Effect of Geometry Precision and Load Distribution on Branch Mechanical Response
Abstract
1. Introduction
2. Materials and Methods
2.1. Experiment
2.2. Numerical Simulations—FEM Set Up
2.2.1. Beam Model
2.2.2. Scanned Model (Solid Model)
2.2.3. Post-Processing of the Results
3. Results and Discussion
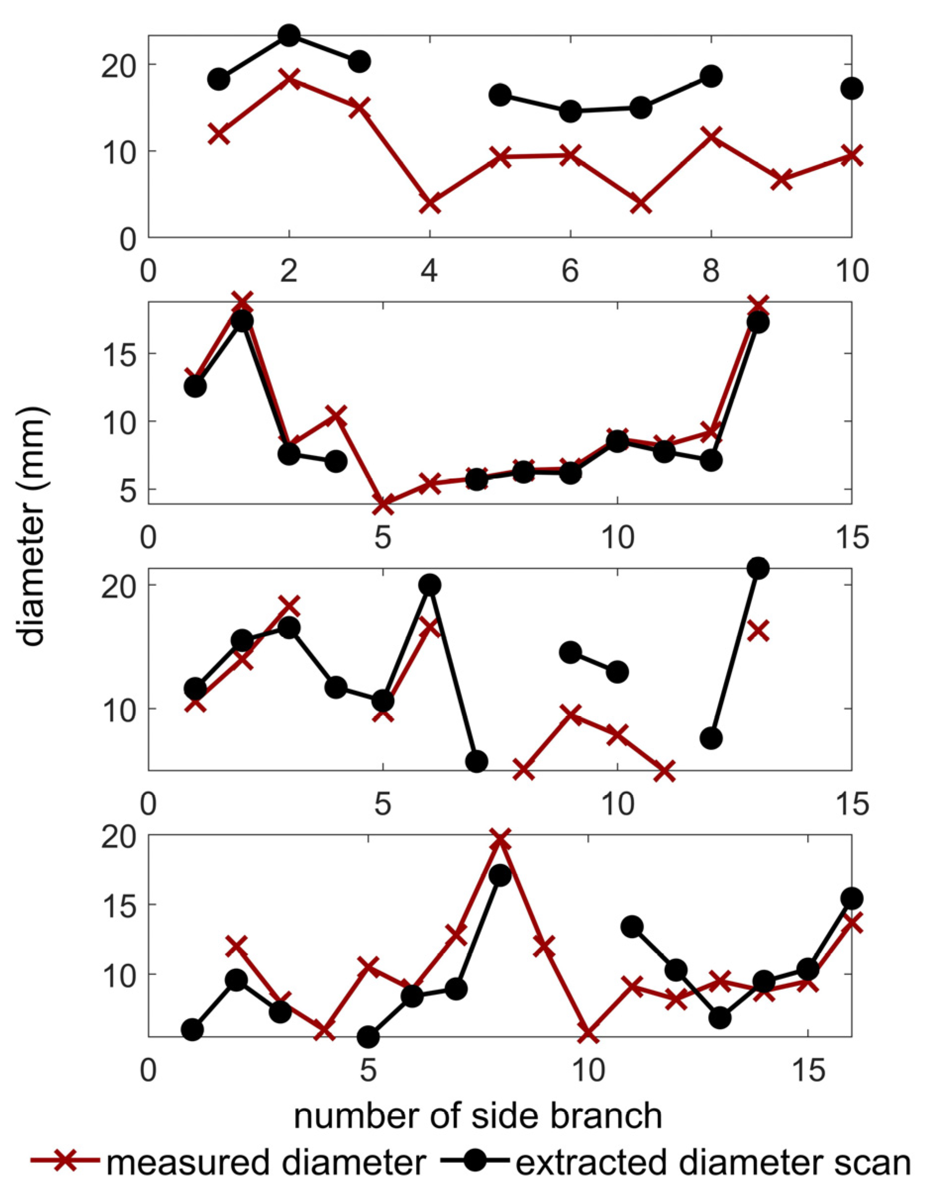
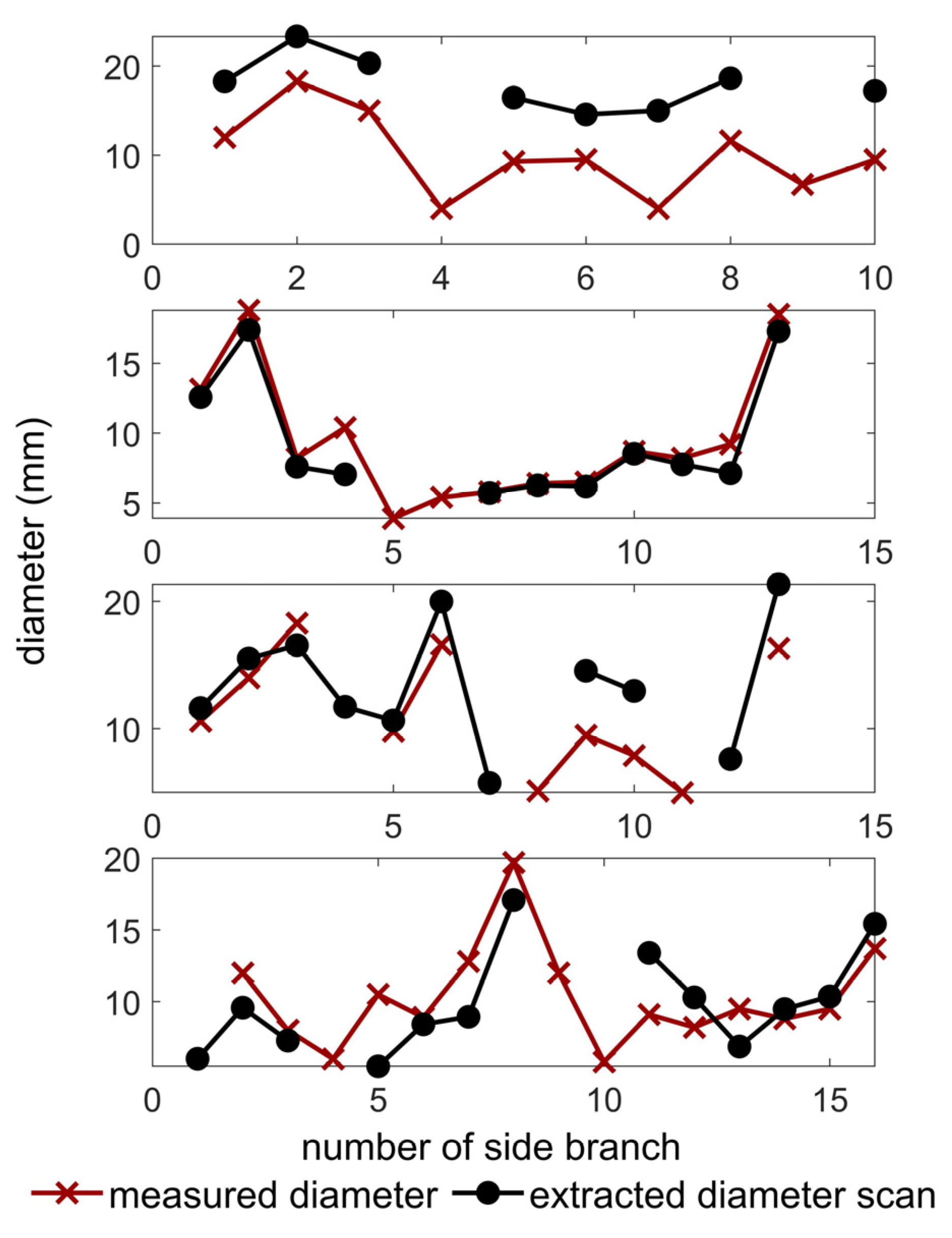
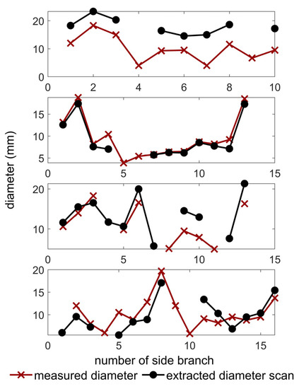
3.1. Experiment and Validation
3.2. Branch Deflection for Different Loading Scenarios
3.3. Bending Moments for Different Loading Scenarios
4. Conclusions
Supplementary Materials
Author Contributions
Funding
Data Availability Statement
Conflicts of Interest
References
- van Haaften, M.; Liu, Y.; Wang, Y.; Zhang, Y.; Gardebroek, C.; Heijman, W.; Meuwissen, M. Understanding tree failure—A systematic review and meta-analysis. PLoS ONE 2021, 16, e0246805. [Google Scholar] [CrossRef]
- Seidel, D.; Ehbrecht, M.; Dorji, Y.; Jambay, J.; Ammer, C.; Annighöfer, P. Identifying architectural characteristics that determine tree structural complexity. Trees 2019, 33, 911–919. [Google Scholar] [CrossRef]
- Seidel, D.; Annighöfer, P.; Stiers, M.; Zemp, C.D.; Burkardt, K.; Ehbrecht, M.; Willim, K.; Kreft, H.; Hölscher, D.; Ammer, C. How a measure of tree structural complexity relates to architectural benefit-to-cost ratio, light availability, and growth of trees. Ecol. Evol. 2019, 9, 7134–7142. [Google Scholar] [CrossRef] [PubMed]
- Thibaut, B.; Gril, J.; Fournier, M. Mechanics of wood and trees: Some new highlights for an old story. Comptes Rendus De L’academie Sci.-Ser. IIb Mec. 2001, 329, 701–716. [Google Scholar] [CrossRef]
- Gardiner, B.A.; Achim, A.; Nicoll, B.; Ruel, J.C. Understanding the interactions between wind and trees: An introduction to the IUFRO 8th Wind and Trees Conference (2017). Int. J. For. Res. 2019, 92, 375–380. [Google Scholar] [CrossRef]
- Peltola, H.M. Mechanical stability of trees under static loads. Am. J. Bot. 2006, 93, 1501–1511. [Google Scholar] [CrossRef]
- Detter, A.; Rust, S.; Krišāns, O. Experimental test of non-destructive methods to assess the anchorage of trees. Forests 2023, 14, 533. [Google Scholar] [CrossRef]
