Relationship between Leaf Scorch Occurrence and Nutrient Elements and Their Effects on Fruit Qualities in Chinese Chestnut Orchards
Abstract
1. Introduction
2. Materials and Methods
2.1. Study Sites and Sample Collection
2.2. Determination of Nutrient Elements
2.3. Determination of Nut Qualities
2.4. Statistical Analysis
3. Results
3.1. Leaf Phenotypes of Healthy and Diseased Chestnut Trees
3.2. Relationship between the Occurrence of Leaf Scorch and Nutrients in Chestnut Orchards
3.2.1. Comparison of Nutrient Elements of Healthy and Disease Trees
3.2.2. Correlation Analysis between Elements in Various Parts
3.2.3. Chestnut Leaf Factor Analysis
3.3. Effects of Leaf Scorch Occurrence on Nut Qualities of Chestnuts
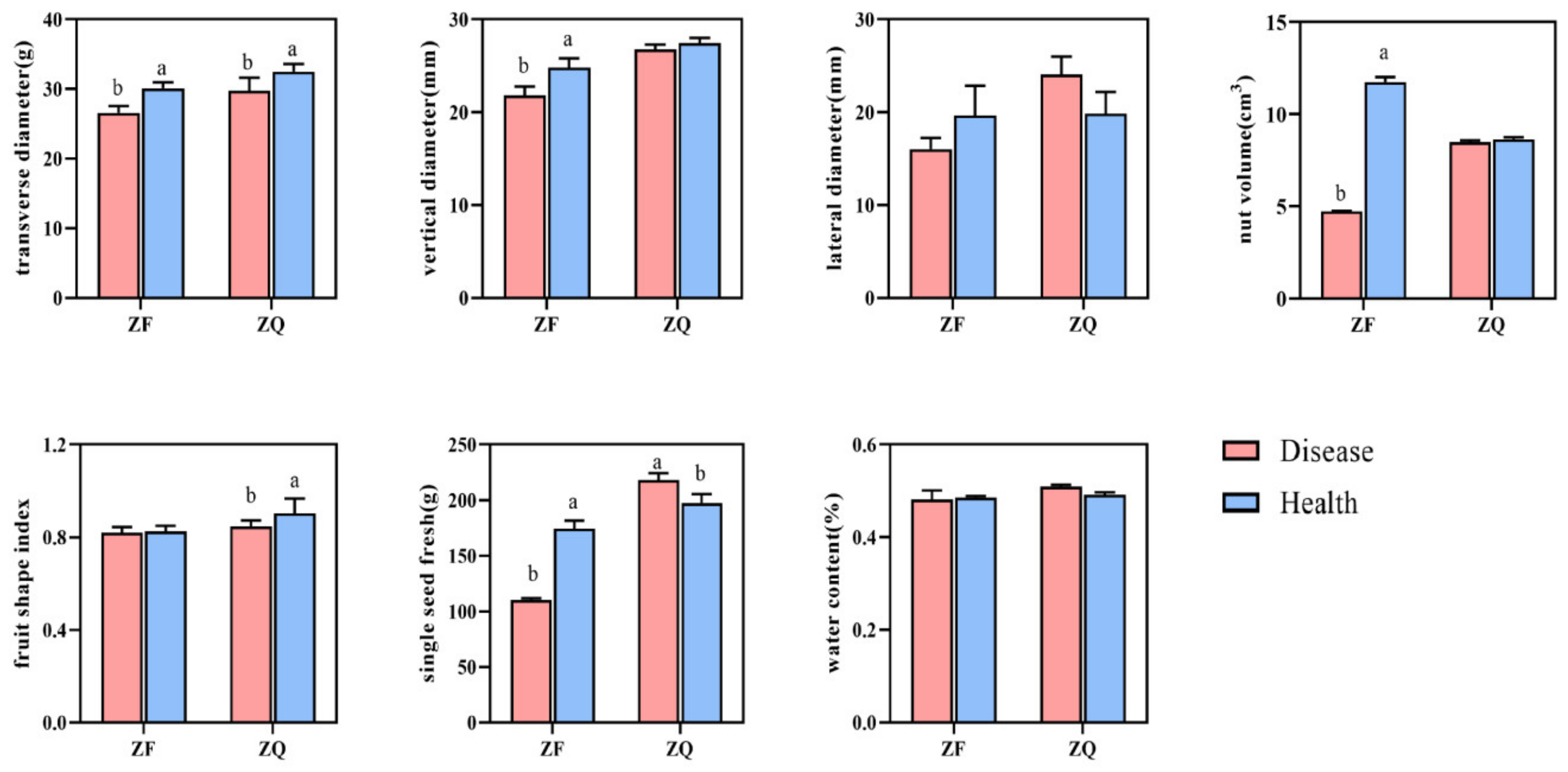
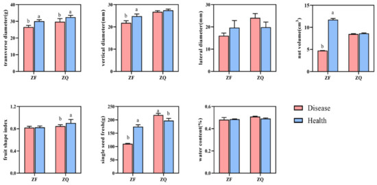
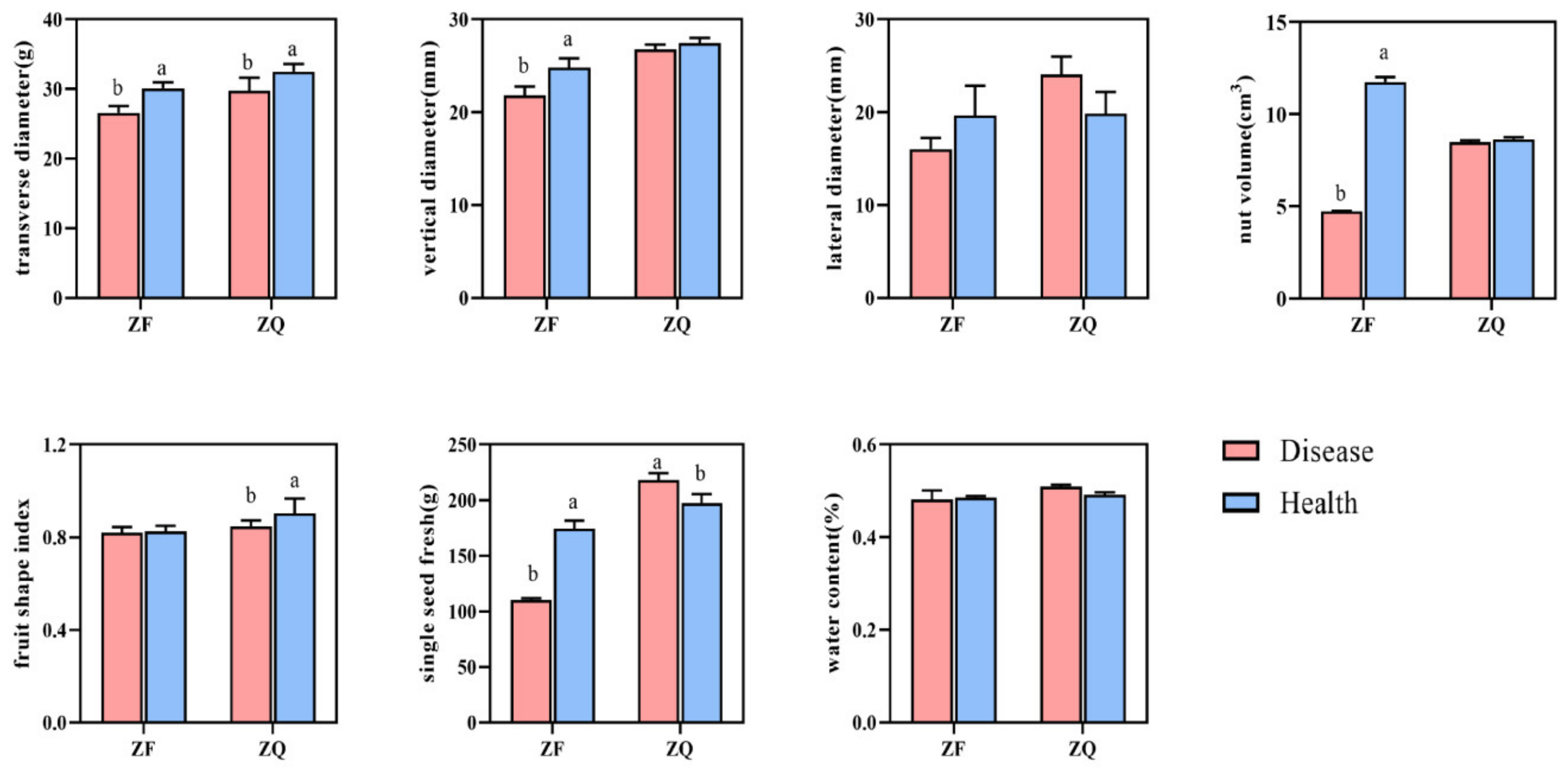
3.3.1. Changes in Nut Phenotypic Index
3.3.2. Changes in Nut Nutrients and Antioxidants
3.3.3. Correlation Analysis of Soil Elements and Nut Qualities
3.3.4. Correlation Analysis of Leaf Elements and Nut Qualities
4. Discussion
5. Conclusions
Supplementary Materials
Author Contributions
Funding
Data Availability Statement
Acknowledgments
Conflicts of Interest
References
- Li, R.; Sharma, A.K.; Zhu, J.C.; Zheng, B.; Xiao, G.S.; Chen, L. Nutritional biology of chestnuts: A perspective review. Food Chem. 2022, 395, 133575. [Google Scholar] [CrossRef] [PubMed]
- Fernandes, Â.; Barreira, J.C.M.; Antonio, A.L.; Bento, A.; Botelho, M.L.; Ferreira, I.C.F.R. Assessing the effects of gamma irradiation and storage time in energetic value and in major individual nutrients of chestnuts. Food Chem. Toxicol. 2011, 49, 2429–2432. [Google Scholar] [CrossRef]
- Li, M.; Yang, S.Z.; Peng, L.T.; Zeng, K.F.; Feng, B.R.; Yang, J.J. Compositional shifts in fungal community of chestnuts during storage and their correlation with fruit quality. Postharvest Biol. Technol. 2022, 191, 111983. [Google Scholar] [CrossRef]
- Hepting, G.H. Death of the American Chestnut. J. For. Hist. 1974, 18, 60–67. [Google Scholar] [CrossRef]
- Anagnostakis, S.L.; Hillman, B. Evolution of the chestnut tree and its blight. Chestnut Blight 1992, 52, 2–10. [Google Scholar]
- Sicard, A.; Zeilinger, A.R.; Vanhove, M.; Schartel, T.E.; Beal, D.J.; Daugherty, M.P.; Almeida, R.P.P. Xylella fastidiosa: Insights into an emerging plant pathogen. Annu. Rev. Phyto. Pathol. 2018, 56, 181–202. [Google Scholar] [CrossRef]
- Gong, S.; Zhang, X.T.; Jiang, S.X.; Chen, C.; Ma, H.B.; Ni, Y. A new species of Ophiognomonia from Northern China inhabiting the lesions of chestnut leaves infected with Diaporthe eres. Mycol. Prog. 2017, 16, 83–91. [Google Scholar] [CrossRef]
- Güney, I.G.; Ozer, G.; Türkolmez, S.; Dervis, S. Canker and leaf scorch on olive (Olea europaea L.) Caused by Neoscytalidium Dimidiatum Turkey. Crop Prot. 2022, 157, 105985. [Google Scholar] [CrossRef]
