Management of Recreational Forests in the Romanian Carpathians
Abstract
:1. Introduction
2. Materials and Methods
2.1. Study Area
2.2. Field Measurements
- Mixed spruce–fir forest with herbaceous mull plants: 40%–50% Pa, 30%–40% Aa, 10%–20% Fs, App, and Ap;
- Fir forest with herbaceous mull plants: 70%–80% Aa, 10%–20% Fs, 10% App and Ap;
- Mixed beech–fir stands: 50%–60% Aa, 30%–40% Fs, 10% App, Ap, and Fe;
- Mixed beech–spruce–fir forest: 30%–40% Pa, 30%–40% Aa, 30% Fs and App; and
- Beech forest with herbaceous mull plants: 70%–80% Fs, 10%–20% Aa, 10% App, Ap, Fe and Pra
- (Aa—Abies alba Mill.; Ap—Acer platanoides L.; App—Acer pseudoplatanus L.; Fe—Fraxinus excelsior L.; Fs—Fagus sylvatica L.; Pa—Picea abies Karst.; Pra—Prunus avium L.)
2.3. Data Analysis
3. Results
3.1. Stand Structure and Forest Composition
3.1.1. Target Composition
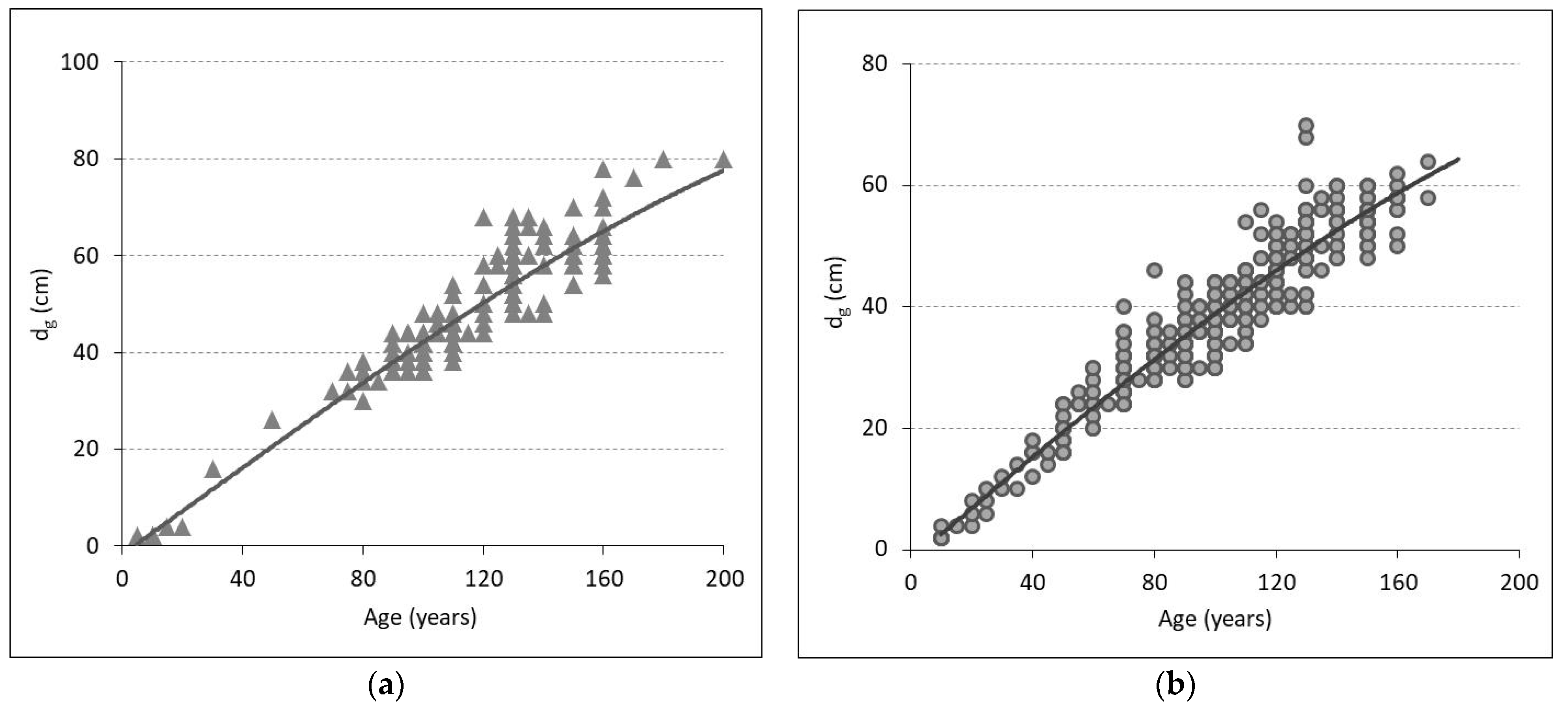
3.1.2. Tree Dimensions for Exploitability
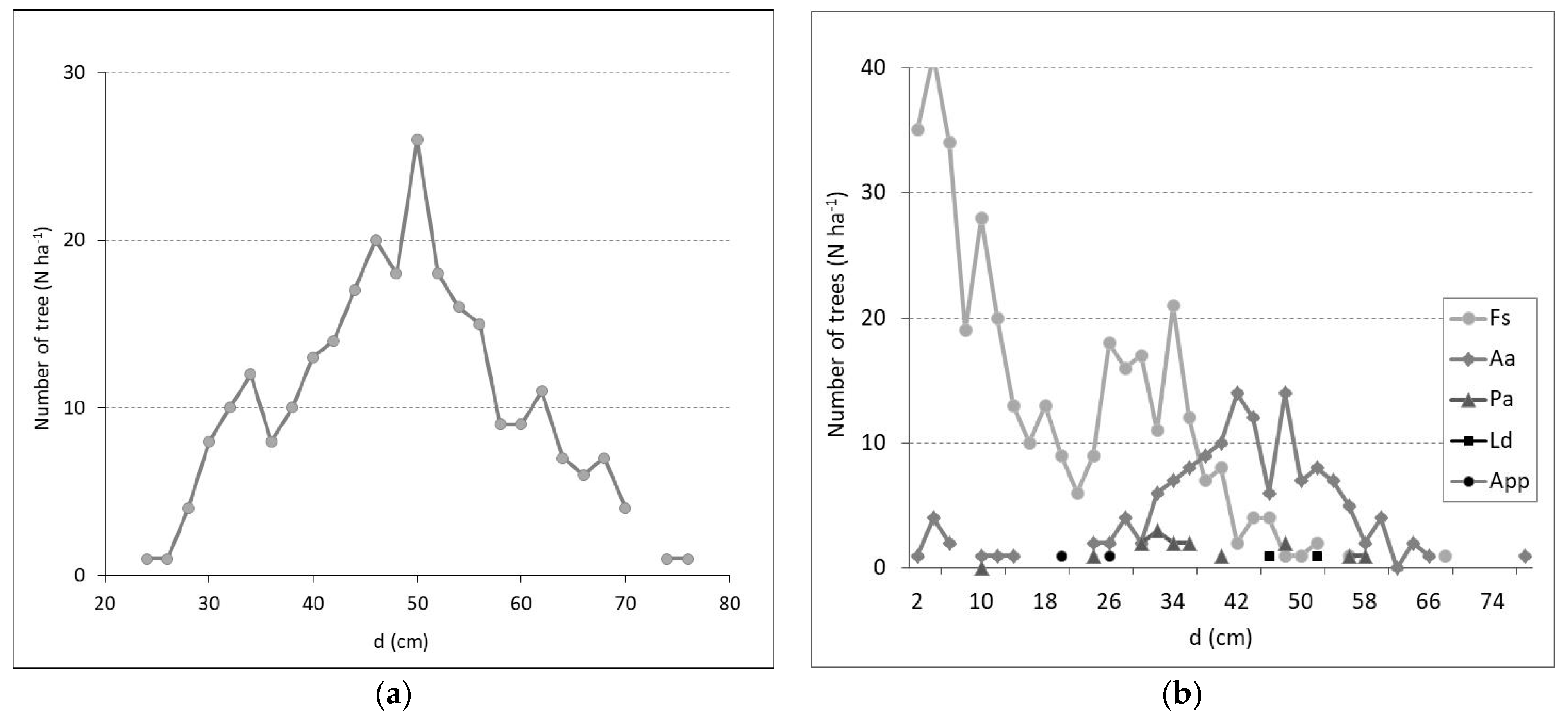
3.1.3. Vertical Stand and Forest Structures
3.2. Structural and Species Diversity

| Stand | (a) | (b) | (c) |
|---|---|---|---|
| Basal area (m2 ha−1) | 34.6 | 52.0 | 36.0 |
| Age limits (years) | 90–120 | 110–150 | 90–120 |
| H index | |||
| H1 (E) | 0.77(48) | 0.67 (97) | 1.05 (76) |
| H2 (E) | 0.77 (48) | 0 (0) | 0.87 (79) |
| H3 (E) | 0.31 (45) | 0.31 (45) | 0.21 (31) |
| H4 (E) | 0.77 (48) | 0.67 (97) | 1.06 (76) |
| H5 (E) | 0.77 (48) | 0.67 (97) | 1.06 (76) |
3.3. Management Decisions
4. Discussion
4.1. Structural Diversity
4.2. Management Planning of Recreational Forests
5. Conclusions
Author Contributions
Funding
Data Availability Statement
Acknowledgments
Conflicts of Interest
References
- Fredman, P.; Romild, U.; Yuan, M.; Wolf-Watz, D. Latent demand and time contextual constraints to outdoor recreation in Sweden. Forests 2012, 3, 1. [Google Scholar] [CrossRef]
- Bötsch, Y.; Tablado, Z.; Scherl, D.; Kéry, M.; Graf, R.F.; Jenni, L. Effect of recreational trails on forest birds: Human presence matters. Front. Ecol. Evol. 2018, 6, 175. [Google Scholar] [CrossRef]
- De Meo, I.; Paletto, A.; Cantiani, M.G. The attractiveness of forests: Preferences and perceptions in a mountain community in Italy. Ann. For. Res. 2015, 58, 145–156. [Google Scholar] [CrossRef]