- Sani, L.; Lisci, R.; Moschi, M.; Sarri, D.; Rimediotti, M.; Vieri, M.; Tofanelli, S. Preliminary experiments and verification of controlled pulling tests for tree stability assessments in Mediterranean urban areas. Biosyst. Eng. 2012, 112, 218–226. [Google Scholar] [CrossRef]
- Dahle, G.A.; James, K.R.; Kane, B.; Grabosky, J.C.; Detter, A. A review of factors that affect the static load-bearing capacity of urban trees. Arboric. Urban For. 2017, 43, 86–106. [Google Scholar] [CrossRef]
- Niklas, K.J.; Spatz, H.C. Worldwide correlations of mechanical properties and green wood density. Am. J. Bot. 2010, 97, 1587–1594. [Google Scholar] [CrossRef]
- Koizumi, A.; Hirai, T. Evaluation of the section modulus for tree-stem cross sections of irregular shape. J. Wood Sci. 2006, 52, 213–219. [Google Scholar] [CrossRef]
- Kim, Y.; Rahardjo, H.; Tsen-Tieng, D.L. Mechanical behavior of trees with structural defects under lateral load: A numerical modeling approach. Urban For. Urban Green 2021, 59, 126987. [Google Scholar] [CrossRef]
- Vojáčková, B.; Tippner, J.; Horáček, P.; Sebera, V.; Praus, L.; Mařík, R.; Brabec, M. The effect of stem and root-plate defects on the tree response during static loading—Numerical analysis. Urban For. Urban Green 2021, 59, 127002. [Google Scholar] [CrossRef]
- Dargahi, M.; Newson, T.; Moore, J.R. A numerical approach to estimate natural frequency of trees with variable properties. Forests 2020, 11, 915. [Google Scholar] [CrossRef]
- Sellier, D.; Fourcaud, T. Crown structure and wood properties: Influence on tree sway and response to high winds. Am. J. Bot. 2009, 96, 885–896. [Google Scholar] [CrossRef]
- Fan, G.; Nan, L.; Dong, Y.; Su, X.; Chen, F. AdQSM: A new method for estimating above-ground biomass from TLS point clouds. Remote. Sens. 2020, 12, 3089. [Google Scholar] [CrossRef]
- Raumonen, P.; Kaasalainen, M.; Markku, Å.; Kaasalainen, S.; Kaartinen, H.; Vastaranta, M.; Holopainen, M.; Disney, M.; Lewis, P. Fast automatic precision tree models from terrestrial laser scanner data. Remote. Sens. 2013, 5, 491–520. [Google Scholar] [CrossRef]
- Bucksch, A.; Lindenbergh, R.; Menenti, M. Robust skeleton extraction from imperfect point clouds. Vis. Comput. 2010, 26, 1283–1300. [Google Scholar] [CrossRef]
