You are currently viewing a new version of our website. To view the old version click .
Forests
  • Article
  • Open Access

19 February 2022

Beyond Monetary Cost-Benefit Analyses: Combining Economic, Environmental and Social Analyses of Short Rotation Coppice Poplar Production in Slovakia

,
,
,
and
1
Institute of Marketing and Innovation, Department of Economics and Social Sciences, University of Natural Resources and Life Sciences Vienna, Feistmantelstraße 4, 1180 Vienna, Austria
2
Wood K Plus—Competence Center for Wood Composites and Wood Chemistry, Kompetenzzentrum Holz GmbH, Altenberger Straße 69, 4040 Linz, Austria
3
Division of Livestock Sciences (NUWI), Department of Sustainable Agricultural Systems, University of Natural Resources and Life Sciences Vienna, Gregor-Mendel-Straße 33, 1180 Vienna, Austria
*
Author to whom correspondence should be addressed.
This article belongs to the Special Issue Poplar Biomass for the Bioeconomy: Production, Prediction and Sustainability

Abstract

Rising demand for bio-based products exerts a growing pressure on natural resources such as wood. Sustainable solutions are becoming increasingly important to meet the demand. In this study, 20-year poplar Short Rotation Coppice (SRC) plantations located in Western Slovakia are investigated with respect to (socio)-economic, environmental and social sustainability. The cost–benefit methodology is applied to assess the economic profitability of a switch from conventional annual crops (corn maize and winter rye) to perennial SRC. To compare economic profitability of the land management, net present value (NPV), payback time (PBT), internal rate of return (IRR) and benefit–cost ratio (BCR) are calculated. The study was enhanced by adopting the concept of regional value added to indicate the local value creation. The results for the three scenarios yield an NPV equal to 12,156 euros ha−1 for corn maize, 9763 euros ha−1 for winter rye and 2210 euros ha−1 with a PBT of 14.13 years for poplar SRC production. The regional value added for the corn maize scenario was estimated with 10,841 euros ha−1, the winter rye with 7973 euros ha−1 and the poplar SRC with 1802 euros ha−1. To appraise non-monetized social values, semi-structured interviews (N = 4) were conducted among experts familiar with SRC management in Eastern Europe. Non-monetary benefits for the stakeholder groups society, farmers or landowners and the industry were identified in terms of land fragmentation, carbon sequestration and an increase in biodiversity within the plantations, farm diversification and higher independency from wood markets. The relatively poor image of SRC, farmers or landowners having concerns about being tied on long-term contracts and legal restrictions may become obstacles in the establishment of SRC. For estimating the capability of carbon sequestration in SRC plantations the RothC model was utilized, resulting in the potential soil organic carbon (SOC) average increase of 29% during the 20 years. However, a transition in land use patterns must involve thorough considerations of all three pillars of sustainability to ensure long-term viability of the establishment.

1. Introduction

The policy-driven concept of bioeconomy in the European Union aims to cope with grand societal challenges [1,2]. The most prominent arguments are the reduction of the dependence on non-renewable fossil resources, the reduction of net CO2 emissions, opportunities for (re-)industrialization and for creating wealth as well as jobs across the whole value chain, from primary production to the markets of bio-industries. Almost half of the entire Slovak territory is designated agricultural land [3,4] and 40% of the total land area is cultivated [5]. In recent years, merely 1,915,101 hectares of the total 2,379,101 hectares of agricultural land in Slovakia has been used for farming [6]; 51% of the arable land in Slovakia is suitable for maize production and 23% for canola cultivation. However, the most important crops in Slovakia are winter rye and spring barley, followed by maize. Twenty-seven percent of agricultural land in Slovakia is covered with meadows and pastures [7]. The highest share of arable land and coverage with permanent crops is located in the Western part of Slovakia. As the backbone of the economic system in Slovakia, agriculture contributed to 3.6% of the Slovakian GDP and tied up around 3.9% of the total labor force [5]. In Western Slovakia, grain maize and cereals production are the most widespread agricultural cultivation forms [8]. However, agriculture, forestry and other land uses are among the main global emitters of greenhouse gases, responsible for around 23% of the total anthropogenic greenhouse gas emissions [9]. In addition, the rural regions in Eastern Europe are currently undergoing a demographical shift—the rural population is increasingly moving towards urban centers, and agricultural activities as well as farmlands are being abandoned, which was stated by Abolina and Luzadis [10], for example.
SRC is a promising option to secure the resource supply for a bioeconomy, not only for energy generation but also for gaining raw material utilized in the wood industry. Since different fast-growing species are commonly planted in SRC plantations, the economic profitability among these species may vary. Previous studies found that poplar may be more profitable than other species such as walnut, for example [11]. However, compared to willow plantations, profitability for poplar is worse, but even better than for black locust [12]. Other studies assume that economic cultivation is hardly feasible on marginal land, which is typically “idle, under-utilized, barren, inaccessible, degraded or abandoned”, anyway [13]. The final choice of the species to be planted in SRC, however, depends not only on the economic profitability, but rather on required material properties for further utilization of the wood, as well as soil and climatic conditions influencing the suitability for a species. SRCs are legally defined as agricultural land. As a matter of principle, poplars can be planted on marginal farmland as well as on temporarily unused land, for instance on remediation sites, mine dumps or devastated sites. Following Fehér [14], Slovakia alone has a potential of 45,000 hectares of SRC on agricultural land, whereby only 150 hectares had been established by 2017. However, it needs to be mentioned that in Slovakia SRC cultivation is legally restricted to marginal lands, described in soil quality classes from 5–9 [15].
A range of studies has shown that switching from annual crop production to SRC can have positive impacts on all three pillars of sustainability: on the economic profitability for farmers [16], on the environment [17], and on the social perspective of farmers [18]. From an environmental perspective, several studies have shown that SRC can be more environmentally friendly than intensively used agricultural land [17,19,20,21,22,23]. Especially considering climate change, perennial crops are expected to contribute to mitigation as carbon sinks. Several authors conclude that an increased soil organic carbon (SOC) sequestration in SRC plantations can result in additional carbon savings [24,25,26].
The establishment of SRC in rural areas also raises expectations on societal benefits. Job opportunities, additional income through farm diversification, low production costs, an option to use marginal, abandoned, under-used or agricultural flood-prone land, with the perspective that SRC can diminish moderate contaminations of the soil over time, are expected developments from SRC establishment [27,28,29]. However, there are also downsides associated with SRC plantations. These disadvantages could include effects on land prices, landscape identity and food security of a region, as well as the displacement of other land use forms, as identified by Warren et al. [30], Thiele and Busch [31] or Boll et al. [32]. The common ground of the studies cited above show that solutions must be sought to increase rural livelihood opportunities and economic value creation in affected regions.
The need for economic assessment to compare perennial SRC to conventional annual agriculture as a replaced form of land use was emphasized by Bryan et al. [19], for example. Other studies already addressed the shift from conventional to organic farming [33] or off-farm to on-farm bioenergy production [34] by means of a Cost-Benefit Analysis. Although the establishment of SRC on marginal land faces the trade-off of lower yields, it reduces the pressure of competition with conventional agriculture for food and feed production. Several authors have already acknowledged the need to integrate non-financial aspects into the Cost-Benefit Analysis [35,36,37,38], but it lacks practical implementation. Based on these previously presented findings, it can be assumed that economic issues tend to receive more attention, while ecological and social aspects are rather neglected.
This study aims to address this gap by conducting a Cost–Benefit Analysis and combining these findings with an analysis of environmental and social aspects of the establishment of SRC as a new land use form. Identifying economic costs and benefits, along with societal and environmental benefits and burdens, supports decision making towards a sustainable bioeconomy. This study follows the approach to (1) quantitatively compare the economic costs and benefits of SRC feeding into the production of bio-based material in Western Slovakia to maize and wheat production scenarios; (2) quantify the development of the soil organic carbon (SOC) stock of SRC (scenarios for different soil types) as an environmental indicator; and (3) qualitatively assess social aspects of SRC.

