Effects of Litter Input on Temperature Sensitivity of Soil Organic Carbon Mineralization along a Forest Elevation Gradient
Abstract
:1. Introduction
2. Materials and Methods
2.1. Site Description and Soil Sampling
2.2. Experimental Design and Soil Incubation
2.3. Determination of Soil Physical and Chemical Properties
2.4. 13C labeled Litter Preparation
2.5. Partitioning CO2 Sources and Q10 Calculations
2.6. PLFA Analysis
2.7. Enzyme Kinetics
2.8. Statistical Analysis
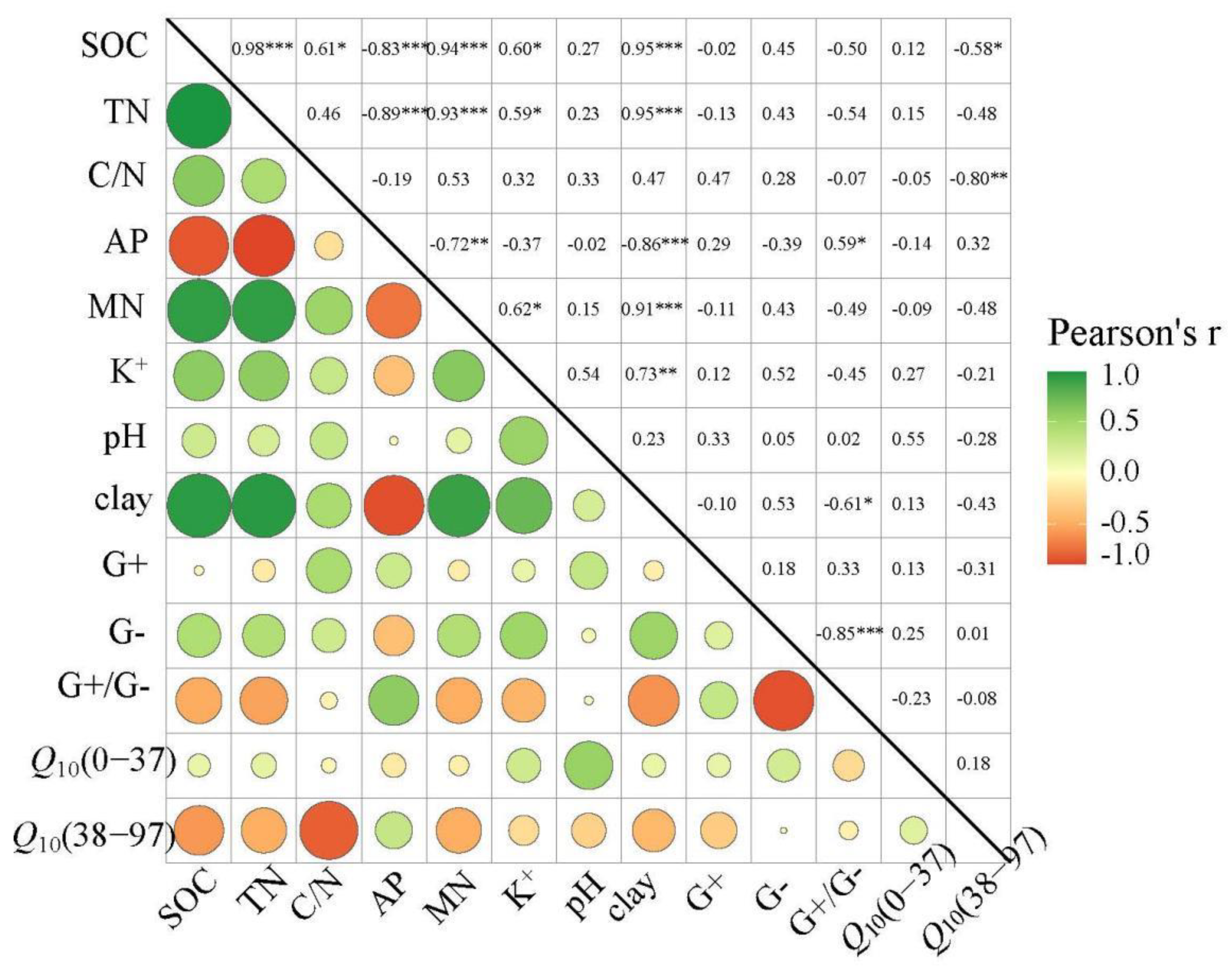
3. Results
3.1. Soil Environmental Conditions at Different Elevations
3.2. The Influence of Elevations on Q10
3.3. The Influence of Litter Input on Q10 at Different Elevations
4. Discussion
4.1. Q10 Response to Elevations
4.2. Q10 Response to Litter Input with Different Elevations
5. Conclusions
Author Contributions
Funding
Institutional Review Board Statement
Informed Consent Statement
Data Availability Statement
Acknowledgments
Conflicts of Interest
References
- Bond-Lamberty, B.; Thomson, A. Temperature-associated increases in the global soil respiration record. Nature 2010, 464, 579–582. [Google Scholar] [CrossRef] [PubMed]
- Liu, Y.; He, N.; Zhu, J.; Xu, L.; Wen, X. Regional variation in the temperature sensitivity of soil organic matter decomposition in China’s forests and grasslands. Glob. Chang. Biol. 2017, 23, 3393–3402. [Google Scholar] [CrossRef] [PubMed]
- Xiao, H.; Shi, Z.; Li, Z.; Wang, L.; Wang, J. Responses of soil respiration and its temperature sensitivity to nitrogen addition: A meta-analysis in China. Appl. Soil Ecol. 2020, 150, 103484. [Google Scholar] [CrossRef]
- Moinet, G.Y.K.; Hunt, J.E.; Kirschbaum, M.U.F.; Morcom, C.P.; Midwood, A.J.; Millard, P. The temperature sensitivity of soil organic matter decomposition is constrained by microbial access to substrates. Soil Biol. Biochem. 2018, 116, 333–339. [Google Scholar] [CrossRef]
- Schmidt, M.; Vereecken, H.; Post, H.; Hendricks Franssen, H.; Han, X.J.; Baatz, R.; Montzlza, C. Evaluation and uncertainty analysis of regional-scale CLM4.5 net carbon flux estimates. Biogeosciences 2018, 15, 187–208. [Google Scholar]
- Qin, S.Q.; Chen, L.y.; Fang, K.; Zhang, Q.W.; Wang, J. Temperature sensitivity of SOM decomposition governed by aggregate protection and microbial communities. Sci. Adv. 2019, 5, eaau1218. [Google Scholar] [CrossRef] [Green Version]
- Zhao, X.C.; Tian, P.; Liu, S.G.; Sun, Z.L.; Zeng, Z.; Wang, Q.K. Cunninghamia lanceolata and understory ferns had positive rhizosphere effects on the temperature sensitivity of soil microbial respiration in a subtropical forest. Geoderma 2022, 408, 115593. [Google Scholar] [CrossRef]
