Influence of Planting Scheme on Some Physical Properties of Norway Spruce (Picea abies (L.) H. Karst) Wood
Abstract
1. Introduction
- highlight wood density particularities;
- measure microdrilling resistance;
- quantify sound speed.
2. Materials and Methods
2.1. Study Site
2.2. Sampling
2.3. Method
2.4. Statistical Analyses
3. Results
3.1. Wood Density Particularities in an Experimental Plot Installed by Using Different Plantation Variants
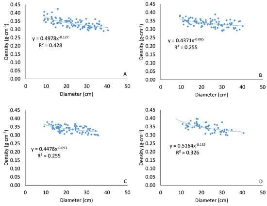
3.1.1. Wood Density Measured through Volumetric Method
3.1.2. Wood Density Measured through Microdrilling Resistance as Proxy
3.2. Microdrilling Resistance in Norway Spruce (Picea abies (L.) H. Karst) Stands Installed through Different Plantation Variants
3.3. Sound Speed in Norway Spruce (Picea abies (L.) H. Karst) Stands Installed by Using Different Plantation Variants
4. Discussion
4.1. Wood Density
4.2. Microdrilling Resistance
4.3. Sound Speed
5. Conclusions
Author Contributions
Funding
Institutional Review Board Statement
Informed Consent Statement
Data Availability Statement
Conflicts of Interest
References
- Ciubotaru, A. Sortarea și Prelucrarea Lemnului; Editura Lux Libris: Brașov, Romania, 1997; p. 194. [Google Scholar]
- Beldeanu, E.C. Unele consideraţii privind noţiunea de calitate a lemnului. Rev. Pădurilor 2007, 3, 23–27. [Google Scholar]
- Beldeanu, E.C. Produse Forestiere; Editura Universității Transilvania: Brașov, Romania, 2008; p. 331. [Google Scholar]
- Zhang, S.Y. Wood Quality Attributes and Their Impacts on Wood Utilization. In Proceedings of the XII World Forestry Congres, Québec City, QC, Canada, 21–28 September 2003; Available online: https://www.fao.org/3/XII/0674-B1.htm (accessed on 2 February 2022).
- Rudnicki, M.; Wang, X.; Ross, R.J.; Allison, R.B.; Perzynski, K. Measuring Wood Quality in Standing Trees—A Review; General Technical Report. FPL-GTR-248; U.S. Department of Agriculture, Forest Service, Forest Products Laboratory: Madison, WI, USA, 2017; 13p. [Google Scholar]
- Barnett, J.; Jeronimidis, G. Wood Quality and Its Biological Basis; Blackwell: London, UK, 2003. [Google Scholar]
- Diaconu, D.; Wassenberg, M.; Spiecker, H. Variability of European beech wood density as influenced by interactions between tree-ring growth and aspect. For. Ecosyst. 2016, 3, 6. [Google Scholar] [CrossRef]
- Gräns, D.; Hannrup, B.; Isik, F.; Lundqvist, S.O.; Mckeand, S. Genetic variation and relationships to growth traits for microfibril angle, wood density and modulus of elasticity in a Picea abies clonal trial in southern Sweden. Scand. J. For. Res. 2009, 24, 494–503. [Google Scholar] [CrossRef]
- Câmpu, V.R.; Ciubotaru, A. Apparent volumic mass models for pulpwood Norway spruce logs. Rural. Dev. 2013, 6, 215–220. [Google Scholar]
- Jyske, T.; Mäkinen, H.; Saranpää, P. Wood density within Norway spruce stems. Silva Fenn. 2008, 42, 439–455. [Google Scholar] [CrossRef]
- Gerendiain, A.Z.; Peltola, H.; Pulkkinen, P.; Kellomaki, S. Effects of genetic entry and competition by neighbouring trees on growth and wood properties of cloned Norway spruce (Picea abies). Ann. For. Sci. 2009, 66, 806. [Google Scholar] [CrossRef]
- Chen, Z.-Q.; Gil, M.R.G.; Karlsson, B.; Lundqvist, S.-O.; Olsson, L.; Wu, H.X. Inheritance of growth and solid wood quality traits in a large Norway spruce population tested at two locations in southern Sweden. Tree Genet. Genomes 2014, 10, 1291–1303. [Google Scholar] [CrossRef]