2. Materials and Methods

The concepts of Net Present Value, Payback Time, Internal Rate of Return, Benefit-Cost Ratio and Regional Value Added are applied for the economic analyses of poplar wood production in Short Rotation Coppice (SRC) plantations located in Western Slovakia as a new form of land management, and scenario analyses of the typical previous annual land use practices, which are conventional winter rye and corn maize crops. As the conventional Cost-Benefit Analysis is a single-criterion method belonging to the monetary approaches [39], it may not be possible to cover all aspects and costs or benefits which cannot be measured in monetary terms. To comply with these requirements, a sequential explanatory mixed-methods approach [40,41] is adopted. Soil organic carbon modelling is intended to give insights into the potential of carbon stock build up in SRC. With the implementation of a complementary qualitative approach, the obstacle of obscuring non-monetary aspects can be avoided. To grasp social aspects, experts’ interviews are considered in order to gain qualitative information about benefits and burdens of establishing SRC plantations. Integrating qualitative research subsequently enables gaining deeper knowledge and higher sufficiency in elaborating on the findings from the quantitative approach [41]. The present study allows achieving profound insight into the incentives of managing SRC, beyond a purely economic perspective.

2.1. Description of Land Cultivation and Data

For the calculations, the SRC cycle of 20 years is assumed, harvested every fifth year but broken down on an average of one year and one hectare for comparability. The SRC plantations are established on former arable land, however, which is characterized by lower soil quality [13]. Therefore, lower production yields are assumed, and that the economic sustainability of marginal land cultivation is not self-evident. The system boundaries for all scenarios are between preliminary soil tillage for preparing the land for planting and post-harvest transport and storage of the harvested product.
The planting density is assumed at 1667 cuttings per hectare, which is practically used due to the rotation periods of 5 years. The poplar trees re-grow from their stems after harvesting. It is assumed that in practice, the first harvest period has lower yields than the subsequent harvests [16]. Feasible annual yields of SRC plantations are estimated from 5 to 18 tDM ha−1 for wood chips production [42]. Based on experimental harvesting of five-year-old short-rotation poplar plantations in Western Slovakia, the yield of whole-stem harvested poplar plantations, which is required for the further material utilization of the stems, is considered at a lower range of 8.01 tDM ha−1. Due to legal requirements, the reconversion of the land is assumed after 20 years. Reconversion costs were estimated by experts’ consolidation to be 1200 euros per hectare, which matches the literature, such as Wolbert-Haverkamp and Musshoff [16], for example. The annual crops, grain maize and wheat, are calculated for individual one-year cycles within the 20 years, also considered per hectare. As Slovak agriculture would suffer from considerable losses without subsidies, EU agricultural policy makes an essential contribution to a properly running agriculture. The assumptions of the average produced quantities are shown in Table 1.
Table 1. Average produced quantities of the different land cultivation practices.
The economic analyses assume that the land for SRC plantation establishment is left by landowners for a contractually regulated fee (land agreement). All operation costs are considered as total costs paid to service providers who are performing the complete service. Input material is obtained from certified suppliers specialized in the production of poplar cuttings. The plantation set-up is sub-contracted to companies dedicated to the establishment of SRC plantations. The first years after planting and harvesting, mechanical weed control is carried out with a rotary harrow to prevent rods from overgrowing weeds. In the same time frame, pruning is done as manual work by cutting the main shoot for a balanced growth of the trees. In order to achieve a more ecological way of cultivation, fertilization and irrigation of the plantations is avoided. The planted land in Western Slovakia provides an adequate water supply for poplars. A multi-stem, fully mechanized harvesting approach is considered every fifth year, four times in the twenty-year cycle. The average height of the poplar trees at the point of harvesting is 14.7 m; the tree-tops are cut into 7 m stems. Tractor forwarding systems move the logs to a temporary storage at the field, where the stems are picked up by trucks for further transportation to the industry site. During the post-harvesting phase, reconversion of the land is intended, where the roots of the poplar trees are removed from the soil with cultivators and the land can be returned to its initial state. For coordination and organization of the whole production process, operational costs are considered as overhead. The revenues for timber wood were assumed as market values, drawn from the 2018 UNECE export unit values for non-coniferous industrial roundwood poplar from Slovakia, estimated with 86.06 euros per bone dry ton. The total list of assumed field operations for SRC production, and the costs and revenues used for the analyses, can be found in the Supplementary Materials in Table S1.
The annual crop production systems “corn maize” and “winter rye” present the scenarios of previous land use patterns. Corn production is associated with higher yields compared to other crops such as wheat, which is associated with relatively low yields, especially in the Eastern European region [43]. The field operations assumed for the annual crop production scenarios can be found in the Supplementary Materials Table S2 for “corn maize” and Table S3 for “winter rye”. The economic analyses of annual crop production assume that the land management organization rents the fields. Therefore, the average rental price of 50.25 euros per hectare for agricultural land in Slovakia [44] is adopted. The input parameters, such as fertilizer, herbicide, etc. and the operational costs were taken from the KTBL calculator. This online tool serves as a database for planning and comparison of agricultural crop production processes [45]. For both scenarios, a conventional integrated farming type and non-rotational power harrowing as soil management on light, low-yielding soils, representing marginal land, is assumed. Slovakia is located in Eastern Central Europe, belonging to the former Soviet Union, and is characterized by large-scale agriculture throughout the rural regions, with an average farm size of 77.5 hectares [5]. Therefore, relatively large field plots of 20 hectares, high mechanization rate of 120 kW and a longer farm-to-field distance of 10 km are assumed. The typical wheat cultivation for the temperate climate and soil conditions in Western Slovakia is winter rye [7], which was chosen for the studies scenarios. Both the corn maize and winter rye scenarios are calculated with assumed market values as revenues, drawn from the current stock market prices for maize and wheat. Corn maize is assumed as 240.25 euros per ton and winter rye as 293.75 euros per ton.

