Heritable and Climatic Sources of Variation in Juvenile Tree Growth in an Austrian Common Garden Experiment of Central European Norway Spruce Populations
Abstract
:1. Introduction
2. Materials and Methods
2.1. Common Garden Experiment
2.2. Weather Data
2.3. Climatic Analysis
2.4. Phenotypic Analysis Using Climatic Data
2.5. Predictions Using Climatic Covariance
3. Results
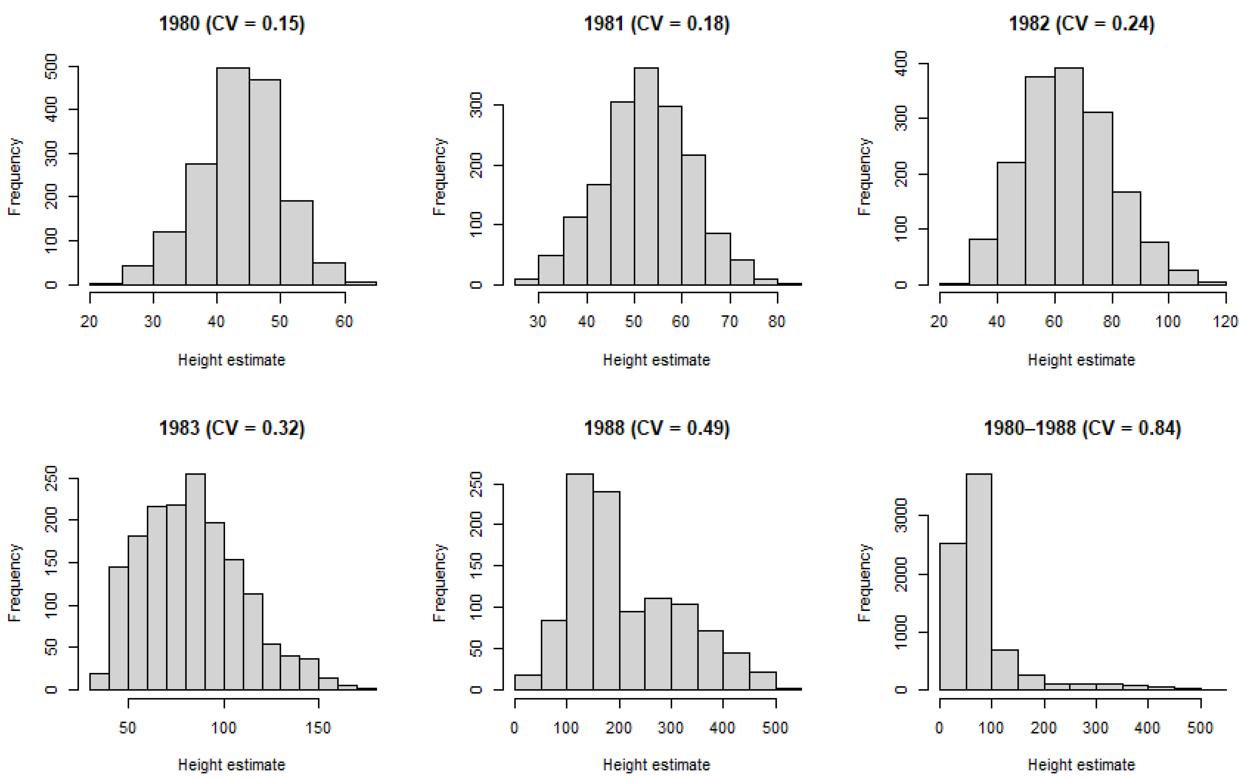
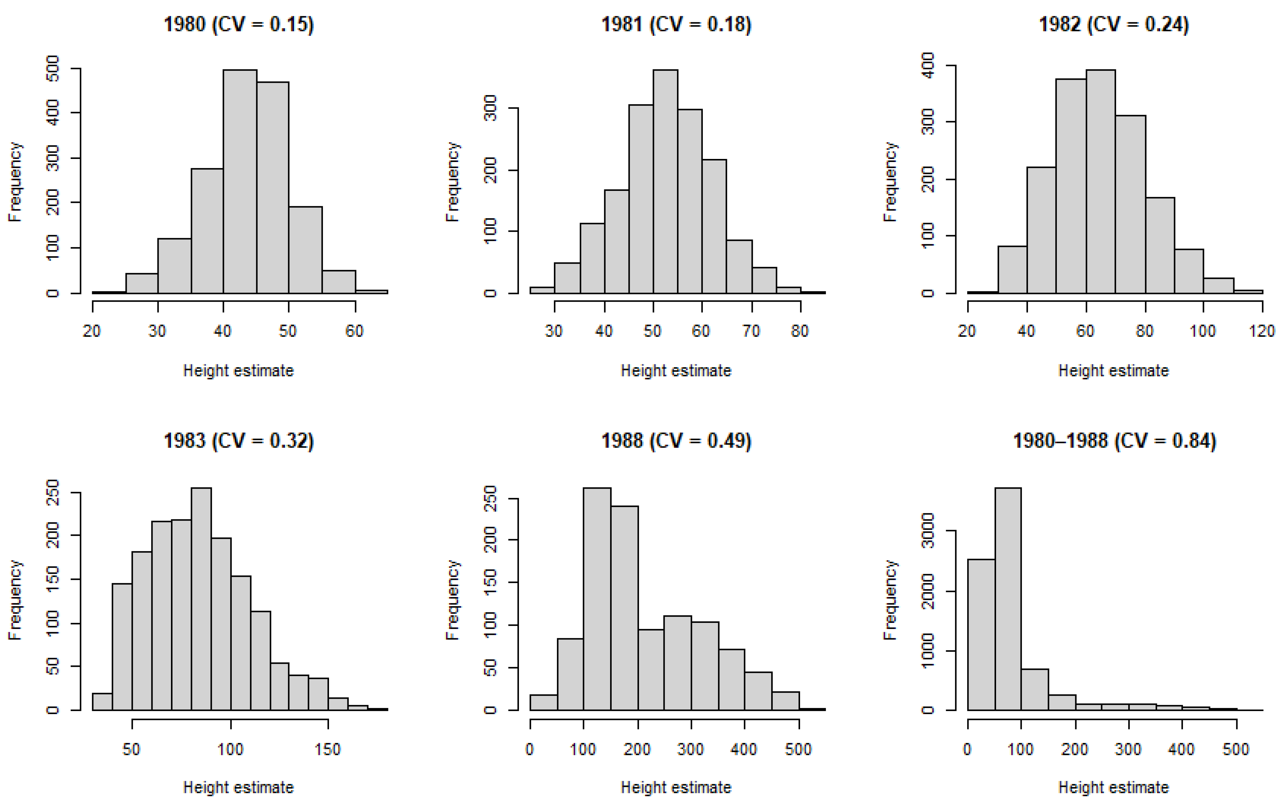
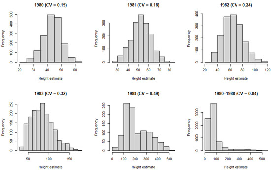
3.1. Phenotypic and Climatic Variation among Trial Environments and Population Provenances
3.2. Climatic Modeling Increases Heritable Signal for Juvenile Tree Growth
3.3. Climate Explains Environmental Variance in Tree Height
3.4. Provenance Climate Is Highly Predictive of Inter-Population and Population × Environment Variation in Tree Height
4. Discussion
Author Contributions
Funding
Data Availability Statement
Acknowledgments
Conflicts of Interest
References
- Lindner, M.; Maroschek, M.; Netherer, S.; Kremer, A.; Barbati, A.; Garcia-Gonzalo, J.; Seidl, R.; Delzon, S.; Corona, P.; Kolström, M.; et al. Climate Change Impacts, Adaptive Capacity, and Vulnerability of European Forest Ecosystems. For. Ecol. Manag. 2010, 259, 698–709. [Google Scholar] [CrossRef]
- Seidl, R.; Thom, D.; Kautz, M.; Martin-Benito, D.; Peltoniemi, M.; Vacchiano, G.; Wild, J.; Ascoli, D.; Petr, M.; Honkaniemi, J.; et al. Forest Disturbances under Climate Change Europe PMC Funders Group. Nat Clim Chang. 2017, 7, 395–402. [Google Scholar] [CrossRef] [PubMed] [Green Version]
- Leslie, A.B.; Beaulieu, J.M.; Rai, H.S.; Crane, P.R.; Donoghue, M.J.; Mathews, S. Hemisphere-Scale Differences in Conifer Evolutionary Dynamics. Proc. Natl. Acad. Sci. USA 2012, 109, 16217–16221. [Google Scholar] [CrossRef] [Green Version]