- Molteberg, D.; Høibø, O. Development and variation of wood density, kraft pulp yield and fibre dimensions in young Norway spruce (Picea abies). Wood Sci. Technol. 2006, 40, 173–189. [Google Scholar] [CrossRef]
- Wassenberg, M.; Chiu, H.-S.; Guo, W.; Spiecker, H. Analysis of wood density profiles of tree stems: Incorporating vertical variations to optimize wood sampling strategies for density and biomass estimations. Trees 2015, 29, 551–561. [Google Scholar] [CrossRef]
- Franceschini, T.; Bontemps, J.D.; Gelhaye, P.; Rittie, D.; Herve, J.C.; Gegout, J.C.; Leban, J.M. Decreasing trend and fluctuations in the mean ring density of Norway spruce through the twentieth century. Ann. For. Sci. 2010, 67, 816. [Google Scholar] [CrossRef][Green Version]
- Franceschini, T.; Longuetaud, F.; Bontemps, J.-D.; Bouriaud, O.; Caritey, B.-D.; Leban, J.-M. Effect of ring width, cambial age, and climatic variables on the within-ring wood density profile of Norway spruce (Picea abies L. Karst.). Trees 2013, 27, 913–925. [Google Scholar] [CrossRef]
- Bouriaud, O.; Leban, J.; Bert, M.; Deleuze, C. Intra-annual variations in climate influence growth and wood density of Norway spruce. Tree Physiol. 2005, 25, 651–660. [Google Scholar] [CrossRef] [PubMed]
- Gjerdrum, P.; Eikenes, B. A model for spatial wood density gradients in Norway spruce stems and stochastic between-stem dissimilarities for basic and dry density. Wood Sci. Technol. 2014, 48, 71–84. [Google Scholar] [CrossRef]
- Yatskov, M.; Harmon, M.E.; Krankina, O.N. A chronosequence of wood decomposition in the boreal forests of Russia. Can. J. Forest Res. 2003, 33, 1211–1226. [Google Scholar] [CrossRef]
- Kahl, T.; Wirth, C.; Mund, M.; Böhnisch, G.; Schulze, E. Using drill resistance to quantify the density in coarse woody debris of Norway spruce. Eur. J. Forest Res. 2009, 128, 467–473. [Google Scholar] [CrossRef]
- Wessels, C.B.; Malan, F.S.; Rypstra, T. A review of measurement methods used on standing trees for the prediction of some mechanical properties of timber. Eur. J. Forest Res. 2011, 130, 881–893. [Google Scholar] [CrossRef]
- Polge, H. Fifteen years of wood radiation densitometry. Wood Sci. Technol. 1978, 12, 187–196. [Google Scholar] [CrossRef]
- Habermehl, A.; Ridder, H.-W.; Seidl, P. Computerized tomographic systems as tools for diagnosing urban tree health. Acta Hortic. 1999, 496, 261–268. [Google Scholar] [CrossRef]
- Wang, S.Y.; Chiu, C.M.; Lin, C.J. Application of the drilling resistance method for annual ring characteristics: Evaluation of Taiwania (Taiwania cryptomeribides) trees grown with different thinning and pruning treatments. J. Wood Sci. 2003, 49, 116–124. [Google Scholar] [CrossRef]
- Gao, S.; Wang, X.; Wiemann, M.C.; Brashaw, B.K.; Ross, R.J.; Wang, L. A critical analysis of methods for rapid and nondestructive determination of wood density in standing trees. Ann. For. Sci. 2017, 74, 27. [Google Scholar] [CrossRef]
- Johnstone, D.M.; Ades, P.K.; Moore, G.M.; Smith, I.W. Predicting Wood Decay in Eucalypts Using an Expert System and the IML-Resistograph Drill. Arboric. Urban For. 2007, 33, 76–82. [Google Scholar] [CrossRef]
- Leong, E.C.; Burcham, D.C.; Fong, Y.K. A purposeful classification of tree decay detection tools. Arboric. J. Int. J. Urban For. 2012, 34, 91–115. [Google Scholar] [CrossRef]