- Terryn, L.; Calders, K.; Disney, M.; Origo, N.; Malhi, Y.; Newnham, G.; Raumonen, P.; Åkerblom, M.; Verbeeck, H. Tree species classification using structural features derived from terrestrial laser scanning. ISPRS J. Photogramm. Remote. Sens. 2020, 168, 170–181. [Google Scholar] [CrossRef]
- Jackson, T.; Shenkin, A.; Wellpott, A.; Calders, K.; Origo, N.; Disney, M.; Burt, A.; Raumonen, P.; Gardiner, B.; Herold, M.; et al. Finite element analysis of trees in the wind based on terrestrial laser scanning data. Agric. For. Meteorol. 2019, 265, 137–144. [Google Scholar] [CrossRef]
- Yang, M.; Défossez, P.; Dupont, S. A root-to-foliage tree dynamic model for gusty winds during windstorm conditions. Agric. For. Meteorol. 2020, 287, 107949. [Google Scholar] [CrossRef]
- Dellwik, E.; van der Laan, M.P.; Angelou, N.; Mann, J.; Sogachev, A. Observed and modeled near-wake flow behind a solitary tree. Agric. For. Meteorol. 2019, 265, 78–87. [Google Scholar] [CrossRef]
- Chan, W.L.; Eng, Y.; Ge, Z.; Lim, C.W.C.; Gobeawan, L.; Poh, H.J.; Wise, D.J.; Burcham, D.C.; Lee, D.; Cui, Y.; et al. Wind loading on scaled down fractal tree models of major urban tree species in Singapore. Forests 2020, 11, 803. [Google Scholar] [CrossRef]
- Gobeawan, L.; Wise, D.J.; Yee, A.T.K.; Wong, S.T.; Lim, C.W.; Lin, E.S.; Su, Y. Convenient Tree Species Modeling for Virtual Cities. In Lecture Notes in Computer Science; Springer: Cham, Switzerland, 2019; Volume 11542, pp. 304–315. [Google Scholar] [CrossRef]
- Angelou, N.; Dellwik, E.; Mann, J. Wind load estimation on an open-grown European oak tree. For. Int. J. For. Res. 2019, 92, 381–392. [Google Scholar] [CrossRef]
- Vojáčková, B.; Tippner, J.; Dlouhá, J. Force Distribution Along Tree Branch–Static Analysis. In Proceedings of the World Congress in Computational Mechanics and ECCOMAS2020, Online, 11–15 January 2021; p. 900. [Google Scholar] [CrossRef]
- Sellier, D.; Fourcaud, T.; Lac, P. A finite element model for investigating effects of aerial architecture on tree oscillations. Tree Physiol. 2006, 26, 799–806. [Google Scholar] [CrossRef]
- Tsugawa, S.; Teratsuji, K.; Okura, F.; Noshita, K.; Tateno, M.; Zhang, J.; Demura, T. Exploring the mechanical and morphological rationality of tree branch structure based on 3D point cloud analysis and the finite element method. Sci. Rep. 2022, 12, 4054. [Google Scholar] [CrossRef]
