p. [Google Scholar]
- Speer, J.H. Fundamentals of Tree Ring Research; The University of Arizona Press: Tucson, AZ, USA, 2010. [Google Scholar]
- Schulman, E. Dendroclimatic Change in Semiarid America; University of Arizona Press: Tucson, AZ, USA, 1956; 142p. [Google Scholar]
- Holmes, R.L. Computer-assisted quality control in tree-ring dating and measurement. Tree-Ring Bull. 1983, 43, 69–78. [Google Scholar]
- Cook, E.R.; Holmes, R.H. ARSTAN Program and Users’ Manual. Laboratory of Tree-Ring Research; University of Arizona: Tucson, AZ, USA, 1984; 15p. [Google Scholar]
- Abatzoglou, J.T.; Dobrowski, S.Z.; Parks, S.A.; Hegewisch, K.C. TerraClimate, a high-resolution global dataset of monthly climate and climatic water balance from 1958–2015. Sci. Data 2018, 5, 170191. [Google Scholar] [CrossRef]
- Mooney, C.Z.; Duval, R.D. Bootstrapping: A Nonparametric Approach to Statistical Inference; Sage Publications, Inc.: Thousand Oaks, CA, USA, 1993. [Google Scholar] [CrossRef]
- Grissino-Mayer, H.D. Tree-Ring Reconstructions of Climate and Fire History at El Malpais National Monument, New Mexico. Ph.D. Thesis, University of Arizona, Tucson, AZ, USA, 1995; 407p. [Google Scholar]
- R Core Team. R: A Language and Environment for Statistical Computing; R Foundation for Statistical Computing: Vienna, Austria, 2022; Available online: https://www.R-project.org/ (accessed on 25 February 2023).
- RStudio Team. RStudio: Integrated Development Environment for R. RStudio; PBC: Boston, MA, USA, 2022; Available online: http://www.rstudio.com/ (accessed on 25 February 2023).
- Bunn, A.G. A dendrochronology program library in R (dplR). Dendrochronologia 2008, 26, 115–124. [Google Scholar] [CrossRef]
- Bunn, A.; Korpela, M.; Biondi, F.; Campelo, F.; Mérian, P.; Qeadan, F.; Zang, C. dplR: Dendrochronology Program Library in R. R Package Version 1.7.4. 2022. Available online: https://CRAN.R-project.org/package=dplR (accessed on 25 February 2023).
- Lara, A.; Villalba, R.; Urrutia-Jalabert, R.; González-Reyes, A.; Aravena, J.C.; Luckman, B.H.; Cuq, E.; Rodríguez, C.; Wolodarsky-Franke, A. +A 5680-year tree-ring temperature record for southern South America. Quat. Sci. Rev. 2020, 228, 106087. [Google Scholar] [CrossRef]
- Morales, M.S.; Cook, E.R.; Barichivich, J.; Christie, D.A.; Villalba, R.; LeQuesne, C.; Srur, A.M.; Ferrero, M.E.; González-Reyes, Á.; Couvreux, F.; et al. Six hundred years of South American tree rings reveal an increase in severe hydroclimatic events since mid-20th century. Proc. Natl. Acad. Sci. USA 2020, 117, 16816–16823. [Google Scholar] [CrossRef] [PubMed]
- Aquino-López, M.A.; Blaauw, M.; Christen, J.A.; Sanderson, N.K. Bayesian Analysis of 210Pb Dating. J. Agric. Biol. Environ. Stat. 2018, 23, 317–333. [Google Scholar] [CrossRef]
- Blaauw, M.; Christen, J.A.; Aquino-López, M.A. Rplum: Bayesian Age-Depth Modelling of ‘210Pb’-Dated Cores. R Package Version 0.1.4. 2020. Available online: https://CRAN.R-project.org/package=rplum (accessed on 30 January 2023).
