Soil Quality Assessment and Management in Karst Rocky Desertification Ecosystem of Southwest China
Abstract
1. Introduction
2. Materials and Methods
2.1. Study Region
2.2. Soil Sampling Measurements
2.3. Soil Quality Evaluation
2.4. Data Analysis
3. Results
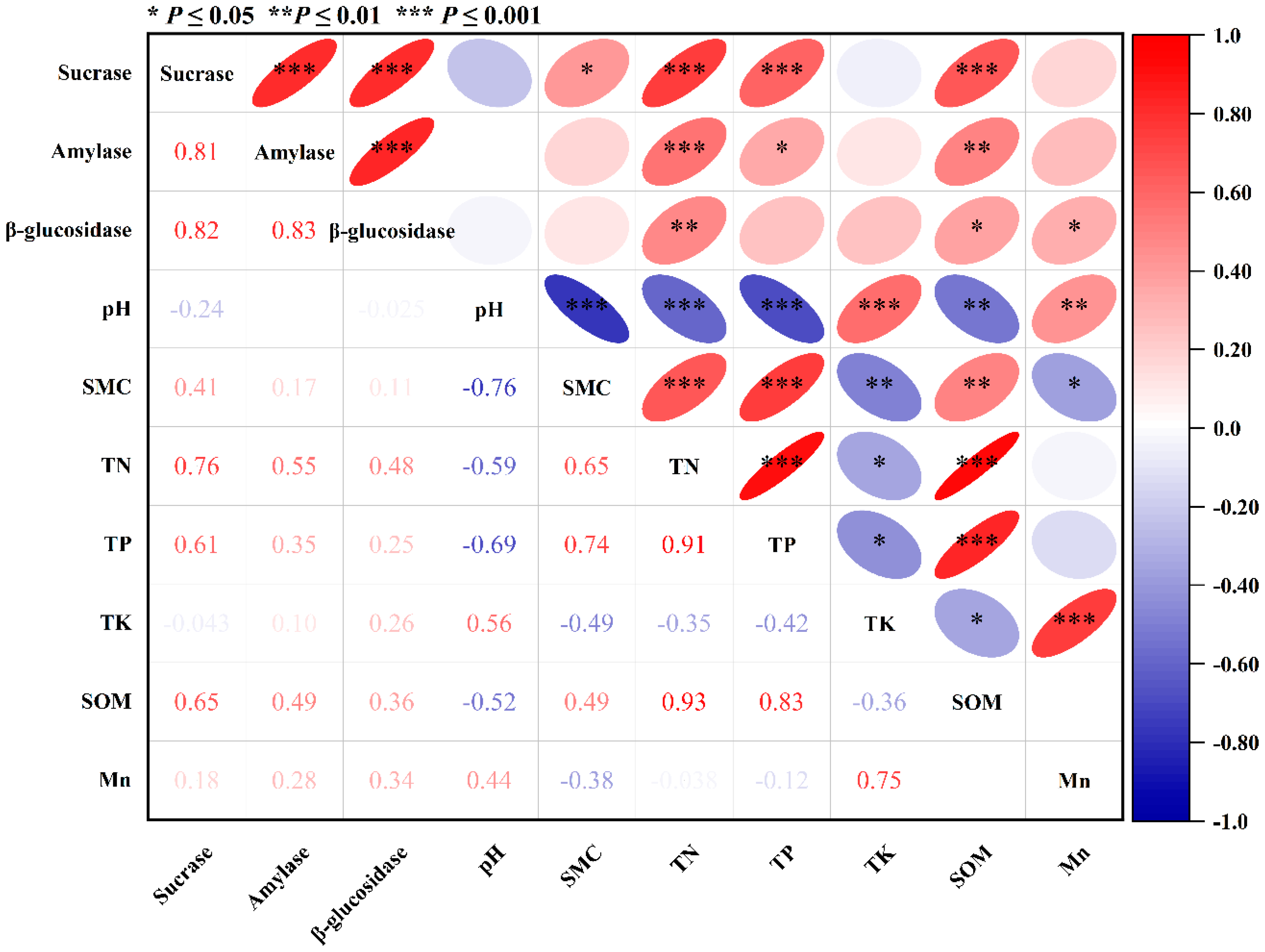
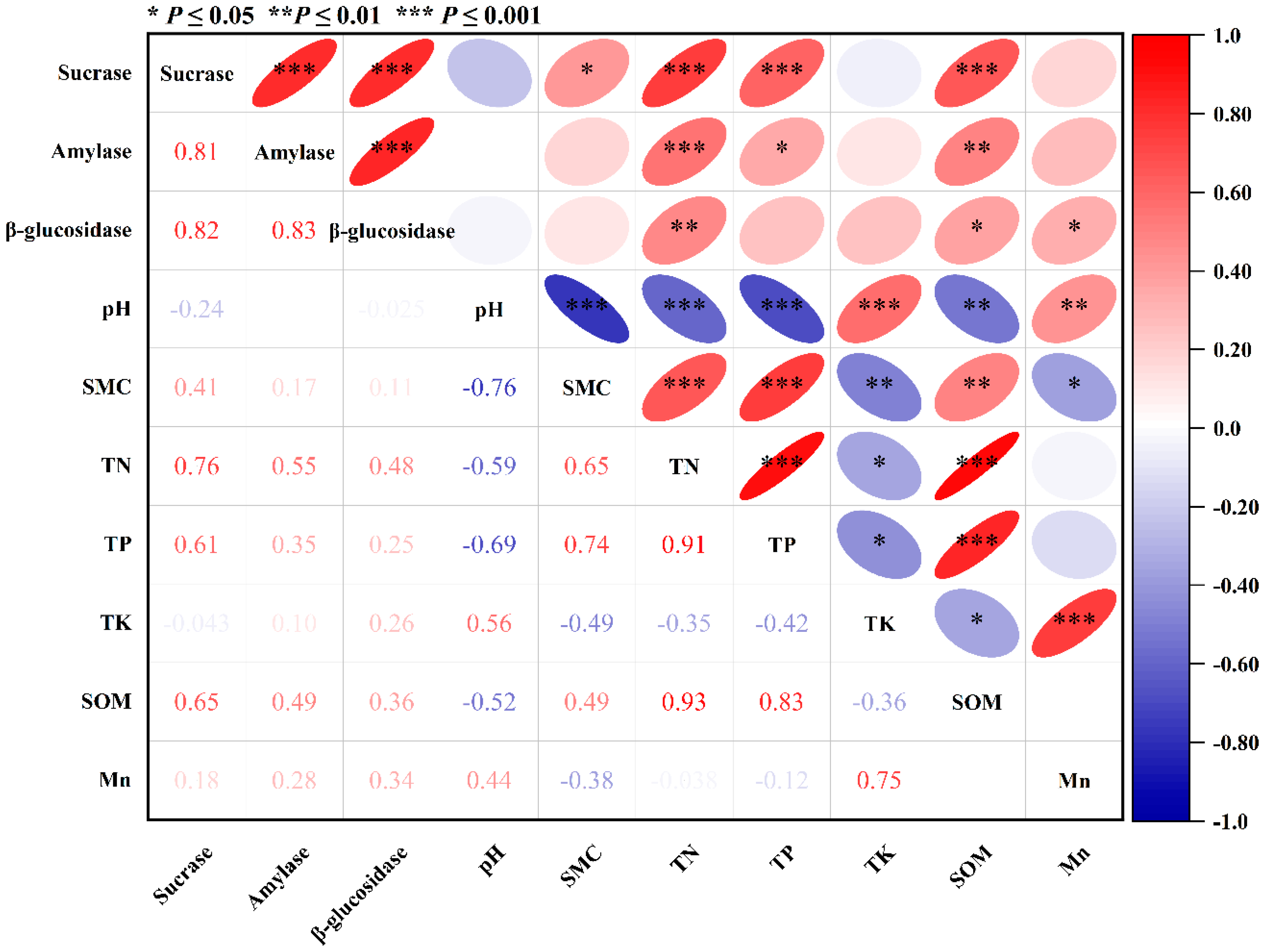
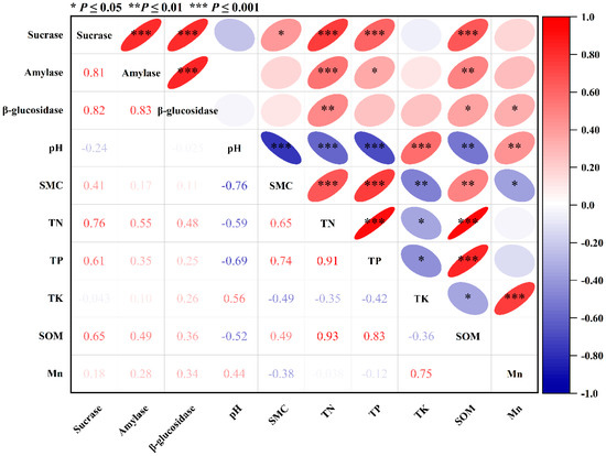
3.1. Eco-Environmental Factors
3.2. Soil Quality Based on Total Dataset Method
3.3. Soil Quality Based on Minimum Dataset Method
3.4. Soil Quality Index Validation
4. Discussion
4.1. Soil Quality and Eco-Environmental Factors
4.2. Soil Quality Evaluation Methods
4.3. Relationship between Intense Rocky Desertification and Karst Shallow Fissures
5. Conclusions
Author Contributions
Funding
Acknowledgments
Conflicts of Interest
References
- Bai, X.Y.; Wang, S.J.; Xiong, K.N. Assessing spatial-temporal evolution processes of karst rocky desertification land: Indications for restoration strategies. Land Degrad. Dev. 2013, 24, 47–56. [Google Scholar] [CrossRef]
- Lan, J. Responses of soil organic carbon components and their sensitivity to karst rocky desertification control measures in Southwest China. J. Soils Sediments 2021, 21, 978–989. [Google Scholar] [CrossRef]
- Ma, T.; Deng, X.; Chen, L.; Xiang, W. The soil properties and their effects on plant diversity in different degrees of rocky desertification. Sci. Total Environ. 2020, 736, 139667. [Google Scholar] [CrossRef] [PubMed]
- Jiang, Z.; Lian, Y.; Qin, X. Rocky desertification in Southwest China: Impacts, causes, and restoration. Earthence Rev. 2014, 132, 1–12. [Google Scholar] [CrossRef]
- Wang, S.J.; Liu, Q.M.; Zhang, D.F. Karst rocky desertification in southwestern China: Geomorphology, landuse, impact and rehabilitation. Land Degrad. Dev. 2004, 15, 115–121. [Google Scholar] [CrossRef]
- Wang, G.; Liu, Y.; Cui, M.; Zhou, Z.; Zhou, J. Effects of secondary succession on soil fungal and bacterial compositions and diversities in a karst area. Plant Soil 2021, 6, 5016–5028. [Google Scholar] [CrossRef]
- Dai, Q.; Peng, X.; Yang, Z.; Zhao, L. Runoff and erosion processes on bare slopes in the Karst Rocky Desertification Area. Catena 2017, 152, 218–226. [Google Scholar] [CrossRef]
- Hartmann, A.; Gleeson, T.; Rosolem, R.; Pianosi, F.; Wagener, T. A simulation model to assess groundwater recharge over Europe’s karst regions. Geosci. Model Dev. Discuss. 2014, 7, 7887–7935. [Google Scholar]
