The Effect of the Tree Dieback Process on the Mechanical Properties of Pine (Pinus sylvestris L.) Wood
Abstract
1. Introduction
2. Materials and Methods
- -
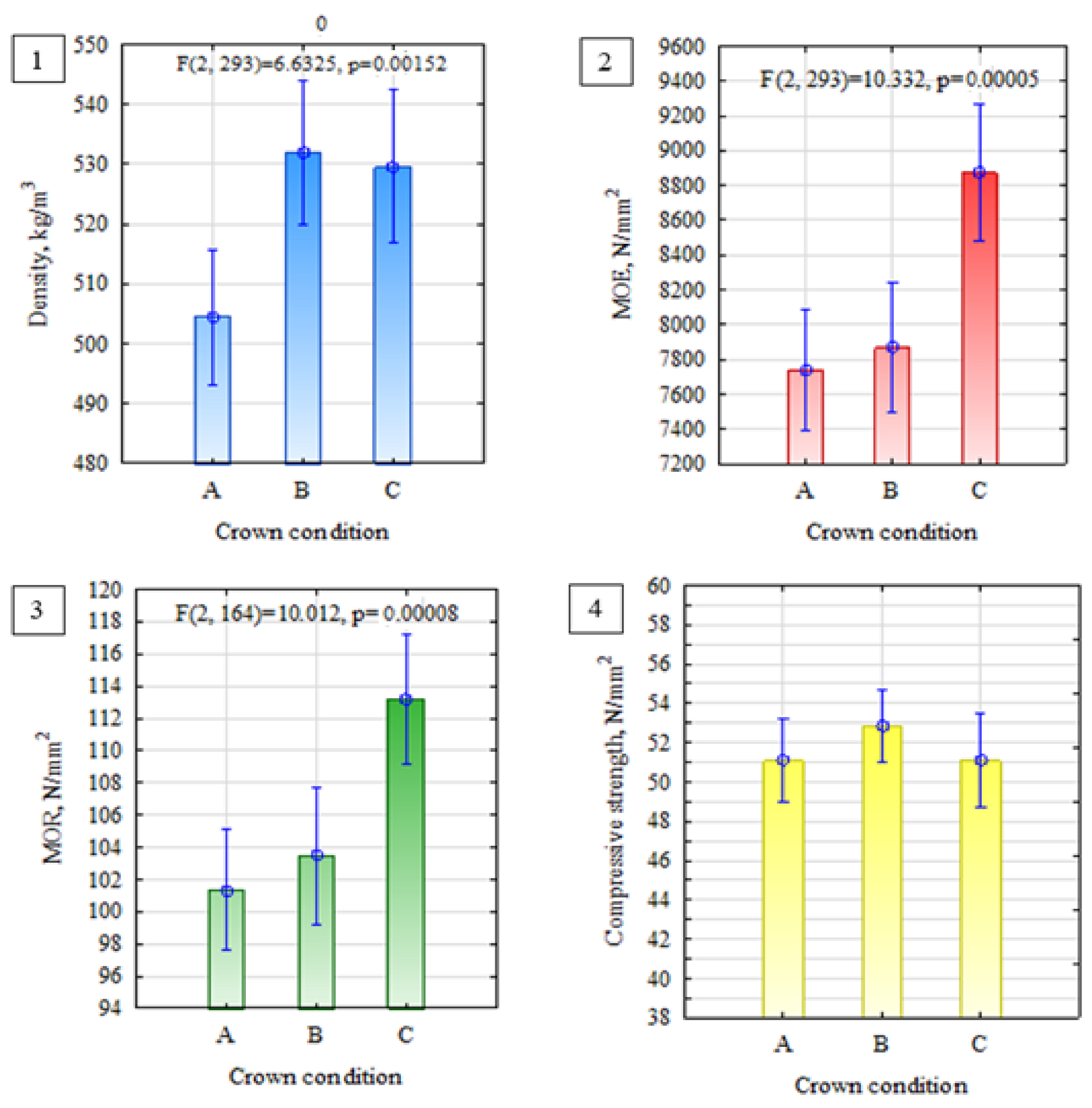
- Group A—trees with a green crown, no discoloration, healthy, without visible reduction in needles;
- -
- Group B—trees weakened, partially discolored crowns with a notable reduction in needles up to 40%;
- -
- Group C—trees weakened, partially discolored or completely discolored crowns with a notable reduction in needles from 30% to 50%.
