Climate Strengthens the Positive Effects of Stand Structure on Understory Plant Diversity in Chinese Temperate Forests
Abstract
:1. Introduction
2. Material and Methods
2.1. Study Area and Data Collection
2.2. Climatic and Topography Variables
2.3. Characterization of Tree Diversity and Stand Structure
2.4. Statistical Analysis
3. Results
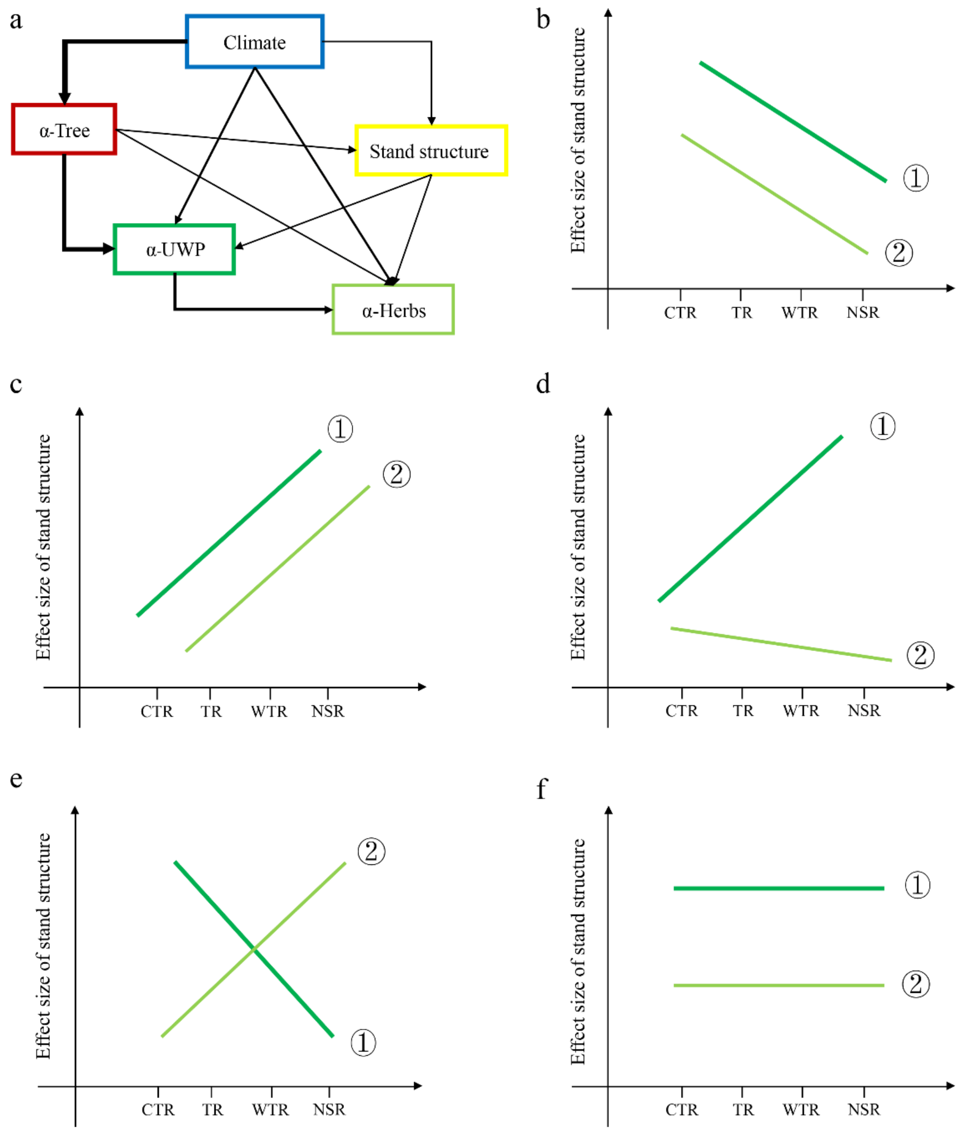
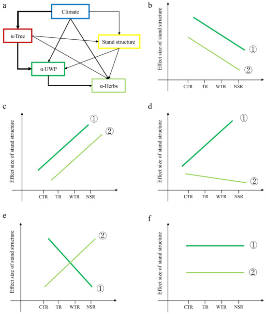
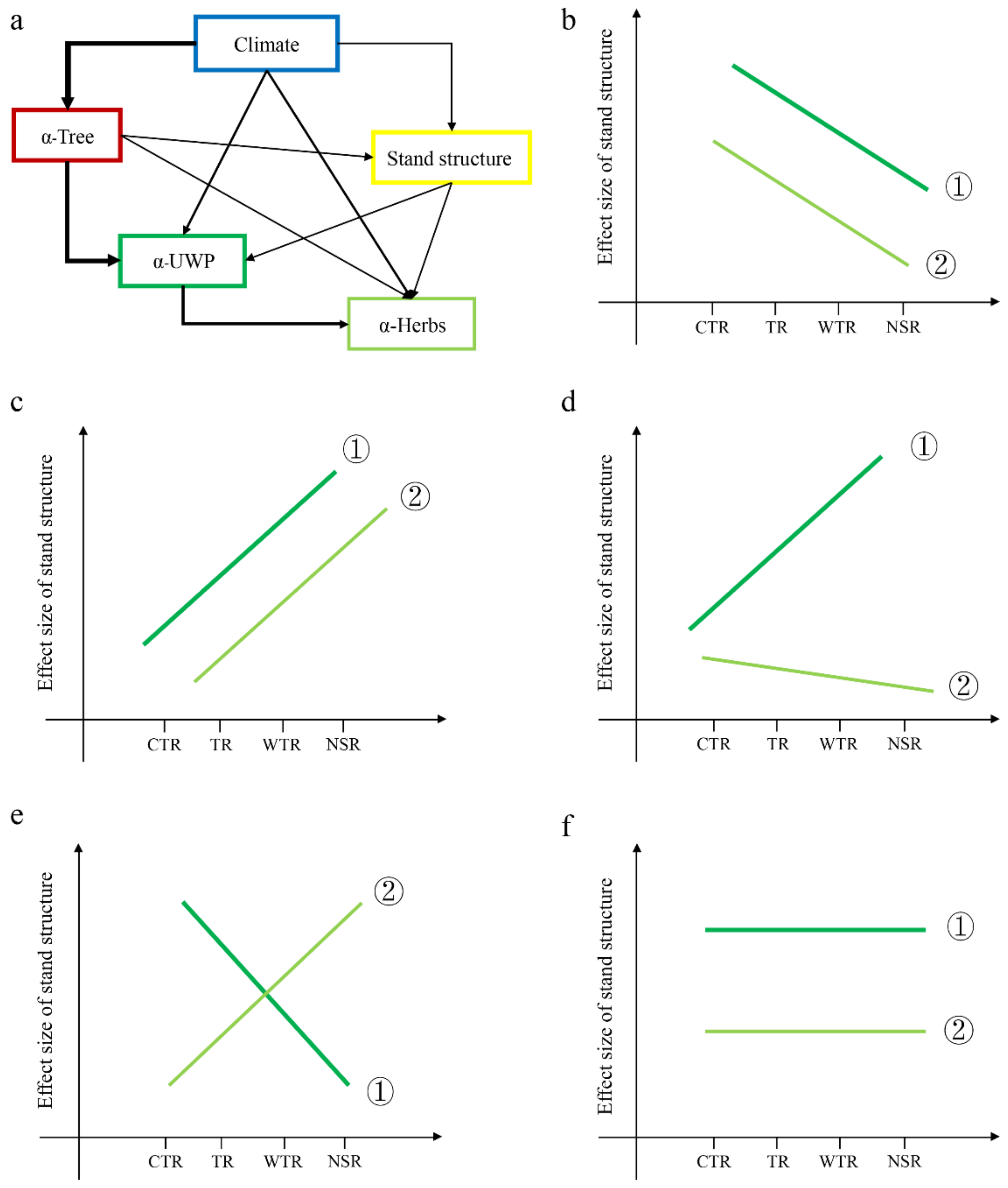
3.1. Direct and Indirect Effects of CLimate on Understory Plant Diversity
3.2. Difference in Indirect Impact of Climate on Understory Plant Diversity
4. Discussion
4.1. Effects of Climate, Topography, and Tree Diversity on Understory Plant Diversity
4.2. The Relative Role of Stand Structure in Understory Plant Diversity
4.3. Variation in the Effect Size of Stand Structure on Understory Plannt Diversity in Different Climate Zones
5. Conclusions and Management Implications
Supplementary Materials
Author Contributions
Funding
Data Availability Statement
Acknowledgments
Conflicts of Interest
References
- Brooks, T.M.; Mittermeier, R.A.; Da Fonseca, G.A.; Gerlach, J.; Hoffmann, M.; Lamoreux, J.F.; Mittermeier, C.G.; Pilgrim, J.D.; Rodrigues, A.S.L. Global biodiversity conservation priorities. Science 2006, 313, 58–61. [Google Scholar] [CrossRef] [PubMed]
- Dasmann, R.F. A Different Kind of Country; Cambridge University Press: Cambridge, UK, 1968. [Google Scholar]
- Bauhus, J.; Aubin, I.; Messier, C.; Connell, M. Composition, structure, light attenuation and nutrient content of the understorey vegetation in a Eucalyptus sieberi regrowth stand 6 years after thinning and fertilization. For. Ecol. Manag. 2001, 144, 275–286. [Google Scholar] [CrossRef]