- Peng, J.; Qing, Y.; Ren, X.; Zhang, Y.; Xiong, K.N. Soil erosion monitoring and its implication in a limestone land suffering from rocky desertification in the Huajiang Canyon, Guizhou, Southwest China. Environ. Earth Sci. 2012, 69, 831–841. [Google Scholar] [CrossRef]
- Huang, Q.; Cai, Y.; Xing, X. Rocky Desertification, Antidesertification, and Sustainable Development in the Karst Mountain Region of Southwest China. Ambio 2008, 37, 390–392. [Google Scholar] [CrossRef]
- Zhang, J.Y.; Dai, M.H.; Wang, L.C.; Zeng, C.F.; Su, W.C. The challenge and future of rocky desertification control in Karst areas in Southwest China. Solid Earth Discuss. 2015, 7, 3271–3292. [Google Scholar] [CrossRef]
- Cheng, C.; Gao, M.; Zhang, Y.; Long, M.; Li, X. Effects of disturbance to moss biocrusts on soil nutrients, enzyme activities, and microbial communities in degraded karst landscapes in southwest China. Soil Biol. Biochem. 2021, 152, 108065. [Google Scholar] [CrossRef]
- Ping, Y.; Tang, Y.Q.; Zhou, N.Q.; Wang, J.X.; She, T.Y.; Zhang, X.H. Characteristics of red clay creep in karst caves and loss leakage of soil in the karst rocky desertification area of Puding County, Guizhou, China. Environ. Earth Sci. 2011, 63, 543–549. [Google Scholar]
- Bewket, W.; Teferi, E. Assessment of soil erosion hazard and prioritization for treatment at the watershed level: Case study in the Chemoga watershed, Blue Nile basin, Ethiopia. Land Degrad. Dev. 2010, 20, 609–622. [Google Scholar] [CrossRef]
- Eldridge, D.J.; Reed, S.; Travers, S.K.; Bowker, M.A.; Zhao, Y. The pervasive and multifaceted influence of biocrusts on water in the world’s drylands. Glob. Change Biol. 2020, 26, 6003–6014. [Google Scholar] [CrossRef]
- Karlen, D.; Gardner, J.C.; Rosek, M.J. A Soil Quality Framework for Evaluating the Impact of CRP. J. Prouction Agric. 1988, 11, 50–60. [Google Scholar] [CrossRef]
- Doran, W.J. Defining Soil Quality for a Sustainable Environment. In A Framework for Evaluating Physical and Chemical Indicators of Soil Quality; Soil Science Society of America: Madison, WI, USA, 1994. [Google Scholar]
- Marzaioli, R.; D’Ascoli, R.; Pascale, R.; Rutigliano, F.A. Soil quality in a Mediterranean area of Southern Italy as related to different land use types. Appl. Soil Ecol. 2010, 44, 205–212. [Google Scholar] [CrossRef]
- Bo, S.; Zhou, S.; Zhao, Q. Evaluation of spatial and temporal changes of soil quality based on geostatistical analysis in the hill region of subtropical China. Geoderma 2003, 115, 85–99. [Google Scholar]
- Qi, Y.; Darilek, J.L.; Huang, B.; Zhao, Y.; Sun, W.; Gu, Z. Evaluating soil quality indices in an agricultural region of Jiangsu Province, China. Geoderma 2009, 149, 325–334. [Google Scholar] [CrossRef]
