You are currently viewing a new version of our website. To view the old version click .
Forests
  • Article
  • Open Access

10 August 2022

Carbon Addition Modified the Response of Heterotrophic Respiration to Soil Sieving in Ectomycorrhizal-Dominated Forests

,
,
,
,
and
1
Huitong Experimental Station of Forest Ecology, CAS Key Laboratory of Forest Ecology and Management, Institute of Applied Ecology, Shenyang 110164, China
2
University of Chinese Academy of Sciences, Beijing 101407, China
3
School of Forestry & Landscape Architecture, Anhui Agricultural University, Hefei 230031, China
4
Ecology Security and Protection Key Laboratory of Sichuan Province, Mianyang Teachers’ College, Mianyang 621000, China
This article belongs to the Special Issue Carbon Fluxes and Production in Forest Ecosystems

Abstract

Soil heterotrophic respiration (Rh) is an important pathway of carbon (C) dioxide release from terrestrial soils to the atmosphere. It is often measured using sieved soil in a laboratory, but the uncertainty of how it is influenced by soil sieving persists, which limits the accuracy of predicting soil organic C dynamics in C models. To address how soil sieving during laboratory incubation affects Rh and its response to increased carbon availability, we investigated Rh in sieved and intact soil cores and its response to 13C-glucose addition. This was conducted through a 27-day laboratory incubation in four forests, including two ectomycorrhizal-dominated (ECM) forests and two arbuscular mycorrhizal-dominated forests. The significant influence of soil sieving on Rh in all forests was not observed during incubation when glucose was not added. After adding glucose, the Rh in the sieved soils on the 5th day of incubation was averaged 27.2% lower than that in intact soils in ECM forests. On the 27th day it was 22.1% lower in the Pinus massoniana forest, but 78.0% higher in the Castanea mollissima forest. Strong relationships were detected between Rh in sieved and intact soils (r2 = 0.888), and in soils both with and without the addition of glucose (r2 = 0.827). The measured soil variables explained 74.7% and 49.7% of the variation in Rh on the 5th and 27th day of incubation, and the role of soil nutrients and microbial PLFA groups in regulating Rh varied temporally. Our findings suggest that plant mycorrhizal types influenced the role of increased C availability to microbes in regulating the response of Rh to sieving in forest ecosystems.

1. Introduction

Globally, soils contain 1500 Pg of organic carbon (C) in the 1 m depth, which is approximately 60% of C stocks in terrestrial ecosystems [1]. Thus, any small change in soil C flux will have a great influence on atmospheric carbon dioxide (CO2) concentration and the feedback to global climate change [2]. Soil respiration, the second largest C flux between terrestrial ecosystem and atmosphere, has been estimated to be 60–100 Pg C yr−1, more than all anthropogenic sources combined [3]. More than half of soil respiration is from heterotrophic respiration (Rh) produced by the microbial decay of soil organic C (SOC) [3,4]. Therefore, measuring soil Rh is important for quantifying the CO2 flux from soils to the atmosphere and enhancing the accuracy of the SOC dynamics predicted by C models [5].
As a common practice, soil sieving is usually conducted prior to laboratory incubation when researching soil C and N cycles, including soil Rh [6,7,8,9]. However, sieving disrupts the soil’s physical structure such as soil aggregates and porosity [10]. This increases the exposure of SOC physically protected within aggregates and the oxygen availability to microbes [11,12,13], thereby affecting soil Rh. Therefore, Rh derived from sieved soils may not be representative of true values occurring in field conditions. In comparison to sieved soils, using intact field-moist soil cores for determining soil Rh has been suggested to better reflect the actual field conditions [4]. However, there is still no consistent conclusion on the influence of soil Rh sieving relative to intact soil cores. This indicated that sieved soils had higher [12,14,15], similar to, or lower soil Rh than intact soils [11,16,17,18], and most of them were conducted in cropland and grassland. This indicated that predicting the effects of sieving on soil Rh may be very difficult. Thus, the influence of sieving on soil Rh needs to be more clearly defined in forest ecosystems.
Given that soil Rh is mostly the activity of soil microbes and is strongly limited by C availability to soil microbes [19,20,21], the conflicting responses of soil Rh to sieving in the above-mentioned studies may be explained by differences in C availability. Carbon addition has been widely used to increase soil C availability, and has significantly changed the microbial activity (e.g., respiration and enzyme activity) and community composition [8,22,23]. Although the effects of C or substrate addition on soil Rh or SOC decomposition using sieved soils were widely investigated [8,13,24,25], their changes caused by C addition in sieved soil cores and intact soil cores were less explored. Stenger et al. [18] found that added glucose-C decomposition in intact soils was similar to that in sieved soils, but they did not investigate how the interaction of sieving and glucose addition affected Rh. Thus, it is less clear how increased C availability to soil microbes through glucose addition in soils mediates the response of Rh to sieving through directly and/or indirectly changing soil microbial activity and community composition.
Plant functional types (e.g., mycorrhizal type) may affect soil C availability to microbes because litters from arbuscular mycorrhizal-associated (AM) trees have a lower C:N and faster decomposition rate than ectomycorrhizal-dominated(ECM) trees [26,27]. Thus, we speculated that the effects of C addition on the responses of soil Rh to sieving would differ in ECM and AM forests. In this study, in order to explore how increasing C availability influenced the responses of Rh to soil sieving in forest ecosystems, we collected soil cores from two ECM forests and two AM forests in subtropical China. We used the laboratory incubation method to measure Rh in both sieved and intact soil cores, and then assessed the influence of soil sieving, glucose addition and their interaction on Rh. We further measured soil nutrients and microbial properties based on phospholipid acids (PLFAs) to reveal the underlying mechanisms of the influence of soil sieving and glucose addition on soil Rh. Given that sieving disrupts the soil’s physical structure and increases substrate accessibility and oxygen availability to microbes [11,13], we hypothesized that sieving would stimulate soil Rh, but that the stimulatory degree would be different in ECM and AM forests. Glucose, a readily available substrate, may be preferentially used by microbes relative to the native SOC [28], so we hypothesized that increasing C availability by adding glucose would decrease the influence of sieving on soil Rh.