- Bucci, E.M. Xylella fastidiosa, a new plant pathogen that threatens global farming: Ecology, molecular biology, search for remedies. Biochem. Biophys. Res. Commun. 2018, 502, 173–182. [Google Scholar] [CrossRef]
- Anguita-Maeso, M.; Ares-Yebra, A.; Haro, C.; Román-Écija, M.; Olivares-García, C.; Costa, J.; Marco-Noales, E.; Ferrer, A.; Navas-Cortés, J.A.; Landa, B.B. Xylella fastidiosa infection reshapes microbial composition and network associations in the xylem of almond trees. Front. Microbiol. 2022, 13, 866085. [Google Scholar] [CrossRef]
- Kumar, B.; Choudhary, M.; Kumar, K.; Kumar, P.; Kumar, S.; Bagaria, P.K.; Sharma, M.; Lahkar, C.; Singh, B.K.; Pradhan, H.; et al. Maydis leaf blight of maize: Update on status, sustainable management and genetic architecture of its resistance. Physiol. Mol. Plant Pathol. 2022, 121, 101889. [Google Scholar] [CrossRef]
- Jiang, S.; Liu, C.; Wang, Q.; Jia, N.; Li, C.; Ma, H. A new chestnut disease―brown margin leaf blight and the pathogen identification. Sci. Silvae Sin. 2011, 47, 177–180, (Abstract in English). [Google Scholar]
- Ma, H.; Liu, G.; Gong, S.; Zhang, X.; Wang, Q.; Jiang, S. Pathogenic effects of Ophiognomonia castaneae coordinated with Phomopsis castaneae-mollissimae. Shandong Agric. Sci. 2016, 48, 109–112, 115, (Abstract in English). [Google Scholar]
- Kazempour, M.N.; Khodaparast, S.A.; Salehi, M.; Amanzadeh, B.; Nejat-Salary, A.; Shiraz, B.K. First record of chestnut blight in Iran. J. Plant Pathol. 2006, 88, 121–125. [Google Scholar]
- Hacisalihoglu, G.; Kochian, L.V. How do some plants tolerate low levels of soil zinc? Mechanisms of zinc efficiency in crop plants. New Phytol. 2003, 159, 341–350. [Google Scholar] [CrossRef]
- Srivastava, K.; Singh, S. Zinc nutrition, a global concern for sustainable citrus production. J. Sustain. Agric. 2013, 25, 37–41. [Google Scholar] [CrossRef]
- Liang, C. A Preliminary Study on Leaf Scorch Phenomenon of Roadside Ginkgo Trees in Beijing Urban Area. Master’s Thesis, Beijing Forestry University, Beijing, China, 2016. (Abstract in English). [Google Scholar]
- Guo, Q.E.; Guo, T.W.; Nan, L.L.; Wang, Y.Q. Preliminary survey on the cause of withered and die off of apple leaf in Qin’an county of Gansu. Acta Agric. Boreali-Occident. Sin. 2006, 15, 68–70, (Abstract in English). [Google Scholar]
- Li, Y.; Pu, S.H.; Ma, X.P.; Zhang, J.F.; Li, Q.J. Study on characteristics and causation of walnut withered leaf symptom. Xinjiang Agric. Sci. 2022, 59, 1475–1481, (Abstract in English). [Google Scholar]
- Ren, F.; Dong, W.; Shi, S.Q.; Wang, H.H.; Dou, G.M.; Yan, D.H. Primary study on causes and associated pathogens for chestnut leaf scorch. For. Res. 2021, 34, 185–192, (Abstract in English). [Google Scholar]