- Gong, W.Z. Assessment and analysis of soil quality changes after eleven years of reclamation in subtropical China. Geoderma 1998, 81, 339–355. [Google Scholar]
- Yang, Y.; Li, P.; Ding, J.; Zhao, X.; Ma, W.; Ji, C.; Fang, J. Increased topsoil carbon stock across China’s forests. Glob Change Biol. 2014, 20, 2687–2696. [Google Scholar] [CrossRef] [PubMed]
- Gao, Q.; Wang, S.; Peng, T.; Peng, H.; Oliver, D.M. Evaluating the structure characteristics of epikarst at a typical peak cluster depression in Guizhou plateau area using ground penetrating radar attributes. Geomorphology 2020, 364, 7015–7026. [Google Scholar] [CrossRef]
- Cheng, Q.; Chen, X.; Tao, M.; Binley, A. Characterization of karst structures using quasi-3D electrical resistivity tomography. Environ. Earth Sci. 2019, 78, 284–297. [Google Scholar] [CrossRef]
- Jie, Z.; Tang, Y.; Ping, Y.; Zhang, X.; Zhou, N.; Wang, J. Inference of creep mechanism in underground soil loss of karst conduits I. Conceptual model. Nat. Hazards 2012, 62, 1191–1215. [Google Scholar]
- State Forestry Administration of the People’s Republic of China. LY/T 1840–2009 Technical Code for Vegetation Restoration in Karst Rocky Desertifification Areas; China Standards Press: Beijing, China, 2011. [Google Scholar]
- Xiong, K.N.; Li, P.; Zhou, Z.F. Remote Sensing of KarstRocky Desertification—A Typical Research of GIS—A Case Study of Guizhou Province; Geology Publishing House: Beijing, China, 2002; pp. 22–28. [Google Scholar]
- Bremner, J.M. Determination of nitrogen in soil by the Kjeldahl method. J. Agric. Sci. 1960, 55, 11–33. [Google Scholar] [CrossRef]
- Pang, P. Determination of Total Phosphorus in Soil by Ammonium Molybdate Spectrophotometry. Chin. J. Spectrosc. Lab. 2003, 20, 697–699. [Google Scholar]
- Wischmeier, W.H. A soil erodibility nomograph for farmland and construction sites. J. Soil Water Conserv. 1971, 26, 189–193. [Google Scholar]
- Magdoff, F.R.; Tabatabai, M.A.; Hanlon, E.; Schulte, E.E.; Hopkins, B.G. Estimation of Soil Organic Matter by Weight Loss-On-Ignition. Soil Org. Matter: Anal. Interpret. 1996, 46, 21–31. [Google Scholar]
- Rahmanipour, F.; Marzaioli, R.; Bahrami, H.A.; Fereidouni, Z.; Bandarabadi, S.R. Assessment of soil quality indices in agricultural lands of Qazvin Province, Iran. Ecol. Indic. 2014, 40, 19–26. [Google Scholar] [CrossRef]
- Mahajan, G.; Das, B.; Morajkar, S.; Desai, A.; Patel, K. Soil quality assessment of coastal salt-affected acid soils of India. Environ. Sci. Pollut. Res. 2020, 27, 26221–26238. [Google Scholar] [CrossRef]