2. Materials and Methods

2.1. Site Description and Soil Collection

This study was conducted at the Huitong National Research Station of Forest Ecosystem (26°40′ N, 109°26′ E) in southern China. In this region, the altitude ranges from 300–1000 m. Soils that had developed from grayish-green slate parent materials are classified as Ultisol according to the second edition of the U.S. Soil Taxonomy [8]. The mean annual temperature was 16.5 °C, and the mean annual rainfall was 1200 mm over the past 20 years. The mean minimum and maximum temperature occurs in January and July, respectively. The native forests are subtropical, evergreen broadleaved forests with the dominant understory vegetation species being Rubus rosifolius, Pteridium aquilinum, Maesa japonica, Parathelypteris chinensis, and Microlepia marginata, but most have been destroyed and replaced by other forests.
We collected soil cores from two ECM pure forests (i.e., Castanea mollissima and Pinus massoniana) and two AM pure forests (i.e., Schima superba and Cunninghamia lanceolata). For each forest type, we selected three forest stands with about 0.3 ha for each forest stand as 3 replications, and in each forest stand we established 3 plots with 10 m × 10 m. In each plot, we sampled 9 intact soil cores (with a 5 cm inner diameter and a 10 cm depth) using PVC cylinders, and immediately took them into the laboratory. After collection, 5 of the 9 soil cores from the plot in each forest were sieved through a 2 mm screen and mixed completely. Among the sieved soils, 4 of them were refilled into PVC cylinders to maintain their original bulk densities (all materials were also repacked). These were referred as sieved cores, and the remaining one was used for measuring soil chemical properties and water content. The remaining 4 of 9 intact soil cores were referred as intact cores. The base of each cylinder was sealed with plastic film to prevent any leaching losses. Both the sieved cores and intact cores were pre-incubated for 7 days at 25 °C to minimize the “pulse effect” of sieving on CO2 release.

2.2. Soil Chemical and Microbial Analysis

Air-dried soils were ground to sieve through a 0.25 mm mesh, and then SOC and total N concentrations were determined using a C/N analyzer. Fresh soil ammonium (NH4+-N) and nitrate nitrogen (NO3-N) concentrations were extracted using 2 mol L−1 KCl solution and determined by colorimetry, and their sum was a mineral N. Soil available phosphorus (P) was colorimetrically determined using the molybdate blue method after soil was extracted with a 1 mol L−1 NH4F solution. Soil pH was determined with a pH meter from soil slurry with a 1:2.5 ratio of soil and deionized water (weight:volume). Soil bulk density was measured using soil core that was dried in an oven to a constant weight (105 °C). The standard laboratory analysis methods were seen in Lu [29]. Some of the soil key properties are presented in Table 1. Soil microbial biomass and community composition was assessed using phospholipid acids according to the method described by White and Ringelberg [30]. Methyl nonadecanoate (19:0) was added as the internal standard for quantifying the PLFAs. The assignment of PLFA to different main microbial groups was according to the method of Joergensen [31] and is listed in Table S1.
Table 1. The soil physico-chemical properties in four forests before incubation.

2.3. Soil Incubation

After pre-incubation of both the sieved and intact cores, the uniformly labelled 13C-glucose as a water solution (2 mL) was added into a half of the sieved and intact cores using asyringe to increase C availability. An equal amount of deionized water was added into the remaining soil cores. The amount of added glucose (δ13C = 299.8‰) was equal to the 2% of the SOC content. All soil cores were placed into 1000 mL Mason jars with airtight lids, with two small pores to avoid too high a CO2 concentration during incubation. They were incubated for 27 days at 16.0 °C, which reflected the average temperature of topsoil (at a 5 cm depth). During incubation, the soil water content was maintained at 60% of the water-holding capacity through adding deionized water at intervals. The gas in the Mason jars was collected on the 1st, 3rd, 5th, 10th, 17th and 27th day of incubation. The amount of respired CO2 and its 13C value was analyzed using a stable isotope-ratio mass spectrometer. Before collection, the gas in the Mason jars was replaced by air without CO2 and then sealed for 8–12 h. On the 5th day of incubation, half of the sieved and intact soil cores with and without glucose addition were harvested in order to determine the soil mineral N, available P and PLFAs.