- Zeng, S.C.; Chen, B.G.; Jiang, C.A.; Wu, Q.T. Impact of fertilization on chestnut growth, N and P concentrations in runoff water on degraded slope land in South China. J. Environ. Sci. 2007, 19, 827–833. [Google Scholar] [CrossRef]
- Baldi, E.; Cavani, L.; Mazzon, M.; Marzadori, C.; Quartieri, M.; Toselli, M. Fourteen years of compost application in a commercial nectarine orchard: Effect on microelements and potential harmful elements in soil and plants. Sci. Total Environ. 2021, 752, 141894. [Google Scholar] [CrossRef] [PubMed]
- Yemm, E.W.; Willis, A.J. The estimation of carbohydrates in plant extracts by anthrone. Biochem. J. 1954, 57, 508–514. [Google Scholar] [CrossRef] [PubMed]
- López-Delgado, H.; Zavaleta-Mancera, H.A.; Mora-Herrera, M.E.; Vázquez-Rivera, M.; Flores-Gutiérrez, F.X.; Scott, I.M. Hydrogen peroxide increases potato tuber and stem starch content, stem diameter, and stem lignin content. Am. J. Potato Res. 2005, 82, 279–285. [Google Scholar] [CrossRef]
- Chen, Y.Y.; Fu, X.M.; Mei, X.; Zhou, Y.; Cheng, S.H.; Zeng, L.T.; Dong, F.; Yang, Z.Y. Proteolysis of chloroplast proteins is responsible for accumulation of free amino acids in dark-treated tea (Camellia sinensis) leaves. J. Proteom. 2017, 157, 10–17. [Google Scholar] [CrossRef] [PubMed]
- Chan, Y.T.; Huang, J.T.; Wong, H.C.; Li, J.; Zhao, D.Y. Metabolic fate of black raspberry polyphenols in association with gut microbiota of different origins in vitro. Food Chem. 2022, 404, 134644. [Google Scholar] [CrossRef]
- Ma, H.; Xu, X.M.; Wang, S.M.; Wang, J.Z. Effects of microwave irradiation on the expression of key flavonoid biosynthetic enzyme genes and the accumulation of flavonoid products in Fagopyrum tataricum sprouts. J. Cereal Sci. 2021, 101, 103275. [Google Scholar] [CrossRef]
- Wang, S.M.; Wang, S.M.; Wang, J.Z.; Peng, W.P. Label-free quantitative proteomics reveals the mechanism of microwave-induced Tartary buckwheat germination and flavonoids enrichment. Food Res. Int. 2022, 160, 111758. [Google Scholar] [CrossRef]
- Riaz, M.; Kamran, M.; Rizwan, M.; Ali, S.; Wang, X.R. Foliar application of silica sol alleviates boron toxicity in rice (Oryza sativa) seedlings. J. Hazard. Mater. 2022, 423, 127175. [Google Scholar] [CrossRef]
- Brdar-Jokanovi’c, M. Boron toxicity and deficiency in agricultural plants. Int. J. Mol. Sci. 2020, 21, 1424. [Google Scholar] [CrossRef]
- Riaz, M.; Lei, Y.N.; Wu, X.W.; Hussain, S.; Aziz, O.; EI-Desouki, Z.; Jiang, C.C. Excess boron inhibited the trifoliate orange growth by inducing oxidative stress, alterations in cell wall structure, and accumulation of free boron. Plant Physiol. Biochem. 2019, 141, 105–113. [Google Scholar] [CrossRef]