- Vlad, R.; Zhiyanski, M.; Dincă, L.; Sidor, C.G.; Constandache, C.; Pei, G.; Ispravnic, A.; Blaga, T. Assessment of the density of wood with stem decay of Norway spruce trees using drill resistance. Comptes Rendus l’Acad. Bulg. Sci. 2018, 71, 1502–1510. [Google Scholar] [CrossRef]
- Rinn, F. Basics of micro-resistance drilling for timber inspection. Holztechnologie 2012, 53, 24–28. [Google Scholar]
- Ross, R.J. Nondestructive Evaluation of Wood: Second Edition; General Technical Report FPLGTR-238; U.S. Department of Agriculture, Forest Service, Forest Products Laboratory: Madison, WI, USA, 2015. [Google Scholar]
- Macchioni, N.; Brunetti, M.; Pizzo, B.; Burato, P.; Nocetti, M.; Palanti, S. The timber structures in the Church of the Nativity in Bethlehem: Typologies and diagnosis. J. Cult. Herit. 2012, 13, 42–53. [Google Scholar] [CrossRef]
- Anthony, R.W. Nondestructive evaluation: Wood. APT Bull. 2010, 41, 1–6. [Google Scholar]
- Feio, A.O.; Machado, J.S.; Lourenço, P.B. Compressive behavior and NDT correlations for chestnut wood (Castanea sativa Mill.). In Structural Analysis of Historical Constructions; Taylor & Francis Group: London, UK, 2005; pp. 369–375. [Google Scholar]
- Hiroshima, T. Applying age-based mortality analysis to a natural forest stand in Japan. J. For. Res. 2014, 19, 379–387. [Google Scholar] [CrossRef]
- Rinn, F.; Schweingruber, F.H.; Schar, E. Resistograph and X-ray density charts of wood comparative evaluation of drill resistance profiles and x-ray density charts of different wood species. Holzforschung 1996, 50, 303–311. [Google Scholar] [CrossRef]
- Wang, X.; Allsion, R.B. Decay detection in red oak trees using a combination of visual inspection, acoustic testing, and resisatnce microdrilling. Arboric. Urban For. 2008, 34, 1–4. [Google Scholar] [CrossRef]
- Rinn, F. Typical trends in resistance drilling profiles of trees. Arborist News 2014, 23, 42–47. [Google Scholar]
- Dincă, L.; Murariu, G.; Enescu, C.M.; Achim, F.; Georgescu, L.; Murariu, A.; Timiș-Gânsac, V.; Holonec, L. Productivity differences between southern and northern slopes of Southern Carpathians (Romania) for Norway spruce, silver fir, birch and black alder. Not. Bot. Horti Agrobot. Cluj-Napoca 2020, 48, 1070–1084. [Google Scholar] [CrossRef]
- Murariu, G.; Dinca, L.; Tudose, N.; Crisan, V.; Georgescu, L.; Munteanu, D.; Dragu, M.D.; Rosu, B.; Mocanu, G.D. Structural Characteristics of the Main Resinous Stands from Southern Carpathians. Romania. Forests 2021, 12, 1029. [Google Scholar] [CrossRef]
- Lawday, G.; Hodges, P.A. The analytical use of stress waves for the detection of decay in standing trees. Forestry 2000, 73, 447–456. [Google Scholar] [CrossRef]
- David, E.C. Cercetări Privind Calitatea Arborilor pe Picior Situați în Localități, Parcuri și Aliniamente Stradale. Ph.D. Thesis, Universitatea Transilvania din Brașov, Brașov, Romania, 2011; p. 360. [Google Scholar]
- Sambuelli, L.; Socco, L.V.; Godio, A.; Nicolotti, G.; Martinis, R. Ultrasonic, electric and radar measurements for living trees assessment. Boll. Geofis. Teor. Appl. 2003, 44, 253–279. [Google Scholar]
- Chave, J. Measuring Wood Density for Tropical Forest Trees. A Field Manual for the CTFS. 2005. Available online: http://chave.ups-tlse.fr/chave/wood-density-protocol.pdf (accessed on 23 January 2022).