2.4. Data Calculation and Statistic Analysis

To calculate the amount of CO2 derived from soil Rh (i.e., SOC decomposition) in soils with glucose addition, we used the equation [8]:
CRh = CT (δG − δT)/(δG − δS)
In the equation, CT and CRh are the total amount of CO2 and the amount of CO2 derived from soil Rh during the considered time interval, respectively. δT, δG and δS are the isotopic composition of the total CO2, added glucose and SOC, respectively.
Assumptions regarding the normality and homogeneity of the variances were checked, and the soil Rh and microbial biomass were natural log-transformed where necessary. The student’s t-test was used to detect the influences of soil sieving and glucose addition on the soil Rh in each forest and the significant differences between mycorrhizal fungi types. The response of the soil microbial groups to sieving or glucose addition were calculated as the ratio of Rh in sieved soils to Rh in intact soils or the ratio of Rh in soils with glucose addition to Rh in soils without glucose addition, respectively. The relationships between the soil Rh, soil nutrients and microbial properties were assessed by Pearson’s correlation analysis. The significance was at the probability level of p < 0.05, and the analyses were conducted using SPSS 19.0 for Windows. To further explore the relative importance of factors influencing the soil Rh, the random forest model analysis was conducted using the randomForest package in R 3.3.3 with default parameters [32].

3. Results

3.1. Responses of Rh to Soil Sieving and Glucose Addition

When no glucose was added across all forests, the average Rh was 5.94 mg C kg−1 soil d−1 and 4.03 mg C kg−1 soil d−1 in sieved soils on the 5th and 27th day of incubation, and 6.11 and 4.82 mg C kg−1soil d−1 in intact soils, respectively (Figure S1). No significant difference in Rh between sieved and intact soils was observed in each forest (Figure 1). Glucose addition significantly affected the Rh in the C. mollissima and P. massoniana forests on the 5th and 27th day of incubation (Figure 1a,b,e,f) and in the C. lanceolata forest on the 27th day of incubation (Figure 1h). After the glucose addition, the Rh in the sieved soils was 28.0% and 26.3% lower than that in intact soils in both of the ECM forests on the 5th day of incubation (Figure 1a,b), and was 22.1% lower than that in intact soils in the P. massoniana forest (Figure 1e) but 78.0% higher in the C. mollissima forest on the 27th day of incubation (Figure 1f). However, glucose addition had no effect on soil Rh in the two AM forests (i.e., the S. superb and C. lanceolata forests) (Figure 1c,d,g,h). The above results suggest that glucose addition modified the influence of soil sieving on Rh in the ECM forests, but not in the AM forests.
Figure 1. Effects of soil sieving(S) and glucose addition (G) on soil heterotrophic respiration (Rh) on the 5th (ad) and 27th day (eh) of incubation in four forests. Data flowing S, G and S*G were at the significance level (p values). a and e for C. mollissima, b and f for P. massoniana, c and g for S. superba, and d and h for C. lanceolata forests. Error bars denote standard deviation (n = 3). Different letters on bars denote significant effects of glucose addition on Rh for sieved or intact soils, and the asterisk *, ** denotes significant effects of sieving on Rh for CT or glucose-added soils at p < 0.05, 0.01, respectively.
When pooling all of the data together, significant and strong correlations between Rh in sieved and intact soils were observed (r = 0.888, p < 0.01) (Figure 2a). Similarly, the soil Rh in soils with and without glucose addition had significant correlations (r = 0.826, p < 0.01) (Figure 2b), and most data points were above the 1:1 line, suggesting that glucose addition significantly increased soil Rh.
Figure 2. The correlation of soil heterotrophic respiration (Rh) between intact soils and sieved soils, (a) and between soils with glucose addition and soils without glucose addition (CT) (b) in forests. Grey shading represents the 95% confidence interval (n = 48).