- Mamani-Huarcaya, B.M.; Gonzalez-Fontes, A.; Navarro-Gochicoa, M.T.; Camacho-Cristobal, J.J.; Ceacero, C.J.; Herrera-Rodriguez, M.B.; Cutire, O.F.; Rexach, J. Characterization of two Peruvian maize landraces differing in boron toxicity tolerance. Plant Physiol. Biochem. 2022, 18, 167–177. [Google Scholar] [CrossRef]
- Gunes, A.; Inal, A.; Bagci, E.G.; Coban, S.; Pilbeam, D.J. Silicon mediates changes to some physiological and enzymatic parameters symptomatic for oxidative stress in spinach (Spinacia oleracea L.) grown under B toxicity. Sci. Hortic. 2007, 113, 113–119. [Google Scholar] [CrossRef]
- Kayaa, C.; Ashraf, M. Exogenous application of nitric oxide promotes growth and oxidative defense system in highly boron stressed tomato plants bearing fruit. Sci. Hortic. 2015, 185, 43–47. [Google Scholar] [CrossRef]
- Riaz, M.; Kamran, M.; El-Esawi, M.A.; Hussain, S.; Wang, X.R. Boron-toxicity induced changes in cell wall components, boron forms, and antioxidant defense system in rice seedlings. Ecotoxicol. Environ. Saf. 2021, 216, 112192. [Google Scholar] [CrossRef]
- Martínez-Cuenca, M.R.; Martínez-Alcántara, B.; Quiñones, A.; Ruiz, M.; Iglesias, D.J.; Primo-Millo, E.; Forner-Giner, M.A. Physiological and molecular responses to excess boron in Citrus macrophylla W. PLoS ONE 2015, 10, E0134372. [Google Scholar] [CrossRef]
- Karabal, E.; Yücel, M.; Öktem, H.A. Antioxidant responses of tolerant and sensitive barley cultivars to boron toxicity. Plant Sci. 2003, 164, 925–933. [Google Scholar] [CrossRef]
- Bozca, F.D.; Leblebici, S. Interactive effect of boric acid and temperature stress on phenological characteristics and antioxidant system in Helianthus annuus L. S. Afr. J. Bot. 2022, 147, 391–399. [Google Scholar] [CrossRef]
- Landi, M.; Remorini, D.; Pardossi, A.; Guidi, L. Boron excess affects photosynthesis and antioxidant apparatus of greenhouse Cucurbita pepo and Cucumis sativus. J. Plant Res. 2013, 126, 775–786. [Google Scholar] [CrossRef]
- Çatav, S.S.; KÖskeroglu, S.; Tuna, A.L. Selenium supplementation mitigates boron toxicity induced growth inhibition and oxidative damage in pepper plants. South Afr. J. Bot. 2022, 146, 375–382. [Google Scholar] [CrossRef]
- Kayıhan, D.S.; Kayıhan, C.; Çiftçi, Y.O. Excess boron responsive regulations of antioxidative mechanism at physio-biochemical and molecular levels in Arabidopsis thaliana. Plant Physiol. Biochem. 2016, 109, 337–345. [Google Scholar] [CrossRef]
- Grieve, C.M.; Poss, J.A. Wheat response to interactive effects of boron and salinity. J. Plant Nutr. 2000, 23, 1217–1226. [Google Scholar] [CrossRef]
- Masood, S.; Wimmer, M.A.; Witzel, K.; Zorb, C.; Muhling, K.H. Interactive effects of high boron and NaCl stresses on subcellular localization of chloride and boron in wheat leaves. J. Agron. Crop Sci. 2012, 198, 227–235. [Google Scholar] [CrossRef]