- Blattert, C.; Lemm, R.; Thees, O.; Lexer, M.J.; Hanewinkel, M. Management of ecosystem services in mountain forests: Review of indicators and value functions for model based multi-criteria decision analysis. Ecol. Indic. 2017, 79, 391–409. [Google Scholar] [CrossRef]
- Dudek, T. Recreational potential as an indicator of accessibility control in protected mountain forest areas. J. Mt. Sci. 2017, 14, 1419–1427. [Google Scholar] [CrossRef]
- Sievänen, T. Recreation: Inventory, monitoring and management. In Encyclopedia of Forest Sciences; Burley, J., Evans, J., Youngquist, J.A., Eds.; Elsevier: Amsterdam, The Netherlands, 2004; pp. 958–964. [Google Scholar] [CrossRef]
- Ciobotaru, A.-M.; Patel, N.; Pintilii, R.-D. Tree cover loss in the Mediterranean region—An increasingly serious environmental issue. Forests 2021, 12, 1341. [Google Scholar] [CrossRef]
- Kim, D.; Avenzora, R.; Lee, J.H. Exploring the outdoor recreational behavior and new environmental paradigm among urban forest visitors in Korea, Taiwan and Indonesia. Forests 2021, 12, 1651. [Google Scholar] [CrossRef]
- Gundersen, V.S.; Frivold, L.H. Public preferences for forest structures: A review of quantitative surveys from Finland, Norway and Sweden. Urban For. Urban Green. 2008, 7, 241–258. [Google Scholar] [CrossRef]
- Edwards, D.M.; Jay, M.; Jensen, F.S.; Lucas, B.; Marzano, M.; Montagné, C.; Weiss, G. Public preferences across Europe for different forest stand types as sites for recreation. Ecol. Soc. 2012, 17, 22. [Google Scholar] [CrossRef] [Green Version]
- Filyushkina, A.; Agimass, F.; Lundhede, T.; Strange, N.; Jacobsen, J.B. Preferences for variation in forest characteristics: Does diversity between stands matter? Ecol. Econ. 2017, 140, 22–29. [Google Scholar] [CrossRef]
- Nigussie, S.; Liu, L.; Yeshitela, K. Indicator development for assessing recreational ecosystem service capacity of urban green spaces–A participatory approach. Ecol. Indic. 2021, 121, 107026. [Google Scholar] [CrossRef]
- Sergiacomi, C.; Vuletić, D.; Paletto, A.; Barbierato, E.; Fagarazzi, C. Exploring National Park Visitors’ Judgements from Social Media: The Case Study of Plitvice Lakes National Park. Forests 2022, 13, 717. [Google Scholar]
- La Rosa, D.; Spyra, M.; Inostroza, M. Indicators of Cultural Ecosystem Services for urban planning: A review. Ecol. Indic. 2016, 61, 74–89. [Google Scholar] [CrossRef]