3.2. Soil Microbial Responses to Sieving and Glucose Addition

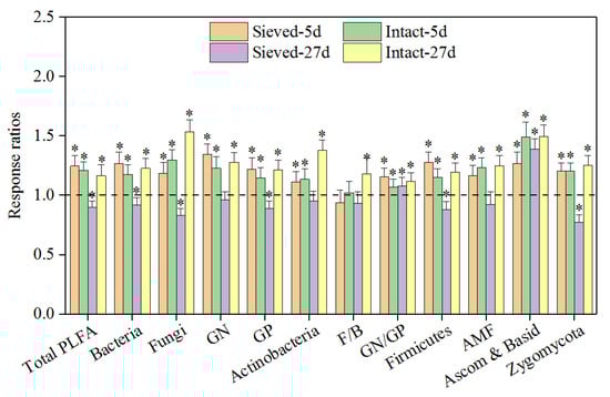
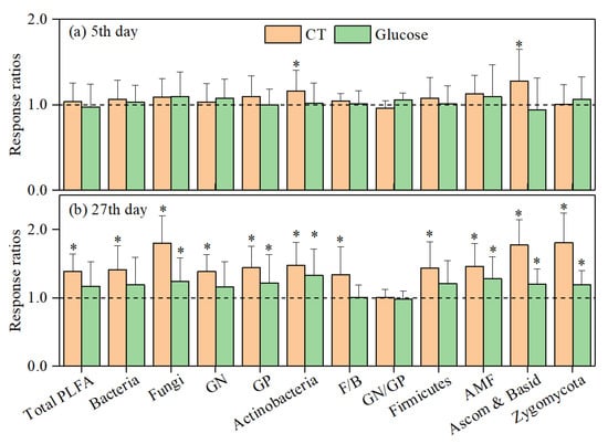
In soils without glucose addition, sieving had less effect on the soil microbial biomass and community composition on the 5th day of incubation (Figure 3a), but significantly increased soil microbial biomass on the 27th day of incubation (Figure 3b). Sieving had increased the biomass of Ascomycota & Basidiomycota, Zygomycota and fungi than the other PLFA groups, but less modified the GN:GP ratio. The influences of soil sieving on microbial traits were regulated by glucose addition on the 5th day of incubation (Table 2), showing that glucose addition decreased the degree of the effects of sieving on soil microbial biomass (Figure 3). The results of two-way ANOVA demonstrated that the mycorrhizal fungi type and glucose addition had interactive effects on the ratio of PLFAs in sieved soils to that in intact soils. This demonstrated that glucose addition significantly increased the soil microbial biomass measured by PLFAs in both sieved soils and intact soils on the 5th day of incubation (Figure 4). However, on the 27th day of incubation, glucose addition tended to decreased microbial biomass in the sieved soils, but increased the microbial biomass in intact soils. The microbial community composition (e.g., F/B ratio) in sieved and intact soils also had different responses to glucose addition.
Figure 3. Effects of sieving on soil microbial biomass with and without glucose addition in four forests, as indicated by response ratios of the microbial biomass of different PLFA groups in sieved soils to that in intact soils on the 5th (a) and 27th day (b) of incubation. Error bars denote standard deviation (n = 12). Asterisk (*) on the bars denotes significant effects of sieving on soil microbial biomass at p < 0.05.
Table 2. Results (p values) of two-way ANOVA for soil sieving and glucose addition on soil microbial biomass on the 5th and 27th day of incubation in four forests.
Figure 4. Effects of glucose addition on soil microbial biomass in sieved and intact soils in four forests, as indicated by response ratios of microbial biomass in soils with glucose addition to that in soils without glucose. Error bars denote standard deviation (n = 12). Asterisk (*) on the bars denotes significant effects of glucose addition on soil microbial biomass at p < 0.05.

3.3. Mechanism of Regulating Soil Rh

The results of the correlation analysis showed that Rh was strongly and positively correlated with the biomass of various microbial groups measured using the PLFAs on the 5th and 27th day of incubation. However, it was not related to the ratios of fungi to bacteria and gram-negative to -positive bacteria (Figure 5). Their correlation coefficients became lower on the 27th day (Figure 5b) than the 5th day (Figure 5a). In addition, the soil Rh was strongly and positively correlated with mineral N, and negatively correlated with available P. We further conducted the random forest model analysis, and the results showed that the measured soil variables explained 74.7% and 49.7% of the variation in soil Rh on the 5th and 27th day. On the 5th day of incubation, the total microbial and firmicute biomasses were more important in regulating soil Rh than the other PLFA groups, and available P was also important (Figure 6a). The available P was the most important, and the biomass of Ascomycota, Basidiomycota and mineral N was also more important on the 5th day of incubation (Figure 6b). These results suggested that the roles of soil nutrients and microbial PLFA groups in regulating soil Rh varied temporally.
Figure 5. Correlations of soil heterotrophic respiration in sieved and intact soils to soil available nutrients and microbial properties onthe 5th (a) and 27th day (b) of incubation. *, ** denote significance at p = 0.05 and 0.01, respectively.
Figure 6. Main variables explaining soil heterotrophic respiration on the 5th (a) and 27th day (b) of incubation according to random forest model analysis. *, **, *** denote significance at p = 0.05, 0.01, 0.001, respectively.

4. Discussions

Although sieving is an important pretreatment practice for most laboratory incubation experiments, the influence of sieving on soil Rh or SOC decomposition is less clear, especially with regards to what microbial factors are controlling its effects. Compared to previous studies [12,14,17,18], our study was the first to explore how C availability regulates the impacts of sieving on soil Rh. We found that sieving had less influence on Rh, but that glucose addition changed the influence of soil sieving on soil Rh in the ECM forests but not in the AM forests. Furthermore, the roles of soil nutrients and microbial PLFA groups in regulating soil Rh varied temporally.

4.1. Response of Soil Heterotrophic Respiration to Sieving

Unlike our expectation that sieving would promote soil Rh, no significant difference in soil Rh between sieved and intact soils in the four forests was observed when no glucose was added into the soils during incubation (Figure 1 and Figure S1), suggesting that sieving has no effect on soil Rh. This result was consistent with previous experiments that found no significant influence of soil sieving on Rh or SOC decomposition [11,17,18,33,34], although some experiments found sieving stimulated a short-term CO2 flux [12,14,15,35]. First, these conflicting observations were in part explained by the methodological differences such as the mesh size used for soil sieving. Černohlávková et al. [36] reported that the effects of sieving on soil respiration and microbial biomass C were related to mesh size in arable, grassland and forest soils, and higher soil respiration was observed in soils sieved through the finer mesh [15,35]. This indicated that the sieve mesh size affected the release of labile organic matter such as carbohydrates, because soil sieving through a smaller mesh demands more force and the soil’s physical structure is disrupted [37]. In our study, the lesser effect of sieving on soil Rh was related to a large mesh size (e.g., 2 mm). Another potential reason was that the influence of sieving on soil Rh was dynamically changed with the incubation time. The effect of sieving on soil Rh appeared to last a few days (e.g., [38]), and was greater at the early stage of incubation rather than the later stage [39]. In our study, sieved soils were pre-incubated for 7 days, which may reduce the effects of soil sieving on Rh.

