Evasive Planning for the Management of Eucalyptus Rust Austropuccinia psidii for Espírito Santo State, Brazil
Abstract
1. Introduction
2. Materials and Methods
2.1. Phase 1—Mapping of Areas of Risk to Rust in the State of Espírito Santo
2.1.1. Step 01-Punctual Vector Spatialization of Automatic Weather Stations
2.1.2. Step 02—Spatial Interpolation by Polynomial Kernel
2.1.3. Step 03—Fuzzy Standardization of the Infection Index, Generating the Risk Index
2.1.4. Step 04—Spatial Reclassification of the Risk Index
2.2. Phase 2—Monthly Rust Assessment in Three Different Areas, and Data Analysis Based on the Infection Index and Fuzzy Standardization
2.2.1. Step 01—Pilot Study
2.2.2. Step 02—Data Analysis
3. Results
3.1. Phase 1—Mapping of Areas of Risk to Rust in the State of Espírito Santo
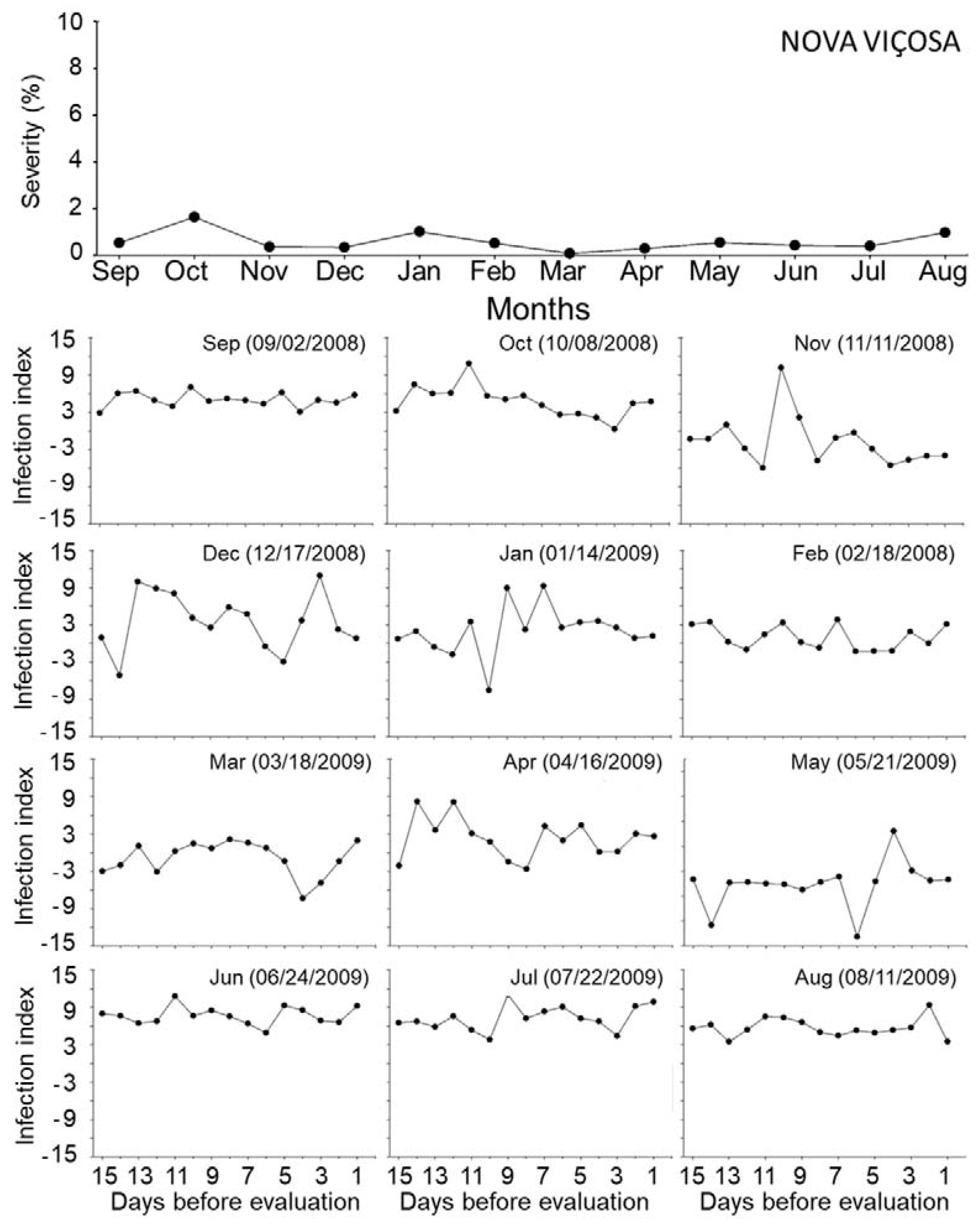
3.2. Phase 2—Monthly Rust Assessment in Three Different Areas, and Data Analysis Based on the Infection Index and Fuzzy Standardization
4. Discussion
5. Conclusions
Author Contributions
Funding
Institutional Review Board Statement
Informed Consent Statement
Data Availability Statement
Acknowledgments
Conflicts of Interest
References
- Marcatti, G.E.; Resende, R.T.; Resende, M.D.V.; Ribeiro, C.A.A.S.; dos Santos, A.R.; da Cruz, J.P.; Leite, H.G. GIS-Based Approach Applied to Optimizing Recommendations of Eucalyptus Genotypes. For. Ecol. Manag. 2017, 392, 144–153. [Google Scholar] [CrossRef]
- Indústria Brasileira de Árvores. Relatório Anual IBÁ 2021; Café Art: São Paulo, Brazil, 2021. [Google Scholar]
- Ribaski, J. Desempenho de Espécies de Eucalyptus Para Uso Em Sistemas de Integração Floresta-Pecuária No Bioma Pampa. Pesqui. Florest. Bras. 2018, 38, 1–9. [Google Scholar] [CrossRef]
- Santos, A.R.; Paterlini, E.M.; Fiedler, N.C.; Ribeiro, C.A.A.S.; Lorenzon, A.S.; Domingues, G.F.; Marcatti, G.E.; de Castro, N.L.M.; Teixeira, T.R.; dos Santos, G.M.A.D.A.; et al. Fuzzy Logic Applied to Prospecting for Areas for Installation of Wood Panel Industries. J. Environ. Manag. 2017, 193, 345–359. [Google Scholar] [CrossRef]
- Embrapa Florestas. Transferência de Tecnologia Florestal; Embrapa (Empresa Brasileira de Pesquisa Agropecuária): Colombo, Brazil, 2019. [Google Scholar]
- Borges, T.S.; Fiedler, N.C.; dos Santos, A.R.; Loureiro, E.B.; Mafia, R.G. Performance of Some Index of Risk of Fire in Eucalyptus Plantations in the North of the Espirito Santo, Brazil. Floresta E Ambiente 2011, 18, 153–159. [Google Scholar] [CrossRef]