- Pistellato, M.; Bergamasco, F.; Albarelli, A.; Torsello, A. Robust Cylinder Estimation in Point Clouds from Pairwise Axes Similarities. In Proceedings of the 8th International Conference on Pattern Recognition Applications and Methods, Prague, Czech Republic, 19–21 February 2019; SciTePress: Setúbal, Portugal, 2019; pp. 640–647, ISBN 978-989-758-351-3, ISSN 2184-4313. [Google Scholar] [CrossRef]
- Middleton, W.; Erdal, H.I.; Detter, A.; D’Acunto, P.; Ludwig, F. Comparing structural models of linear elastic responses to bending in inosculated joints. Trees 2023. [Google Scholar] [CrossRef]
- Kazhdan, M.; Matthew, B.; Hoppe, H.; Soatto, S. Robust Poisson Surface Reconstruction. In Proceedings of the Eurographics Symposium on Geometry Processing, Cagliari Sardinia, Italy, 26–28 June 2006; The Eurographics Association: Eindhoven, The Netherlands, 2006; p. 10. [Google Scholar]
- Tippner, J.; Vojáčková, B.; Zlámal, J.; Kolařík, J.; Paulic, V.; Group, F. The role of geometry precision in frequency-resonance method for non-destructive wood assessment–Numerical case study on sugar maple. Wood Mater. Sci. Eng. 2022, 1–9. [Google Scholar] [CrossRef]
- Kazhdan, M.; Hoppe, H. Screened Poisson surface reconstruction. ACM Trans. Graph. 2013, 32, 1–13. [Google Scholar] [CrossRef]
- Divós, F.; Tanaka, T. Relation between static and dynamic modulus of elasticity of wood. Acta Silv. Lign. Hung 2005, 1, 105–110. [Google Scholar]
- Bučar, D.G.; Bučar, B. Strength grading of structural timber using the single mode transverse damped vibration method. Wood Res. 2011, 56, 67–76. [Google Scholar]
- Chauhan, S.; Sethy, A. Differences in dynamic modulus of elasticity determined by three vibration methods and their relationship with static modulus of elasticity. Maderas Cienc. Tecnol. 2016, 18, 373–382. [Google Scholar] [CrossRef]
- Madhoushi, M.; Boskabadi, Z. Relationship between the dynamic and static modulus of elasticity in standing trees and sawn lumbers of Paulownia fortune planted in Iran. Maderas Cienc. Tecnol. 2019, 21, 35–44. [Google Scholar] [CrossRef]
- Niklas, K.J.; Spatz, H.C.H. Plant Physics; University of Chicago Press: Chicago, IL, USA, 2012; p. 425. ISBN 10:0-226-58632-4. [Google Scholar]