- Wang, Q.K.; Liu, S.G.; Tian, P. Carbon quality and soil microbial property control the latitudinal pattern in temperature sensitivity of soil microbial respiration across Chinese forest ecosystems. Glob. Change Biol. 2018, 24, 2841–2849. [Google Scholar] [CrossRef]
- Li, J.; Pei, J.; Pendall, E.; Fang, C.; Nie, M. Spatial heterogeneity of temperature sensitivity of soil respiration: A global analysis of field observations. Soil Biol. Biochem. 2020, 141, 107675. [Google Scholar] [CrossRef]
- Schlesinger, W.H.; Andrews, J.A. Soil respiration and the global carbon cycle. Biogeochemistry 2000, 48, 7–20. [Google Scholar] [CrossRef]
- Qi, Y.; Xu, M. Separating the effects of moisture and temperature on soil CO2 efflux in a coniferous forest in the Sierra Nevada mountains. Plant Soil 2001, 237, 15–23. [Google Scholar] [CrossRef]
- Wang, Q.K.; Zhao, X.C.; Chen, L.C.; Yang, Q.P.; Chen, S.; Zhang, W.D. Global synthesis of temperature sensitivity of soil organic carbon decomposition: Latitudinal patterns and mechanisms. Func. Ecol. 2019, 33, 514–523. [Google Scholar] [CrossRef]
- Tian, P.; Zhao, X.C.; Liu, S.L.; Sun, Z.L.; Jing, Y.; Wang, Q.K. Soil microbial respiration in forest ecosystems along a north-south transect of eastern China: Evidence from laboratory experiments. Catena 2022, 211, 105980. [Google Scholar] [CrossRef]
- Nottingham, A.T.; Griffiths, H.; Chamberlain, P.M.; Stott, A.W.; Tanner, E.V.J. Soil priming by sugar and leaf-litter substrates: A link to microbial groups. Appl. Soil Ecol. 2009, 42, 183–190. [Google Scholar] [CrossRef]
- Fontaine, S.; Bardoux, G.; Abbadie, L.; Mariotti, A. Carbon input to soil may decrease soil carbon content. Ecol. Lett. 2010, 7, 314–320. [Google Scholar] [CrossRef]
- Chen, X.; Chen, H.Y.H. Global effects of plant litter alterations on soil CO2 to the atmosphere. Glob. Chang. Biol. 2018, 24, 3462–3471. [Google Scholar] [CrossRef]
- Yan, W.; Peng, Y.; Zhang, C.; Chen, X. The manipulation of aboveground litter input affects soil CO2 efflux in a subtropical liquidambar forest in China. iForest 2019, 12, 181–186. [Google Scholar] [CrossRef] [Green Version]
- Li, Q.R.; Tian, Y.Q.; Zhang, X.Y.; Xu, X.G.; Wang, H.M.; Kuzyakov, Y. Labile carbon and nitrogen additions affect soil organic matter decomposition more strongly than temperature. Appl. Soil Ecol. 2022, 114, 152–160. [Google Scholar] [CrossRef]
- Xiong, Y.; Zeng, H.; Xia, H.; Guo, D. Interactions between leaf litter and soil organic matter on carbon and nitrogen mineralization in six forest litter-soil systems. Plant Soil 2014, 379, 217–229. [Google Scholar] [CrossRef]