- Krebs, M.A.; Reeves, M.C.; Baggett, L.S. Predicting understory vegetation structure in selected western forests of the United States using FIA inventory data. For. Ecol. Manag. 2019, 448, 509–527. [Google Scholar] [CrossRef]
- Halpern, C.B.; Spies, T.A. Plant-species diversity in natural and managed forests of the Pacific-Northwest. Ecol. Appl. 1995, 5, 913–934. [Google Scholar] [CrossRef]
- Echiverri, L.; Macdonald, S.E. Utilizing a topographic moisture index to characterize understory vegetation patterns in the boreal forest. For. Ecol. Manag. 2019, 447, 35–52. [Google Scholar] [CrossRef]
- Zhang, Y.; Chen, H.Y.H.; Taylor, A.R. Multiple drivers of plant diversity in forest ecosystems. Glob. Ecol. Biogeogr. 2014, 23, 885–893. [Google Scholar] [CrossRef]
- Wu, A.C.; Deng, X.W.; Ren, X.L.; Xiang, W.H.; Zhang, L.; Ge, R.; Niu, Z.G.; He, H.L.; He, L. Biogeographic patterns and influencing factors of the species diversity of tree layer community in typical forest ecosystems in China. Acta Ecol. Sin. 2018, 38, 7727–7738. [Google Scholar]
- Hart, S.A.; Chen, H.Y.H. Understory vegetation dynamics of North American boreal forests. Crit. Rev. Plant Sci. 2006, 25, 381–397. [Google Scholar] [CrossRef]
- Stéphane, B.; Frédéric, G.; Balandier, P. Influence of tree species on understory vegetation diversity and mechanisms involved—A critical review for temperate and boreal forests. For. Ecol. Manag. 2008, 254, 1–15. [Google Scholar]
- Wright, S.J.; Kitajima, K.; Kraft, N.J.B.; Reich, P.B.; Wright, I.J.; Bunker, D.E.; Condit, R.; Daling, J.W.; Davies, S.J.; Diaz, S.; et al. Functional traits and the growth–mortality trade-off in tropical trees. Ecology 2010, 91, 3664–3674. [Google Scholar] [CrossRef] [PubMed]