3. Results and Discussion
4. Conclusions
Author Contributions
Funding
Data Availability Statement
Conflicts of Interest
References
- Kartawik, N.; Behnke-Borowczyk, J. Fungal Communities in Pine Deadwood. Environ. Sci. Proc. 2022, 22, 41. [Google Scholar]
- Jaworski, A. Charakterystyka Hodowlana Drzew i Krzewów Leśnych; PWRiL: Warszawa, Poland, 2011. [Google Scholar]
- Białobok, S.; Boratyński, A.; Bugała, W. Biologia Sosny Zwyczajnej; Sorus: Kharkov, Ukraine, 1993; ISBN 83-85599-21-5. [Google Scholar]
- Rigling, A.; Bigler, C.; Eilmann, B.; Feldmeyer-Christe, E.; Gimmi, U.; Ginzler, C.; Graf, U.; Mayer, P.; Vacchiano, G.; Weber, P.; et al. Driving factors of a vegetation shift from Scots pine to pubescent oak in dry Alpine forests. Glob. Chang. Biol. 2013, 19, 229–240. [Google Scholar] [CrossRef]
- Camarero, J.J.; Gazol, A.; Sancho-Benages, S.; Sangüesa-Barreda, G. Know your limits? Climate extremes impact the range of Scots pine in unexpected places. Ann. Bot. 2015, 116, 917–927. [Google Scholar] [CrossRef] [PubMed]
- Buras, A.; Schunk, C.; Zeiträg, C.; Herrmann, C.; Kaiser, L.; Lemme, H.; Straub, C.; Taeger, S.; Gößwein, S.; Klemmt, H.-J. Are Scots Pine Forest Edges Particularly Prone to Drought-Induced Mortality? Environ. Res. Lett. 2018, 13, 025001. [Google Scholar] [CrossRef]
- Bose, A.K.; Gessler, A.; Bolte, A.; Bottero, A.; Buras, A.; Cailleret, M.; Camarero, J.J.; Haeni, M.; Hereş, A.; Hevia, A.; et al. Growth and resilience responses of Scots pine to extreme droughts across Europe depend on predrought growth conditions. Glob. Chang. Biol. 2020, 26, 4521–4537. [Google Scholar] [CrossRef] [PubMed]
- Grabska, E.; Hawryło, P.; Socha, J. Continuous Detection of Small-Scale Changes in Scots Pine Dominated Stands Using Dense Sentinel-2 Time Series. Remote Sens. 2020, 12, 1298. [Google Scholar] [CrossRef]
- Kunert, N. Preliminary indications for diverging heat and drought sensitivities in Norway spruce and Scots pine in Central Europe. iForest Biogeosci. For. 2020, 13, 89–91. [Google Scholar] [CrossRef]
- Valeriano, C.; Gazol, A.; Colangelo, M.; Camarero, J.J. Drought Drives Growth and Mortality Rates in Three Pine Species under Mediterranean Conditions. Forests 2021, 12, 1700. [Google Scholar] [CrossRef]
- Nechita, C.; Iordache, A.M.; Costinel, D.; Botoran, O.R.; Dănilă, G.; Ionete, R.E.; Varlam, M. A Tree Ring Proxy Evaluation of Declining Causes in Pinus sylvestris L. and Pinus Nigra JF Arnold in Northeastern Romania. Forests 2022, 13, 336. [Google Scholar] [CrossRef]
- Ski, O. Poradnik Ochrony Lasu; Wydawnictwo Świat: Warszawa, Poland, 2001. [Google Scholar]
- Vandekerkhove, K.; De Keersmaeker, L.; Menke, N.; Meyer, P.; Verschelde, P. When nature takes over from man: Dead wood accumulation in previously managed oak and beech woodlands in North-western and Central Europe. For. Ecol. Manag. 2009, 258, 425–435. [Google Scholar] [CrossRef]