- Weintraub, S.R.; Wieder, W.R.; Cleveland, C.C.; Townsend, A.R. Organic matter inputs shift soil enzyme activity and allocation patterns in a wet tropical forest. Biogeochemistry 2013, 114, 313–326. [Google Scholar] [CrossRef]
- Tan, X.P.; Machmuller, M.B.; Huang, F.; He, J.H.; Chen, J.; Cotrufo, M.F.; Shen, W.J. Temperature sensitivity of ecoenzyme kinetics driving litter decomposition: The effects of nitrogen enrichment, litter chemistry, and decomposer community. Soil Biol. Biochem. 2020, 148, 107878. [Google Scholar] [CrossRef]
- Thiessen, S.; Gleixner, G.; Wutzler, T.; Reichstein, M. Both priming and temperature sensitivity of soil organic matter decomposition depend on microbial biomass—An incubation study. Soil Biol. Biochem. 2013, 57, 739–748. [Google Scholar] [CrossRef] [Green Version]
- Wang, Q.; Wang, Y.; Wang, S.; He, T.; Liu, L. Fresh carbon and nitrogen inputs alter organic carbon mineralization and microbial community in forest deep soil layers. Soil Biol. Biochem. 2014, 72, 145–151. [Google Scholar] [CrossRef]
- Li, X.J.; Xie, J.S.; Zhang, Q.F.; Lyu, M.K.; Xiong, X.; Liu, X.L.; Lin, T.C.; Yang, Y.S. Substrate availability and soil microbes drive temperature sensitivity of soil organic carbon mineralization to warming along an elevation gradient in subtropical Asia. Geoderma 2020, 364, 114198. [Google Scholar] [CrossRef]
- Wang, Q.; Liu, S.; Wang, Y.; Tian, P.; Sun, T. Influences of N deposition on soil microbial respiration and its temperature sensitivity depend on N type in a temperate forest. Agr. Forest Meteorol. 2018, 260–261, 240–246. [Google Scholar] [CrossRef]
- Michael, S.; Martin, H.G.; Ellen, K. Organic matter and enzyme activity in particle-size fractions of soils obtained after low-energy sonication. Soil Biol. Biochem. 1998, 30, 9–17. [Google Scholar]
- Lu, R.K. Methods for Soil Agrochemistry Analysis; Chinese Agricultural Science and Technology Press: Beijing, China, 2000. [Google Scholar]
- BlairZ, G.Z.; Lefroy, R.; Lisle, L. Soil carbon fractions based on their degree of oxidation, and the development of a carbon management index for agricultural systems. Aust. J. Agr. Res. 1995, 46, 393–406. [Google Scholar]
- Wang, Q.; He, T.; Wang, S.; Liu, L. Carbon input manipulation affects soil respiration and microbial community composition in a subtropical coniferous forest. Agr. Forest Meteorol. 2013, 178–179, 152–160. [Google Scholar] [CrossRef]
- Joergensen, R.G. Phospholipid fatty acids in soil—drawbacks and future prospects. Biol. Fert. Soils 2021, 58, 1–6. [Google Scholar] [CrossRef]