- Myers, J.A.; Chase, J.M.; Jiménez, I.; Jørgensen, P.M.; Araujo-Murakami, A.; Paniagua-Zambrana, N.; Seidel, R. Beta-diversity in temperate and tropical forests reflects dissimilar mechanisms of community assembly. Ecol. Lett. 2013, 16, 151–157. [Google Scholar] [CrossRef] [PubMed]
- Ehbrecht, M.; Seidel, D.; Annighöfer, P.; Kreft, H.; Köhler, M.; Zemp, D.C.; Puettmann, K.; Nilus, R.; Babweteera, F.; Willm, K.; et al. Global patterns and climatic controls of forest structural complexity. Nat. Commun. 2021, 12, 519. [Google Scholar] [CrossRef] [PubMed]
- Penone, C.; Allan, E.; Soliveres, S.; Felipe-Lucia, M.R.; Gossner, M.M.; Seibold, S.; Simons, N.K.; Schall, P.; van der Plas, F.; Manning, P.; et al. Specialisation and diversity of multiple trophic groups are promoted by different forest features. Ecol. Lett. 2019, 22, 170–180. [Google Scholar] [CrossRef] [PubMed]
- Su, X.P.; Li, S.J.; Wan, X.H.; Huang, Z.Q.L.B.; Fu, S.L.; Kumar, P.; Chen, H.Y.H. Understory vegetation dynamics of Chinese fir plantations and natural secondary forests in subtropical China. For. Ecol. Manag. 2021, 483, 118750. [Google Scholar] [CrossRef]
- Fibich, P.; Novotný, V.; Ediriweera, S.; Gunatilleke, S.; Gunatilleke, N.; Molem, K.; Weiblen, G.D.; Lepš, J. Common spatial patterns of trees in various tropical forests: Small trees are associated with increased diversity at small spatial scales. Ecol. Evol. 2021, 11, 8085–8095. [Google Scholar] [CrossRef] [PubMed]
- Gaston, K. Global patterns in biodiversity. Nature 2000, 405, 220–227. [Google Scholar] [CrossRef] [PubMed]
- Brown, J.H. Why are there so many species in the tropics? J. Biogeogr. 2014, 41, 8–22. [Google Scholar] [CrossRef]
- Ricklefs, R.E.; He, F. Region effects influence local tree species diversity. Proc. Natl. Acad. Sci. USA 2016, 113, 674–679. [Google Scholar] [CrossRef] [PubMed]