- Pleasant, M.M.; Gray, S.A.; Fernandes, A.; Hunter, N.; Ford, D. Managing cultural ecosystem services. Ecosyst. Serv. 2014, 8, 141–147. [Google Scholar]
- Jurmalis, E.; Libiete, Z. Developing a framework for characterizing recreational potential of forest areas using weighted criteria analysis. In Research for Rural Development, Proceeding of the Annual 25th International Scientific Conference, Jelgava, Latvia, 15–17 May 2019; Latvia University of Life Sciences and Technologies: Jelgava, Latvia; pp. 89–94. [CrossRef]
- Oftedal, A.; Davenport, M.; Schneider, I.E.; Zerger, C.; Schreurs, B.; Vogel, M. An Ecosystem Approach to Recreation Location Quotients. Forests 2011, 2, 993–1012. [Google Scholar] [CrossRef]
- Abildtrup, J.; Garcia, S.; Olsen, S.B.; Stenger, A. Spatial preference heterogeneity in forest recreation. Ecol. Econ. 2013, 92, 67–77. [Google Scholar] [CrossRef]
- Termansen, M.; Zandersen, M.; McClean, C.J. Spatial substitution patterns in forest recreation. Reg. Sci. Urban Econ. 2008, 38, 81–97. [Google Scholar] [CrossRef]
- Felton, A.; Felton, A.M.; Wam, H.K.; Witzell, J.; Wallgren, M.; Löf, M.; Sonesson, J.; Lindbladh, M.; Björkman, C.; Blennow, K.; et al. Forest biodiversity and ecosystem services from spruce-birch mixtures: The potential importance of tree spatial arrangement. Environ. Chall. 2022, 6, 100407. [Google Scholar] [CrossRef]
- Pach, M.; Sansone, D.; Ponette, Q.; Barreiro, S.; Mason, B.; Bravo-Oviedo, A.; Löf, M.; Bravo, F.; Pretzsch, H.; Lesi´nski, J.; et al. Silviculture of mixed forests: A European Overview of Current Practices and Challenges. In Managing Forest Ecosystems: The Challenge of Climate Change; Springer International Publishing: Cham, Switzerland, 2018; Volume 31, pp. 185–253. [Google Scholar]
- Battles, J.J.; Shlisky, A.J.; Barrett, R.H.; Heald, R.C.; Allen-Diaz, B.H. The effects of forest management on plant species diversity in a Sierran conifer forest. For. Ecol. Manag. 2001, 146, 211–222. [Google Scholar] [CrossRef]
- Decocq, G.; Aubert, M.; Dupont, F.; Alard, D.; Saguez, R.; Wattez-Franger, A.; De-Foucalt, B.; Delelis-Dusollier, A.; Bardat, J. Plant diversity in a managed temperate deciduous forest: Understorey response to two silvicultural systems. J. Appl. Ecol. 2004, 41, 1065–1079. [Google Scholar]
- Heyman, E. Analysing recreational values and management effects in an urban forest with the visitor-employed photography method. Urban For. Urban Green. 2012, 11, 267–277. [Google Scholar] [CrossRef]