- German, D.P.; Weintraub, M.N.; Grandy, A.S.; Lauber, C.L.; Rinkes, Z.L.; Allison, S.D. Optimization of hydrolytic and oxidative enzyme methods for ecosystem studies. Soil Biol. Biochem. 2011, 43, 1387–1397. [Google Scholar] [CrossRef]
- Razavi, B.S.; Evgenia, B.; Yakov, K. Nonlinear temperature sensitivity of enzyme kinetics explains canceling effect—a case study on loamy haplic Luvisol. Front. Microbiol. 2015, 6, 1126. [Google Scholar] [CrossRef] [PubMed] [Green Version]
- Feng, C.X.; Sun, H.L.; Zhang, Y.D. The magnitude and direction of priming were driven by soil moisture and temperature in a temperate forest soil of China. Pedobiol.-J. Soil Ecol. 2021, 89, 150769. [Google Scholar] [CrossRef]
- Zhu, B.; Cheng, W. Rhizosphere priming effect increases the temperature sensitivity of soil organic matter decomposition. Glob. Change Biol. 2011, 17, 2172–2183. [Google Scholar] [CrossRef]
- Liu, Y.; He, N.; Xu, L.; Tian, J.; Gao, Y.; Zheng, S.; Wang, Q.; Wen, X.F.; Xu, X.L.; Yakov, K. A new incubation and measurement approach to estimate the temperature response of soil organic matter decomposition. Soil Biol. Biochem. 2019, 138, 107596. [Google Scholar] [CrossRef]
- Davidson, E.A.; Janssens, I.A. Temperature sensitivity of soil carbon decomposition and feedbacks to climate change. Nature 2006, 440, 165–173. [Google Scholar] [CrossRef] [PubMed]
- Li, J.; Baath, E.; Pei, J.; Fang, C.; Nie, M. Temperature adaptation of soil microbial respiration in alpine, boreal and tropical soils: An application of the square root (Ratkowsky) model. Glob. Change Biol. 2021, 27, 1281–1292. [Google Scholar] [CrossRef]
- Masson-Delmotte, V.; Zhai, P.; Pirani, A.; Connors, S.L.; Péan, C.; Berger, S.; Caud, N.; Chen, Y.; Goldfarb, L.; Gomis, M.I.; et al. Climate Change 2021: Mitigation of Climate Change; Working Group III Contribution to the IPCC Sixth Assessment Report; Cambridge University Press: Cambridge, UK, 2021. [Google Scholar]
- Liu, Y.; Xu, L.; Zheng, S.; Chen, Z.; Cao, Y.Q.; Wen, X.F.; He, N.P. Temperature sensitivity of soil microbial respiration in soils with lower substrate availability is enhanced more by labile carbon input. Soil Biol. Biochem. 2021, 154, 108148. [Google Scholar] [CrossRef]
- Zhou, S.; Lin, J.; Wang, P.; Zhu, P.; Zhu, B. Resistant soil organic carbon is more vulnerable to priming by root exudate fractions than relatively active soil organic carbon. Plant Soil 2021, 470, 1573–5036. [Google Scholar] [CrossRef]
- Bahn, M.; Rodeghiero, M.; Anderson-Dunn, M.; Dore, S.; Gimeno, C.; Drösler, M.; Williams, M.; Ammann, C.; Berninger, F.; Flechard, C.; et al. Soil Respiration in European Grasslands in Relation to Climate and Assimilate Supply. Ecosystems 2008, 11, 1352–1367. [Google Scholar] [CrossRef] [Green Version]