- Isik, F.; Li, B. Rapid assessment of wood density of live trees using the Resistograph for selection in tree improvement programs. Can. J. For. Res. 2003, 33, 2426–2435. [Google Scholar] [CrossRef]
- Dowding, B.; Murphy, G.; Murphy, G. Estimating Within Tree Spatial Changes in Acoustic Velocity in Felled Douglas-fir Stems. Int. J. For. Eng. 2014, 22, 24–34. [Google Scholar] [CrossRef]
- Dell. STATISTICA 12.5; Dell: Round Rock, TX, USA, 2020. [Google Scholar]
- Microsoft. MS Excel 2019 Software; Microsoft: Redmond, WA, USA, 2020. [Google Scholar]
- Decoux, V.; Varcin, E.; Leban, J.M. Relationships between the intra-ring wood density assessed by X-ray densitometry and optical anatomical measurements in conifers. Consequences for the cell wall apparent density determination. Ann. Sci. For. 2004, 61, 251–262. [Google Scholar] [CrossRef]
- Raiskila, S.; Saranpää, P.; Fagerstedt, K.; Laakso, T.; Löija, M.; Mahlberg, R.; Paajanen, L.; Ritschkoff, A.C. Growth rate and wood properties of Norway spruce cutting clones on different sites. Silva Fenn. 2006, 40, 247–256. [Google Scholar] [CrossRef]
- Repola, J. Models for vertical wood density of Scots pine, Norway spruce and birch stems, and their application to determine average wood density. Silva Fenn. 2006, 40, 673–685. [Google Scholar] [CrossRef]
- Horáček, P.; Fajstavr, M.; Stojanović, M. The variability of wood density and compression strength of Norway spruce (Piceaabies /L./Karst.) within the stem. Beskydy 2017, 10, 17–26. [Google Scholar] [CrossRef]
- Sharapov, E.; Wang, X.; Smirnova, E.; Wacker, J.P. Wear behavior of drill bits in wood drilling resistance measurements. Wood Fiber Sci. 2018, 50, 154–166. [Google Scholar] [CrossRef]
- Frühwald, K.; Hasenstab, A.; Osterloh, K. Detection of fungal damage of wood in early stages using drilling cores and drilling resistance comparedâ to non-destructive testing methods. In Proceedings of the 2011 International Conference on Structural Health Assessment of Timber Structures (SHATIS’11), Lisbon, Portugal, 16–17 June 2011. [Google Scholar]
- Imposa, S.; Mele, G.; Corrao, M.; Coco, G.; Battaglia, G. Characterization of decay in the wooden roof of the S. Agata Church of Ragusa Ibla (Southeastern Sicily) by means of sonic tomography and resistograph penetration tests. Int. J. Arch. Herit. 2014, 8, 213–223. [Google Scholar] [CrossRef][Green Version]
- Brashaw, B.K.; Vatalaro, R.J.; Wacker, J.P.; Ross, R.J. Condition Assessment of Timber Bridges: 1: Evaluation of a Micro-Drilling Resistance Tool; General Technical Report FPL–GTR–159; U.S. Department of Agriculture, Forest Service, Forest Products Laboratory: Madison, WI, USA, 2005; p. 8. [Google Scholar]
- Sharapov, E.; Brischke, C.; Militz, H. Effect of grain direction on drilling resistance measurements in wood. Int. J. Archit. Herit. 2020, 15, 250–258. [Google Scholar] [CrossRef]
- Wang, S.Y.; Lin, C.J. Application of the drill resistance method for density boundary evaluation of earlywood and latewood of Taiwania (Taiwania cryptomerioides Hay.) plantation wood. Taiwan J. For. Sci. 2001, 16, 196–199. [Google Scholar]
- Guller, B.; Guller, A.; Kazaz, G. Is Resistograph an appropriate tool for the annual ring measurement of Pinus brutia? In Proceedings of the International Conference NDE Safety, Seč, Czech Rebublic, 31 October–1 November 2012; pp. 89–94. [Google Scholar]
- Sharapov, E.; Brischke, C.; Militz, H. Assessment of preservative-treated wooden poles using drilling-resistance measurements. Forests 2020, 11, 20. [Google Scholar] [CrossRef]
- Feio, A.O.; Machado, J.S.; Lourenço, P.B. Testing and modeling of a traditional timber mortise and tenon joint. Mater. Struct. 2014, 47, 213–225. [Google Scholar] [CrossRef]