2.2. Economic Analyses: Cost-Benefit Analyses and Regional Value Added

Economic Cost–Benefit Analysis (CBA) is one method applied within the scope of sustainability assessments [37], intended to support coping with the scarcity of natural resources. The conventional CBA is an analytical tool that translates the costs and benefits into monetary values, thus presenting the economic advantages and disadvantages of an investment. The method aims to estimate and assess the impact of a project in terms of its welfare effects [46]. The cost–benefit analysis per se is a well-known method to examine potential decision making in relation to its consequences, indicated as costs and benefits [47]. Conventional economic CBA aims to compare investments with economic costs and benefits of a certain product or service [35]. According to the European Commission’s guidelines on CBA, the following stages should be followed for an assessment: (1) Presentation of the socio-economic context; (2) Definition of the objectives; (3) Identification of the project; (4) Technical feasibility and environmental sustainability; (5) Financial analysis [46]. In the case of the present study, social and environmental aspects are included additionally to the five steps above, in order to comply with the requirement for a comprehensive sustainability analysis. For abstracting the calculations the following assumptions are made: (1) the economic assessment takes into consideration that all field operations are outsourced; (2) all production inputs are purchased; (3) the land is leased from farmers or landowners for the whole crop cycle by an organization; (4) annual crops are also grown on the field for 20 consecutive years, to allow the comparison with perennial crops; and (5) benefits are presented as monetary revenues, which assumes that the poplar stems are sold on the wood market. Comparing annual agricultural crops to perennial SRC plantations with the NPV approach was adopted from previous studies, such as Stolarski et al. [12], Rosenqvist and Dawson [48] and Ericsson et al. [49]. For the present study, the following economic indicators are taken into account:
(1)
Economic net present value (eNPV) of investment: the eNPV describes the economic viability by calculating the discounted sum of values of the expected income stream over a certain time period. The analyses allow determining whether the project will lead to a profit (eNPV = > 0) or loss (eNPV = < 0). The formula used to calculate the eNPV is as follows:
e N P V = t = 0 N R t C t ( 1 + r ) t
where,
N = number of periods (years);
t = time period in years;
Rt = revenues of year t (€ ha−1);
Ct = costs of year t (€ ha−1), includes initial investment costs via C0;
r = discount rate (%).
(2)
Payback Time (PBT): refers to the time when the break-even point can be reached. This occurs when the cumulative profits are higher than the cumulative costs, and it indicates the time when the eNPV is becoming positive. For uneven cash inflows, the PBT is calculated as:
P B T = A + B D
where,
A = the year in which the cumulative cash flow was negative for the last time at the end of the year;
B = the absolute value of the cumulative cash flow at end of time A;
D = the discounted cash flow following the period A.
(3)
Internal rate of return (IRR): the percentage of effective interest resulting from the investments determines the eNPV equal to zero. The IRR is used as an index for the profitability of the project and is calculated as:
0 = N P V = t = 0 N R t C t ( 1 + I R R ) t
where,
N = number of periods (years);
t = time period in years;
Rt = revenues of year t (€ ha−1);
Ct = costs of year t (€ ha−1), includes initial investment costs via C0.
(4)
Benefit–Cost Ratio (BCR): indicates the ratio between discounted benefits, relative to their costs, serving as a decision-making support. A BCR less than one (<1) indicates that the proportion of discounted costs is higher than the discounted benefits and, therefore, the project would result in a loss. A BCR greater than one (>1) indicates that the benefits exceed the costs and allows the comparison of the profitability of the project. The Benefit–Cost Ratio can be either expressed in monetary and/or qualitative terms. The BCR is calculated with the following formula:
B C R = ( discounted   output + subsidies ) discounted   input
The adopted discount rate for all calculations in the base scenario was 4% (r = 4), already including standard inflation rates. Field subsidies for agricultural crop production funded by the European Union have been considered in the eNPV calculations, as subsidies play a decisive role in economic performance in the agricultural context. All costs and revenues from agricultural activities for assessed annual crops and perennial SRC were calculated per year. The economic analyses are based on several input factors which cannot be considered stable over a certain time-span and are relatively unknown for emerging technologies, such as poplar SRC production. Therefore, a sensitivity analysis is applied subsequently by varying several input parameters with the highest uncertainty to illustrate the effect of uncertainty on the overall results.
(5)
Regional Value Added (VA): a socio-economic indicator which is applied in the course of the CBA. The concept allows investigation of an aspect of socio-economic sustainability of SRC establishment in a monetized form. Turnock [50] already acknowledged rural diversification to counteract the depopulation of rural areas in Eastern Europe. The EU’s Common Agricultural Policy encompasses rural development to minimize regional disparities for rural countries like Slovakia [51]. Regional development is strengthened by harnessing intrinsic resources to ensure a sustainable future at all three pillars of sustainability (environmental, economic and social) in a defined area characterized by connecting elements. While the economic level can be measured and represented in monetary terms, it is more challenging for the environmental and social aspects [52]. Regional value added calculation is used to measure the generation of social wealth achieved through the economic activities of an entity [53,54]. Inputs from upstream processes that could be provided in the defined region and a network of regional suppliers are fundamental for increasing the regional value added [52]. Regional value creation at an operational level is assessed for the three land use scenarios, according to the calculation formula [54,55]:
V A = Outputs Inputs
In contrast to a solely economic viewpoint, the value added calculation does not take into account any subsidies, since it is assumed that the receipt of subsidies alone does not generate any value added for the region. Likewise, overhead costs are not included (for example costs of internal employees). Regional inputs are indicated separately in order to determine the regional share of value creation. The determination of the macro-economic (regional) value added describes the sum of all (regional) value increases of single (micro-economic) business activities (for example impact of the field manager).

2.3. Environmental Analyses: Estimation of Soil Organic Carbon (SOC)

In order to estimate the SOC dynamics during the lifetime of the SRC plantation, the carbon turnover model RothC V.26.3 was used [56]. Such a tool has been used in previous studies for SRC systems, for example by Grogan and Matthews [57]. The model allows for calculating the consequences of land management on SOC development over a period of time. The SOC pool is divided into four active pools, namely, resistant plant material (RPM), decomposable plant material (DPM), humified organic matter (HUM) and microbial biomass (BIO), and one inactive pool, inert organic matter (IOM). The input data required are climate, management and initial soil conditions data. Primary climate data was provided for the location at Brodské, Slovakia, which is located within the Pannonian basin in Western Slovakia, nearby the investigated region. No irrigation or manure input was considered for the SRC plantations under study. Experimental onsite data on initial SOC (SOCin) and clay content were provided by previous onsite estimations (Table 2). Suggestions by Grogan and Matthews [57] served to calculate the plant input. For the base scenario (S1) it was assumed that all the stems were collected during harvesting, thus the above ground carbon input only considered leaves input. The following calculation steps and equations according to Grogan and Matthews [57] are used for the calculations:
Aboveground   input   ( W C i n ;   t C   ha 1 ) :   W C i n = L A I f c S L A + W A G f w a
Belowground   input   ( W R i n ;   t C   ha 1 ) :   W R i n = W y i e l d F r F f r t o + W B G f w b
Total   plant   carbon   input   ( C i ;   t C   ha 1 ) :   C i = W C i n + W R i n
where,
Table 2. Description of the site under study, S1 (Source: experimental data).
WCin = Aboveground input;
tc = number of years since last coppicing;
LAI = Leaf Area Index;
fc = fraction of carbon in leaves;
SLA = Specific Leaf Area;
WAG = Carbon input from woody material (assumed to be zero);
fwa = fraction of carbon in woody material;
WRin = Belowground input;
Wyield = Aboveground yield;
Fr = Root to Shoot Ratio;
Ffrto = Fraction of belowground carbon lost due to fine root turnover;
WBG = Weight of carbon below ground in the root system;
fwb = fraction of the belowground carbon input that enters the fresh carbon;
Ci = Total plant carbon input.
As the RothC model was originally developed for climate conditions in the United Kingdom, it was necessary to calibrate the model to Slovakian conditions where the plantations are located. Thus, following previous work by Todorovic et al. [58], the RothC model, translated to Microsoft Excel spreadsheet, was used to carry an inverse modeling that allowed the calculation of the initial soil conditions based on onsite climate data (Supplementary Material Table S4) and plant inputs. The model calibration was reached when the root-mean-square error (RSME) between measured and calculated SOCin was below 0.5. The modeled initial soil conditions were then used as input to initiate the model for further calculations. As the soil conditions vary in terms of clay–sand ratio, scenario analyses consisting of three scenarios with low, intermediate and high clay content were performed (see Table 3).
Table 3. Soil properties considered for land use scenario analysis (Source: own calculation).

2.4. Social Analyses: Social Cost–Benefit Matrix

As the multidimensional societal benefits of biomass cultivation are related to various stakeholders [29], a multidimensional social cost–benefit matrix [59] is used as a structure to survey and analyse the perceived and observed social implications of land use. This matrix allows attainment of a multi-criterion method within the cost–benefit approach. The initial quantitative economic approach is extended by a subsequent qualitative investigation. The matrix is intended to enable an equal presentation of quantifiable and non-quantifiable impacts and to give social aspects or indicators the same value as other (quantifiable) indicators. Therefore, stakeholder participation is implemented by conducting semi-structured qualitative interviews with SRC managers from Eastern European countries, carried out during summer 2021. Due to the low degree of SRC implementation, the group of experts eligible for the subjective judgment of social impacts of SRC plantations is quite limited. In order to obtain a view suitable to the political context of Eastern Europe, the interview partner selection was narrowed down to this geographical region and similar management practices (compare Table 4). Four semi-structured interviews, of approximately one hour each, were carried out. The content of the interview guide was based on a pre-study, prioritizing social aspects in SRC establishment [60] and certain literature, such as Ranacher et al. [18] or Lindegaard et al. [61]. The interview guide was available in advance to the interviewees, who participated voluntarily. Key aspects of the interviews covered financial and non-financial benefits and costs or burdens, respectively, of SRC plantations related to different stakeholder groups (industry, landowners or farmers, and the general society) representing the social cost–benefit matrix, as methodologically proposed by Ziller and Phibbs [59]. The matrix structure is intended to reflect on the consequences for different stakeholder groups concerned [59]. Therefore, the results are presented in a matrix, building a network as the consequences are linked to the respective stakeholder groups. Based on the statements given by the interviewed SRC managers, a deductive qualitative content analysis was conducted.
Table 4. SRC management and geographical information of chosen interviewees.