- Zhang, Y.; Xu, X.; Li, Z.; Xu, C.; Luo, W. Improvements in soil quality with vegetation succession in subtropical China karst. Sci. Total Environ. 2021, 775, 145876. [Google Scholar] [CrossRef] [PubMed]
- Fincher, C.E. Defining and Assessing Quality. Academic Standards; Institute of Higher Education, University of Georgia: Athens, Greece, 1994. [Google Scholar]
- Zhao, Q.G.; Huang, G.Q.; Ma, Y.Q. The problems in red soil ecosystem in southern of China and its countermeasures. Acta Ecol. Sin. 2013, 33, 7615–7622. [Google Scholar]
- Zhao, C.; Li-Ping, H.E.; Gui-Xiang, L.I.; Chai, Y.; Shao, J.P. Effect and Assessment of Vegetation Restoration on Soil Quality in Kunyang Phosphorite Mine Area. J. West China For. Sci. 2018, 47, 106–111. [Google Scholar]
- Yan, Y.; Dai, Q.; Wang, X.; Jin, L.; Mei, L. Response of shallow karst fissure soil quality to secondary succession in a degraded karst area of southwestern China. Geoderma 2019, 348, 76–85. [Google Scholar] [CrossRef]
- Liu, J.; Vu, N.H.; Zhen, S.; Zhu, H.; Fei, Z.; Zhong, Z. Characteristics of bulk and rhizosphere soil microbial community in an ancient Platycladus orientalis forest. Appl. Soil Ecol. 2018, 132, 91–98. [Google Scholar] [CrossRef]
- Getahun, G.T.; Ktterer, T.; Munkholm, L.J.; Parvage, M.M.; Kirchmann, H. Short-term effects of loosening and incorporation of straw slurry into the upper subsoil on soil physical properties and crop yield. Soil Tillage Res. 2018, 184, 62–67. [Google Scholar] [CrossRef]
- Askari, M.S.; O’Rourke, S.M.; Holden, N.M. Evaluation of soil quality for agricultural production using visible-near-infrared spectroscopy. Geoderma 2015, 243, 80–91. [Google Scholar]
- Li, Z.W.; Xu, X.L.; Zhu, J.X.; Xu, C.H.; Wang, K.L. Sediment yield is closely related to lithology and landscape properties in heterogeneous karst watersheds-Science Direct. J. Hydrol. 2019, 568, 437–446. [Google Scholar] [CrossRef]
- Wang, S.J.; Li, Y.B. Problems and development trends about researches on karst rocky desertification. Adv. Earth Sci. 2007, 22, 573–582. [Google Scholar]
- Xiao, D.; He, X.; Zhang, W.; Hu, P.; Sun, M.; Wang, K. Comparison of bacterial and fungal diversity and network connectivity in karst and non-karst forests in southwest China. Sci. Total Environ. 2022, 822, 153179–153198. [Google Scholar] [CrossRef]
- Tang, J.; Tang, X.X.; Qin, Y.M.; He, Q.S.; Yi, Y.; Ji, Z.L. Karst rocky desertification progress: Soil calcium as a possible driving force. Sci. Total Environ. 2018, 649, 1250–1259. [Google Scholar] [CrossRef] [PubMed]