- Kloiber, M.; Tippner, J.; Hrivnak, J. Mechanical properties of wood examined by semi-destructive devices. Mater. Struct. 2014, 47, 199–212. [Google Scholar] [CrossRef]
- Nowak, T.P.; Jasienko, J.; Hamrol-Bielecka, K. In situ assessment of structural timber using the resistance drilling method—Evaluation of usefulness. Constr. Build. Mater. 2016, 102, 403–415. [Google Scholar] [CrossRef]
- Oliveira, J.T.; Wang, X.; Vidaurre, G.B. Assessing specific gravity of young Eucalyptus plantation trees using a resistance drilling technique. Holzforschung 2017, 71, 137–145. [Google Scholar] [CrossRef]
- Vlad, R.; Ispravnic, A.; Sidor, C.G.; Pei, G. Resistance to micro-drilling of wood with rot on Norway spruce standing trees. Rev. Silvic. Cineg. 2019, 24, 37–43. [Google Scholar]
- Allison, R.B.; Wang, X. Nondestructive testing in the urban forest. In Nondestructive Evaluation of Wood: Second Edition; Ross, R.J., Ed.; General Technical Report, FPL-GTR-238; U.S. Department of Agriculture, Forest Service, Forest Products Laboratory: Madison, WI, USA, 2015; pp. 77–86. [Google Scholar]
- Christensen, M.; Hahn, K.; Mountford, E.P.; Odor, P.; Standovar, T.; Rozenbergar, D.; Diaci, J.; Wijdeven, S.; Meyer, P.; Winter, S.; et al. Dead wood in European beech (Fagus sylvatica) forest reserves. For. Ecol. Manag. 2005, 210, 267–282. [Google Scholar] [CrossRef]
- Mund, M.; Schulze, E.D. Impacts of forest management on the carbon budget of European beech (Fagus sylvatica) forests. Allg. Forst Jagdztg. 2006, 177, 47–63. [Google Scholar]
- Ross, R.J.; Brashaw, B.K.; Wang, X.; White, R.; Pellerin, R.F. Wood and Timber Condition Assessment Manual; Forest Products Society: Madison, WI, USA, 2004. [Google Scholar]
- Ross, R.J.; Pellerin, R.F. Inspection of Timber Structures Using Stress Wave Timing Nondestructive Evaluation Tools. In Wood and Timber Condition Assessment Manual: Second Edition; General Technical Report FPL-GTR-234; U.S. Department of Agriculture, Forest Service, Forest Products Laboratory: Madison, WI, USA, 2014; pp. 13–21. [Google Scholar]
- Mattheck, C.G.; Bethge, K.A. Detection of decay in trees with the Metriguard stress wave timer. J. Arboric. 1993, 19, 374–378. [Google Scholar]
- Krajnc, L.; Kadunc, A.; Straže, A. The use of ultrasound velocity and damping for the detection of internal structural defects in standing trees of European beech and Norway spruce. Holzforschung 2019, 73, 807–836. [Google Scholar] [CrossRef]
- Maurer, H.; Schubert, S.; Bachle, F.; Clauss, S.; Gsell, D.; Dual, J.; Niemz, P. A simple anisotropy correction procedure for acoustic wood tomography. Holzforschung 2006, 60, 567–573. [Google Scholar] [CrossRef]
- Schubert, S.; Gsell, D.; Dual, J.; Motavalli, M.; Niemz, P. Acoustic wood tomography on trees and the challenge of wood heterogeneity. Holzforschung 2009, 63, 107–112. [Google Scholar] [CrossRef]








| Statistic Parameters | Experimental Variant | |||
|---|---|---|---|---|
| V1 | V2 | V3 | V4 | |
| Average | 0.3376 | 0.3374 | 0.3367 | 0.3445 |
| Standard deviation | 0.026 | 0.019 | 0.021 | 0.029 |
| Variation coefficient | 12.837 | 16.930 | 15.662 | 11.787 |
| Excess | 0.543 | −0.806 | −0.347 | 0.152 |
| Asymmetry | 0.637 | −0.103 | −0.070 | 0.144 |
| Min | 0.289 | 0.298 | 0.290 | 0.271 |
| Max | 0.424 | 0.379 | 0.388 | 0.430 |
| Parameters | Experimental Variant | |||||
|---|---|---|---|---|---|---|
| V1/V2 | V1/V3 | V1/V4 | V2/V3 | V2/V4 | V3/V4 | |
| Variance | 0.000551/ 0.000242 | 0.000551/ 0.000291 | 0.000551/ 0.000536 | 0.000242/ 0.000291 | 0.000242/ 0.000536 | 0.000291/ 0.000536 |
| Observations | 96 | 96 | 96 | 96 | 96 | 96 |
| df | 95 | 95 | 95 | 95 | 95 | 95 |