3. Results

3.1. Economic Analyses

3.1.1. Cost Analyses of Poplar SRC, Corn Maize and Winter Rye Production

To evaluate the profitability of marginal land use options, a cost analysis was performed for the three selected scenarios. The total costs of the entire crop cycles of poplar SRC plantations, corn maize and winter rye and the respective share of field work and production inputs on the costs are shown from Tables S5–S7 in the Supplementary Materials. The corn maize production system shows with 14,191.00 euros ha−1, the highest total costs, considered over a life cycle of 20 years, followed by the poplar SRC with 10,048.00 euros ha−1 and the winter rye production system with the lowest costs of production of 8442.00 euros ha−1. For the poplar SRC production system, the land agreements paid to the landowners, for permission to utilize the agricultural land, is the major cost item at 25.70% of the total costs. The average agricultural land rent assumed for the annual production system accounts for a much lower share of the total costs. This can be explained by the fact that the land agreements partially stipulate obligations of the landowners towards the land management organization and, respectively, compensate the long contract periods with superior rental prices. The summarized overhead costs in the SRC production system, including management of land development, insurances, etc., account for the second highest cost factor with 20.29%, followed by the poplar rods as planting material with 16.59%. For the annual crops, the seeds are one of the largest cost factors (corn maize with 21.07% and winter rye with 10.23%). However, harvesting exceeds the costs of seeds in the winter rye production system with 13.43%, but is counted as the third-largest cost unit in the corn maize production system with 11.77%. The second-highest cost factor is storage and drying of the harvested crop, which takes up 20.73% of the total costs.

3.1.2. Impact of Land Use Form on Economic Costs and Benefits and Regional Value Creation

Based on the available data sources under the baseline scenario (assuming 4% discount rate, including annual inflation and price increases), the economic estimations of cost–benefits show a positive net present value (NPV) for all three land use forms. From an economic perspective, all three scenarios are viable, bearing in mind that EU funding partially supports profitability. The highest NPV can be achieved in the scenario of corn maize production, followed by winter rye production and poplar SRC plantations. The payback time for poplar SRC production is 14.13 years, indicating the time span needed to recover the costs of investment (plantation establishment). For the annual crop production scenarios, a payback time could not be calculated, as no initial capital investments were assumed. For this reason, the internal rate of return (IRR) for the crop scenarios cannot be determined either. The IRR for the poplar SRC production results in 9.35%. The Benefit–Cost Ratio (BCR) indicates the ratio between output and input of one scenario. The highest possible ratio between output and input is preferable. Regarding the BCR of the present scenarios, winter rye production results in the highest ratio of 2.16, indicating a lower risk of the investment compared to the other production forms, in the sense that less money has to be invested to achieve the same output. The second-highest BCR was reached for corn maize crops, and the lowest for poplar SRC plantations. All economic results are compared in Table 5 and Figure 1.
Table 5. Economic cost–benefit analyses for poplar SRC, corn maize and winter rye production per hectare−1.
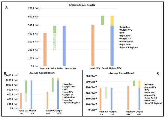
Figure 1. Presentation of the net present value (NPV) per area unit (ha) for (A) poplar SRC plantations, (B) corn maize production and (C) winter rye production (negative NPV in red, positive NPV in green).
Sensitivity analysis is carried out in order to reduce the uncertainty of several rather unknown input parameters. The sensitivity of the eNPV is assessed on the largest input parameters (compare Tables S5–S7) and varies from −50% to +50%, as shown in Figure 2. The production of corn maize can yield higher profits but can also decline towards zero if market conditions are uncertain. It is likely that corn production is more sensitive to market prices than, for example, wheat production due to higher costs. However, in the case of good weather conditions and good yields a positive market situation can result in higher profits as well. If poplar market prices decrease too much, the NPV can actually fall into a negative range. Market prices are the biggest uncertainty factor in all three scenarios and are currently difficult to assess due to very volatile price developments. Apart from market prices, subsidies are an important issue for the final NPV. However, profitability of poplar SRC plantations are not expected only due to subsidies. For all three scenarios, the NPV can be kept in a positive range even without subsidies.
Figure 2. Sensitivity analyses of the major input parameters for the eNPV results of (A) poplar SRC plantations, (B) corn maize production and (C) winter rye production.
By means of the applied method, regional value added of raw material extraction could be determined based on an individual organizational unit. Considering a time span of 20 years, the highest value added could be achieved by corn maize cultivation with 10,841 euros ha−1, which corresponds to the NPV’s results. The possible regional input parameters were estimated, resulting in 56.5% regional share, including input of the defined region. The second-highest value added could be achieved from winter rye production, assuming a value added of 7973 euros ha−1 including a 48.5% regional share. Poplar SRC plantations, on the other hand, could achieve 1802 euros ha−1 value added, obtaining 51% of regional inputs. As most of the work is contracted out in the poplar SRC scenario, costs will increase, thus reducing the value added considerably, because not all of the contractors are within the defined region. The results for all three scenarios of the (regional) value added assessments are presented related to the NPV in Figure 3.
Figure 3. Presentation of the Regional Value Added per ha over a 20-year period relative to the NPV per ha for (A) poplar SRC plantations, (B) corn maize production and (C) winter rye production.

3.2. Prediction of SOC Dynamics of Poplar SRC under Different Soil Conditions

The calibration of the RothC model to the Western Slovakian conditions was achieved by integrating onsite climate conditions and iteratively calculating plant inputs to estimate initial soil conditions (compare Figure S1 in the Supplementary Materials), which shows the comparison between modelled and measured data. Calibration was reached when the modelled SOC approximated the measured SOCin, with a root mean-square-error below 0.5. In Table 6, the initial carbon pool conditions for which the calibration was achieved are presented.
Table 6. Initial carbon pools for the RothC calibration model.
After calculating the initial carbon pools that allowed the calibration of the RothC-26.3 model for Western Slovakian conditions, the impact of the SRC system for the different soil conditions was assessed. The potential development of SOC levels for the SRC system is presented in Figure 4. Starting from a measured initial SOC value of 37.8 tC ha−1, the calculations for all the scenarios estimate increasing (and a relatively similar) SOC accumulation during the 20 years of SRC. Scenario S4, with the highest content of clay, presents the highest SOC accumulation with an approximate increase of 35.48%. Scenario S1 has the second-biggest increase with 30.68%, S3 and S2 show increases of 29.98% and 29.51%, respectively.
Figure 4. SOC development for the four scenarios with different soil properties.

3.3. Potential Social Benefits and Burdens of SRC Implementation

Expected social benefits and burdens through the implementation of a poplar SRC production system in Western Slovakia were assessed by conducting qualitative interviews. Based on the experience of the interviewed SRC managers, insights into perceived effects as well as their anticipated consequences can be gained. All SRC managers mentioned positive impacts on carbon sequestration, biodiversity and landscape fragmentation as the most relevant effects related to SRC plantations. These effects are depicted in Figure 5, in the bottom left quarter as non-financial benefits. Ecological benefits are expected from an increase in biodiversity. Bearing in mind the global biodiversity loss and climate change, SRC plantations may be one solution to reduce pressure on natural forests. The plantations usually interrupt extensive agricultural areas under conventional cultivation. This land fragmentation provides shelter for wildlife and birds, whereas insects benefit from a reduced use of chemicals. As the plantations are suitable for deer, a positive effect for hunters was mentioned by the interviewees. Another crucial aspect is the positive impact on the micro-climatic situation near plantations, as they are expected to mitigate extreme temperatures. A societal benefit is seen in possibilities for recreational activities within the plantations, offering a “liveable space”. While these aspects are arguably valuable for the entire society, the interviewees also emphasized the value for industry and for farmers as well. Poplar plantations are thought to be suitable to climatically extreme regions, as they are able to tolerate soil with high moisture content or flood-prone areas more easily than annual crops. For the industry operating SRCs, an important benefit is the increasing independency from the wood market and from fluctuating prices. Additionally, the availability and the quality of the raw material is more predictable, and mechanically advantageous properties are emphasized. For landowners or farmers SRC is seen as one way of farm diversification. If annual crops are not profitable, or to level out seasonal fluctuations, SRC might be an interesting option. Humus layer accumulation due to the perennial crops is expected to be a long-term benefit for the farmer’s land. However, successful establishment of SRC plantations is quite hampered by the poor societal image of the plantations (compare upper left quarter of Figure 5). Concerns among the society arose regarding invasive species being planted on the plantations, which could cause allergic reactions due to the dawn released by flowering poplars. The interviewees relativized these concerns, as they assured that the plants are harvested before they reach maturity and flower and pointed out strict requirements in most EU countries, limiting the establishment of SRCs. Another burden for SRC establishment was the experience that trees had a shading effect on neighbouring fields. Landowners or farmers who have the possibility to engage in SRC may have concerns about the long-term contracts, which could become a problem if they want to take advantage of the land in another way. They may also have doubts considering responsibilities, especially for the recultivation of the land or damages in the infrastructure due to heavy machinery. The financial burdens mentioned by the interviewees are illustrated in the upper right quarter of Figure 5. In summary, next to the expenditures for plantation establishment, ancillary expenses for land taxes, agreements, FSC certification, membership fees in agricultural chambers and measures against game damage have to be carried by SRC management organizations. Landowners and farmers may have to face financial burdens if they are responsible for weed control or if they have the opportunity for more profitable use of the land. However, a broader range of financial benefits is anticipated by the interviewees, illustrated in the bottom right quarter of Figure 5. For the industry adopting SRC production, monetary benefits are expected through the FSC certified material, carbon credits, reduced transportation distances, subsidies and levelling out price fluctuations of the wood market. In addition, the climatic resistance of the plantations can affect the profitability positively. The industry seeks to be a reliable financier for landowners and farmers or communities.
Figure 5. Perceived non-financial and financial benefits and burdens of poplar SRC plantations (the bigger the dots, the more often the effects were mentioned by the interviewees; the effects are concerning the stakeholder groups “Industry”, “Farmers/Landowners” and “Society”).