- Alpaslan, M.; Gunes, A. Interactive effects of boron and salinity stress on the growth, membrane permeability and mineral composition of tomato and cucumber plants. Plant Soil 2001, 236, 123–128. [Google Scholar] [CrossRef]
- Billard, V.; Maillard, A.; Coquet, L.; Jouenne, T.; Cruz, F.; Garcia-Mina, J.M.; Yvin, J.C.; Ourry, A.; Etienne, P. Mg deficiency affects leaf Mg remobilization and the proteome in Brassica napus. Plant Physiol. Biochem. 2016, 107, 337–343. [Google Scholar] [CrossRef] [PubMed]
- Liu, X.M.; Wang, L.; Ma, F.Y.; Guo, J.Y.; Zhu, H.; Meng, S.Y.; Bi, S.S.; Wang, H.T. Magnetic treatment improves the seedling growth, nitrogen metabolism, and mineral nutrient contents in Populus × euramericana ‘Neva’ under cadmium stress. Forests 2022, 13, 947. [Google Scholar] [CrossRef]
- Siefermann-Harms, D.; Boxler-Baldoma, C.; Wilpert, K.V.; Heumann, H.G. The rapid yellowing of spruce at a mountain site in the Central Black Forest (Germany). J. Plant Physiol. 2004, 161, 423–437. [Google Scholar] [CrossRef]
- Kaur, H.; Garg, N. Zinc toxicity in plants: A review. Planta 2021, 253, 129. [Google Scholar] [CrossRef]
- Schwalbert, R.; Milanesi, G.D.; Stefanello, L.; Moura-Bueno, J.M.; Drescher, G.L.; Marques, A.C.R.; Kulmann, M.S.D.S.; Berghetti, A.P.; Tarouco, C.P.; Machado, M.C.; et al. How do native grasses from South America handle zinc excess in the soil? A physiological approach. Environ. Exp. Bot. 2022, 195, 104779. [Google Scholar] [CrossRef]
- Hajara, E.W.I.; Sulaimanb, A.Z.B.; Sakinah, A.M.M. Assessment of heavy metals tolerance in leaves, stems and flowers of Stevia rebaudiana plant. Procedia Environ. Sci. 2014, 20, 386–393. [Google Scholar] [CrossRef]
- Souza, G.A.D.; Carvalho, J.G.D.; Rutzke, M.; Albrecht, J.C.; Guilherme, L.R.G.; Li, L. Evaluation of germplasm effect on Fe, Zn and Se content in wheat seedlings. Plant Sci. 2013, 210, 206–213. [Google Scholar] [CrossRef]
- Shaibur, M.R.; Shamim, A.H.M.; Kawai, S. Growth response of hydroponic rice seedlings at elevated concentrations of potassium chloride. J. Agric. Rural. Dev. 2008, 6, 43–53. [Google Scholar] [CrossRef]
- Godoi, N.M.I.; Gazola, R.D.N.; Buzetti, S.; Jalal, A.; Celestrino, T.D.S.; Oliveira, C.E.D.S.; Nogueira, T.A.R.; Panosso, A.R.; Filho, M.C.M.T. Residual influence of nitrogen, phosphorus and potassium doses on soil and Eucalyptus nutrition in coppice. Forests 2021, 12, 1425. [Google Scholar] [CrossRef]
- Wang, X.S.; Guo, Z.K.; Hui, X.L.; Wang, R.Z.; Wang, S.; Kopittke, P.M.; Wang, Z.H.; Shi, M. Improved Zn bioavailability by its enhanced colocalization and speciation with S in wheat grain tissues after N addition. Food Chem. 2023, 404, 134582. [Google Scholar] [CrossRef]
- Chen, M.Y.; Zhao, T.T.; Peng, J.; Zhang, P.; Han, F.; Liu, X.L.; Zhong, C.H. Multivariate analysis of relationship between soil nutrients and fruit quality in ‘Dong Hong’kiwifruit. Plant Sci. J. 2021, 39, 192–200, (Abstract in English). [Google Scholar]