| t theoretic | 1.859 | 1.859 | 1.859 | 1.859 | 1.859 | 1.859 |
| t experimental | 0.318 | 0.414 | −34.237 | 0.100 | −1.770 | −2.225 |
| p | p > 0.05 | p > 0.05 | p < 0.05 | p > 0.05 | p < 0.05 | p < 0.05 |
| Significance | - | - | * | - | * | * |
| Statistic Parameters | Experimental Variant | |||
|---|---|---|---|---|
| V1 | V2 | V3 | V4 | |
| average | 15.136 | 14.749 | 14.292 | 15.531 |
| standard deviation | 3.608 | 3.315 | 3.602 | 4.062 |
| variation coefficient | 4.194 | 4.449 | 3.968 | 3.822 |
| excess | −0.30 | 0.418 | −0.754 | −0.351 |
| asymmetry | 0.428 | 0.288 | 0.385 | 0.543 |
| min | 9.327 | 6.726 | 7.945 | 9.496 |
| max | 25.336 | 24.310 | 21.623 | 26.637 |
| Parameters | Experimental Variant | |||||
|---|---|---|---|---|---|---|
| V1/V2 | V1/V3 | V1/V4 | V2/V3 | V2/V4 | V3/V4 | |
| Variance | 4.097/5.303 | 4.097/9.780 | 4.097/11.112 | 5.303/9.780 | 5.303/11.112 | 9.780/11.112 |
| Observations | 96 | 96 | 96 | 96 | 96 | 96 |
| df | 95 | 95 | 95 | 95 | 95 | 95 |
| t theoretic | 1.859 | 1.859 | 1.859 | 1.859 | 1.859 | 1.859 |
| t experimental | 2.483 | 2.970 | −0.547 | 3.134 | −1.365 | −19.405 |
| p | p > 0.05 | p < 0.05 | p > 0.05 | p < 0.05 | p > 0.05 | p < 0.05 |
| Significance | - | * | - | * | - | * |
| Statistic Parameters | Experimental Variant | |||
|---|---|---|---|---|
| V1 | V2 | V3 | V4 | |
| Average | 1032.849 | 1025.376 | 1003.907 | 989.859 |
| Standard deviation | 109.509 | 116.205 | 111.220 | 101.247 |
| Variation coefficient | 9.432 | 8.824 | 9.026 | 9.777 |
| Excess | −0.370 | −0.207 | 1.885 | −0.567 |
| Asymmetry | −0.278 | −0.543 | −0.885 | −0.459 |
| Min | 780 | 747 | 607 | 754 |
| Max | 1263 | 1298 | 1258 | 1147 |
| Parameters | Experimental Variant | |||||
|---|---|---|---|---|---|---|
| V1/V2 | V1/V3 | V1/V4 | V2/V3 | V2/V4 | V3/V4 | |
| Variance | 18,458.4/ 16,684.2 | 18,458.4/ 16,630.4 | 18,458.4/ 16,116.5 | 16,684.2/ 16,630.4 | 16,684.2/ 16,116.5 | 16,630.4/ 16,116.5 |
| Observations | 96 | 96 | 96 | 96 | 96 | 96 |
| df | 95 | 95 | 95 | 95 | 95 | 95 |
| t theoretic | 1859 | 1859 | 1859 | 1859 | 1859 | 1859 |
| t experimental | 2356 | 4203 | 5129 | 63,240 | 13,511 | 8312 |
| p | p > 0.05 | p < 0.05 | p < 0.05 | p < 0.05 | p < 0.05 | p < 0.05 |
| Significance | - | * | * | * | * | * |
Publisher’s Note: MDPI stays neutral with regard to jurisdictional claims in published maps and institutional affiliations. |
© 2022 by the authors. Licensee MDPI, Basel, Switzerland. This article is an open access article distributed under the terms and conditions of the Creative Commons Attribution (CC BY) license (https://creativecommons.org/licenses/by/4.0/).
Share and Cite
Vlad, R.; Ispravnic, A.; Dinca, L.; Sidor, C.; Cuciurean, C.; Stefan, G. Influence of Planting Scheme on Some Physical Properties of Norway Spruce (Picea abies (L.) H. Karst) Wood. Forests 2022, 13, 540. https://doi.org/10.3390/f13040540
Vlad R, Ispravnic A, Dinca L, Sidor C, Cuciurean C, Stefan G. Influence of Planting Scheme on Some Physical Properties of Norway Spruce (Picea abies (L.) H. Karst) Wood. Forests. 2022; 13(4):540. https://doi.org/10.3390/f13040540
Chicago/Turabian StyleVlad, Radu, Alexandra Ispravnic, Lucian Dinca, Cristian Sidor, Cosmin Cuciurean, and Gheorghe Stefan. 2022. "Influence of Planting Scheme on Some Physical Properties of Norway Spruce (Picea abies (L.) H. Karst) Wood" Forests 13, no. 4: 540. https://doi.org/10.3390/f13040540
APA StyleVlad, R., Ispravnic, A., Dinca, L., Sidor, C., Cuciurean, C., & Stefan, G. (2022). Influence of Planting Scheme on Some Physical Properties of Norway Spruce (Picea abies (L.) H. Karst) Wood. Forests, 13(4), 540. https://doi.org/10.3390/f13040540