- Wang, X.; Bernhardsson, C.; Ingvarsson, P.K. Demography and Natural Selection Have Shaped Genetic Variation in the Widely Distributed Conifer Norway Spruce (Picea abies). Genome Biol. Evol. 2020, 12, 3803–3817. [Google Scholar] [CrossRef] [PubMed]
- Yeaman, S.; Hodgins, K.A.; Lotterhos, K.E.; Suren, H.; Nadeau, S.; Degner, J.C.; Nurkowksi, K.A.; Smets, P.; Wang, T.; Gray, L.K.; et al. Convergent Local Adaptation to Climate in Distantly Related Conifers. Science 2016, 353, 1431–1433. [Google Scholar] [CrossRef] [PubMed] [Green Version]
- Kapeller, S.; Lexer, M.J.; Geburek, T.; Hiebl, J.; Schueler, S. Intraspecific Variation in Climate Response of Norway Spruce in the Eastern Alpine Range: Selecting Appropriate Provenances for Future Climate. For. Ecol. Manag. 2012, 271, 46–57. [Google Scholar] [CrossRef]
- Oleksyn, J.; Modrzyński, J.; Tjoelker, M.G.; Zytkowiak, R.; Reich, P.B.; Karolewski, P. Growth and Physiology of Picea abies Populations from Elevational Transects: Common Garden Evidence for Altitudinal Ecotypes and Cold Adaptation. Funct. Ecol. 1998, 12, 573–590. [Google Scholar] [CrossRef]
- Aitken, S.N.; Bemmels, J.B. Time to Get Moving: Assisted Gene Flow of Forest Trees. Evol. Appl. 2016, 9, 271–290. [Google Scholar] [CrossRef]
- Williams, M.I.; Dumroese, R.K. Preparing for Climate Change: Forestry and Assisted Migration. J. For. 2013, 111, 287–297. [Google Scholar] [CrossRef]
- Isidro y Sánchez, J.; Akdemir, D. Training Set Optimization for Sparse Phenotyping in Genomic Selection: A Conceptual Overview. Front. Plant Sci. 2021, 12, 715910. [Google Scholar] [CrossRef]
- Heslot, N.; Jannink, J.-L.; Sorrells, M.E. Perspectives for Genomic Selection Applications and Research in Plants. Crop Sci. 2015, 55, 1–12. [Google Scholar] [CrossRef]