- Niklińska, M.; Chodak, M.; Laskowski, R. Characterization of the forest humus microbial community in a heavy metal polluted area. Soil Biol. Biochem. 2005, 37, 2185–2194. [Google Scholar] [CrossRef]
- Li, H.; Yang, S.; Semenov, M.V.; Yao, F.; Kuzyakov, Y. Temperature sensitivity of SOM decomposition is linked with a K-selected microbial community. Glob. Change Biol. 2021, 27, 2763–2779. [Google Scholar] [CrossRef] [PubMed]
- Rasmussen, C.; Heckman, K.; Wieder, W.R.; Keiluweit, M.; Wagai, R. Beyond clay: Towards an improved set of variables for predicting soil organic matter content. Biogeochemistry 2018, 137, 297–306. [Google Scholar] [CrossRef]
- Liu, X.J.A.; Pold, G.; Domeignoz-Horta, L.A.; Geyer, K.M.; Caris, H.; Nicolson, H.; Kemner, K.M.; Frey, S.D.; Melillo, J.M.; De Angelis, K.M. Soil aggregate-mediated microbial responses to long-term warming. Soil Biol. Biochem. 2021, 152, 108055. [Google Scholar] [CrossRef]
- Wang, Q.K.; He, T.X.; Liu, J. Litter input decreased the response of soil organic matter decomposition to warming in two subtropical forest soils. Sci. Rep. 2016, 6, 33814. [Google Scholar] [CrossRef] [PubMed]
- Cleveland, C.C.; Liptzin, D. C:N:P stoichiometry in soil: Is there a “Redfield ratio” for the microbial biomass? Biogeochemistry 2007, 85, 235–252. [Google Scholar] [CrossRef]
- Hu, B.; Bing, Y.; Pang, X.; Bao, W.; Tian, G. Responses of soil phosphorus fractions to gap size in a reforested spruce forest. Geoderma 2016, 279, 61–69. [Google Scholar] [CrossRef]
- Gallardo, A.; Schlesinger, W.H. Factors limiting microbial biomass in the mineral soil and forest floor of a warm-temperate forest. Soil Biol. Biochem. 1994, 26, 1409–1415. [Google Scholar] [CrossRef]
- Tian, S.Y.; Zhu, B.J.; Yin, R.; Wang, M.G.; Jiang, Y.J.; Zhang, C.Z.; Li, D.M.; Chen, X.Y.; Kardol, P.; Liu, M.Q. Organic fertilization promotes crop productivity through changes in soil aggregation. Soil Biol. Biochem. 2022, 165, 108533. [Google Scholar] [CrossRef]





| Soil Properties | Elevation (m) | ||
|---|---|---|---|
| 750 | 950 | 1150 | |
| SOC (g kg−1) | 48.56 ± 6.03 b | 37.86 ± 2.54 b | 70.67 ± 1.9 a |
| TN (g kg−1) | 3.60 ± 0.27 b | 2.97 ± 0.19 b | 5.28 ± 0.20 a |
| C/N | 13.36 ± 0.67 a | 12.75 ± 0.14 a | 13.41 ± 0.15 a |
| TP (mg kg−1) | 0.14 ± 0.01 b | 0.29 ± 0.03 a | 0.12 ± 0.01 b |
| Available P (mg kg−1) | 39.66 ± 4.63 b | 56.85 ± 4.60 a | 10.22 ± 1.33 c |
| Mineral N (mg kg−1) | 13.34 ± 4.22 b | 6.94 ± 0.34 b | 26.90 ± 4.18 a |
| LOC (mg kg−1) | 12.22 ± 2.35 b | 9.49 ± 0.52 b | 18.43 ± 0.58 a |
| DOC (mg kg−1) | 1.22 ± 0.24 b | 0.95 ± 0.06 b | 1.85 ± 0.06 a |