- Coutinho, T.A.; Wingfield, M.J.; Alfenas, A.C.; Crous, P.W. Eucalyptus Rust: A Disease with the Potential for Serious International Implications. Plant Dis. 1998, 82, 819–825. [Google Scholar] [CrossRef] [PubMed]
- Pérez, C.A.; Wingfield, M.J.; Altier, N.A.; Simeto, S.; Blanchette, R.A. Puccinia Psidii Infecting Cultivated Eucalyptus and Native Myrtaceae in Uruguay. Mycol. Prog. 2011, 10, 273–282. [Google Scholar] [CrossRef][Green Version]
- Silva, P.H.M.; Miranda, A.C.; Moraes, M.L.T.; Furtado, E.L.; Stape, J.L.; Alvares, C.A.; Sentelhas, P.C.; Mori, E.S.; Sebbenn, A.M. Selecting for Rust (Puccinia Psidii) Resistance in Eucalyptus Grandis in São Paulo State, Brazil. For. Ecol. Manag. 2013, 303, 91–97. [Google Scholar] [CrossRef]
- Beenken, L. Austropuccinia: A New Genus Name for the Myrtle Rust Puccinia Psidii Placed within the Redefined Family Sphaerophragmiaceae (Pucciniales). Phytotaxa 2017, 297, 53–61. [Google Scholar] [CrossRef]
- Ruiz, R.A.R.; Alfenas, A.C.; Ferreira, F.A.; Vale, F.X.R. Influência Da Temperatura, Do Tempo de Molhamento Foliar, Do Fotoperíodo e Da Intensidade de Luz Sobre a Infecção de Puccinia Psidii Em Eucalipto. Fitopatol. Bras. 1989, 14, 55–61. [Google Scholar]
- Alfenas, A.C.; Zauza, E.A.V.; Wingfield, M.J.; Roux, J.; Glen, M. Heteropyxis Natalensis, a New Host of Puccinia Psidii Rust. Australas. Plant Pathol. 2005, 34, 285–286. [Google Scholar] [CrossRef]
- Agrios, G. Plant Pathology, 5th ed.; Academic Press: Burlington, MA, USA, 2005; ISBN 9780080473789. [Google Scholar]
- Mehrotra, R.S.; Aggarwal, A. Plant Pathology, 3rd ed.; McGraw Hill Education: Chennai, India, 2017; ISBN 978-93-5260-705-1. [Google Scholar]
- Chock, M.K. The Global Threat of Myrtle Rust (AUSTROPUCCINIA Psidii): Future Prospects for Control and Breeding Resistance in Susceptible Hosts. Crop Prot. 2020, 136, 11. [Google Scholar] [CrossRef]
- Alvares, C.A.; Sentelhas, P.C.; Mattos, E.M.; Miranda, A.C.; Moraes, W.B.; Silva, P.H.M.; Furtado, E.L.; Stape, J. Climatic Favourability Zones for Eucalyptus Rust in Brazil. For. Pathol. 2017, 47, e12301. [Google Scholar] [CrossRef]
- Masson, M.V.; Moraes, W.B.; Furtado, E.L. Chemical Control of Eucalyptus Rust: Brazilian Experiences. In Fungicides—Showcases of Integrated Plant Disease Management from around the World; Nita, M., Ed.; Virginia Tech: London, UK, 2013; pp. 117–134. ISBN 978-953-51-1130-6. [Google Scholar]