- Byrne, T.; Stonestreet, C.; Peter, B. Characteristics and Utilization of Post-Mountain Pine Beetle Wood in Solid Wood Products. In The Mountain Pine Beetle: A Synthesis of Biology, Management and Impacts on Lodgepole Pine; Canadian Forest Service: Ottawa, ON, Canada, 2006; pp. 233–253. [Google Scholar]
- Kawalerczyk, J.; Kuliński, M.; Dziurka, D.; Mirski, R. The possibility to use a side-timber in glulam beams manufacturing for structural applications. In Annals of Warsaw University of Life Sciences-SGGW. Forestry and Wood Technology; Warsaw University of Life Sciences Press: Warsaw, Poland, 2021. [Google Scholar]
- Barron, E.H. Deterioration of Southern Pine Beetle-Killed Trees. For. Prod. J. 1971, 1971, 57–59. [Google Scholar]
- Woo, K.L.; Watson, P.; Mansfield, S.D. The Effects of Mountain Pine Beetle Attack on Lodgepole Pine Wood Morphology and Chemistry: Implications for Wood and Fiber Quality. In Wood and Fiber Science; The Sheridan Press: Sheridan, WY, USA, 2005; pp. 112–126. [Google Scholar]
- Bekhta, P.; Kozak, R.; Gryc, V.; Sebera, V.; Tippner, J. Effects of Wood Particles from Deadwood on the Properties and Formaldehyde Emission of Particleboards. Polymers 2022, 14, 3535. [Google Scholar] [CrossRef] [PubMed]
- Domański, S. Badania Nad Przyczynami Powstawania Posuszu w Starszych Drzewostanach Sosnowych w Wielkopolskim Parku Narodowym w Ludikowie; Państwowe Wydawnictwo Rolnicze i Leśne: Warsaw, Poland, 1953. [Google Scholar]
- Behnke-Borowczyk, J.; Wołowska, D. The identification of fungal species in dead wood of oak. Acta Sci. Pol. Silvarum Colendarum Ratio Ind. Lignaria 2018, 17, 17–23. [Google Scholar] [CrossRef]
- Kowalski, T.; Sowa, J.; Łakomy, P. Mycobiota in Trunks of Dying Spruce Trees in the “Puszcza Białowieska” Promotional Forest Complex and Its Ecological Function. Sylwan 2019, 163, 496–507. [Google Scholar]
- Mazur, A.; Przybysz, K.; Kuźmiński, R.; Adamowicz, K.; Jaszczak, R.; Łakomy, P.; Kwaśna, H.; Szewczyk, W.; Turski, M.; Zientarski, J. Sukcesja Owadów Podkorowych w Sztucznie Inicjowanym Procesie Zamierania Sosny. Acta Sci. Pol. Silvarum Colendarum Ratio Ind. Lignaria 2015, 14, 241–259. [Google Scholar] [CrossRef]
- Holeksa, J.; Kapusta, P.; Budziakowska-Kubik, E.; Izworska, K.; Kurek, P.; Piechnik, Ł.; Szarek-Łukaszewska, G.; Zielonka, T.; Żywiec, M. Stan Martwego Drewna Na Terenie Puszczy Niepołomickiej Jako Wynik Długotrwałego Użytkowania Lasu i Krótkotrwałej Ochrony w Ramach Sieci Natura 2000. Fragm. Florist. Geobot. Pol. 2020, 27, 119–139. [Google Scholar] [CrossRef]
- Kuzminski, R.; Lakomy, P.; Mazur, A. Zamieranie Dębów-Historia, Przyczyny i Objawy. Zarz. Ochr. Przyr. Lasach 2007, 1, 194–208. [Google Scholar]
- Tomczak, A.; Jelonek, T. Parametry Techniczne Młodocianego i Dojrzałego Drewna Sosny Zwyczajnej (Pinus sylvestris L.). Sylwan 2012, 156, 695–702. [Google Scholar]
- EN 408; Timber Structures—Structural Timber and Glued Laminated Timber—Determination of Some Physical and Mechanical Properties. European Committee for Standardization: Brussels, Belgium, 2012.