- Wang, C.; Song, F.; Wang, Z.J.; He, L.G.; Jiang, Y.C.; Wu, L.M. The influence of soil nutrient status on Ehima No. 28 quality in Hubei province. Hubei Agric. Sci. 2021, 60, 81–90, (Abstract in English). [Google Scholar]
- Liu, Z.B.; Huang, Y.; Tan, F.J.; Chen, W.C.; Ou, L.J. Effects of soil type on trace element absorption and fruit quality of pepper. Front. Plant Sci. 2021, 30, 698796. [Google Scholar] [CrossRef]
- Qiao, X.Y. Research on Effects of Potassium on Tree Nutrient and Quality of Prunuspersica (L) batsch. Master’s Thesis, Northwest Agricultural and Forestry University, Xianyang, China, 2016. (Abstract in English). [Google Scholar]
- Zhang, W. Effects of Potassium on Fruit Quality and Its Association with Metabolic Pathway of Trehalose 6-Phosphate in Apple. Ph.D. Dissertation, Northwest Agricultural and Forestry University, Xianyang, China, 2017. (Abstract in English). [Google Scholar]
- Lu, J.W.; Chen, F.; Liu, D.B.; Wan, Y.F.; Cao, Y.P. Effect of potash application on some enzyme content in rapeseed leaf. Chin. J. Crop Sci. 2002, 24, 61–62, (Abstract in English). [Google Scholar]
- Li, L.J. Studies on Effect of Potassium on Phenolic Metabolism of Wheat and Its Relationship with Dynamic of Aphid Population. Master’s Thesis, Henan Agricultural University, Zhengzhou, China, 2002. (Abstract in English). [Google Scholar]







| Elements | Healthy Trees (g/kg) | Diseased Trees (g/kg) | ||||
|---|---|---|---|---|---|---|
| Range of Variations | The Average ± Standard Error | C.V.% | Range of Variations | The Average ± Standard Error | C.V.% | |
| N | 20.105–24.285 | 22.582 ± 0.606 | 6.572 | 26.693–31.619 | 28.816 ± 0.769 *** | 6.535 |
| P | 1.189–2.289 | 1.698 ± 0.166 | 23.910 | 1.564–2.44 | 2.061 ± 0.143 | 16.982 |
| K | 4.073–6.644 | 5.465 ± 0.436 | 19.543 | 5.643–11.475 | 7.793 ± 0.976 | 30.694 |
| Ca | 13.193–22.272 | 16.617 ± 1.306 | 19.257 | 11.338–16.533 | 14.781 ± 0.816 | 13.517 |
| Mg | 6.561–9.128 | 7.493 ± 0.37 | 12.091 | 5.098–7.705 | 6.225 ± 0.4 * | 15.727 |
| Fe | 0.136–0.202 | 0.172 ± 0.011 | 15.698 | 0.172–0.261 | 0.217 ± 0.015 * | 17.051 |
| B | 0.082–0.196 | 0.143 ± 0.019 | 32.867 | 0.311–0.425 | 0.373 ± 0.015 *** | 9.920 |
| Cu | 0.006–0.007 | 0.007 ± 0 | 14.286 | 0.007–0.01 | 0.008 ± 0 | 12.500 |
| Mn | 0.88–2.368 | 1.499 ± 0.207 | 33.756 | 0.706–2.737 | 1.509 ± 0.332 | 53.943 |
| Zn | 0.027–0.046 | 0.035 ± 0.003 | 20.000 | 0.036–0.059 | 0.051 ± 0.003 ** | 15.686 |
| Mo | 0.001–0.001 | 0.001 ± 0 | 0.000 | 0.001–0.001 | 0.001 ± 0 | 0.000 |
| Elements | Healthy Trees (g/kg) | Diseased Trees (g/kg) | ||||
|---|---|---|---|---|---|---|
| Range of Variations | The Average ± Standard Error | C.V.% | Range of Variations | The Average ± Standard Error | C.V.% | |