4. Discussion

4.1. Economic Performance

The results presented in the previous chapters show that poplar SRC plantations are economically viable under the assumed parameters. However, with conventional crop production, higher profits and value creation could be achieved. Increasing the regional share in a value chain, or in the production processes under study, respectively, can contribute significantly to sustainable regional development [62]. Under the analysed scenarios, profitability of all three agricultural cultures can be assumed. Though, the potential economic viability of SRC as a land use option is discussed quite controversially in literature [12,16,17,63,64,65], compared to the average level of economic output per hectare of utilized agricultural land in Slovakia with 52.00 euros ha−1 [6], the economic results obtained would be satisfying. In particular, the establishment of SRC plantations on marginal agricultural land is considered to be not economically feasible by some authors, for example by Soldatos et al. [65], which was also pointed out by one interviewee. Other authors, like Griffiths et al. [17], as well as SRC managers interviewed, believe that an economically sustainable plantation development is possible. This hypothesis can be supported on the basis of the current analyses as well. However, the economic performance of all three scenarios is highly dependent on the development of the wood and crops wholesale market prices, which agrees with the findings of Busch [66], Fuertes et al. [67] and Oliveira et al. [68]. With the sensitivity analyses on hand, this effect can be also demonstrated and confirmed for the SRC and crops scenarios. The raw material market prices are highly volatile, with significant price increases in recent times. Economic feasibility is a fundamental requirement for investment projects. Thus, a long-term investment with longer payback periods such as the SRC plantations are viewed more critically than annual crop cultures. Long-term land contracts, which are essential for establishing SRC plantations, are one of the biggest obstacles for farmers engaging in SRC projects [18]. Consequently, annual payments are an important compensation [66]. This highlights the need to make project decisions not only from a purely economic perspective (which is difficult to predict in many cases), but to include environmental and social factors. Additionally, merely monetary considerations cannot be generalized due to differences in prices and other regional disparities.

4.2. SOC as Environmental Benefit of SRC

The potential of carbon sequestration from SRC plantations was particularly emphasized by the interviewees. The SOC calculations reflect the potential accumulation of an average increase in SOC by 29% during the 20 years of SRC poplar plantation. The impact of clay content on SOC dynamics suggests that a higher SOC accumulation is expected for soils with a higher content (as depicted by scenario S4). Soils with lower clay content and higher permeability cause faster losses of organic matter and, consequently, lower SOC accumulation. Such differences between the scenarios are evident after the first harvest (approx. year 6 in Figure 4). Previous studies on SOC of SRC plantations have presented similar result ranges of SOC accumulation for poplar [69] and other SRC species, such as miscanthus and willow [70]. Nevertheless, the modelled SOC is highly dependent on model input data (for example, plant input), thus highlighting the importance of SOC sampling during the SRC plantation. In comparison to SOC development of grain maize and winter wheat production in Slovakia, previous studies have reported a potential decrease of −14 to −20% in a 60-year horizon under some climate conditions, without the input of crop residuals [71]. The SOC accumulation in SRC systems can be rated as a benefit due to its carbon storage potential and climate change mitigation effects—which, however, to date is not yet being considered in monetary terms. Nevertheless, it is important to reflect on impacts caused by the end of life (EOL) of the plantations. In a recent study by Rowe et al. [25], the accumulated SOC in SRC systems was reversed by the reconversion from SRC plantations to previous land use. SRC removal methods such as stump removal decrease the carbon sequestered in the soil and thus diminish the potential climate benefits of SRC systems. As for further research, SOC modelling can benefit from including experimental data on soil properties to further calibrate the carbon turnoff model, as well as including soil sampling after the EOL to estimate the full cycle of SOC dynamics.

4.3. Social Benefits and Burdens of SRC

The suggestion to include social aspects into the assessment, as argued by authors previously, was addressed in this study. Wolbert-Haverkamp and Musshoff [16], for example, followed the idea to not only include the NPV for assessing economic viability of SRCs, but also included a real options approach by taking into account further reasons for decision making. Mainly, economic aspects as well as environmental sustainability are considered with CBAs, where social sustainability is often underrepresented. Focussing not on the sale of raw materials to a wholesale buyer, but rather on extending the value chain with downstream refining processes within a certain region, will lead to further value creation for the region. Particularly, rural job creation and the number of people who might be involved in the production processes is of high relevance for the regional value added [52], and cannot be ensured by raw material production alone, as elicited in the interviews. However, all interviewees concurred that SRC plantations do create jobs for the rural population, but in a limited, non-significant number, as only low labour input is necessary. This reinforces the importance of capacity building in new land use forms, like poplar SRC production. SRC plantations are considered to be one option of agricultural diversification, which can lead to higher economic stability of the farms [72,73]. Furthermore, on-farm diversification can improve the resilience to climate change effects and helps to manage labour demand peaks [72]. These aspects were deemed to be important in the interviews as well, and highlight the importance of the production portfolio’s composition rather than deciding which crop to cultivate. A frequently mentioned obstacle for adopting SRC production is the criticism of land use competition. Societal concerns are arising about SRC plantations competing with food production. None of the interviewees perceived food security to be at risk in the Eastern European countries. This matches the findings of Ajanovic [74], who stated that food prices are not influenced by feedstock production (in terms of energy crops) as long as sustainability criteria are followed. Other authors found that developing SRC on marginal land [75] and in compliance with EU institutional settings [76] can meet the demand of agricultural wood in a sustainable manner. Increasing biodiversity was found as one major non-monetary benefit in the interviews, and was also previously stated by O’Brien and Bringezu [76] to be an important factor in shifting timber extraction from biodiversity-rich forests to biodiversity-poor cropping sites. Site experiments in Western Slovakian SRC plantations, however, indicate an increase in biodiversity value compared to previous annual cultivation [77].

4.4. Limitations of the Study

The socio-economic methodology of comparing annual with perennial crops needs to be discussed and further developed. The poplar SRC scenario may lack in higher NPV and value added results as contracted work steps will increase costs, thus reducing the economic results considerably. Nonetheless, it provides detailed insights into the consequences of changing to SRC plantations, which are strongly dependent on local conditions. Moreover, it must be considered that the same annual crop species cannot be grown continuously on the same field for 20 years in a real case scenario. In order to preserve fertility of the soil, crop rotation will be essential.