- Hogg, A.G.; Heaton, T.J.; Hua, Q.; Palmer, J.G.; Turney, C.S.; Southon, J.; Bayliss, A.; Blackwell, P.G.; Boswijk, G.; Bronk Ramsey, C.; et al. SHCal20 Southern Hemisphere Calibration, 0–55,000 Years cal BP. Radiocarbon 2020, 62, 759–778. [Google Scholar] [CrossRef]
- Higuera, P.E.; Whitlock, C.; Gage, J.A. Linking tree-ring and sediment-charcoal records to reconstruct fire occurrence and area burned in subalpine forests of Yellowstone National Park, USA. Holocene 2011, 21, 327–341. [Google Scholar] [CrossRef]
- Higuera, P.E.; Brubaker, L.B.; Anderson, P.M.; Hu, F.S.; Brown, T.A. Vegetation mediated the impacts of postglacial climate change on fire regimes in the south-central Brooks Range, Alaska. Ecol. Monogr. 2009, 79, 201–219. [Google Scholar] [CrossRef]
- Mundo, I.A.; Wiegand, T.; Kanagaraj, R.; Kitzberger, T. Environmental drivers and spatial dependency in wildfire ignition patterns of northwestern Patagonia. J. Environ. Manag. 2013, 123, 77–87. [Google Scholar] [CrossRef]
- Iglesias, W. Reconstrucción de 500 Años de Incendios en Bosques de Araucaria araucana en la Primera Área Protegida por el Estado: Reserva Nacional Malleco, Región de la Araucanía [Reconstruction of 500 Years of Fires in Araucaria araucana Forests in the First Area Protected by the State: Malleco National Reserve, Araucanía Region]. 2011. Available online: https://www.curriculumnacional.cl/estudiante/621/articles-262032_recurso_01.pdf (accessed on 27 January 2023).
- Bengoa, J. Historia del Pueblo Mapuche: Siglo XIX y XX [History of the Mapuche People: XIX and XX Centuries]; LOM: Santiago, Chile, 2000; 430p. [Google Scholar]
- Saavedra, C. Documentos Relativos a la Ocupación de Arauco [Documents Related to the Occupation of Arauco]; Biblioteca Fundamentos de la Construcción de Chile: Santiago, Chile, 2009; 392p. [Google Scholar]
- Villalobos, S. Incorporación de La Araucanía. Relatos Militares [Incorporation of La Araucanía. Military Accounts]; Catalonia: Santiago, Chile, 2018; pp. 1822–1883. 327p. [Google Scholar]
- Muñoz, A.A.; Barichivich, J.; Christie, D.A.; Dorigo, W.; Sauchyn, D.; González-Reyes, Á.; Villalba, R.; Lara, A.; Riquelme, N.; González, M.E. Patterns and drivers of Araucaria araucana forest growth along a biophysical gradient in the northern Patagonian Andes: Linking tree rings with satellite observations of soil moisture. Austral Ecol. 2014, 39, 158–169. [Google Scholar] [CrossRef]
- Mundo, I.A.; Roig Juñent, F.A.; Villalba, R.; Kitzberger, T.; Barrera, M.D. Araucaria araucana tree-ring chronologies in Argentina: Spatial growth variations and climate influences. Trees 2012, 26, 443–458. [Google Scholar] [CrossRef]
- Hagemeyer, J. Trace metals in tree rings: What do they tell us. In Trace Elements—Their Distribution and Effects in the Environment; Elsevier: Amsterdam, The Netherlands, 2000; pp. 375–385. [Google Scholar] [CrossRef]
- Montiel, M.; González, M.E.; Muñoz, A.A.; Christie, D.A.; Sheppard, P.R. Dendroecological and Dendrochemical Responses after Two Successive Fires in an Araucaria araucana Forest; Escuela de Graduados, Facultad de Ciencias Forestales y Recursos Naturales, Universidad Austral de Chile: Valdivia, Chile, 2023. [Google Scholar]