- Jesus Junior, W.C.; Pozza, E.A.; Vale, F.X.R.; Aguilera, G.M. Análise Temporal de Epidemias. In Epidemiologia Aplicada ao Manejo de Doenças de Plantas; Vale, F.X.R., Jesus Junior, W.C., Zambolim, L., Eds.; Perffil: Belo Horizonte, Brazil, 2004; pp. 127–188. [Google Scholar]
- Booth, T.; Old, K.; Jovanovic, T. A Preliminary Assessment of High Risk Areas for Puccinia Psidii (Eucalyptus Rust) in the Neotropics and Australia. Agric. Ecosyst. Environ. 2000, 82, 295–301. [Google Scholar] [CrossRef]
- Paul, I.; van Jaarsveld, A.S.; Korsten, L.; Hattingh, V. The Potential Global Geographical Distribution of Citrus Black Spot Caused by Guignardia Citricarpa (Kiely): Likelihood of Disease Establishment in the European Union. Crop Prot. 2005, 24, 297–308. [Google Scholar] [CrossRef]
- van Staden, V.; Erasmus, B.F.; Roux, J.; Wingfield, M.J.; van Jaarsveld, A.S. Modelling the Spatial Distribution of Two Important South African Plantation Forestry Pathogens. For. Ecol. Manag. 2004, 187, 61–73. [Google Scholar] [CrossRef]
- Lopes, M.V.; Barreto, M.; Scaloppi, É.A.G.; Barbosa, J.C.; Brunini, O. Mapas de Zonas de Risco de Epidemias e Zoneamento Agroclimático Para o Cancro Cítrico No Estado de São Paulo. Summa Phytopathol. 2008, 34, 349–353. [Google Scholar] [CrossRef]
- Hoerl, A.E.; Kennard, R.W. Ridge Regression: Biased Estimation for Nonorthogonal Problems. Technometrics 1970, 12, 55–67. [Google Scholar] [CrossRef]
- Yan, X.; Su, X.G. Linear Regression Analysis; World Scientific: Singapore, 2009; ISBN 978-981-283-410-2. [Google Scholar]
- Fan, J.; Gijbels, I. Local Polynomial Modelling and Its Applications: Monographs on Statistics and Applied Probability 66, 1st ed.; Routledge: New York, NY, USA, 1996. [Google Scholar]
- Junghans, D.T.; Alfenas, A.C.; Maffia, L.A. Escala de Notas Para Quantificação Da Ferrugem Em Eucalyptus. Fitopatol. Bras. 2003, 28, 184–188. [Google Scholar] [CrossRef]
- Klir, G.J.; Yuan, B. Fuzzy Sets and Fuzzy Logic: Theory and Applications; Prentice Hall: Hoboken, NJ, USA, 1995; ISBN 0131011715,9780131011717. [Google Scholar]
- Kim, K.S.; Wang, T.C.; Yang, X.B. Simulation of Apparent Infection Rate to Predict Severity of Soybean Rust Using a Fuzzy Logic System. Phytopathology 2005, 95, 1122–1131. [Google Scholar] [CrossRef] [PubMed][Green Version]