- Bell, F.W.; Lamb, E.G.; Sharma, M.; Hunt, S.; Anand, M.; Dacosta, J.; Newmaster, S.G. Relative influence of climate, soils, and disturbance on plant species richness in northern temperate and boreal forests. For. Ecol. Manag. 2016, 381, 93–105. [Google Scholar] [CrossRef]
- Chu, C.; Lutz, J.A.; Král, K.; Vrška, T.; Yin, X.; Myers, J.A.; Abiem, I.; Alonso, A.; Bourg, N.; Burslem, D.F.R.P.; et al. Direct and indirect effects of climate on richness drive the latitudinal diversity gradient in forest trees. Ecol. Lett. 2019, 22, 245–255. [Google Scholar] [CrossRef] [PubMed]
- Zhang, X.H.; Zhang, B.Q.; Yao, Y.H.; Liu, J.J.; Wang, J.; Yu, F.Q.; Li, J.Y. Variation model of north-south plant species diversity in the Qinling-Daba Mountains in China. Glob. Ecol. Conserv. 2022, 38, e02190. [Google Scholar] [CrossRef]
- Liu, H.Y.; Tang, Z.Y.; Fang, J.Y.; Ji, C.Y.; Zheng, C.Y.; Jiang, Y.; Gao, X.M. North China, Forest Community Survey Quadrat Information, Arbor Layer, Shrub Layer, and Herb Layer Data. National Earth System Science Data Center, National Science and Technology Infrastructure of China. Available online: http://www.geodata.cn/ (accessed on 21 January 2018).
- Liu, F.; Jiang, M.X.; Jiang, Q.H. South-to-North Water Diversion (Middle Line) Water Source Forest Community Survey Data. National Ecosystem Science Data Center, National Science and Technology Infrastructure of China. Available online: http://www.nesdc.org.cn (accessed on 31 August 2019).
- Wang, L.H.; Cao, W.; Fan, C.N.; Wang, Q.G.; Wang, W.J.; Yu, J.H. Northeast Plant and Habitat Database-A Dataset of Plant Community Types in Northeast Forest Reserves. National Ecosystem Science Data Center, National Science and Technology Infrastructure of China 2019. Available online: http://www.nesdc.org.cn (accessed on 5 September 2019).