- Austruy, A.; Yung, L.; Ambrosi, J.P.; Girardclos, O.; Keller, C.; Angeletti, B.; Dron, J.; Chamaret, P.; Chalot, M. Evaluation of historical atmospheric pollution in an industrial area by dendrochemical approaches. Chemosphere 2019, 220, 116–126. [Google Scholar] [CrossRef] [PubMed]
- Agbeshie, A.A.; Abugre, S.; Atta-Darkwa, T.; Awuah, R. A review of the effects of forest fire on soil properties. J. For. Res. 2022, 33, 1419–1441. [Google Scholar] [CrossRef]
- Campos, I.; Abrantes, N.; Keizer, J.J.; Vale, C.; Pereira, P. Major and trace elements in soils and ashes of eucalypt and pine forest plantations in Portugal following a wildfire. Sci. Total Environ. 2016, 572, 1363–1376. [Google Scholar] [CrossRef] [PubMed]
- Houle, D.; Tremblay, S.; Ouimet, R. Foliar and wood chemistry of sugar maple along a gradient of soil acidity and stand health. Plant Soil 2007, 300, 173–183. [Google Scholar] [CrossRef]
- Bukata, A.R.; Kyser, T.K.; Al, T.A. Nitrogen Isotopic Composition and Elemental concentration of Tree-rings May Help Map the Extent of Historic Fire Events. Fire Ecol. 2008, 4, 101–107. [Google Scholar] [CrossRef]
- Pearson, C.L.; Dale, D.; Lombardo, K. An investigation of fire scars in Pseudotsuga macrocarpa by Scanning X-ray Fluorescence Microscopy. For. Ecol. Manag. 2011, 262, 1258–1264. [Google Scholar] [CrossRef]
- Scharnweber, T.; Hevia, A.; Buras, A.; van der Maaten, E.; Wilmking, M. Common trends in elements? Within- and between-tree variations of wood-chemistry measured by X-ray fluorescence—A dendrochemical study. Sci. Total Environ. 2016, 566–567, 1245–1253. [Google Scholar] [CrossRef]
- Gavrikov, V.L.; Fertikov, A.I.; Sharafutdinov, R.A.; Vaganov, E.A. Species-specific and Non-species-specific Elemental Trends in Tree Rings. Dokl. Earth Sci. 2021, 496, 96–99. [Google Scholar] [CrossRef]
- Sánchez-Salguero, R.; Camarero, J.J.; Hevia, A.; Sangüesa-Barreda, G.; Galván, J.D.; Gutiérrez, E. Testing annual tree-ring chemistry by X-ray fluorescence for dendroclimatic studies in high-elevation forests from the Spanish Pyrenees. Quat. Int. 2019, 514, 130–140. [Google Scholar] [CrossRef]
- Gavrikov, V.; Fertikov, A.; Sharafutdinov, R.; Pyzhev, A.; Vaganov, E. Dendrochemical Challenge in Climate Science: Whether Chemical Elements in Wood Reflect the Fluctuations in Weather Parameters. Plants 2022, 11, 3240. [Google Scholar] [CrossRef] [PubMed]
- Peckham, M.A.; Gustin, M.S.; Weisberg, P.J. Assessment of the Suitability of Tree Rings as Archives of Global and Regional Atmospheric Mercury Pollution. Environ. Sci. Technol. 2019, 53, 3663–3671. [Google Scholar] [CrossRef] [PubMed]
- Holz, A.; Haberle, S.; Veblen, T.T.; De Pol-Holz, R.; Southon, J. Fire history in western Patagonia from paired tree-ring fire-scar and charcoal records. Clim. Past 2012, 8, 451–466. [Google Scholar] [CrossRef]
- Lamy, F.; Hebbeln, D.; Röhl, U.; Wefer, G. Holocene rainfall variability in southern Chile: A marine record of latitudinal shifts of the Southern Westerlies. Earth Planet. Sci. Lett. 2001, 185, 369–382. [Google Scholar] [CrossRef]
- Garreaud, R.D. A plausible atmospheric trigger for the 2017 coastal El Niño. Int. J. Clim. 2018, 38, e1296–e1302. [Google Scholar] [CrossRef]