- Kavdir, I.; Guyer, D.E. Apple Grading Using Fuzzy Logic. Turk. J. Agric. For. 2003, 27, 375–382. [Google Scholar] [CrossRef]
- Del Ponte, E.M.; Godoy, C.V.; Canteri, M.G.; Reis, E.M.; Yang, X.B. Models and Applications for Risk Assessment and Prediction of Asian Soybean Rust Epidemics. Fitopatol. Bras. 2006, 31, 533–544. [Google Scholar] [CrossRef]
- Peixoto, M.S.; Barros, L.C.; Bassanezi, R.C. Um Modelo Fuzzy Presa-Predador Em Citros: Pulgões e Joaninhas. Biomatemática 2004, 14, 29–38. [Google Scholar]
- Teixeira, T.R.; Soares Ribeiro, C.A.A.; Rosa dos Santos, A.; Marcatti, G.E.; Lorenzon, A.S.; de Castro, N.L.M.; Domingues, G.F.; Leite, H.G.; da Costa de Menezes, S.J.M.; Santos Mota, P.H.; et al. Forest Biomass Power Plant Installation Scenarios. Biomass Bioenergy 2018, 108, 35–47. [Google Scholar] [CrossRef]
- Carvalho, A.O.; Alfenas, A.C.; Maffia, L.A.; Carmo, M.G.F. Avaliação Do Progresso Da Ferrugem (Puccinia Psidii) Em Brotações de Eucalyptus Cloeziana No Sudeste Da Bahia, de 1987 a 1981. Rev. Árvore 1994, 3, 265–274. [Google Scholar]
- Santos, C.A.G. Estudos Epidemiológicos Da Ferrugem Do Eucalipto Causado Por Puccinia Psidii Em Plantios Irrigados; Faculty of Agronomic Sciences, University of São Paulo: Botucatu, Brazil, 2006. [Google Scholar]
- Moraes, W.B.; de Jesus Júnior, W.C.; Mafia, R.G.; Moraes, W.B.; Cecílio, R.A. Mapeamento de Áreas de Risco Para Ocorrência Da Ferrugem Do Eucalipto No Espírito Santo e Extremo Sul Da Bahia. Summa Phytopathol. 2014, 40, 147–155. [Google Scholar] [CrossRef][Green Version]
- Ferreira, F.A. Patologia Florestal: Principais Doenças Florestais No Brasil; SIF: Viçosa, Brazil, 1989. [Google Scholar]
- Ruiz, R.A.R. Epidemiologia e Controle Químico Da Ferrugem (Puccinia Psidii Winter) Do Eucalipto; Universidade Federal de Viçosa: Viçosa, Brazil, 1988. [Google Scholar]
- Alfenas, A.C.; Zauza, E.A.V.; Mafia, R.G.; Assis, T.F. Clonagem e Doenças Do Eucalipto; UFV: Viçosa, Brazil, 2009. [Google Scholar]
- Glen, M.; Alfenas, A.C.; Zauza, E.A.V.; Wingfield, M.J.; Mohammed, C. Puccinia Psidii: A Threat to the Australian Environment and Economy—A Review. Australas. Plant Pathol. 2007, 36, 1. [Google Scholar] [CrossRef]