- Jiang, B.; Sun, C.; Mu, S.; Zhao, Z.; Chen, Y.; Lin, Y.; Qiu, L.; Gao, T. Differences in Airborne Particulate Matter Concentration in Urban Green Spaces with Different Spatial Structures in Xi’an. China. Forests 2022, 13, 14. [Google Scholar] [CrossRef]
- Hoppa, A.; Sikorska, D.; Przybysz, A.; Melon, M.; Sikorski, P. The Role of Trees in Winter Air Purification on Children’s Routes to School. Forests 2022, 13, 40. [Google Scholar] [CrossRef]
- Mundher, R.; Abu Bakar, S.; Maulan, S.; Mohd Yusof, M.J.; Al-Sharaa, A.; Aziz, A.; Gao, H. Aesthetic Quality Assessment of Landscapes as a Model for Urban Forest Areas: A Systematic Literature Review. Forests 2022, 13, 991. [Google Scholar] [CrossRef]
- Kinho, J.; Arini, D.I.D.; Abdulah, L.; Susanti, R.; Irawan, A.; Yulianti, M.; Subarudi, S.; Imanuddin, R.; Wardani, M.; Denny, D.; et al. Habitat Characteristics of Magnolia Based on Spatial Analysis: Landscape Protection to Conserve Endemic and Endangered Magnolia sulawesiana Brambach, Noot., and Culmsee. Forests 2022, 13, 802. [Google Scholar] [CrossRef]
- Grebner, D.L.; Bettinger, P.; Siry, J.P. Introduction to Forestry and Natural Resources; Academic Press: Cambridge, MA, USA, 2014; pp. 173–197. [Google Scholar]
- Aikoh, T.; Abe, R.; Kohsaka, R.; Iwata, M.; Shoji, Y. Factors Influencing Visitors to Suburban Open Space Areas near a Northern Japanese City. Forests 2012, 3, 155–165. [Google Scholar] [CrossRef]
- Komossa, F.; van der Zanden, E.H.; Schulp, C.J.; Verburg, P.H. Mapping landscape potential for outdoor recreation using different archetypical recreation user groups in the European Union. Ecol. Indic. 2018, 85, 105–116. [Google Scholar] [CrossRef]
- Pătrășcoiu, N.; Dima, V.; Teodoreanu, E.; Gherbanovski, E. Cercetări Privind Influenţa Structurii Arboretelor Asupra Funcţiilor de Interes Social in Structuri Optime pentru Păduri cu Funcţii de Protecţie; I.C.A.S.: Bucureşti, Romania, 1981; pp. 67–89. [Google Scholar]
- Ahtikoski, A.; Tuulentie, S.; Hallikainen, V.; Nivala, V.; Vatanen, E.; Tyrväinen, L.; Salminen, H. Potential trade-offs between nature-based tourism and forestry, a case study in Northern Finland. Forests 2011, 2, 894–912. [Google Scholar] [CrossRef]
- Tudoran, G.-M.; Cicșa, A.; Boroeanu, M.; Dobre, A.-C.; Pascu, I.-S. Forest Dynamics after Five Decades of Management in the Romanian Carpathians. Forests 2021, 12, 783. [Google Scholar] [CrossRef]