4.2. Carbon Addition Mediating the Response of Soil Heterotrophic Respiration to Sieving

To our knowledge, this was the first study to explore how increasing C availability affects the response of Rh to sieving. We found that glucose addition caused lower Rh in sieved soils than intact soils in the ECM forests (i.e., C. mollissima and P. massoniana) but not in the AM forests on the 5th day of incubation (Figure 1a,b), which was different from our hypothesis that glucose addition would decrease the stimulatory effects of sieving on soil Rh. We also found at the later incubation stage (i.e., on the 27th day of incubation) that glucose addition had an opposite influence on the responses of Rh to soil sieving. It showed lower Rh in the sieved soils than in the intact soils in the P. massoniana forest (Figure 1e), but higher in the C. mollissima forest (Figure 1f) on the 27th day of incubation. These findings suggest that the influence of glucose addition on the response of Rh to soil sieving had a mycorrhizal type-specific in forest ecosystems. As per our observation (Figure 2b and Figure S1), many studies found that carbon addition accelerated soil Rh or SOC decomposition in laboratory incubation experiments [8,13,24,25,40]. This phenomenon is usually defined as a priming effect [41], suggesting that C availability is a primary factor in limiting microbial processes. The stimulatory effect of C addition was in part explained by the microbial nutrient mining hypothesis that soil microorganisms can utilizelabile C as an energy source to decay SOC and acquire nutrients [24,42]. A decrease in the mineral N (NH4-N and NO3-N) and available P concentrations after glucose addition during incubation, especially on the 5th day (Figure S2), supported this opinion.
The microbial stoichiometric decomposition theory also explained why C addition accelerated Rh in intact soils in the ECM forests. Glucose addition did not match microbial demands for C, N and P, that is, this input unbalanced the microbial stoichiometric C, N and P ratios. Therefore, glucose addition accelerated soil organic matter decomposition by the domination of r-strategists [43]. This was confirmed by the increased GN:GP ratio (Figure 4) because gram-negative bacteria preferentially decompose labile substrates, whereas gram-positive bacteria are able to utilize more complex substrates [44]. This was supported by our results that the mineral N and available P strongly related to soil Rh (Figure 5), and were important factors in regulating soil Rh (Figure 6). This was in agreement with some nutrient addition experiments that the availability of N and P plays important roles in organic matter decomposition in tropical soils [8].
Different responses of soil microbial biomass and community composition (e.g., F/B ratio) were observed in sieved and intact soils to glucose addition (Figure 4; Table 2). They were also responsible for the modification of glucose addition to soil sieving on Rh in ECM forests, because soil microbes are the primary drivers of soil Rh [19,20,21]. Glucose addition tended to decrease the soil microbial biomass in the sieved soils, but increased the soil microbial biomass in the intact soils on the 27th day of incubation (Figure 4), suggesting that glucose addition changed the responses of soil microbial biomass to sieving. Sieving soil increased microbial biomass on the 27th day of incubation, in particular in soils without glucose addition (Figure 3). This was consistent with some previous observations [45,46], but fewer studies assessed their responses to glucose addition in intact soils. The increase of soil microbial biomass in the sieved soils could be explained by an increase in C availability, resulting from a decrease in the aggregate protection for SOC [11,13,47] and the changes in soil microbial community and functional diversity after sieving [46].
In the present study, although some important findings were discovered, we noted that our results should be applied in other forests or regions with caution. Our findings had some implications for future research on this issue. Firstly, we added glucose to simulate the carbon input via plant roots, but root exudates are complex and include numerous materials such as sugars, amino acids and organic acids [48]. That is to say, results from added glucose in this experiment may have some differences to the results occurring in the field. Thus, the composition of added labile substrates should be the same as root exudates and/or litter in a future study. Secondly, some studies showed that the effects of sieving on soil respiration were dependent on the mesh size [15,35,36], and the effects of sieving on soil respiration varied over incubation (Figure 1) [40], suggesting that it is critical to choose the incubation duration and sampling time. Therefore, formulating an experimental framework is important in order to understand the effects of soil sieving on soil respiration. Thirdly, only four forest types were investigated and we found that in ECM forests, glucose addition modified the effects of sieving on soil respiration. However, to obtain a general and solid conclusion, similar experiments should be widely conducted in other biomes in future.