5. Conclusions

Agricultural investment decisions are often based on sole economic viability, which is highly volatile depending on the underlying market conditions. With the study of switching from annual crops production to a perennial poplar SRC plantation, the sustainability performance of three resource options could be compared. Herein, wood production is seen as an alternative to conventional wood logging from forests, which is subject to ongoing discussions. From an economic point of view, SRC plantations are viable under the assumed conditions, but cannot compete with the annual crops corn maize and winter rye; thus, these options benefit from lower investment risks. Therefore, additional aspects must be anticipated for the establishment of poplar SRC plantations. The method of CBA is used, as it is intended to assess welfare effects of projects—consequently, it is imperative to keep in mind that welfare cannot be captured solely through economics. Social and environmental advantages and disadvantages of projects, especially, often cannot be adequately represented by monetary assessments. However, following the approach of subsequential analyses by supporting CBA with quantitative SOC assessment and qualitative social considerations in this study, it becomes evident how important it is to consider and anticipate environmental as well as social benefits. Likewise, awareness for expected risks and detrimental effects can be raised and, therefore, may be addressed in further project development. If environmental aspects would be subject to mandatory pricing in the future (such as a CO2 tax, which is already under discussion), the economic results of such projects are expected to change fundamentally. Such pricing for environmental impacts may also be discussed for the social dimension, and could be an opportunity for higher sustainability in future projects.

Supplementary Materials

The following are available online at https://www.mdpi.com/article/10.3390/f13020349/s1, Table S1: Data and costs of poplar SRC Production assumed for the analyses, Table S2: Data and costs of corn maize production assumed for the analyses, Table S3: Data and costs of winter rye production assumed for the analyses, Table S4: Climate data used for Carbon turnover model, Table S5: Share of total discounted costs of poplar SRC production system, Table S6: Share of total discounted costs of corn maize production system, Table S7: Share of total discounted costs of winter rye production system, Figure S1: Calibration of RothC model for poplar SRC in Western Slovakia.

Author Contributions

Conceptualization and design were established by D.F. and F.H.; Planning and implementation (methodological choices) of the study were performed by D.F., E.A.P.E.*, F.H. and S.J.H. Data collection was carried out by D.F. and E.A.P.E.* Data analysis, validation and interpretation and visualization of the results were performed by D.F. and E.A.P.E.* The first draft of the manuscript was written by D.F. and E.A.P.E.*, and all authors commented on previous versions of the manuscript. Project administration and funding acquisition were the responsibility of F.H. and P.S. *Responsible for content regarding the SOC calculations. All authors have read and agreed to the published version of the manuscript.

Funding

This study received funding from the Bio Based Industries Joint Undertaking under the European Union’s Horizon 2020 research and innovation programme under grant agreement number 745874 and the Austria Research Agency (FFG) under the COMET program grant number 865905.

Data Availability Statement

The datasets generated and analysed during the current study are not publicly available to guarantee the protection of confidential information, but are available from the corresponding author on reasonable request.
Ethics Approval: Compliance with ethical standards was considered by informing participants about the aims and methods of the respective research project. The participation in the interviews was on a voluntary basis and anonymity of the participants is preserved—no inferences can be drawn from the answers to the individuals.

Conflicts of Interest

The authors declare no conflict of interest.