- Qi, D.; Xu, W.; Tao, J.; Zhou, X.; Udaya, D. Soil pH Is the Primary Factor Correlating with Soil Microbiome in Karst Rocky Desertification Regions in the Wushan County, Chongqing, China. Front. Microbiol. 2018, 9, 10–27. [Google Scholar] [CrossRef] [PubMed]
- Xiao, D.; Chen, Y.; He, X.Y.; Xu, Z.H.; Bai, S.H.; Zhang, W.; Cheng, M.; Hu, P.L.; Wang, K.L. Temperature and precipitation significantly influence the interactions between arbuscular mycorrhizal fungi and diazotrophs in karst ecosystems. For. Ecol. Manag. 2021, 497, 119464. [Google Scholar] [CrossRef]
- Hu, P.; Zhang, W.; Xiao, L.; Yang, R.; Wang, K. Moss-dominated biological soil crusts modulate soil nitrogen following vegetation restoration in a subtropical karst region. Geoderma 2019, 352, 70–79. [Google Scholar] [CrossRef]
- Bates, S.T.; Iii, T.; Sweat, K.G.; Garcia-Pichel, F. Fungal communities of lichen-dominated biological soil crusts: Diversity, relative microbial biomass, and their relationship to disturbance and crust cover. J. Arid Environ. 2010, 74, 1192–1199. [Google Scholar] [CrossRef]
- Steven, B.; Kuske, C.R.; Gallegos-Graves, L.V.; Reed, S.C.; Belnap, J. Climate Change and Physical Disturbance Manipulations Result in Distinct Biological Soil Crust Communities. Appl. Environ. Microbiol. 2015, 81, 7448–7459. [Google Scholar] [CrossRef]
- Bao, T.; Zhao, Y.; Yang, X.; Ren, W.; Wang, S. Effects of disturbance on soil microbial abundance in biological soil crusts on the Loess Plateau, China. J. Arid. Environ. 2019, 163, 59–67. [Google Scholar] [CrossRef]
- Hui, N.; Sun, N.; Du, H.; Umair, M.; Liu, C. Karst rocky desertification does not erode ectomycorrhizal fungal species richness but alters microbial community structure. Plant Soil 2019, 445, 383–396. [Google Scholar] [CrossRef]
- Wu, Y.Y.; Liu, C.Q.; Li, P.P.; Wang, J.Z.; Xing, D.; Wang, B.L. Photosynthetic characteristics involved in adaptability to Karst soil and alien invasion of paper mulberry (Broussonetia papyrifera (L.) Vent.) in comparison with mulberry (Morus alba L.). Photosynthetica 2009, 47, 155–160. [Google Scholar] [CrossRef]
- Yu, Y.F.; Peng, W.X.; Song, T.Q.; Zeng, F.P.; Fan, F.J. Stoichiometric characteristics of plant and soil C, N and P in different forest types in depressions between karst hills, southwest China. Chin. J. Appl. Ecol. 2014, 25, 947–954. [Google Scholar]