- Hu, M.; Pitkänen, T.P.; Minunno, F.; Tian, X.; Lehtonen, A.; Mäkelä, A. A new method to estimate branch biomass from terrestrial laser scanning data by bridging tree structure models. Ann. Bot. 2021, XX, 1–15. [Google Scholar] [CrossRef] [PubMed]
- Kidombo, S.D.; Dean, T.J. Growth of tree diameter and stem taper as affected by reduced leaf area on selected branch whorls. Can. J. For. Res. 2018, 48, 317–323. [Google Scholar] [CrossRef]
- Karlik, J.F.; Winer, A.M. Comparison of calculated and measured leaf masses of urban trees. Ecol. Appl. 1999, 9, 1168–1176. [Google Scholar] [CrossRef]
- Nowak, D.J. Estimating leaf area and leaf biomass of open-grown deciduous urban trees. For. Sci. 1996, 42, 504–507. [Google Scholar]
- Sun, J.; Wang, M.; Lyu, M.; Niklas, K.J.; Zhong, Q.; Li, M.; Cheng, D. Stem diameter (and not length) limits twig leaf biomass. Front. Plant Sci. 2019, 10, 185. [Google Scholar] [CrossRef]
- Gross, P.D.; Hauger, W.; Schröder, J.; Wall, A.W.; Bonet, J. Engineering Mechanics 2: Mechanics of Materials; Springer: Berlin/Heidelberg, Germany, 2011; ISBN 9783642128851. [Google Scholar]
- Larjavaara, M.; Muller-Landau, H.C. Rethinking the value of high wood density. Funct. Ecol. 2010, 24, 701–705. [Google Scholar] [CrossRef]
- Ross, R.J. Wood Handbook; U.S. Department of Agriculture, Forest Service, Forest Products Laboratory: Madison, WI, USA, 2021; 543p.
- Aydin, Y.T.; Ozveren, A. Effects of moisture content on elastic constants of fir wood. Eur. J. Wood Wood Prod. 2019, 77, 63–70. [Google Scholar] [CrossRef]
- Schreier, H.; Orteu, J.-J.; Sutton, M.A. Image Correlation for Shape, Motion and Deformation Measurements; Springer: Boston, MA, USA, 2009; ISBN 978-0-387-78746-6. [Google Scholar]
- Dahle, G.A.; Grabosky, J.C. Variation in modulus of elasticity (E) along Acer platanoides L. (Aceraceae) branches. Urban For. Urban Green 2010, 9, 227–233. [Google Scholar] [CrossRef]
- Jungnikl, K.; Goebbels, J.; Burgert, I.; Fratzl, P. The role of material properties for the mechanical adaptation at branch junctions. Trees 2009, 23, 605–610. [Google Scholar] [CrossRef]
- Vojáčková, B.B.; Tippner, J.; Horáček, P.; Praus, L.; Sebera, V.; Brabec, M. Numerical analysis of branch mechanical response to loading. Arboric. Urban For. 2019, 45, 120–131. [Google Scholar] [CrossRef]