- Tudoran, G.M.; Zotta, M. Adapting the planning and management of Norway spruce forests in mountain areas of Romania to environmental conditions including climate change. Sci. Total Environ. 2020, 698, 133761. [Google Scholar] [CrossRef]
- Shannon, C.E.; Weaver, W. The Mathematical Theory of Communication; The University of Illinois Press: Urbana, IL, USA, 1949; pp. 1–117. [Google Scholar]
- Pretzsch, H. Transitioning monocultures to complex forest stands in Central Europe: Principles and practice. In Achieving Sustainable Management of Boreal and Temperate Forests; Burleigh Dodds Science Publishing: Cambridge, UK, 2019; pp. 355–396. [Google Scholar]
- Rucăreanu, N.; Leahu, I. Amenajarea Pădurilor; Editura Ceres: Bucureşti, Rmania, 1982; pp. 356–450. [Google Scholar]
- Leahu, I. Amenajarea Pădurilor; Editura Didactică şi Pedagogică: Bucureşti, Romania, 2001; pp. 436–498. [Google Scholar]
- Kellomäki, S. Recreational potential of a forest stand. Silva Fenn. 1978, 12, 5001. [Google Scholar] [CrossRef]
- Polyakov, M.; Majumdar, I.; Teeter, L. Spatial and temporal analysis of the anthropogenic effects on local diversity of forest trees. For. Ecol. Manag. 2008, 255, 1379–1387. [Google Scholar] [CrossRef]
- Pretzsch, H. Forest Dynamics, Growth and Yield; Springer: Berlin, Germany, 2009; pp. 225–328. [Google Scholar]
- Marchi, M.; Paletto, A.; Cantiani, P.; Bianchetto, E.; De Meo, I. Comparing thinning system effects on ecosystem services provision in artificial black pine (Pinus nigra JF Arnold) forests. Forests 2018, 9, 188. [Google Scholar] [CrossRef]
- Ćosović, M.; Bugalho, M.N.; Thom, D.; Borges, J.G. Stand Structural Characteristics Are the Most Practical Biodiversity Indicators for Forest Management Planning in Europe. Forests 2020, 11, 343. [Google Scholar] [CrossRef]
- Hruza, P.; Pelikán, P.; Olišarová, L. Single-Track Bike Trails in the Moravian Karst as Part of Forest Recreation. Forests 2021, 12, 1601. [Google Scholar] [CrossRef]








| Species | Coefficients | Parameter | Std. Error |
|---|---|---|---|
| Fir | a | −1.66 × 10−6 | 4.13 × 10−6 |
| b | 7.73 × 10−5 | 0.001192 | |
| c | 0.4478 | 0.100443 | |
| d | −1.78391 | 2.600612 | |
| Beech | a | −2.65 × 10−6 | 2.82 × 10−6 |
| b | 0.000199 | 0.000776 | |