- Crossa, J.; Pérez-Rodríguez, P.; Cuevas, J.; Montesinos-López, O.; Jarquín, D.; de los Campos, G.; Burgueño, J.; González-Camacho, J.M.; Pérez-Elizalde, S.; Beyene, Y.; et al. Genomic Selection in Plant Breeding: Methods, Models, and Perspectives. Trends Plant Sci. 2017, 22, 961–975. [Google Scholar] [CrossRef]
- Heslot, N.; Akdemir, D.; Sorrells, M.E.; Jannink, J.L. Integrating Environmental Covariates and Crop Modeling into the Genomic Selection Framework to Predict Genotype by Environment Interactions. Theor. Appl. Genet. 2014, 127, 463–480. [Google Scholar] [CrossRef] [PubMed]
- Bustos-Korts, D.; Boer, M.P.; Malosetti, M.; Chapman, S.; Chenu, K.; Zheng, B.; van Eeuwijk, F.A. Combining Crop Growth Modeling and Statistical Genetic Modeling to Evaluate Phenotyping Strategies. Front. Plant Sci. 2019, 10, 1491. [Google Scholar] [CrossRef] [PubMed]
- Crossa, J.; De Los Campos, G.; Maccaferri, M.; Tuberosa, R.; Burgueño, J.; Pérez-Rodríguez, P. Extending the Marker × Environment Interaction Model for Genomic-Enabled Prediction and Genome-Wide Association Analysis in Durum Wheat. Crop Sci. 2016, 56, 2193–2209. [Google Scholar] [CrossRef] [Green Version]
- Avanzi, C.; Piermattei, A.; Piotti, A.; Büntgen, U.; Heer, K.; Opgenoorth, L.; Spanu, I.; Urbinati, C.; Vendramin, G.G.; Leonardi, S. Disentangling the Effects of Spatial Proximity and Genetic Similarity on Individual Growth Performances in Norway Spruce Natural Populations. Sci. Total Environ. 2019, 650, 493–504. [Google Scholar] [CrossRef]
- Rodríguez-Álvarez, M.X.; Boer, M.P.; van Eeuwijk, F.A.; Eilers, P.H.C. Correcting for Spatial Heterogeneity in Plant Breeding Experiments with P-Splines. Spat. Stat. 2018, 23, 52–71. [Google Scholar] [CrossRef] [Green Version]
- Kapeller, S.; Dieckmann, U.; Schueler, S. Varying Selection Differential throughout the Climatic Range of Norway Spruce in Central Europe. Evol. Appl. 2017, 10, 25–38. [Google Scholar] [CrossRef] [Green Version]