5. Conclusions

Our study explored how sieving affected soil Rh, and we found the effect of soil sieving on Rh was regulated by C addition in forest ecosystems. Our results demonstrated that sieving had less of an influence on soil Rh, but that glucose addition made this influence significant in two ECM forests but not in two AM forests. This suggests that the functional plant type (e.g., mycorrhizal type) influenced the roles of the increase in C availability to microbes in regulating the response of the soil Rh to sieving. The imbalance caused by glucose addition between C and nutrients, in particular N, changed the responses of the soil Rh to sieving by altering the soil microbial biomass and community in the ECM forests. The significant and strong correlations between sieved and intact soils for Rh indicate that sieved soils are suitable to evaluate the relative influence of forest types or management practices on soil respiration in forest ecosystems. These findings somewhat enhanced our understanding of the response of Rh to soil sieving in increasing C-input scenarios in terrestrial ecosystems.

Supplementary Materials

The following supporting information can be downloaded at: https://www.mdpi.com/article/10.3390/f13081263/s1, Figure S1: Average effects of soil sieving and glucose addition on heterotrophic soil respiration (Rh) in forests. Error bars denote standard deviation (n = 12); Figure S2: Effects of glucose addition on soil nutrients in all soils, sieved soils and intact soils as indicated by response ratios of nutrients in soils with glucose addition to that in soils without glucose. Asterisk on the bars denotes significant effects of glucose addition on soil nutrients at p < 0.05. Error bars denote standard deviation (n = 12). Table S1: Assignment of phospholipid acids to different main microbial groups according to the method of Joergensen (2022).

Author Contributions

Q.W. designed this experiment, Q.W. and S.Z. wrote this paper, S.Z. measured soil respiration, enzyme activity and others, X.Z., J.L. and Y.J. conducted soil PLFA analysis, and Z.S. collected soil samples. All authors have read and agreed to the published version of the manuscript.

Funding

This research was funded by the National Natural Science Foundation of China, grant number 31830015, 32171752 and 32101491.

Institutional Review Board Statement

Not applicable.

Data Availability Statement

The data that support the findings of this study are available from the corresponding author on request.

Conflicts of Interest

The authors declare that they have no competing financial interests or personal relationships that are relevant to the content of this article.