References

  1. European Comission. Innovating for Sustainable Growth: A Bioeconomy for Europe, in Communication from the Commission to the European Parliament, the Council, the European Economic and Social Committee and the Committee of the Regions; European Comission: Brussels, Belgium, 2012. [Google Scholar]
  2. Global Bioeconomy Summit. Communiqué of the Global Bioeconomy Summit 2015/Making Bioeconomy Work for Sustainable Development; Global Bioeconomy Summit: Berlin, Germany, 2015; p. 9. Available online: https://bei.jcu.cz/Bioeconomy%20folders/bioeconomy-global-summit-2015/communique-global-bioeconomy-summit-2015-making-bioeconomy-work-for-sustainable-development (accessed on 20 September 2021).
  3. Lazíková, J.; Rumanovská, L.; Takáč, I.; Prus, P.; Fehér, A. Regional Differences of Agricultural Land Market in Slovakia: A Challenge for Sustainable Agriculture. Agriculture 2021, 11, 353. [Google Scholar] [CrossRef]
  4. MPSR Slovak. Basic Information on the Homepage of the Ministry of Agriculture and Rural Development of the Slovak Republic. Development Trends and Prospects. 2021. Available online: https://www.mpsr.sk/en/index.php?navID=24 (accessed on 30 June 2021).
  5. EIT Food Hub. Slovakia. 2021. Available online: https://www.eitfood.eu/in-your-country/country/slovakia (accessed on 22 September 2021).
  6. NAFC. Report on Agriculture and Food Sector in the Slovak Republic 2019—Green Report; Ministry of Agriculture and Rural Development of the Slovak Republic: Bratislava, Slovakia, 2020. [Google Scholar]
  7. MPSR Slovak. Basic Information on the Homepage of the Ministry of Agriculture and Rural Development of the Slovak Republic. Plant Production. 2021. Available online: https://www.mpsr.sk/en/index.php?navID=25 (accessed on 30 June 2021).
  8. Némethová, J.; Rybanský, L.U. Development Trends in the Crop Production in Slovakia after Accession to the European Union—Case Study, Slovakia. Sustainability 2021, 13, 8512. [Google Scholar] [CrossRef]
  9. Shukla, P.R.; Skeg, J.; Buendia, E.C.; Masson-Delmotte, V.; Pörtner, H.O.; Roberts, D.C.; Zhai, P.; Slade, R.; Connors, S.; van Diemen, S.; et al. Climate Change and Land: An IPCC special report on climate change, desertification, land degradation, sustainable land management, food security, and greenhouse gas fluxes in terrestrial ecosystems. In Technical Summary; Intergovernmental Panel on Climate Change (IPCC): Geneva, Switzerland, 2019. [Google Scholar]
  10. Abolina, E.; Luzadis, V. Abandoned agricultural land and its potential for short rotation woody crops in Latvia. Land Use Policy 2015, 49, 435–445. [Google Scholar] [CrossRef]
  11. Pra, A.; Brotto, L.; Mori, P.; Buresti Lattes, E.; Masiero, M.; Andrighetto, N.; Pettenella, D. Profitability of timber plantations on agricultural land in the Po valley (northern Italy): A comparison between walnut, hybrid poplar and polycyclic plantations in the light of the European Union Rural Development Policy orientation. Eur. J. For. Res. 2019, 138, 473–494. [Google Scholar] [CrossRef]
  12. Stolarski, M.J.; Olba-Zięty, E.; Rosenqvist, H.; Krzyżaniak, M. Economic efficiency of willow, poplar and black locust production using different soil amendments. Biomass-Bioenergy 2017, 106, 74–82. [Google Scholar] [CrossRef]
  13. Dale, V.H.; Kline, K.L.; Wiens, J.; Fargione, J. Biofuels: Implications for Land Use and Biodiversity, in Biofuels and Sustainability Reports; Ecological Society of America: Washington, DC, USA, 2010. [Google Scholar]
  14. Fehér, A. National Factsheets on Coppice Forests. Slovakia. In Innovative Management and Multifunctional Utilisation of Traditional Coppice Forests—An Answer to Future Ecological, Economic and Social Challenges in the European Forestry Sector; Lazdina, D., Celma, S., Eds.; COST Action FP1301 EuroCoppice; Albert Ludwig University: Freiburg, Germany, 2017. [Google Scholar]
  15. Gaduš, J.; Melišková, I.; Roháčiková, O. The Cultivation of Fast-Growing Trees on Agricultural Land in Slovakia and Czechia: Legal Comparison. Acta Reg. Environ. 2017, 14, 45–51. [Google Scholar] [CrossRef]
  16. Wolbert-Haverkamp, M.; Musshoff, O. Are short rotation coppices an economically interesting form of land use? A real options analysis. Land Use Policy 2014, 38, 163–174. [Google Scholar] [CrossRef]
  17. Griffiths, N.A.; Rau, B.M.; Vaché, K.B.; Starr, G.; Bitew, M.M.; Aubrey, D.P.; Martin, J.A.; Benton, E.; Jackson, C.R. Environmental effects of short-rotation woody crops for bioenergy: What is and isn’t known. GCB Bioenergy 2019, 11, 554–572. [Google Scholar] [CrossRef]
  18. Ranacher, L.; Pollakova, B.; Schwarzbauer, P.; Liebal, S.; Weber, N.; Hesser, F. Farmers’ Willingness to Adopt Short Rotation Plantations. BioEnergy Res. 2021, 14, 357–373. [Google Scholar] [CrossRef]
  19. Bryan, B.A.; King, D.; Wang, E. Potential of woody biomass production for motivating widespread natural resource management under climate change. Land Use Policy 2010, 27, 713–725. [Google Scholar] [CrossRef]
  20. Döpke, K.; Moschner, C.R.; Hartung, E. Environmental aspects of short rotation coppices—A literature survey. Landtechnik 2013, 68, 33–37. [Google Scholar]
  21. Hall, D.; House, J. Biomass energy in Western Europe to 2050. Land Use Policy 1995, 12, 37–48. [Google Scholar] [CrossRef]
  22. Langeveld, H.; Quist-Wessel, F.; Dimitriou, I.; Aronsson, P.; Baum, C.; Schulz, U.; Bolte, A.; Baum, S.; Köhn, J.; Weih, M.; et al. Assessing Environmental Impacts of Short Rotation Coppice (SRC) Expansion: Model Definition and Preliminary Results. BioEnergy Res. 2012, 5, 621–635. [Google Scholar] [CrossRef]
  23. Lasch, P.; Kollas, C.; Rock, J.; Suckow, F. Potentials and impacts of short-rotation coppice plantation with aspen in Eastern Germany under conditions of climate change. Reg. Environ. Chang. 2010, 10, 83–94. [Google Scholar] [CrossRef]
  24. Qin, Z.; Dunn, J.B.; Kwon, H.; Mueller, S.; Wander, M.M. Soil carbon sequestration and land use change associated with biofuel production: Empirical evidence. GCB Bioenergy 2016, 8, 66–80. [Google Scholar] [CrossRef]
  25. Rowe, R.L.; Keith, A.M.; Elias, D.M.O.; McNamara, N.P. Soil carbon stock impacts following reversion of Miscanthus x giganteus and short rotation coppice willow commercial plantations into arable cropping. GCB Bioenergy 2020, 12, 68–693. [Google Scholar] [CrossRef]
  26. Whitaker, J.; Field, J.L.; Bernacchi, C.J.; Cerri, C.E.P.; Ceulemans, R.; Davies, C.A.; DeLucia, E.H.; Donnison, I.S.; McCalmont, J.P.; Paustian, K.; et al. Consensus, uncertainties and challenges for perennial bioenergy crops and land use. GCB Bioenergy 2018, 10, 150–164. [Google Scholar] [CrossRef]
  27. Eleftheriadis, I.; Mergner, R.; Rutz, D. Short Rotation Woody Crops (SCR) for Local Supply Chains and Heat Use. Benefits of SRC for Farmers; Saving, C.F.R.E.S.A., Energies, W.-R., Eds.; SRC+: Pikermi Attiki, Greece, 2014. [Google Scholar]
  28. Malkamäki, A.; D’Amato, D.; Hogarth, N.; Kanninen, M.; Pirard, R.; Toppinen, A.; Zhou, W. A systematic review of the socio-economic impacts of large-scale tree plantations, worldwide. Glob. Environ. Chang. 2018, 53, 90–103. [Google Scholar] [CrossRef]
  29. Mitra, S.; Ghose, A.; Gujre, N.; Senthilkumar, S.; Borah, P.; Paul, A.; Rangan, L. A review on environmental and socioeconomic perspectives of three promising biofuel plants Jatropha curcas, Pongamia pinnata and Mesua ferrea. Biomass Bioenergy 2021, 151, 106173. [Google Scholar] [CrossRef]
  30. Warren, C.; Burton, R.; Buchanan, O.; Birnie, R.V. Limited adoption of short rotation coppice: The role of farmers’ socio-cultural identity in influencing practice. J. Rural Stud. 2016, 45, 175–183. [Google Scholar] [CrossRef]
  31. Thiele, J.C.; Busch, G. A decision support system to link stakeholder perception with regional renewable energy goals for woody biomass. In Bioenergy from Dendromass for the Sustainable Development of Rural Areas; Bemmann, A., Ed.; Wiley-VCH Verlag GmbH & Co KGaA: Weinheim, Germany, 2015; pp. 331–346. [Google Scholar]
  32. Boll, T.; Haaren, C.V.; Rode, M. The effects of short rotation coppice on the visual landscape. In Bioenergy from Dendromass for the Sustainable Development of Rural Areas; Bemmann, A., Ed.; Wiley-VCH Verlag GmbH & Co. KGaA: Weinheim, Germany, 2015; pp. 105–119. [Google Scholar]
  33. Coppola, G.; Costantini, M.; Orsi, L.; Facchinetti, D.; Santoro, F.; Pessina, D.; Bacenetti, J. A Comparative Cost-Benefit Analysis of Conventional and Organic Hazelnuts Production Systems in Center Italy. Agriculture 2020, 10, 409. [Google Scholar] [CrossRef]
  34. Lantz, V.A.; Chang, W.-Y.; Pharo, C. Benefit-cost analysis of hybrid willow crop production on agricultural land in eastern Canada: Assessing opportunities for on-farm and off-farm bioenergy use. Biomass-Bioenergy 2014, 63, 257–267. [Google Scholar] [CrossRef]
  35. Boardman, A.E.; Greenberg, D.H.; Vining, A.R.; Weimer, D.L. Cost-Benefit Analysis. Concepts and Practice, 5th ed.; Cambridge University Press: Cambridge, UK, 2018. [Google Scholar] [CrossRef]
  36. Bruce, C. Social Cost-Benefit Analysis: A Guide for Country and Project Economists to the Derivation and Application of Economic and Social Accounting Prices; Bank, I.W., Ed.; Bank Staff Working Paper No. 239; International Bank for Reconstruction and Development: Washington DC, USA, 1976. [Google Scholar]