- Abarzúa, A.M.; Moreno, P.I. Changing fire regimes in the temperate rainforest region of southern Chile over the last 16,000 yr. Quat. Res. 2008, 69, 62–71. [Google Scholar] [CrossRef]
- Fletcher, M.S.; Moreno, P.I. Have the Southern Westerlies changed in a zonally symmetric manner over the last 14,000 years? A hemisphere-wide take on a controversial problem. Quat. Int. 2012, 253, 32–46. [Google Scholar] [CrossRef]
- Moreno, P.I.; Vilanova, I.; Villa-Martínez, R.P.; Francois, J.P. Modulation of fire regimes by vegetation and site type in southwestern Patagonia since 13 ka. Front. Ecol. Evol. 2018, 6, 34. [Google Scholar] [CrossRef]
- Whitlock, C.; Moreno, P.I.; Bartlein, P. Climatic controls of Holocene fire patterns in southern South America. Quat. Res. 2007, 68, 28–36. [Google Scholar] [CrossRef]
- Yan, H.; Sun, L.; Wang, Y.; Huang, W.; Qiu, S.; Yang, C. A record of the Southern Oscillation Index for the past 2000 years from precipitation proxies. Nat. Geosci. 2011, 4, 611–614. [Google Scholar] [CrossRef]
- Dätwyler, C.; Neukom, R.; Abram, N.J.; Gallant, A.J.E.; Grosjean, M.; Jacques-Coper, M.; Karoly, D.J.; Villalba, R. Teleconnection stationarity, variability and trends of the Southern Annular Mode (SAM) during the last millennium. Clim. Dyn. 2018, 51, 2321–2339. [Google Scholar] [CrossRef]
- Adán, L.; Mera, R. Acerca de la distribución espacial y temporal del Complejo Pitrén. Una reevaluación a partir del estudio sistemático de colecciones [About the spatial and temporal distribution of the Pitrén Complex. A reassessment from the systematic study of collections]. Boletín Soc. Chil. Arqueol. 1997, 24, 33–37. [Google Scholar]
- Lara, A.; Solari, M.E.; Prieto, M.R.; Peña, M.P. Reconstrucción de la cobertura de la vegetación y uso del suelo hacia 1550 y sus cambios a 2007 en la ecorregión de los bosques valdivianos lluviosos de Chile (35°–43°30′ S) [Reconstruction of vegetation cover and land use around 1550 and its changes to 2007 in the Valdivian rain forests ecoregion of Chile (35°–43°30′ S)]. Bosque 2012, 33, 13–23. [Google Scholar] [CrossRef]
- Luebert, F.; Pliscoff, L. Sinopsis Bioclimática y Vegetacional de Chile [Bioclimatic and Vegetational Synopsis of Chile]; Editorial Universitaria: Santiago, Chile, 2017. [Google Scholar]
- Camus, P. Bosques y tierras despejadas en el período de la conquista de Chile [Forests and cleared lands in the period of the conquest of Chile]. In Estudios Coloniales II Santiago. Editorial Biblioteca Americana, Universidad Andrés Bello; Retamales Ávila, J., Ed.; RIL Editores: Santiago, Chile, 2002; pp. 159–180. [Google Scholar]
- Le Quesne, C.; Acuña, C.; Boninsegna, J.A.; Rivera, A.; Barichivich, J. Long-term glacier variations in the Central Andes of Argentina and Chile, inferred from historical records and tree-ring reconstructed precipitation. Palaeogeogr. Palaeoclimatol. Palaeoecol. 2009, 281, 334–344. [Google Scholar] [CrossRef]
- Bengoa, J. Historia de los Antiguos Mapuches del sur [History of the Ancient Mapuches of the South]; Editorial Catalonia: Santiago, Chile, 2003. [Google Scholar]
- León, L. Maloqueros y Conchavadores en Araucanía y las Pampas, 1700–1800 [Maloqueros and Conchavadores in Araucanía and the Pampas, 1700–1800]; Serie Quinto Centenario; Ediciones Universidad de La Frontera: Araucanía, Chile, 1991. [Google Scholar]