- Yu, P.; Liu, S.; Zhang, L.; Li, Q.; Zhou, D. Selecting the minimum data set and quantitative soil quality indexing of alkaline soils under different land uses in northeastern China. Sci. Total Environ. 2018, 564, 616–617. [Google Scholar] [CrossRef] [PubMed]
- Mukhopadhyay, S.; Masto, R.E.; Yadav, A.; George, J.; Ram, L.C.; Shukla, S.P. Soil quality index for evaluation of reclaimed coal mine spoil. Sci. Total Environ. 2016, 542, 540–550. [Google Scholar] [CrossRef] [PubMed]
- Nabiollahi, K.; Golmohamadi, F.; Taghizadeh-Mehrjardi, R.; Kerry, R.; Davari, M. Assessing the effects of slope gradient and land use change on soil quality degradation through digital mapping of soil quality indices and soil loss rate. Geoderma 2018, 318, 16–28. [Google Scholar] [CrossRef]
- Walkley, A.J.; Black, I.A. An Examination of the Degtjareff Method for Determining Soil Organic Matter, and A Proposed Modification of the Chromic Acid Titration Method. Soil Sci. 1934, 37, 29–38. [Google Scholar] [CrossRef]
- Garca-Gil, J.C.; Plaza, C.; Soler-Rovira, P.; Polo, A. Long-term effects of municipal solid waste compost application on soil enzyme activities and microbial biomass. Soil Biol. Biochem. 2000, 32, 1907–1913. [Google Scholar] [CrossRef]
- Sumeriya, H.K.; Singh, P.; Kaushik, M.K. Effect of in situ soil moisture conservation practices and its interaction with nutrients in yield, quality and economics of sorghum [Sorghum bicolor (L.) moench]. Ann. Agri. Bio. Res. 2013, 19, 234–238. [Google Scholar]
- Davidson, E.A.; Belk, E.; Boone, R.D. Soil water content and temperature as independent or confounded factors controlling soil respiration in a temperate mixed hardwood forest. Glob. Change Biol. 1998, 4, 217–227. [Google Scholar] [CrossRef]
- Hikosaka, K. Interspecific difference in the photosynthesis-nitrogen relationship: Patterns, physiological causes, and ecological importance. J. Plant Res. 2004, 117, 481–494. [Google Scholar] [CrossRef]
- Jiao, F.; Wen, Z.M.; An, S.S. Changes in soil properties across a chronosequence of vegetation restoration on the Loess Plateau of China. Catena 2011, 86, 110–116. [Google Scholar] [CrossRef]
- Nyeck, B.; Yemefack, M.; Ngo-Mbogba, M. Assessing soil quality under different land cover types within shifting agriculture in South Cameroon. Soil Tillage Res. 2015, 150, 124–131. [Google Scholar]
- Ying, B.; Xiong, K.; Wang, Q.; Wu, Q. Can agricultural biomass energy provide an alternative energy source for karst rocky desertification areas in Southwestern China? Investigating Guizhou Province as example. Environ. Sci. Pollut. Res. 2021, 28, 44315–44331. [Google Scholar] [CrossRef] [PubMed]