- Zheng, J.; Yin, Y.; Li, B. A new scheme for climate regionalization in China. Acta Geogr. Sin. 2010, 65, 3–12. (In Chinese) [Google Scholar]
- Yu, Z.; Liu, S.; Wang, J.; Wei, X.; Schuler, J.; Sun, P.; Harper, R.; Zegre, N. Natural forests exhibit higher carbon sequestration and lower water consumption than planted forests in China. Glob. Chang. Biol. 2019, 25, 68–77. [Google Scholar] [CrossRef] [PubMed]
- Ehbrecht, M.; Schall, P.; Ammer, C.; Seidel, D. Quantifying stand structural complexity and its relationship with forest management, tree species diversity and microclimate. Agric. For. Meteorol. 2017, 242, 1–9. [Google Scholar] [CrossRef]
- Ratcliffe, S.; Wirth, C.; Jucker, T.; van der Plas, F.; Scherer-Lorenzen, M.; Verheyen, K.; Eric, A.; Raquel, B.; Helge, B.; Bettina, O.; et al. Biodiversity and ecosystem functioning relations in European forests depend on environmental context. Ecol. Lett. 2017, 20, 1414–1426. [Google Scholar] [CrossRef] [PubMed]
- Zhang, Y.; Liu, T.; Guo, J.; Tan, Z.; Dong, W.; Wang, H. Changes in the understory diversity of secondary Pinus tabulaeformis forests are the result of stand density and soil properties. Glob. Ecol. Conserv. 2021, 28, e01628. [Google Scholar] [CrossRef]
- Jiang, Z.Y.; Qin, Y.H.; Liu, J.; Wen, Z.; Zheng, H.; Ouyang, Z.Y. Effects of altitude and stand density on understory plant diversity in tropical rainforests. Chin. J. Ecol. 2023, 42, 1049–1055. (In Chinese) [Google Scholar]
- Dupouey, J.L.; Dambrine, E.; Laffite, J.D.; Moares, C. Irreversible impact of past land use on forest soils and biodiversity. Ecology 2002, 83, 2978–2984. [Google Scholar] [CrossRef]
- Liu, X.Q.; Su, Y.J.; Hu, T.Y.; Yang, Q.L.; Liu, B.B.; Deng, Y.F.; Tang, H.; Tan, Z.Y.; Fang, J.Y.; Guo, Q.H. Neural network guided interpolation for mapping canopy height of China’s forests by integrating GEDI and ICESat-2 data. Remote Sens. Environ. 2022, 269, 112844. [Google Scholar] [CrossRef]
- Kumar, P.; Chen, H.Y.H.; Thomas, S.C.; Shahi, C. Linking resource availability and heterogeneity to understorey species diversity through succession in boreal forest of Canada. J. Ecol. 2018, 106, 1266–1276. [Google Scholar] [CrossRef]
- Shipley, B. A new inferential test for path models based on directed acyclic graphs. Struct. Equ. Model. 2000, 7, 206–218. [Google Scholar] [CrossRef]
- Schielzeth, H. Simple means to improve the interpretability of regression coefficients. Methods Ecol. Evol. 2010, 1, 103–113. [Google Scholar] [CrossRef]
- Huang, M.J.; Liu, X.; Zhou, S.R. Asynchrony among species and functional groups and temporal stability under perturbations: Patterns and consequences. J. Ecol. 2020, 108, 2038–2046. [Google Scholar] [CrossRef]
- Tian, P.; Liu, S.G.; Zhao, X.C.; Sun, Z.L.; Yao, X.; Niu, S.L.W.; Crowther, T.; Wang, Q.K. Past climate conditions predict the influence of nitrogen enrichment on the temperature sensitivity of soil respiration. Commun. Earth Environ. 2021, 2, 251. [Google Scholar] [CrossRef]
- Garrido, M.; Hansen, S.K.; Yaari, R.; Hawlena, H. A model selection approach to structural equation modelling: A critical evaluation and a road map for ecologists. Methods Ecol. Evol. 2022, 13, 42–53. [Google Scholar] [CrossRef]
- Wang, H.; Ding, Y.; Zhang, Y.; Wang, J.; Freedman, Z.B.; Liu, P.; Cong, W.; Wang, J.; Zang, R.; Liu, S. Evenness of soil organic carbon chemical components changes with tree species richness, composition and functional diversity across forests in China. Glob. Change Biol. 2023, 29, 2852–2864. [Google Scholar] [CrossRef] [PubMed]