- EN 1991-1-4; Eurocode 1: Actions on Structures—Part 1–4: General Actions-Wind Actions. European Committee For Standardization: Brussels, Belgium, 2010.
- Szoradova, A.; Praus, L.; Kolarik, J. Evaluation of the root system resistance against failure of urban trees using principal component analysis. Biosyst. Eng. 2013, 115, 244–249. [Google Scholar] [CrossRef]
- Krišāns, O.; Čakša, L.; Matisons, R.; Rust, S.; Elferts, D.; Seipulis, A.; Jansons, Ā. A static pulling test is a suitable method for comparison of the loading resistance of silver birch (Betula pendula Roth.) between urban and peri-urban forests. Forests 2022, 13, 127. [Google Scholar] [CrossRef]
- Tziaferidis, S.R.; Spyroglou, G.; Fotelli, M.N.; Radoglou, K. Allometric models for the estimation of foliage area and biomass from stem metrics in black locust. IForest 2022, 15, 281–288. [Google Scholar] [CrossRef]
- Spyroglou, G.; Zianis, D.; Radoglou, K. Leaf area and foliar weight to sapwood cross sectional area models for Quercus frainetto (Ten.) in Greece. Silva Balc. 2021, 1, 5–20. [Google Scholar] [CrossRef]












| Branch No. | Species | α | lg | la | dv1 | dh1 | m | Fv | Fh | ELd/SD | ρ |
|---|---|---|---|---|---|---|---|---|---|---|---|
| (°) | (m) | (m) | (mm) | (mm) | (kg) | (N) | (N) | (MPa) | (kg/m3) | ||
| 1 | Birch | 45 | 1.56 | 2.90 | 36.6 | 37.6 | 3.95 | 19 | 19.6 | 4819/46 | 916 |
| 2 | Birch | 57 | 1.71 | 3.62 | 40.4 | 41.1 | 5.20 | 47 | 49 | 8008/27 | 840 |
| 3 | Horse Chestnut | 49 | 1.35 | 2.68 | 35.2 | 37 | 2.65 | 33.5 | 33.5 | 4985/569 | 846 |
| 4 | Horse Chestnut | 79 | 1.43 | 2.73 | 43 | 40.5 | 3.23 | 48.5 | 48.5 | 4658/812 | 890 |
| ELb = EX | ELs = EZ | EY | EX | GXY | GYZ | GXZ | NUXY | NUYZ | NUXZ | |
|---|---|---|---|---|---|---|---|---|---|---|
| Birch | ELd×0.9 | ELd×0.6 | 0.05 | 0.078 | 0.017 | 0.068 | 0.074 | 0.426 | 0.024 | 0.043 |
| Horse Chestnut | ELd×0.9 | ELd×0.6 | 0.027 | 0.066 | 0.02 | 0.046 | 0.056 | 0.346 | 0.022 | 0.034 |
| Scenario No. | Beam | Scan | Description |
|---|---|---|---|
| 1 | EP area | EP area | Load applied to top nodes of side branches, distributed according to area. |
| 2 | single-point | single-point | Load applied to the center of gravity. |