- Chen, F.; Zhou, D.; Bai, X.; Zeng, C.; Xiao, J.; Qian, Q.; Luo, G. Responses of soil physical and chemical properties to karst rocky desertification evolution in typical karst valley area. IOP Conf. Ser. Earth Environ. Sci. 2018, 108, 032012. [Google Scholar] [CrossRef]
- Cao, Z.; Zhang, K.; He, J.; Yang, Z.; Zhou, Z. Linking rocky desertification to soil erosion by investigating changes in soil magnetic susceptibility profiles on karst slopes. Geoderma 2021, 389, 114949. [Google Scholar] [CrossRef]
- Zheng, W.; Rao, C.J.; Wu, Q.; Wang, E.W.; Jiang, X.J.; Xu, Y.C.; Hu, L.; Chen, Y.Z.; Liang, X.C.; Yan, W.D. Changes in the soil labile organic carbon fractions following bedrock exposure in a karst context. Forests 2022, 13, 516. [Google Scholar] [CrossRef]
- Nie, Y.P.; Chen, H.S.; Wang, K.L.; Tan, W.; Deng, P.Y.; Yang, J. Seasonal water use patterns of woody species growing on the continuous dolostone outcrops and nearby thin soils in subtropical China. Plant Soil 2011, 341, 399–412. [Google Scholar] [CrossRef]
- Xie, L.W.; Zhong, J.; Chen, F.F.; Cao, F.X.; Li, J.J.; Wu, L.C. Evaluation of soil fertility in the succession of karst rocky desertification using principal component analysis. Solid Earth 2015, 6, 515–524. [Google Scholar] [CrossRef]
- Lu, X.; Toda, H.; Ding, F.; Fang, S.; Xu, H. Effect of vegetation types on chemical and biological properties of soils of karst ecosystems. Eur. J. Soil Biol. 2014, 61, 49–57. [Google Scholar] [CrossRef]








| Rocky Desertification Grade | 0.2 km2 Bare Rock Rate (%) | 0.2 km2 Vegetation + Soil Coverage | Degree of Soil Erosion | Vegetation Characteristics | Average Soil Depth |
|---|---|---|---|---|---|
| NRD | 20–30 | 70–80 | not obvious | dominated by rocky and xerophytic shrubs | shallow |
| LRD | 31–50 | 50–69 | relatively obvious | sparse shrub and grass | shallow |
| MRD | 51–70 | 30–49 | obvious | low structure, coverage and biomass are relatively stable | shallow |
| IRD | 71–90 | 10–29 | strong | mainly shrub grass of low structure | shallow |
| Plot Type | SD | Slope/° | Altitude/m | RER/% | VC/% | Interference Conditions |
|---|---|---|---|---|---|---|
| NRD | Northeast | 23 | 1300–1305 | 26 | 92 | Wasteland, without interference |
| LRD | Northeast | 20 | 1202–1225 | 42 | 79 | Wasteland, without interference |
| MRD | Northeast | 20 | 1162–1289 | 66 | 58 | Light human disturbance |
| IRD | Northeast | 16 | 1158–1160 | 85 | 20 | Intense human disturbance |
| TDS | PC 1 | PC 2 | PC 3 |
|---|---|---|---|
| Sucrase | 0.125 | 0.941 | −0.248 |