- Teets, A.; Fraver, S.; Weiskittel, A.R.; Hollinger, D.Y. Quantifying climate–growth relationships at the stand level in a mature mixed-species conifer forest. Glob. Change Biol. 2018, 24, 3587–3602. [Google Scholar] [CrossRef] [PubMed]
- Zhang, R.; Tian, D.; Wang, J.; Pan, J.; Zhu, J.; Li, Y.; Yan, Y.; Song, L.; Wang, S.; Chen, C.; et al. Dryness weakens the positive effects of plant and fungal β diversities on above- and belowground biomass. Glob. Chang. Biol. 2022, 28, 6629–6639. [Google Scholar] [CrossRef]
- R Core Team. R: A Language and Environment for Statistical Computing; R Development Core Team: Auckland, New Zealand, 2022. [Google Scholar]
- Lefcheck, J.S. piecewiseSEM: Piecewise structural equation modelling in r for ecology, evolution, and systematics. Methods Ecol. Evol. 2016, 7, 573–579. [Google Scholar] [CrossRef]
- Pinheiro, J.; Bates, D.; DebRoy, S.; Sarkar, D.; R Core Team. Nlme: Linear and nonlinear mixed effects models. R Package Version 2021, 3, 1–89. [Google Scholar]
- Wickham, H. ggplot2: Elegant Graphics for Data Analysis; Springer: Berlin/Heidelberg, Germany, 2016. [Google Scholar]
- Min, Y.; Osbert, J.S. Effects of forest patch type and site on grass-layer vegetation in a temperate forest ecosystem. For. Ecol. Manag. 2013, 300, 14–20. [Google Scholar]
- Jokela, J.; Juutilainen, K.; Korpela, L.; Kouki, J.; Kuntsi, S.; Koivula, M.; Siitonen, J. Cross-taxon congruence and relationships to stand characteristics of vascular plants, bryophytes, polyporous fungi and beetles in mature managed boreal forests. Ecol. Indic. 2018, 85, 137–145. [Google Scholar] [CrossRef]
- Blasi, C.; Marchetti, M.; Chiavetta, U.; Aleffi, M.; Audisio, P.; Azzella, M.M.; Brunialti, G.; Capotorti, G.; Vico, E.D.; Lattanz, E.; et al. Multi-taxon and forest structure sampling for identification of indicators and monitoring of old-growth forest. Plant Biosyst. 2010, 144, 160–170. [Google Scholar] [CrossRef]
- Tinya, F.; Kovács, B.; Bidló, A.; Dima, B.; Király, I.; Kutszegi, G.; Lakatos, F.; Mag, Z.; Márialigeti, S.; Nascimbene, J.; et al. Environmental drivers of forest biodiversity in temperate mixed forests–A multi-taxon approach. Sci. Total Environ. 2021, 15, 795:148720. [Google Scholar] [CrossRef] [PubMed]
- Poulsen, J.R.; Koerner, S.E.; Miao, Z.; Medjibe, V.P.; Banak, L.N.; White, L.J.T. Forest structure determines the abundance and distribution of large lianas in Gabon. Glob. Ecol. Biogeogr. 2017, 26, 472–485. [Google Scholar] [CrossRef]
- Ampoorter, E.; Barbaro, L.; Jactel, H.; Baeten, L.; Boberg, J.; Carnol, M.; Castagneyrol, B.; Charbonnier, Y.; Dawud, S.M.; Deconchat, M.; et al. Tree diversity is key for promoting the diversity and abundance of forest-associated taxa in Europe. Oikos 2020, 129, 133–146. [Google Scholar] [CrossRef]
- Knapp, A.K.; Smith, M.D. Variation among biomes in temporal dynamics of aboveground primary production. Science 2001, 291, 481–484. [Google Scholar] [CrossRef]
- Dobrowski, S.Z.; Abatzoglou, J.; Swanson, A.K.; Greenberg, J.A.; Mynsberge, A.R.; Holden, Z.A.; Schwartz, M.K. The climate velocity of the contiguous United States during the 20th century. Glob. Chang. Biol. 2013, 19, 241–251. [Google Scholar] [CrossRef]
- Kane, V.R.; Bartl-Geller, B.N.; North, M.P.; Kane, J.T.; Lydersen, J.M.; Jeronimo, S.M.A.; Collins, B.M.; Monika Moskal, L. First-entry wildfires can create opening and tree clump patterns characteristic of resilient forests. For. Ecol. Manag. 2019, 454, 117659. [Google Scholar] [CrossRef]
- Marlyse, C.D.; Mark, S.A. A meta-analysis of the effect of forest management for timber on understory plant species diversity in temperate forests. For. Ecol. Manag. 2013, 303, 81–90. [Google Scholar]