  37. Hoogmartens, R.; Van Passel, S.; Van Acker, K.; Dubois, M. Bridging the gap between LCA, LCC and CBA as sustainability assessment tools. Environ. Impact Assess. Rev. 2014, 48, 27–33. [Google Scholar] [CrossRef]
  38. Valenza, A.; Vignetti, S. Social Cost-Benefit Analysis for Infrastructure Projects: A Case Study in the War Affected Areas of Croatia; Working Paper Series, Issue; Csil Centre for Industrial Studies: Milano, Italy, 2009. [Google Scholar]
  39. Beria, P.; Maltese, I.; Mariotti, I. Multicriteria versus Cost Benefit Analysis: A comparative perspective in the assessment of sustainable mobility. Eur. Transp. Res. Rev. 2012, 4, 137–152. [Google Scholar] [CrossRef]
  40. Creswell, J.W.; Plano Clark, V.L. Designing and Conducting Mixed Methods Research, 3rd ed.; SAGE Publications, Inc.: Thousand Oaks, CA, USA, 2018. [Google Scholar]
  41. Ivankova, N.V.; Creswell, J.W.; Stick, S.L. Using Mixed-Methods Sequential Explanatory Design: From Theory to Practice. Field Methods 2006, 18, 3–20. [Google Scholar] [CrossRef]
  42. Dimitriou, I.; Rutz, D. Sustainable Short Rotation Coppice: A Handbook; Plus, S., Ed.; WIP Renewable Energies: München, Germany, 2015. [Google Scholar]
  43. Schils, R.; Olesen, J.E.; Kersebaum, K.-C.; Rijk, B.; Oberforster, M.; Kalyada, V.; Khitrykau, M.; Gobin, A.; Kirchev, H.; Manolova, V.; et al. Cereal yield gaps across Europe. Eur. J. Agron. 2018, 101, 109–120. [Google Scholar] [CrossRef]
  44. Takáč, I.; Lazíková, J.; Rumanovská, L.; Bandlerová, A.; Lazíková, Z. The Factors Affecting Farmland Rental Prices in Slovakia. Land 2020, 9, 96. [Google Scholar] [CrossRef]
  45. KTBL. KTBL Calculator: Output-Cost Accounting for Crop Production. 2021. Available online: https://daten.ktbl.de/dslkrpflanze/postHv.html (accessed on 6 December 2021).
  46. European Comission. Guide to Cost-Benefit Analysis of Investment Projects. Economic Appraisal Tool for Cohesion Policy 2014–2020; European Comission: Brussels, Belgium, 2015. [Google Scholar]
  47. Drèze, J.; Stern, N. The Theory of Cost-Benefit Analysis. In Handbook of Public Economics; Auerbach, A.J., Feldstein, M., Eds.; Elsevier Science Publishers B.V (North-Holland): Amsterdam, The Netherlands, 1987; Volume II, pp. 909–989. [Google Scholar]
  48. Rosenqvist, H.; Dawson, M. Economics of willow growing in Northern Ireland. Biomass Bioenergy 2005, 28, 7–14. [Google Scholar] [CrossRef]
  49. Ericsson, K.; Rosenqvist, H.; Nilsson, L.J. Energy crop production costs in the EU. Biomass Bioenergy 2009, 33, 1577–1586. [Google Scholar] [CrossRef]
  50. Turnock, D. Rural diversification in Eastern Europe: Introduction. GeoJournal 1999, 46, 171–181. [Google Scholar] [CrossRef]
  51. Kozáková, J.; Savov, R.; Lančarič, Š. Sustainable development in rural regions of Slovakia: The role of the National Rural Development Programm. Rural. Areas Dev. 2018, 15, 25–38. [Google Scholar]
  52. Hoffmann, D. Creation of regional added value by regional bioenergy resources. Renew. Sustain. Energy Rev. 2009, 13, 2419–2429. [Google Scholar] [CrossRef]
  53. Van Staden, C. The relevance of theories of political economy to the understanding of financial reporting in South Africa: The case of value added statements. Account. Forum 2003, 27, 224–245. [Google Scholar] [CrossRef]
  54. Haller, A.; Staden, C.J.V.; Landis, C. Value Added as part of Sustainability Reporting: Reporting on Distributional Fairness or Obfuscation? J. Bus. Ethics 2018, 152, 763–781. [Google Scholar] [CrossRef]
  55. Haller, A. Wertschöpfungsrechnung: Ein Instrument zur Steigerung der Aussagefähigkeit von Unternehmensabschlüssen im Internationalen Kontext; Schäffer-Poeschel Verlag: Stuttgart, Germany, 1997. [Google Scholar]
  56. Coleman, K.; Jenkinson, D.S. RothC-26.3—A Model for the turnover of carbon in soil. In Evaluation of Soil Organic Matter Models. NATO ASI Series (Series I: Global Environmental Change); Powlson, D.S., Smith, P., Smith, J.U., Eds.; Springer: Berlin/Heidelberg, Germany, 1996; pp. 237–246. [Google Scholar]
  57. Grogan, P.; Matthews, R. A modelling analysis of the potential for soil carbon sequestration under short rotation coppice willow bioenergy plantations. Soil Use Manag. 2002, 18, 175–183. [Google Scholar] [CrossRef]
  58. Todorovic, G.R.; Stemmer, M.; Tatzber, M.; Katzlberger, C.; Spiegel, H.; Zehetner, F.; Gerzabek, M.H. Soil-carbon turnover under different crop management: Evaluation of RothC-model predictions under Pannonian climate conditions. J. Plant Nutr. Soil Sci. 2010, 173, 662–670. [Google Scholar] [CrossRef]
  59. Ziller, A.; Phibbs, P. Integrating social impacts into cost-benefit analysis: A participative method: Case study: The NSW area assistance scheme. Impact Assess. Proj. Apprais. 2003, 21, 141–146. [Google Scholar] [CrossRef]
  60. Fürtner, D.; Ranacher, L.; Echenique, E.A.P.; Schwarzbauer, P.; Hesser, F. Locating Hotspots for the Social Life Cycle Assessment of Bio-Based Products from Short Rotation Coppice. BioEnergy Res. 2021, 14, 510–533. [Google Scholar] [CrossRef]
  61. Lindegaard, K.N.; Adams, P.W.R.; Holley, M.; Lamley, A.; Henriksson, A.; Larsson, S.; Von Engelbrechten, H.-G.; Lopez, G.E.; Pisarek, M. Short rotation plantations policy history in Europe: Lessons from the past and recommendations for the future. Food Energy Secur. 2016, 5, 125–152. [Google Scholar] [CrossRef]
  62. Gusenbauer, I.; Bartel-Kratochvil, R.; Markut, T.; Hörtenhuber, S.; Schermer, M.; Ausserladscheider, V.; Lindenthal, T. How a region benefits from regionally labelled cheese products in Austria: A model-based empirical assessment along different value chains. Org. Agric. 2018, 9, 13–27. [Google Scholar] [CrossRef]
  63. Faasch, R.J.; Patenaude, G. The economics of short rotation coppice in Germany. Biomass Bioenergy 2012, 45, 27–40. [Google Scholar] [CrossRef]
  64. Hauk, S.; Knoke, T.; Wittkopf, S. Economic evaluation of short rotation coppice systems for energy from biomass—A review. Renew. Sustain. Energy Rev. 2014, 29, 435–448. [Google Scholar] [CrossRef]
  65. Soldatos, P.; Lychnaras, V.; Panoutsou, C.; Cosentino, S.L. Economic viability of energy crops in the EU: The farmer’s point of view. Biofuels Bioprod. Biorefining 2010, 4, 637–657. [Google Scholar] [CrossRef]
  66. Busch, G. A spatial explicit scenario method to support participative regional land-use decisions regarding economic and ecological options of short rotation coppice (SRC) for renewable energy production on arable land: Case study application for the Göttingen district, Germany. Energy Sustain. Soc. 2017, 7, 372. [Google Scholar] [CrossRef][Green Version]
  67. Fuertes, A.; Oliveira, N.; Cañellas, I.; Sixto, H.; Rodríguez-Soalleiro, R. An economic overview of Populus spp. in Short Rotation Coppice systems under Mediterranean conditions: An assessment tool for decision-making. Renew. Sustain. Energy Rev. 2021, 151, 111577. [Google Scholar] [CrossRef]
  68. Oliveira, N.; Pérez-Cruzado, C.; Cañellas, I.; Rodríguez-Soalleiro, R.; Sixto, H. Poplar Short Rotation Coppice Plantations under Mediterranean Conditions: The Case of Spain. Forests 2020, 11, 1352. [Google Scholar] [CrossRef]
  69. Garten, C.T.; Wullschleger, S.D.; Classen, A.T. Review and model-based analysis of factors influencing soil carbon sequestration under hybrid poplar. Biomass Bioenergy 2011, 35, 214–226. [Google Scholar] [CrossRef]
  70. Brandão, M.; i Canals, L.M.; Clift, R. Soil organic carbon changes in the cultivation of energy crops: Implications for GHG balances and soil quality for use in LCA. Biomass Bioenergy 2011, 35, 2323–2336. [Google Scholar] [CrossRef]
  71. Takáč, J.; Šiška, B.; Píš, V. Evaluation of Adaptive Measures to Reduce Climate Change Impact on Soil Organic Carbon Stock In Žitný Ostrov Region. Agriculture 2011, 57, 85–95. [Google Scholar] [CrossRef][Green Version]
  72. Hoagland, L.; Hodges, L.; Helmers, G.A.; Brandle, J.R.; Francis, C.A. Labor Availability in an Integrated Agricultural System. J. Sustain. Agric. 2010, 34, 532–548. [Google Scholar] [CrossRef]
  73. Kurdyś-Kujawska, A.; Strzelecka, A.; Zawadzka, D. The Impact of Crop Diversification on the Economic Efficiency of Small Farms in Poland. Agriculture 2021, 11, 250. [Google Scholar] [CrossRef]
  74. Ajanovic, A. Biofuels versus food production: Does biofuels production increase food prices? Energy 2011, 36, 2070–2076. [Google Scholar] [CrossRef]
  75. Patel, B.; Patel, A.; Alam Syed, B.; Gami, B.; Patel, P. Assessing economic feasibility of bio-energy feedstock cultivation on marginal lands. Biomass-Bioenergy 2021, 154, 106273. [Google Scholar] [CrossRef]
  76. O’Brien, M.; Bringezu, S. European Timber Consumption: Developing a Method to Account for Timber Flows and the EU’s Global Forest Footprint. Ecol. Econ. 2018, 147, 322–332. [Google Scholar] [CrossRef]
  77. Lasák, R. Biodiversity Monitoring: Methodology and Preliminary Results. Deliverable 1.6 EU Horizon 2020 BBI Project “Dendromass4Europe” under Grant Agreement No. 745874; Technische Universität Dresden: Dresden, Germany, 2020. [Google Scholar]
Publisher’s Note: MDPI stays neutral with regard to jurisdictional claims in published maps and institutional affiliations.

Article Metrics

Citations

Article Access Statistics

Multiple requests from the same IP address are counted as one view.