| Amylase | −0.463 | 0.502 | −0.715 |
| β-glucosidase | 0.897 | 0.149 | −0.315 |
| pH | 0.940 | −0.315 | −0.033 |
| SMC | 0.600 | 0.330 | 0.650 |
| TN | 0.961 | 0.246 | 0.065 |
| TP | 0.949 | 0.276 | 0.084 |
| TK | −0.851 | 0.277 | 0.193 |
| SOM | 0.987 | 0.084 | −0.092 |
| Mn | −0.463 | 0.575 | 0.572 |
| Indicator | TDS | MDS | |||
|---|---|---|---|---|---|
| COM | Weight | COM | Weight | Norm Value | |
| Sucrase | 0.963 | 0.102 | 0.923 | 0.331 | 1.37 |
| Amylase | 0.977 | 0.104 | 0.911 | 0.327 | 1.59 |
| β-glucosidase | 0.926 | 0.098 | 2.24 | ||
| pH | 0.983 | 0.104 | 2.36 | ||
| SMC | 0.892 | 0.095 | 1.73 | ||
| TN | 0.988 | 0.105 | 2.38 | ||
| TP | 0.985 | 0.105 | 2.36 | ||
| TK | 0.839 | 0.089 | 2.14 | ||
| SOM | 0.989 | 0.105 | 0.955 | 0.342 | 2.43 |
| Mn | 0.871 | 0.093 | 1.55 |
| Soil Quality Index | Change Range | Mean | Standard Deviation | Coefficient of Variation/% | Proportion of Sample Plots/% | |||
|---|---|---|---|---|---|---|---|---|
| Excellent (0.8–1.0) | Good (0.6–0.8) | Medium (0.4–0.6) | Poor (0–0.4) | |||||
| SQI-NL | 0.214–0.709 | 0.466 | 0.143 | 30.69 | 0 | 27.78 | 30.56 | 41.67 |
| SQI-L | 0.124–0.782 | 0.425 | 0.191 | 44.94 | 2.78 | 22.22 | 22.22 | 52.78 |
| SQI-SSF | 0.211–0.823 | 0.483 | 0.172 | 35.61 | 5.56 | 30.56 | 25.00 | 38.89 |
Publisher’s Note: MDPI stays neutral with regard to jurisdictional claims in published maps and institutional affiliations. |
© 2022 by the authors. Licensee MDPI, Basel, Switzerland. This article is an open access article distributed under the terms and conditions of the Creative Commons Attribution (CC BY) license (https://creativecommons.org/licenses/by/4.0/).
Share and Cite
Wu, Q.; Zheng, W.; Rao, C.; Wang, E.; Yan, W. Soil Quality Assessment and Management in Karst Rocky Desertification Ecosystem of Southwest China. Forests 2022, 13, 1513. https://doi.org/10.3390/f13091513
Wu Q, Zheng W, Rao C, Wang E, Yan W. Soil Quality Assessment and Management in Karst Rocky Desertification Ecosystem of Southwest China. Forests. 2022; 13(9):1513. https://doi.org/10.3390/f13091513
Chicago/Turabian StyleWu, Qian, Wei Zheng, Chengjiao Rao, Enwen Wang, and Wende Yan. 2022. "Soil Quality Assessment and Management in Karst Rocky Desertification Ecosystem of Southwest China" Forests 13, no. 9: 1513. https://doi.org/10.3390/f13091513
APA StyleWu, Q., Zheng, W., Rao, C., Wang, E., & Yan, W. (2022). Soil Quality Assessment and Management in Karst Rocky Desertification Ecosystem of Southwest China. Forests, 13(9), 1513. https://doi.org/10.3390/f13091513