- Janssen, P.; Fuhr, M.; Bouget, C. Small variations in climate and soil conditions may have greater influence on multitaxon species occurrences than past and present human activities in temperate mountain forests. Divers. Distrib. 2018, 24, 579–592. [Google Scholar] [CrossRef]
- Alex, T.F.; Timothy, H.M.; Robert, T.F.; Brady, S.H.; Gil, B.; Peter, S. Curtis. Forest structure in space and time: Biotic and abiotic determinants of canopy complexity and their effects on net primary productivity. Agric. For. Meteorol. 2018, 250, 181–191. [Google Scholar]
- Zemp, D.C.; Ehbrecht, M.; Seidel, D.; Ammer, C.; Craven, D.; Erkelenz, J.; Irawan, B.; Sundawati, L.; Hölscher, D.; Kreft, H. Mixed-species tree plantings enhance structural complexity in oil palm plantations. Agric. Ecosyst. Environ. 2019, 283, 106564. [Google Scholar] [CrossRef]
- Juchheim, J.; Ehbrecht, M.; Schall, P.; Ammer, C.; Seidel, D. Effect of tree species mixing on stand structural complexity. Forestry 2020, 93, 75–83. [Google Scholar] [CrossRef]
- Wang, Q.G.; Guo, Q.; Chi, X.L.; Zhu, S.Q.; Tang, Z.Y. Evolutionary history and climate conditions constrain the flower colours of woody plants in China. J. Plant Ecol. 2022, 15, 196–207. [Google Scholar] [CrossRef]
- Wang, X. The Roles of Forest Vertical Structure and Large-Diameter Trees on Plant Diversity Along Elevational Gradients. Ph.D. Thesis, East China Normal University, Shanghai, China, 2022. [Google Scholar]
- Luo, Y.H.; Cadotte, M.W.; Burgess, K.S.; Liu, J.; Tan, S.L.; Xu, K.; Li, D.Z. Forest community assembly is driven by different strata-dependent mechanisms along an elevational gradient. J. Biogeogr. 2019, 46, 2174–2187. [Google Scholar] [CrossRef]
- Kembel, S.W.; Dale, M.R.T. Within-stand spatial structure and relation of boreal canopy and understorey vegetation. J. Veg. Sci. 2006, 17, 783–790. [Google Scholar]
- Fahey, R.T.; Fotis, A.T.; Woods, K.D. Quantifying canopy complexity and effects on productivity and resilience in late-successional hemlock-hardwood forests. Ecol. Appl. 2015, 25, 834–847. [Google Scholar] [CrossRef]
- Sun, C.; Li, L.; Dong, X.; Qin, F.; Yang, Z. Variations and Factors Characterizing Ecological Niches of Understory Grassaceous Species in Plantation Forests. Sustainability 2022, 14, 10719. [Google Scholar] [CrossRef]
- Hedwall, P.-O.; Brunet, J.; Nordin, A.; Bergh, J. Changes in the abundance of keystone forest floor species in response to changes in forest structure. J. Veg. Sci. 2013, 24, 296–306. [Google Scholar] [CrossRef]
- Tinya, F.; Ódor, P. Congruence of the spatial pattern of light and understory vegetation in an old-growth, temperate mixed forest. For. Ecol. Manag. 2016, 381, 84–92. [Google Scholar] [CrossRef]
- Petersson, L.; Holmström, E.; Lindbladh, M.; Felton, A.; Sveriges, L. Tree species impact on understory vegetation: Vascular plant communities of Scots pine and Norway spruce managed stands in northern Europe. For. Ecol. Manag. 2019, 448, 330–345. [Google Scholar] [CrossRef]
- Malhi, Y.; Silman, M.; Salinas, N.; Bush, M.; Meir, P.; Saatchi, S. Introduction: Elevation gradients in the tropics: Laboratories for ecosystem ecology and global change research. Glob. Chang. Biol. 2010, 16, 3171–3175. [Google Scholar] [CrossRef]
- Sundqvist, M.K.; Sanders, N.J.; Wardle, D.A. Community and ecosystem responses to elevational gradients: Processes, mechanisms, and insights for global change. Annu. Rev. Ecol. Evol. Syst. 2013, 44, 261–280. [Google Scholar] [CrossRef]