| 3 | EP diameter | EP diameter | Load applied to top nodes of side branches, distributed according to diameter. |
| 4 | EP mass | EP mass | Load applied to top nodes of side branches, distributed according to mass. |
| 5 | KP area | EP diametersc | Beam model: load applied to all KPs, distributed according to area of structural branch and areas of pruned parts. Scan-based solid model: load applied to top of side branches, distributed according to diameters extracted from FEM. |
| 6 | ACEL | ACEL | Load applied to whole object, distributed by the elements’ mass. |
| 7 | ACEL and EP diameter | ACEL and EP diameter | Load applied to whole object and to the top nodes of side branches. |
Disclaimer/Publisher’s Note: The statements, opinions and data contained in all publications are solely those of the individual author(s) and contributor(s) and not of MDPI and/or the editor(s). MDPI and/or the editor(s) disclaim responsibility for any injury to people or property resulting from any ideas, methods, instructions or products referred to in the content. |
© 2023 by the authors. Licensee MDPI, Basel, Switzerland. This article is an open access article distributed under the terms and conditions of the Creative Commons Attribution (CC BY) license (https://creativecommons.org/licenses/by/4.0/).
Share and Cite
Vojáčková, B.; Tippner, J.; Mařík, R.; Vand, M.H.; Constant, T.; Dlouhá, J. Effect of Geometry Precision and Load Distribution on Branch Mechanical Response. Forests 2023, 14, 930. https://doi.org/10.3390/f14050930
Vojáčková B, Tippner J, Mařík R, Vand MH, Constant T, Dlouhá J. Effect of Geometry Precision and Load Distribution on Branch Mechanical Response. Forests. 2023; 14(5):930. https://doi.org/10.3390/f14050930
Chicago/Turabian StyleVojáčková, Barbora, Jan Tippner, Robert Mařík, Mojtaba Hassan Vand, Thiéry Constant, and Jana Dlouhá. 2023. "Effect of Geometry Precision and Load Distribution on Branch Mechanical Response" Forests 14, no. 5: 930. https://doi.org/10.3390/f14050930
APA StyleVojáčková, B., Tippner, J., Mařík, R., Vand, M. H., Constant, T., & Dlouhá, J. (2023). Effect of Geometry Precision and Load Distribution on Branch Mechanical Response. Forests, 14(5), 930. https://doi.org/10.3390/f14050930