- Chimani, B.; Matulla, C.; Böhm, R.; Hofstätter, M. A New High Resolution Absolute Temperature Grid for the Greater Alpine Region Back to 1780. Int. J. Climatol. 2013, 33, 2129–2141. [Google Scholar] [CrossRef]
- Chimani, B.; Böhm, R.; Matulla, C.; Ganekind, M. Development of a Longterm Dataset of Solid/Liquid Precipitation. Adv. Sci. Res. 2011, 6, 39–43. [Google Scholar] [CrossRef]
- Hiebl, J.; Auer, I.; Böhm, R.; Schöner, W.; Maugeri, M.; Lentini, G.; Spinoni, J.; Brunetti, M.; Nanni, T.; Tadić, M.P.; et al. A High-Resolution 1961-1990 Monthly Temperature Climatology for the Greater Alpine Region. Meteorol. Z. 2009, 18, 507–530. [Google Scholar] [CrossRef]
- Efthymiadis, D.; Jones, P.D.; Briffa, K.R.; Auer, I.; Böhm, R.; Schöner, W.; Frei, C.; Schmidli, J. Construction of a 10-Min-Gridded Precipitation Data Set for the Greater Alpine Region for 1800-2003. J. Geophys. Res. Atmos. 2006, 111, 6120. [Google Scholar] [CrossRef] [Green Version]
- Nather, J.; Holzer, K. Über Die Bedeutung Und Die Anlage von Kontrollflächen Zur Prüfung von Anerkanntem Fichtenpflanzgut. In Informationsdienst Forstliche Bundesversuchsanstalt Wien 181; Forstliche Bundesversuchsanstalt: Vienna, Austria, 1979. [Google Scholar]
- Schulze, U. Fichtenherkunftsprüfung 1978. In Internationaler Verband Forstlicher Versuchsanstalten IUFRO, Arbeitsgruppe S 2.02-11 Fichtenherkünfte; Forstliche Bundesversuchsanstalt: Vienna, Austria, 1985; pp. 1–12. [Google Scholar]
- R Core Team. R: A Language and Environment for Statistical Computing 2020; R Foundation for Statistical Computing: Vienna, Austria, 2013; Software; Available online: https://www.R-project.org/ (accessed on 20 May 2022).
- Pierce, D. ncdf4: Interface to Unidata NetCDF (Version 4 or Earlier) Format Data Files 2021. Software. Available online: http://cirrus.ucsd.edu/~pierce/ncdf/ (accessed on 20 May 2022).