| c | 0.409387 | 0.065054 | |
| d | −1.33947 | 1.672826 |
| Canopy Layer | Proportion of Species (% of Basal Area) | Basal Area (m2 ha−1) | Growing Stock (m3 ha−1) | Age (Years) | dg (cm) | hg (m) | hp (m) |
|---|---|---|---|---|---|---|---|
| Understorey | 45% Fs, 20% Cb, 13% Pn, 5% Pa, 4% App, 3% Ld, 6% Aa, 8% other species | 0.74 (Pn)–15.62 (Pa) | 7 (Ld)–72.7 (Pa) | 5 (Aa)–95 (Cb) | 2 (Aa)–24 (Pn) | 2 (Aa)–12 (Pa) | 0 (Aa)–5 (Fs) |
| Total | 3 | 10.7 | 47.4 | 33 | 11.5 | 8.3 | 1.5 |
| Midstorey | 49% Fs, 11% Cb, 10% Qp, 7% Pa, 6% Ps, 3% Fe, 14% other species | 14.94 (Cb)–39.48 (Pa) | 144.8 (Cb)–374.1 (Aa) | 30 (Aa)–160 (Qp) | 14.0 (Cb)–60 (Qp) | 13 (Aa)–24 (Pa) | 0 (Aa)–16 (Pa) |
| Total | 25 | 23.97 | 244.8 | 89 | 29.7 | 20.4 | 10 |
| Overstorey | 48% Fs, 21% Aa, 20% Pa, 4% Ps, 2% Ld, 2% Pn, 1% Qp, 2% other species | 21.57 (Qp)–39.14 (Pa) | 301.6 (Qp)–482.8 (Aa) | 70 (Aa)–200 (Pa) | 32.0 (Fs)–84.0 (Pa) | 25 (Aa)–36 (Pa) | 8 (Ps)–24 (Pa) |
| Total | 72 | 30.5 | 348.5 | 118 | 49.0 | 29.0 | 17.2 |
| Shannon Index | H1 (age-sp.) | H2 (sp.) | H3 (age) | H4 (dg) | H5 (hg) |
|---|---|---|---|---|---|
| General (management-unit) level | |||||
| Value | 4.19 | 1.63 | 2.76 | 3.17 | 2.76 |
| Evenness (%) | 76 | 51 | 78 | 85 | 76 |
| Frequency of the variable | 257 | 25 | 35 | 41 | 34 |
| Stand level | |||||
| Maximum value | 1.85 | 1.54 | 1.50 | 1.72 | 1.72 |
| Evenness (%) | 95 | 95 | 93 | 96 | 96 |
| Frequency | 7 | 5 | 3 | 6 | 6 |
| Index | Proportion of Maximum Mean Height (hg) of the Stands (%) | |||||
|---|---|---|---|---|---|---|
| 0–33 | 34–66 | 67–100 | 0–50 | 51–80 | 81–100 | |
| H2 | 1.85 | 2.0 | 2.15 | 2.13 | 2.1 | 1.64 |
| E | 77 | 80 | 86 | 81 | 78 | 66 |
| Function Intensity of the Recreation Area | High-Intensity Area | Area of Moderate to Low Intensity |
|---|---|---|
| 1. Management goals | Protection (recreation, soil, water, and biodiversity conservation) | Protection and production (timber, valuable timber—veneer, resonance) |
| 2. Type of stand structure | Various structures with aesthetic effects (H index: at stand level: H2 > 1.5; H3, H4 and H5 > 0.3; E > 40 at level forest: H2 > 1.5; H3, H4 and H5 > 0.3; E > 40) | Multi-aged and uneven-aged structures (H index: at stand level: H2, H3, H4 and H5 > 0.7; E > 70 at forest level: H2, H3, H4 and H5 > 2.5; E > 70) |