- Fyllas, N.M.; Bentley, L.P.; Shenkin, A.; Asner, G.P.; Atkin, O.K.; Díaz, S.; Enquist, B.J.; Farfan-Rios, W.; Gloor, E.; Guerrieri, R.; et al. Solar radiation and functional traits explain the decline of forest primary productivity along a tropical elevation gradient. Ecol. Lett. 2017, 20, 730–740. [Google Scholar] [CrossRef] [PubMed]
- Harpole, W.S.; Sullivan, L.L.; Lind, E.M.; Firn, J.; Adler, P.B.; Borer, E.T.; Chase, J.; Fay, P.A.; Hautier, Y.; Hillebrand, H.; et al. Addition of multiple limiting resources reduces grassland diversity. Nature 2016, 537, 93–96. [Google Scholar] [CrossRef] [PubMed]
- Díaz, S.; Cabido, M. Vive la différence: Plant functional diversity matters to ecosystem processes. Trends Ecol. Evol. 2001, 16, 646–655. [Google Scholar] [CrossRef]




| Variable Group | Variable Name | Unit | Max | Min | Mean | Scaling Method |
|---|---|---|---|---|---|---|
| Climate | MAT | °C | 165.58 | −64.79 | 37.38 ± 44.99 | Plot |
| MAP | mm | 13,118.30 | 3953.56 | 6909.30 ± 1449.74 | Plot | |
| PAR | MJ/m2·y−1 | 2254.27 | 1531.47 | 1849.20 ± 118.05 | Plot | |
| EAT | °C | 48,895.8 | 1397.19 | 22,447.00 ± 7582.39 | Plot | |
| T-min | °C | −91.47 | −522.97 | −375.29 ± 95.01 | Plot | |
| AET | mm | 26.32 | 0.48 | 8.60 ± 6.18 | Plot | |
| Topography | DEM | m | 2791.00 | 58.00 | 661.68 ± 368.80 | Plot |
| Slope | ° | 53.85 | 0 | 11.80 ± 7.78 | Plot | |
| Aspect | ° | 359.61 | −1 | 174.84 ± 107.02 | Plot | |
| TPI | - | 108.06 | −155.60 | −8.89 ± 29.16 | Plot | |
| Tree diversity | α-Tree | - | 41.00 | 1.00 | 8.00 ± 6.00 | Plot |
| Stand structure | SD | n/ha−2 | 8300.00 | 44.00 | 1238.00 ± 697.00 | Plot |
| SBA | m2/ha−2 | 1793.98 | 0.24 | 103.79 ± 121.88 | Plot | |
| m-DBH | cm | 81.76 | 3.34 | 14.61 ± 6.06 | Plot | |
| CV DBH | - | 1.44 | 0.01 | 0.53 ± 0.22 | Plot | |
| CV H | - | 1.01 | 0.002 | 0.38 ± 0.14 | Plot | |
| SSCI | - | 5.73 | 2.22 | 3.60 ± 0.48 | Plot | |
| Understory plant | UWPD | n/ha−2 | 67.54 | 0.08 | 2.32 ± 4.67 | Quadrat |
| α-UWP | - | 34.00 | 1.00 | 10.00 ± 6.00 | Quadrat | |
| α-Herbs | - | 43.00 | 0.00 | 13.00 ± 7.00 | Quadrat |
Disclaimer/Publisher’s Note: The statements, opinions and data contained in all publications are solely those of the individual author(s) and contributor(s) and not of MDPI and/or the editor(s). MDPI and/or the editor(s) disclaim responsibility for any injury to people or property resulting from any ideas, methods, instructions or products referred to in the content. |
© 2023 by the authors. Licensee MDPI, Basel, Switzerland. This article is an open access article distributed under the terms and conditions of the Creative Commons Attribution (CC BY) license (https://creativecommons.org/licenses/by/4.0/).
Share and Cite
Wang, T.; Dong, L.; Liu, Z. Climate Strengthens the Positive Effects of Stand Structure on Understory Plant Diversity in Chinese Temperate Forests. Forests 2023, 14, 2138. https://doi.org/10.3390/f14112138
Wang T, Dong L, Liu Z. Climate Strengthens the Positive Effects of Stand Structure on Understory Plant Diversity in Chinese Temperate Forests. Forests. 2023; 14(11):2138. https://doi.org/10.3390/f14112138
Chicago/Turabian StyleWang, Tao, Lingbo Dong, and Zhaogang Liu. 2023. "Climate Strengthens the Positive Effects of Stand Structure on Understory Plant Diversity in Chinese Temperate Forests" Forests 14, no. 11: 2138. https://doi.org/10.3390/f14112138
APA StyleWang, T., Dong, L., & Liu, Z. (2023). Climate Strengthens the Positive Effects of Stand Structure on Understory Plant Diversity in Chinese Temperate Forests. Forests, 14(11), 2138. https://doi.org/10.3390/f14112138