- PN-D-04102; Wood. Determination of Compressive Strength Along Fibers. Polski Komitet Normalizacyjny: Warszawa, Poland, 1979.
- PN-D-04101; Wood. Determination of Density. Polski Komitet Normalizacyjny: Warszawa, Poland, 1977.
- Oberle, B.; Dunham, K.; Milo, A.M.; Walton, M.; Young, D.F.; Zanne, A.E. Progressive, idiosyncratic changes in wood hardness during decay: Implications for dead wood inventory and cycling. For. Ecol. Manag. 2014, 323, 1–9. [Google Scholar] [CrossRef]
- Jelonek, T.; Klimek, K.; Kopaczyk, J.; Wieruszewski, M.; Arasimowicz-Jelonek, M.; Tomczak, A.; Grzywiński, W. Influence of the Tree Decay Duration on Mechanical Stability of Norway Spruce Wood (Picea Abies (L.) Karst.). Forests 2020, 11, 980. [Google Scholar] [CrossRef]
- Přívětivý, T.; Adam, D.; Vrška, T. Decay dynamics of Abies alba and Picea abies deadwood in relation to environmental conditions. For. Ecol. Manag. 2018, 427, 250–259. [Google Scholar] [CrossRef]
- Petrillo, M.; Cherubini, P.; Fravolini, G.; Marchetti, M.; Ascher-Jenull, J.; Schärer, M.; Synal, H.-A.; Bertoldi, D.; Camin, F.; Larcher, R.; et al. Time since death and decay rate constants of Norway spruce and European larch deadwood in subalpine forests determined using dendrochronology and radiocarbon dating. Biogeosciences 2016, 13, 1537–1552. [Google Scholar] [CrossRef]



| Habitat | Share of Pine | Age | Abundance | Average Height | Average Diameter |
|---|---|---|---|---|---|
| Fresh, mixed coniferous forest | 100% | 45 years | 334 m3/ha | 20 m | 19 cm |
Disclaimer/Publisher’s Note: The statements, opinions and data contained in all publications are solely those of the individual author(s) and contributor(s) and not of MDPI and/or the editor(s). MDPI and/or the editor(s) disclaim responsibility for any injury to people or property resulting from any ideas, methods, instructions or products referred to in the content. |
© 2023 by the authors. Licensee MDPI, Basel, Switzerland. This article is an open access article distributed under the terms and conditions of the Creative Commons Attribution (CC BY) license (https://creativecommons.org/licenses/by/4.0/).
Share and Cite
Malinowski, Z.; Kawalerczyk, J.; Walkiewicz, J.; Dziurka, D.; Mirski, R. The Effect of the Tree Dieback Process on the Mechanical Properties of Pine (Pinus sylvestris L.) Wood. Forests 2023, 14, 274. https://doi.org/10.3390/f14020274
Malinowski Z, Kawalerczyk J, Walkiewicz J, Dziurka D, Mirski R. The Effect of the Tree Dieback Process on the Mechanical Properties of Pine (Pinus sylvestris L.) Wood. Forests. 2023; 14(2):274. https://doi.org/10.3390/f14020274
Chicago/Turabian StyleMalinowski, Zbigniew, Jakub Kawalerczyk, Joanna Walkiewicz, Dorota Dziurka, and Radosław Mirski. 2023. "The Effect of the Tree Dieback Process on the Mechanical Properties of Pine (Pinus sylvestris L.) Wood" Forests 14, no. 2: 274. https://doi.org/10.3390/f14020274
APA StyleMalinowski, Z., Kawalerczyk, J., Walkiewicz, J., Dziurka, D., & Mirski, R. (2023). The Effect of the Tree Dieback Process on the Mechanical Properties of Pine (Pinus sylvestris L.) Wood. Forests, 14(2), 274. https://doi.org/10.3390/f14020274