| N | 1.571–10.164 | 7.448 ± 1.247 | 41.018 | 7.733–13.87 | 11.439 ± 0.897 * | 19.206 |
| P | 0.819–1.54 | 1.036 ± 0.107 | 25.193 | 0.558–1.154 | 0.896 ± 0.085 | 23.103 |
| K | 3.876–5.202 | 4.62 ± 0.201 | 10.671 | 4.172–6.88 | 5.576 ± 0.384 | 16.876 |
| Ca | 9.342–13.696 | 11.964 ± 0.676 | 13.850 | 10.537–13.369 | 12.305 ± 0.469 | 9.330 |
| Mg | 2.277–3.635 | 2.871 ± 0.201 | 17.102 | 2.218–2.863 | 2.496 ± 0.107 | 10.457 |
| Fe | 0.62–1.991 | 1.198 ± 0.236 | 48.247 | 0.334–1.595 | 0.88 ± 0.207 | 57.727 |
| B | 0.009–0.049 | 0.024 ± 0.006 | 62.500 | 0.051–0.114 | 0.081 ± 0.011 ** | 34.568 |
| Cu | 0.007–0.012 | 0.01 ± 0.001 | 20.000 | 0.007–0.009 | 0.008 ± 0 | 12.500 |
| Mn | 0.054–0.103 | 0.079 ± 0.008 | 25.316 | 0.035–0.061 | 0.051 ± 0.004 * | 19.608 |
| Zn | 0.02–0.04 | 0.028 ± 0.003 | 28.571 | 0.018–0.024 | 0.022 ± 0.001 | 13.636 |
| Mo | 0.001–0.002 | 0.001 ± 0 | 100.000 | 0–0.002 | 0.001 ± 0 | 100.000 |
| Elements | Healthy Trees (g/kg) | Diseased Trees (g/kg) | ||||
|---|---|---|---|---|---|---|
| Range of Variations | The Average ± Standard Error | C.V.% | Range of Variations | The Average ± Standard Error | C.V.% | |
| N | 10.198–11.346 | 10.765 ± 0.183 | 4.171 | 10.283–12.068 | 11.14 ± 0.316 | 6.957 |
| P | 0.367–3.299 | 1.847 ± 0.538 | 71.305 | 0.613–1.427 | 0.99 ± 0.121 | 29.798 |
| K | 16.968–23.042 | 20.643 ± 1.051 | 12.464 | 20.207–40.026 | 29.372 ± 3.035 * | 25.306 |
| AK | 0.041–0.109 | 0.07 ± 0.01 | 35.714 | 0.099–0.187 | 0.136 ± 0.017 * | 30.882 |
| AP | 0.008–0.087 | 0.042 ± 0.014 | 83.333 | 0.015–0.06 | 0.045 ± 0.007 | 37.778 |
| Na | 11.104–16.145 | 12.452 ± 0.759 | 14.937 | 6.827–15.256 | 11.156 ± 1.49 | 32.718 |
| Ca | 6.81–22.967 | 14.939 ± 2.389 | 39.173 | 5.807–12.167 | 9.236 ± 0.932 | 24.708 |
| Mg | 12.736–21.32 | 17.506 ± 1.171 | 16.383 | 12.344–16.328 | 14.092 ± 0.607 * | 10.545 |
| Cu | 0.025–0.056 | 0.041 ± 0.004 | 24.390 | 0.013–0.02 | 0.017 ± 0.001 *** | 17.647 |
| Zn | 0.086–0.156 | 0.124 ± 0.011 | 21.774 | 0.088–0.127 | 0.104 ± 0.006 | 13.462 |
| Fe | 45.268–64.584 | 54.392 ± 2.728 | 12.283 | 37.756–48.599 | 44.177 ± 1.529 * | 8.480 |
| Mn | 0.456–1.075 | 0.754 ± 0.087 | 28.117 | 0.511–0.759 | 0.63 ± 0.034 | 13.016 |
| B | 0.048–0.072 | 0.060 ± 0.004 | 15.000 | 0.04–0.053 | 0.048 ± 0.002 * | 10.417 |
| S | 0.085–0.32 | 0.174 ± 0.035 | 50.000 | 0.058–0.741 | 0.26 ± 0.103 | 96.923 |
| Characters | Principal Component 1 | Principal Component 2 | Principal Component 3 | Principal Component 4 |
|---|---|---|---|---|
| N | 0.991 | 0.035 | 0.037 | −0.116 |
| P | 0.469 | 0.035 | 0.674 | −0.397 |
| K | 0.847 | −0.479 | 0.208 | 0.043 |
| Ca | −0.963 | 0.024 | −0.222 | −0.121 |
| Mg | −0.918 | 0.083 | −0.348 | 0.132 |
| Fe | −0.019 | 0.814 | 0.131 | 0.525 |
| B | 0.841 | 0.014 | −0.184 | −0.500 |
| Cu | 0.120 | 0.199 | 0.940 | −0.128 |