| 3. Silvicultural system | Cuttings to maintain the functional structure of the stands and the aesthetic effects of trees Tending operations | Selection system (cuttings of transformation to selection system) Group shelterwood system with regeneration period of 40–60 years (in mixed beech–coniferous stands and beech stands) Tending operations |
| 4. Method of regeneration | Natural regeneration ± artificial regeneration by planting | Natural regeneration |
| 5. Felling age of stands (cycle for forest) (years) Rotation (years)/target diameter (cm) | - 10/- | 110–130: spruce stands 120–140: mixed beech–coniferous stands and beech stands 150–180 (200) (for valuable timber: veneer and resonance) 10/60–100 (Pa and Aa); 60–90 (Fs) |
| 6. Target composition | Forest type composition ± mixtures of species (with aesthetic qualities) to the site adapted | Forest type composition |
| 7. Structure by age classes | - | Even distribution of stands of different ages (mosaic of stands of different ages) (in silvicultural system age class forest) |
| 8. Future structure: by age classes by diameter classes | - | Normal distribution by age classes (in silvicultural system age class forest) Normal distribution by diameter class (in selection system) |
Publisher’s Note: MDPI stays neutral with regard to jurisdictional claims in published maps and institutional affiliations. |
© 2022 by the authors. Licensee MDPI, Basel, Switzerland. This article is an open access article distributed under the terms and conditions of the Creative Commons Attribution (CC BY) license (https://creativecommons.org/licenses/by/4.0/).
Share and Cite
Tudoran, G.-M.; Cicșa, A.; Cicșa, M.; Dobre, A.-C. Management of Recreational Forests in the Romanian Carpathians. Forests 2022, 13, 1369. https://doi.org/10.3390/f13091369
Tudoran G-M, Cicșa A, Cicșa M, Dobre A-C. Management of Recreational Forests in the Romanian Carpathians. Forests. 2022; 13(9):1369. https://doi.org/10.3390/f13091369
Chicago/Turabian StyleTudoran, Gheorghe-Marian, Avram Cicșa, Maria Cicșa (Boroeanu), and Alexandru-Claudiu Dobre. 2022. "Management of Recreational Forests in the Romanian Carpathians" Forests 13, no. 9: 1369. https://doi.org/10.3390/f13091369
APA StyleTudoran, G.-M., Cicșa, A., Cicșa, M., & Dobre, A.-C. (2022). Management of Recreational Forests in the Romanian Carpathians. Forests, 13(9), 1369. https://doi.org/10.3390/f13091369