References

  1. Lal, R. Soil carbon sequestration impacts on global climate change and food security. Science 2004, 304, 1623–1627. [Google Scholar] [CrossRef] [PubMed] [Green Version]
  2. Paustian, K.; Lehmann, J.; Ogle, S.; Reay, D.; Robertson, G.P.; Smith, P. Climate-smart soils. Nature 2016, 532, 49–57. [Google Scholar] [CrossRef] [PubMed] [Green Version]
  3. Bond-Lamberty, B.; Wang, C.K.; Gower, S.T. A global relationship between the heterotrophic and autotrophic components of soil respiration? Glob. Chang. Biol. 2004, 10, 1756–1766. [Google Scholar] [CrossRef]
  4. Gabriel, C.E.; Kellman, L. Examining moisture and temperature sensitivity of soil organic matter decomposition in a temperate coniferous forest soil. Biogeosci. Discuss. 2011, 8, 1369–1409. [Google Scholar]
  5. Davidson, E.A.; Janssens, I.A. Temperature sensitivity of soil carbon decomposition and feedbacks to climate change. Nature 2006, 440, 165–173. [Google Scholar] [CrossRef]
  6. Gutinas, M.E.; Gil-Sotres, F.; Leiros, M.C.; Trasar-Cepeda, C. Sensitivity of soil respiration to moisture and temperature. J. Soil Sci. Plant Nutr. 2013, 13, 445–461. [Google Scholar]
  7. Manzoni, S.; Schimel, J.P.; Porporato, A. Responses of soil microbial communities to water stress: Results from a meta-analysis. Ecology 2012, 93, 930–938. [Google Scholar] [CrossRef]
  8. Wang, Q.K.; Wang, S.L.; He, T.X.; Liu, L.; Wu, J.B. Response of organic carbon mineralization and microbial community to leaf litter and nutrient additions in subtropical forest soils. Soil Biol. Biochem. 2014, 71, 13–20. [Google Scholar] [CrossRef]
  9. Yan, D.; Li, J.Q.; Pei, J.M.; Cui, J.; Nie, M.; Fang, C.M. The temperature sensitivity of soil organic carbon decomposition is greater in subsoil than in topsoil during laboratory incubation. Sci. Rep. 2017, 7, 1–9. [Google Scholar] [CrossRef]
  10. Baveye, P.C.; Otten, W.; Kravchenko, A.; Balseiro-Romero, M.; Beckers, É.; Chalhoub, M.; Darnault, C.; Eickhorst, T.; Garnier, P.; Hapca, S.; et al. Emergent properties of microbial activity in heterogeneous soil microenvironments: Different research approaches are slowly converging, yet major challenges remain. Front. Microbiol. 2018, 9, 1929. [Google Scholar] [CrossRef]
  11. Curtin, D.; Beare, M.H.; Scott, C.L.; Hernandez-Ramirez, G.; Meenken, E.D. Mineralization of soil carbon and nitrogen following physical disturbance: A laboratory assessment. Soil Sci. Soc. Am. J. 2014, 78, 925–935. [Google Scholar] [CrossRef]
  12. Meyer, N.; Welp, G.; Amelung, W. Effect of sieving and sample storage on soil respiration and its temperature sensitivity (Q10) in mineral soils from Germany. Biol. Fertil. Soils 2019, 55, 825–832. [Google Scholar] [CrossRef] [Green Version]
  13. Mo, F.; Zhang, Y.Y.; Liu, Y.; Liao, Y.C. Microbial carbon-use efficiency and straw-induced priming effect within soil aggregates are regulated by tillage history and balanced nutrient supply. Biol. Fertil. Soils 2021, 57, 409–420. [Google Scholar] [CrossRef]
  14. Lamparter, A.; Bachmann, J.; Goebel, M.-O.; Woche, S.K. Carbon mineralization in soil: Impact of wetting-drying, aggregation and water repellency. Geoderma 2009, 150, 324–333. [Google Scholar] [CrossRef]
  15. Gao, F.; Lin, W.; Cui, X.Y. Effects of sieving process on soil organic carbon mineralization for two forest types in Xiaoxing’an Mountains, Northeast China. J. Beijing For. Univ. 2017, 39, 30–39. [Google Scholar]
  16. Adkanmbi, A.A.; Shaw, L.J.; Sizmur, T. Effect of sieving on ex situ soil respiration of soils from three land use types. J. Soil Sci. Plant Nutr. 2020, 20, 912–916. [Google Scholar]
  17. Moinet, G.Y.K.; Millard, P. Temperature sensitivity of decomposition: Discrepancy between field and laboratory estimates is not due to sieving the soil. Geoderma 2020, 374, 114444. [Google Scholar] [CrossRef]
  18. Stenger, R.; Barkle, G.F.; Burgess, C.P. Mineralization of organic matter in intact versus sieved/refilled soil cores. Aust. J. Crop. Sci. 2002, 40, 149–160. [Google Scholar]
  19. Hinojosa, M.B.; Laudicina, V.A.; Parra, A.; Albert-Belda, E.; Moreno, J.M. Drought and its legacy modulate the post-fire recovery of soil functionality and microbial community structure in a Mediterranean shrubland. Glob. Chang. Biol. 2019, 25, 1409–1427. [Google Scholar] [CrossRef]
  20. Navarro-Garcia, F.; Casermeiro, M.A.; Schimel, J.P. When structure means conservation: Effect of aggregate structure in controlling microbial responses to rewetting events. Soil Biol. Biochem. 2012, 44, 1–8. [Google Scholar] [CrossRef]
  21. Schlesinger, W.H.; Dietze, M.C.; Jackson, R.B.; Phillips, R.P.; Rhoades, C.C.; Rustad, L.E.; Vose, J.M. Forest biogeochemistry in response to drought. Glob. Chang. Biol. 2016, 22, 2318–2328. [Google Scholar] [CrossRef]
  22. Choi, R.T.; Reed, S.C.; Tucker, C.L. Multiple resource limitation of dryland soil microbial carbon cycling on the Colorado Plateau. Ecology 2022, 106, e3671. [Google Scholar] [CrossRef]
  23. Liu, L.; Estiarte, M.; Bengtson, P.; Li, J.; Asensio, D.; Wallander, H.; Penuelas, J. Drought legacies on soil respiration and microbial community in a Mediterranean forest soil under different soil moisture and carbon inputs. Geoderma 2022, 405, 115425. [Google Scholar] [CrossRef]
  24. Craine, J.M.; Morrow, C.; Fierer, N. Microbial nitrogen limitation increases decomposition. Ecology 2007, 88, 2105–2113. [Google Scholar] [CrossRef]
  25. Fontaine, S.; Barot, S.; Barré, P.; Bdioui, N.; Mary, B.; Rumpel, C. Stability of organic carbon in deep soil layers controlled by fresh carbon supply. Nature 2007, 450, 277–280. [Google Scholar] [CrossRef]