- Lê, S.; Josse, J.; Husson, F. FactoMineR: An R Package for Multivariate Analysis. J. Stat. Softw. 2008, 25, 1–18. [Google Scholar] [CrossRef] [Green Version]
- Piepho, H.P.; Möhring, J.; Schulz-Streeck, T.; Ogutu, J.O. A Stage-Wise Approach for the Analysis of Multi-Environment Trials. Biometrical J. 2012, 54, 844–860. [Google Scholar] [CrossRef] [PubMed]
- Piepho, H.P.; Tempelman, R.J.; Williams, E.R. Guest Editors’ Introduction to the Special Issue on “Recent Advances in Design and Analysis of Experiments and Observational Studies in Agriculture”. J. Agric. Biol. Environ. Stat. 2020, 25, 453–456. [Google Scholar] [CrossRef]
- Muñoz, F.; Sanchez, L. BreedR: Statistical Methods for Forest Genetic Resources Analysts 2020. Software. Available online: http://famuvie.github.io/breedR/ (accessed on 20 May 2022).
- Piepho, H.P.; Moehring, J. Computing Heritability and Selection Response from Unbalanced Plant Breeding Trials. Genetics 2007, 177, 1881–1888. [Google Scholar] [CrossRef] [PubMed] [Green Version]
- Holland, J.B.; Nyquist, W.E.; Cervantes-Martinez, C.T. Estimating and Interpreting Heritability for Plant Breeding. Plant Breed. Rev. 2003, 22, 9–112. [Google Scholar]
- Hickey, J.M.; Chiurugwi, T.; Mackay, I.; Powell, W. Genomic Prediction Unifies Animal and Plant Breeding Programs to Form Platforms for Biological Discovery. Nat. Genet. 2017, 49, 1297–1303. [Google Scholar] [CrossRef]
- Gillberg, J.; Marttinen, P.; Mamitsuka, H.; Kaski, S. Modelling G3E with Historical Weather Information Improves Genomic Prediction in New Environments. Bioinformatics 2019, 35, 4045–4052. [Google Scholar] [CrossRef] [Green Version]
- Jarquín, D.; Crossa, J.; Lacaze, X.; Du Cheyron, P.; Daucourt, J.; Lorgeou, J.; Piraux, F.; Guerreiro, L.; Pérez, P.; Calus, M.; et al. A Reaction Norm Model for Genomic Selection Using High-Dimensional Genomic and Environmental Data. Theor. Appl. Genet. 2014, 127, 595–607. [Google Scholar] [CrossRef] [Green Version]
- Costa-Neto, G.; Fritsche-Neto, R.; Crossa, J. Nonlinear Kernels, Dominance, and Envirotyping Data Increase the Accuracy of Genome-Based Prediction in Multi-Environment Trials. Heredity 2021, 126, 92–106. [Google Scholar] [CrossRef] [PubMed]
- Chen, Z.Q.; Karlsson, B.; Wu, H.X. Patterns of Additive Genotype-by-Environment Interaction in Tree Height of Norway Spruce in Southern and Central Sweden. Tree Genet. Genomes 2017, 13, 25. [Google Scholar] [CrossRef] [Green Version]
- Korecký, J.; Čepl, J.; Stejskal, J.; Faltinová, Z.; Dvořák, J.; Lstibůrek, M.; El-Kassaby, Y.A. Genetic Diversity of Norway Spruce Ecotypes Assessed by GBS-Derived SNPs. Sci. Rep. 2021, 11, 23119. [Google Scholar] [CrossRef]
- Hannrup, B.; Cahalan, C.; Chantre, G.; Grabner, M.; Karlsson, B.; Le Bayon, I.; Jones, G.L.; Müller, U.; Pereira, H.; Rodrigues, J.C.; et al. Genetic Parameters of Growth and Wood Quality Traits in Picea abies. Scand. J. For. Res. 2004, 19, 14–29. [Google Scholar] [CrossRef]
- Androsiuk, P.; Shimono, A.; Westin, J.; Lindgren, D.; Fries, A.; Wang, X.R. Genetic Status of Norway Spruce (Picea abies) Breeding Populations for Northern Sweden. Silvae Genet. 2013, 62, 127–136. [Google Scholar] [CrossRef] [Green Version]