| Mn | −0.182 | 0.940 | 0.058 | −0.258 |
| Zn | 0.065 | 0.752 | 0.594 | 0.277 |
| Mo | −0.109 | 0.065 | −0.261 | 0.932 |
| Eigenvalues | 5.129 | 2.915 | 1.597 | 1.005 |
| Variance contribution rate/% | 46.631 | 26.500 | 14.515 | 9.138 |
| Cumulative contribution rate/% | 46.631 | 73.130 | 87.645 | 96.784 |
| Characters | Principal Component 1 | Principal Component 2 | Principal Component 3 |
|---|---|---|---|
| N | 0.718 | −0.596 | 0.306 |
| P | 0.408 | 0.584 | 0.668 |
| K | 0.741 | −0.405 | 0.469 |
| Ca | −0.861 | 0.359 | −0.169 |
| Mg | −0.303 | 0.865 | 0.093 |
| Fe | −0.207 | 0.500 | 0.810 |
| B | −0.983 | 0.023 | 0.136 |
| Cu | 0.131 | −0.301 | 0.913 |
| Mn | 0.033 | 0.990 | 0.022 |
| Zn | 0.815 | 0.431 | 0.056 |
| Mo | −0.109 | −0.055 | −0.802 |
| Eigenvalues | 4.624 | 3.376 | 1.969 |
| Variance contribution rate/% | 42.037 | 30.693 | 17.903 |
| Cumulative contribution rate/% | 42.037 | 72.730 | 90.633 |
Disclaimer/Publisher’s Note: The statements, opinions and data contained in all publications are solely those of the individual author(s) and contributor(s) and not of MDPI and/or the editor(s). MDPI and/or the editor(s) disclaim responsibility for any injury to people or property resulting from any ideas, methods, instructions or products referred to in the content. |
© 2022 by the authors. Licensee MDPI, Basel, Switzerland. This article is an open access article distributed under the terms and conditions of the Creative Commons Attribution (CC BY) license (https://creativecommons.org/licenses/by/4.0/).
Share and Cite
Chen, R.; Zhu, J.; Zhao, J.; Shi, X.; Shi, W.; Zhao, Y.; Yan, J.; Pei, L.; Jia, Y.; Wu, Y.; et al. Relationship between Leaf Scorch Occurrence and Nutrient Elements and Their Effects on Fruit Qualities in Chinese Chestnut Orchards. Forests 2023, 14, 71. https://doi.org/10.3390/f14010071
Chen R, Zhu J, Zhao J, Shi X, Shi W, Zhao Y, Yan J, Pei L, Jia Y, Wu Y, et al. Relationship between Leaf Scorch Occurrence and Nutrient Elements and Their Effects on Fruit Qualities in Chinese Chestnut Orchards. Forests. 2023; 14(1):71. https://doi.org/10.3390/f14010071
Chicago/Turabian StyleChen, Rongrong, Jingle Zhu, Jiabing Zhao, Xinru Shi, Wenshi Shi, Yue Zhao, Jiawei Yan, Lu Pei, Yunxia Jia, Yanyan Wu, and et al. 2023. "Relationship between Leaf Scorch Occurrence and Nutrient Elements and Their Effects on Fruit Qualities in Chinese Chestnut Orchards" Forests 14, no. 1: 71. https://doi.org/10.3390/f14010071
APA StyleChen, R., Zhu, J., Zhao, J., Shi, X., Shi, W., Zhao, Y., Yan, J., Pei, L., Jia, Y., Wu, Y., Liu, H., Jiang, Z., Ma, C., & Shi, S. (2023). Relationship between Leaf Scorch Occurrence and Nutrient Elements and Their Effects on Fruit Qualities in Chinese Chestnut Orchards. Forests, 14(1), 71. https://doi.org/10.3390/f14010071