- Lana, V.M.; Mafia, R.G.; Ferreira, M.A.; Sartório, R.C.; Zauza, E.A.V.; Mounteer, A.H.; Alfenas, A.C. Survival and Dispersal of Puccinia Psidii Spores in Eucalypt Wood Products. Australas. Plant Pathol. 2012, 41, 229–238. [Google Scholar] [CrossRef]
- Brunt, A.A.; Phillips, S. ‘Fuzzy Vein’, a Disease of Tomato (Lycopersicon Esculentum) in Western Nigeria Induced by Cowpea Mild Mottle Virus. Trop. Agric. 1981, 58, 177–180. [Google Scholar]










| Range | Class | Risk | Color |
|---|---|---|---|
| 0–0.333 | 1 | Low | |
| 0.333–0.666 | 2 | Medium | |
| 0.666–1 | 3 | High |
Publisher’s Note: MDPI stays neutral with regard to jurisdictional claims in published maps and institutional affiliations. |
© 2022 by the authors. Licensee MDPI, Basel, Switzerland. This article is an open access article distributed under the terms and conditions of the Creative Commons Attribution (CC BY) license (https://creativecommons.org/licenses/by/4.0/).
Share and Cite
Silva, L.G.d.; Jesus Junior, W.C.d.; Pezzopane, J.E.M.; Alves, F.R.; Moraes, W.B.; Pirovani, D.B.; Mafia, R.G.; Amaral, J.F.T.d.; Guerra Filho, P.A.; Curty, T.A.; et al. Evasive Planning for the Management of Eucalyptus Rust Austropuccinia psidii for Espírito Santo State, Brazil. Forests 2022, 13, 646. https://doi.org/10.3390/f13050646
Silva LGd, Jesus Junior WCd, Pezzopane JEM, Alves FR, Moraes WB, Pirovani DB, Mafia RG, Amaral JFTd, Guerra Filho PA, Curty TA, et al. Evasive Planning for the Management of Eucalyptus Rust Austropuccinia psidii for Espírito Santo State, Brazil. Forests. 2022; 13(5):646. https://doi.org/10.3390/f13050646
Chicago/Turabian StyleSilva, Lilianne Gomes da, Waldir Cintra de Jesus Junior, José Eduardo Macedo Pezzopane, Fábio Ramos Alves, Willian Bucker Moraes, Daiani Bernardo Pirovani, Reginaldo Gonçalves Mafia, José Francisco Teixeira do Amaral, Plinio Antonio Guerra Filho, Thuelem Azevedo Curty, and et al. 2022. "Evasive Planning for the Management of Eucalyptus Rust Austropuccinia psidii for Espírito Santo State, Brazil" Forests 13, no. 5: 646. https://doi.org/10.3390/f13050646
APA StyleSilva, L. G. d., Jesus Junior, W. C. d., Pezzopane, J. E. M., Alves, F. R., Moraes, W. B., Pirovani, D. B., Mafia, R. G., Amaral, J. F. T. d., Guerra Filho, P. A., Curty, T. A., Carvalho, J. R. d., & Santos, A. R. d. (2022). Evasive Planning for the Management of Eucalyptus Rust Austropuccinia psidii for Espírito Santo State, Brazil. Forests, 13(5), 646. https://doi.org/10.3390/f13050646