- León, L.; Herrera, P.; Parentini, L.C.; Villalobos, S. Araucanía: La Frontera Mestiza, Siglo XIX [Araucanía: The Mestizo Border, 19th century]; Ed. Lom: Santiago, Chile, 2004. [Google Scholar]
- Torrejón, F.; Cisternas, M. Alteraciones del paisaje ecológico araucano por la asimilación mapuche de la agroganadería hispano-mediterránea (siglos XVI y XVII) [Changes in the Araucanian ecological landscape due to the Mapuche assimilation of Spanish-Mediterranean farming (16th and 17th centuries)]. Rev. Chil. Hist. Nat. 2002, 75, 729–736. [Google Scholar] [CrossRef]
- Torrejón, F.; Cisternas, M. Impacto ambiental temprano en la Araucanía deducido de crónicas españolas y estudios historiográficos [Early environmental impact in Araucanía deduced from Spanish chronicles and historiographical studies]. Bosque 2003, 24, 45–56. [Google Scholar] [CrossRef]









Disclaimer/Publisher’s Note: The statements, opinions and data contained in all publications are solely those of the individual author(s) and contributor(s) and not of MDPI and/or the editor(s). MDPI and/or the editor(s) disclaim responsibility for any injury to people or property resulting from any ideas, methods, instructions or products referred to in the content. |
© 2023 by the authors. Licensee MDPI, Basel, Switzerland. This article is an open access article distributed under the terms and conditions of the Creative Commons Attribution (CC BY) license (https://creativecommons.org/licenses/by/4.0/).
Share and Cite
Muñoz, A.A.; González, M.E.; Schneider-Valenzuela, I.; Klock-Barría, K.; Madariaga-Burgos, M.; Rodríguez, C.G.; Abarzúa, A.M.; Solari, M.E.; Martel-Cea, A.; Velásquez, B.; et al. Multiproxy Approach to Reconstruct the Fire History of Araucaria araucana Forests in the Nahuelbuta Coastal Range, Chile. Forests 2023, 14, 1082. https://doi.org/10.3390/f14061082
Muñoz AA, González ME, Schneider-Valenzuela I, Klock-Barría K, Madariaga-Burgos M, Rodríguez CG, Abarzúa AM, Solari ME, Martel-Cea A, Velásquez B, et al. Multiproxy Approach to Reconstruct the Fire History of Araucaria araucana Forests in the Nahuelbuta Coastal Range, Chile. Forests. 2023; 14(6):1082. https://doi.org/10.3390/f14061082
Chicago/Turabian StyleMuñoz, Ariel A., Mauro E. González, Isadora Schneider-Valenzuela, Karin Klock-Barría, Marcelo Madariaga-Burgos, Carmen Gloria Rodríguez, Ana M. Abarzúa, María Eugenia Solari, Alejandra Martel-Cea, Bárbara Velásquez, and et al. 2023. "Multiproxy Approach to Reconstruct the Fire History of Araucaria araucana Forests in the Nahuelbuta Coastal Range, Chile" Forests 14, no. 6: 1082. https://doi.org/10.3390/f14061082
APA StyleMuñoz, A. A., González, M. E., Schneider-Valenzuela, I., Klock-Barría, K., Madariaga-Burgos, M., Rodríguez, C. G., Abarzúa, A. M., Solari, M. E., Martel-Cea, A., Velásquez, B., Paredes, B., Guerrero, F., Montiel, M., Tapia-Marzán, V., Riquelme, T., & Sheppard, P. R. (2023). Multiproxy Approach to Reconstruct the Fire History of Araucaria araucana Forests in the Nahuelbuta Coastal Range, Chile. Forests, 14(6), 1082. https://doi.org/10.3390/f14061082