- Zianis, D.; Muukkonen, P.; Mäkipää, R.; Mencuccini, M. Biomass and Stem Volume Equations for Tree Species in Europe; Tammer-Paino Oy: Tampere, Finland, 2005; Volume 4, ISBN 9514019830. [Google Scholar]
- Spinoni, J.; Naumann, G.; Vogt, J.V.; Barbosa, P. The Biggest Drought Events in Europe from 1950 to 2012. J. Hydrol. Reg. Stud. 2015, 3, 509–524. [Google Scholar] [CrossRef]
- Washburn, J.D.; Burch, M.B.; Franco, J.A.V. Predictive Breeding for Maize: Making Use of Molecular Phenotypes, Machine Learning, and Physiological Crop Models. Crop Sci. 2020, 60, 622–638. [Google Scholar] [CrossRef]
- Messina, C.D.; Technow, F.; Tang, T.; Totir, R.; Gho, C.; Cooper, M. Leveraging Biological Insight and Environmental Variation to Improve Phenotypic Prediction: Integrating Crop Growth Models (CGM) with Whole Genome Prediction (WGP). Eur. J. Agron. 2018, 100, 151–162. [Google Scholar] [CrossRef]
- Berg, J.J.; Coop, G. A Population Genetic Signal of Polygenic Adaptation. PLoS Genet. 2014, 10, e1004412. [Google Scholar] [CrossRef] [Green Version]
- Alberto, F.J.; Aitken, S.N.; Alía, R.; González-Martínez, S.C.; Hänninen, H.; Kremer, A.; Lefèvre, F.; Lenormand, T.; Yeaman, S.; Whetten, R.; et al. Potential for Evolutionary Responses to Climate Change - Evidence from Tree Populations. Glob. Chang. Biol. 2013, 19, 1645–1661. [Google Scholar] [CrossRef] [Green Version]
- Milesi, P.; Berlin, M.; Chen, J.; Orsucci, M.; Li, L.; Jansson, G.; Karlsson, B.; Lascoux, M. Assessing the Potential for Assisted Gene Flow Using Past Introduction of Norway Spruce in Southern Sweden: Local Adaptation and Genetic Basis of Quantitative Traits in Trees. Evol. Appl. 2019, 12, 1946–1959. [Google Scholar] [CrossRef] [PubMed] [Green Version]
- Chen, Z.Q.; Zan, Y.; Milesi, P.; Zhou, L.; Chen, J.; Li, L.; Cui, B.B.; Niu, S.; Westin, J.; Karlsson, B.; et al. Leveraging Breeding Programs and Genomic Data in Norway Spruce (Picea abies L. Karst) for GWAS Analysis. Genome Biol. 2021, 22, 179. [Google Scholar] [CrossRef] [PubMed]



| Year | Model | Term | Estimated Variance ± Standard Error | Proportion of Total Variance | Levels | H2 |
|---|---|---|---|---|---|---|
| Across | Naive | Population | 35.67 ± 3.67 | 0.094 | 278 | 0.89 |
| (1980– | Environment | 284.38 ± 39.62 | 0.747 | 107 | ||
| 1988) | Pop × Env | 32.55 ± 1.42 | 0.086 | 2702 | ||
| Error | 27.91 ± 0.63 | 0.073 | ||||
| Climatic | Provenance | 289.49 ± 44.30 | 0.050 | 278 | 0.96 | |
| Environment | 5325.40 ± 717.78 | 0.920 | 107 | |||
| Prov × Env | 115.60 ± 4.15 | 0.020 | 2702 | |||
| Error | 59.77 ± 1.29 | 0.010 | ||||
| 1980 | Naive | Population | 14.06 ± 1.63 | 0.333 | 278 | 0.81 |
| Environment | 19.33 ± 5.85 | 0.457 | 24 | |||
| Pop × Env | 5.78 ± 0.59 | 0.137 | 612 | |||
| Error | 3.09 ± 0.14 | 0.073 | ||||
| Climatic | Provenance | 60.57 ± 9.81 | 0.362 | 278 | 0.94 | |
| Environment | 96.66 ± 29.47 | 0.578 | 24 | |||
| Prov × Env | 6.84 ± 0.60 | 0.041 | 612 | |||
| Error | 3.08 ± 0.14 | 0.018 | ||||
| 1981 | Naive | Population | 14.91 ± 1.99 | 0.169 | 278 | 0.72 |