| pH | 5.07 ± 0.01 a | 5.25 ± 0.12 a | 5.26 ± 0.11 a |
| K+ (mg kg−1) | 141.90 ± 34.36 a | 111.31 ± 23.63 a | 201.12 ± 47.44 a |
| Mg2+ (mg kg−1) | 57.06 ± 24.06 a | 37.92 ± 10.03 a | 70.41 ± 26.47 a |
| Ca2+ (g kg−1) | 1.23 ± 0.48 a | 0.72 ± 0.13 a | 1.18 ± 0.34 a |
| Na+ (mg kg−1) | 5.74 ± 4.08 a | 4.26 ± 1.42 a | 6.42 ± 2.68 a |
| Sand content (%) | 64.90 ± 4.91 b | 81.51 ± 1.38 a | 47.53 ± 2.71 c |
| Silt content (%) | 23.12 ± 3.56 b | 11.61 ± 1.32 c | 41.49 ± 2.57 a |
| Clay content (%) | 11.98 ± 1.82 a | 6.88 ± 0.30 b | 10.99 ± 0.56 a |
| PLFAs | Elevation (m) | ||
|---|---|---|---|
| 750 | 950 | 1150 | |
| Fungi (nmol g−1) | 7.65 ± 0.63 a | 3.27 ± 1.83 b | 6.13 ± 0.33 ab |
| Bacteria (nmol g−1) | 24.67 ± 3.26 a | 19.36 ± 3.97 a | 21.76 ± 1.27 a |
| Fungi/Bacteria | 0.32 ± 0.04 a | 0.15 ± 0.07 b | 0.28 ± 0.03 ab |
| Gram-positive bacteria (nmol g−1) | 7.51 ± 0.86 a | 7.01 ± 0.96 a | 6.30 ± 0.40 a |
| Gram-negative bacteria (nmol g−1) | 12.82 ± 0.96 a | 7.48 ± 1.58 b | 11.15 ± 0.32 a |
| Gram-positive/Gram-negative bacteria | 0.59 ± 0.05 b | 1.07 ± 01.7 a | 0.57 ± 0.04 b |
| Actinomycetes (nmol g−1) | 2.77 ± 0.47 a | 2.15 ± 0.51 a | 2.58 ± 0.46 a |
| AM Fungi (nmol g−1) | 1.00 ± 0.01 a | 0.76 ± 0.10 a | 0.81 ± 0.06 a |
| Total microbial PLFA (nmol g−1) | 27.35 ± 5.20 a | 22.23 ± 6.27 a | 23.81 ± 1.97 a |
Publisher’s Note: MDPI stays neutral with regard to jurisdictional claims in published maps and institutional affiliations. |
© 2022 by the authors. Licensee MDPI, Basel, Switzerland. This article is an open access article distributed under the terms and conditions of the Creative Commons Attribution (CC BY) license (https://creativecommons.org/licenses/by/4.0/).
Share and Cite
Wei, J.; Zhang, Q.; Wang, Q.; Tian, P. Effects of Litter Input on Temperature Sensitivity of Soil Organic Carbon Mineralization along a Forest Elevation Gradient. Forests 2022, 13, 1250. https://doi.org/10.3390/f13081250
Wei J, Zhang Q, Wang Q, Tian P. Effects of Litter Input on Temperature Sensitivity of Soil Organic Carbon Mineralization along a Forest Elevation Gradient. Forests. 2022; 13(8):1250. https://doi.org/10.3390/f13081250
Chicago/Turabian StyleWei, Junlan, Qianqian Zhang, Qingkui Wang, and Peng Tian. 2022. "Effects of Litter Input on Temperature Sensitivity of Soil Organic Carbon Mineralization along a Forest Elevation Gradient" Forests 13, no. 8: 1250. https://doi.org/10.3390/f13081250
APA StyleWei, J., Zhang, Q., Wang, Q., & Tian, P. (2022). Effects of Litter Input on Temperature Sensitivity of Soil Organic Carbon Mineralization along a Forest Elevation Gradient. Forests, 13(8), 1250. https://doi.org/10.3390/f13081250