  26. Jacobs, L.M.; Sulman, B.N.; Brzostek, E.R.; Feighery, J.J.; Phillips, R.P. Interactions among decaying leaf litter, root litter and soil organic matter vary with mycorrhizal type. J. Ecol. 2018, 106, 502–513. [Google Scholar] [CrossRef]
  27. Midgley, M.G.; Brzostek, E.; Phillips, R.P. Decay rates of leaf litters from arbuscular mycorrhizal trees are more sensitive to soil effects than litters from ectomycorrhizal trees. J. Ecol. 2015, 103, 1454–1463. [Google Scholar] [CrossRef] [Green Version]
  28. Kuzyakov, Y. Sources of CO2 efflux from soil and review of partitioning methods. Soil Biol. Biochem. 2006, 38, 425–448. [Google Scholar] [CrossRef]
  29. Lu, R. Methods of Soil Agricultural Chemistry Analysis; Chinese Agricultural Science and Technology Press: Beijing, China, 2000. [Google Scholar]
  30. White, D.C.; Ringelberg, D.B. Signature lipid biomarker analysis. In Techniques in Microbial Ecology; Burlage, R.S., Atlas, R., Stahl, D., Geesey, G., Sayler, G., Eds.; Oxford University Press: New York, NY, USA, 1998; pp. 255–272. [Google Scholar]
  31. Joergensen, R.G. Phospholipid fatty acids in soil-drawbacks and future prospects. Biol. Fertil. Soils 2022, 58, 1–6. [Google Scholar] [CrossRef]
  32. Zhang, J.Y.; Liu, Y.X.; Zhang, N.; Hu, B.; Jin, T.; Xu, H.R.; Qin, Y.; Yan, P.X.; Zhang, X.N.; Guo, X.X.; et al. NRT1.1B is associated with root microbiota composition and nitrogen use in field-grown rice. Nat. Biotechnol. 2019, 37, 676–684. [Google Scholar] [CrossRef]
  33. Persson, T.; Karlsson, P.S.; Seyferth, U.; Sjöberg, R.M.; Rudebeck, A. Carbon mineralisation in European forest soils. Ecol. Stud. 2000, 142, 257–275. [Google Scholar]
  34. Thomson, B.C.; Ostle, N.J.; McNamara, N.P.; Whiteley, A.S.; Griffiths, R.I. Effects of sieving, drying and rewetting upon soil bacterial community structure and respiration rates. J. Microbiol. Methods 2010, 83, 69–73. [Google Scholar] [CrossRef] [PubMed]
  35. Datta, R.; Vranová, V.; Pavelka, M.; Rejšek, K.; Formánek, P. Effect of soil sieving on respiration induced by low-molecular-weight substrates. Int. Agrophys. 2014, 28, 119–124. [Google Scholar] [CrossRef] [Green Version]
  36. Černohlávková, J.; Jarkovský, J.; Nešporová, M.; Hofman, J. Variability of soil microbial properties: Effects of sampling, handling and storage. Ecotoxicol. Environ. Saf. 2009, 72, 2102–2108. [Google Scholar] [CrossRef]
  37. Joergensen, R.G.; Emmerling, C. Methods for evaluating human impact on soil microorganisms based on their activity, biomass, and diversity in agricultural soils. J.Plant Nutr. Soil Sci. 2006, 169, 295–309. [Google Scholar] [CrossRef]
  38. Hassink, J. Effects of soil texture and structure on carbon and nitrogen mineralization in grassland soils. Biol. Fertil. Soils 1992, 14, 126–134. [Google Scholar] [CrossRef]
  39. Franzluebbers, A.J. Potential C and N mineralization and microbial biomass from intact and increasingly disturbed soils of varying texture. Soil Biol. Biochem. 1999, 31, 1083–1090. [Google Scholar] [CrossRef] [Green Version]
  40. Zhang, J.F.; Sayer, E.J.; Zhou, J.G.; Li, Y.W.; Li, Y.X.; Li, Z.A.; Wang, F.M. Long-term fertilization modifies the mineralization of soil organic matter in response to added substrate. Sci. Total Environ. 2021, 798, 149341. [Google Scholar] [CrossRef]
  41. Kuzyakov, Y.; Friedel, J.K.; Stahr, K. Review of mechanisms and quantification of priming effects. Soil Biol. Biochem. 2000, 32, 1485–1498. [Google Scholar] [CrossRef]
  42. Dijkstra, F.A.; Carrillo, Y.; Pendall, E.; Morgan, J.A. Rhizosphere priming: A nutrient perspective. Front. Microbiol. 2013, 4, 216. [Google Scholar] [CrossRef] [Green Version]
  43. Chen, R.; Senbayram, M.; Blagodatsky, S.; Myachina, O.; Dittert, K.; Lin, X.; Blagodatskaya, E.; Kuzyakov, Y. Soil C and N availability determine the priming effect: Microbial N mining and stoichiometric decomposition theories. Glob. Chang. Biol. 2014, 20, 2356–2367. [Google Scholar] [CrossRef]
  44. Lange, M.; Koller-France, E.; Hildebrandt, A.; Oelmann, Y.; Wilcke, W.; Gleixner, G. How plant diversity impacts the coupled water, nutrient and carbon cycles. Adv. Ecol. Res. 2019, 61, 185–219. [Google Scholar]
  45. Liao, H.; Gao, S.H.; Hao, X.L.; Qin, F.; Ma, S.L.; Chen, W.L.; Huang, Q.Y. Soil aggregate isolation method affects interpretation of protistan community. Soil Biol. Biochem. 2021, 161, 108388. [Google Scholar] [CrossRef]
  46. Marinari, S.; Lagomarsino, A.; Moscatelli, M.C.; Di Tizio, A.; Campiglia, E. Soil carbon and nitrogen mineralization kinetics in organic and conventional three-year cropping systems. Soil Till. Res. 2010, 109, 161–168. [Google Scholar] [CrossRef]
  47. Zakharova, A.; Midwood, A.J.; Hunt, J.E.; Graham, S.L.; Artz, R.R.E.; Turnbull, M.H.; Whitehead, D.; Millard, P. Loss of labile carbon following soil disturbance determined by measurement of respired δ13CO2. Soil Biol. Biochem. 2014, 68, 125–132. [Google Scholar] [CrossRef]
  48. Phillips, R.P.; Finzi, A.C.; Bernhardt, E.S. Enhanced root exudation induces microbial feedbacks to N cycling in a pine forest under long-term CO2 fumigation. Ecol. Lett. 2010, 14, 187–194. [Google Scholar] [CrossRef]
Publisher’s Note: MDPI stays neutral with regard to jurisdictional claims in published maps and institutional affiliations.

Article Metrics

Citations

Article Access Statistics

Multiple requests from the same IP address are counted as one view.