| Environment | 56.16 ± 16.80 | 0.638 | 24 | |||
| Pop × Env | 8.50 ± 1.01 | 0.097 | 612 | |||
| Error | 8.46 ± 0.39 | 0.096 | ||||
| Climatic | Provenance | 60.17 ± 11.20 | 0.160 | 278 | 0.91 | |
| Environment | 297.05 ± 89.45 | 0.792 | 24 | |||
| Prov × Env | 9.57 ± 0.96 | 0.026 | 612 | |||
| Error | 8.43 ± 0.39 | 0.022 | ||||
| 1982 | Naive | Population | 18.42 ± 3.23 | 0.073 | 278 | 0.57 |
| Environment | 191.41 ± 56.97 | 0.762 | 24 | |||
| Pop × Env | 20.31 ± 2.42 | 0.081 | 612 | |||
| Error | 20.97 ± 0.96 | 0.083 | ||||
| Climatic | Provenance | 73.21 ± 16.98 | 0.069 | 278 | 0.84 | |
| Environment | 938.58 ± 281.11 | 0.890 | 24 | |||
| Prov × Env | 21.55 ± 2.21 | 0.020 | 612 | |||
| Error | 20.93 ± 0.97 | 0.020 | ||||
| 1983 | Naive | Population | 29.73 ± 6.24 | 0.042 | 278 | 0.49 |
| Environment | 582.74 ± 173.03 | 0.825 | 24 | |||
| Pop × Env | 47.06 ± 5.49 | 0.067 | 612 | |||
| Error | 46.68 ± 2.17 | 0.066 | ||||
| Climatic | Provenance | 109.13 ± 30.34 | 0.041 | 278 | 0.77 | |
| Environment | 2427.60 ± 724.66 | 0.922 | 24 | |||
| Prov × Env | 50.90 ± 5.07 | 0.019 | 612 | |||
| Error | 46.56 ± 2.16 | 0.018 |
| Response (BLUPs) | Model | Provenance (prop. var.) | Environment (prop. var.) | Predictive Ability |
|---|---|---|---|---|
| Population | (8) | 0.450 ± 0.068 | 0.441 ± 0.083 | |
| Environment | (9) | 0.706 ± 0.115 | 0.476 ± 0.157 | |
| Population × Environment | (10) | 7 × 10−7 ± 5 × 10−7 | −0.068 ± 0.061 b | |
| (11) | 1 × 10−6 ± 6 × 10−7 | −0.169 ± 0.037 a | ||
| (12) | 0.014 ± 0.049 | 5 × 10−17 ± 3 × 10−17 | −0.090 ± 0.073 b | |
| Population + | (13) | 0.911 ± 0.091 | 0.678 ± 0.064 a | |
| Population × Environment | (14) | 0.024 ± 0.090 | 0.063 ± 0.084 b | |
| (15) | 0.921 ± 0.009 | 6 × 10−18 ± 6 × 10−17 | 0.676 ± 0.028 a |
Publisher’s Note: MDPI stays neutral with regard to jurisdictional claims in published maps and institutional affiliations. |
© 2022 by the authors. Licensee MDPI, Basel, Switzerland. This article is an open access article distributed under the terms and conditions of the Creative Commons Attribution (CC BY) license (https://creativecommons.org/licenses/by/4.0/).
Share and Cite
Morales, L.; Swarts, K. Heritable and Climatic Sources of Variation in Juvenile Tree Growth in an Austrian Common Garden Experiment of Central European Norway Spruce Populations. Forests 2022, 13, 809. https://doi.org/10.3390/f13050809
Morales L, Swarts K. Heritable and Climatic Sources of Variation in Juvenile Tree Growth in an Austrian Common Garden Experiment of Central European Norway Spruce Populations. Forests. 2022; 13(5):809. https://doi.org/10.3390/f13050809
Chicago/Turabian StyleMorales, Laura, and Kelly Swarts. 2022. "Heritable and Climatic Sources of Variation in Juvenile Tree Growth in an Austrian Common Garden Experiment of Central European Norway Spruce Populations" Forests 13, no. 5: 809. https://doi.org/10.3390/f13050809
APA StyleMorales, L., & Swarts, K. (2022). Heritable and Climatic Sources of Variation in Juvenile Tree Growth in an Austrian Common Garden Experiment of Central European Norway Spruce Populations. Forests, 13(5), 809. https://doi.org/10.3390/f13050809

