Effects of Medium Supplements on Somatic Embryo Maturation and DNA Methylation in Pseudotsuga gaussenii Flous, a Species under Protection
Abstract
:1. Introduction
2. Materials and Methods
2.1. The Culture Process of SE Development
2.2. MGBG/PEG/Maltose Treatments
2.3. Global DNA Methylation Analysis
2.4. RNA Extraction and Reverse Transcription
2.5. Identification, Sequencing, and Phylogenetic Analyses of DNMT Genes
2.6. Quantitative PCR
2.7. Statistic Analysis
3. Results
3.1. Effects of MGBG in Pre-Maturation Treatment on SE Development and Maturation
3.2. The Development of Pseudotsuga gaussenii SEs without PEG or Maltose
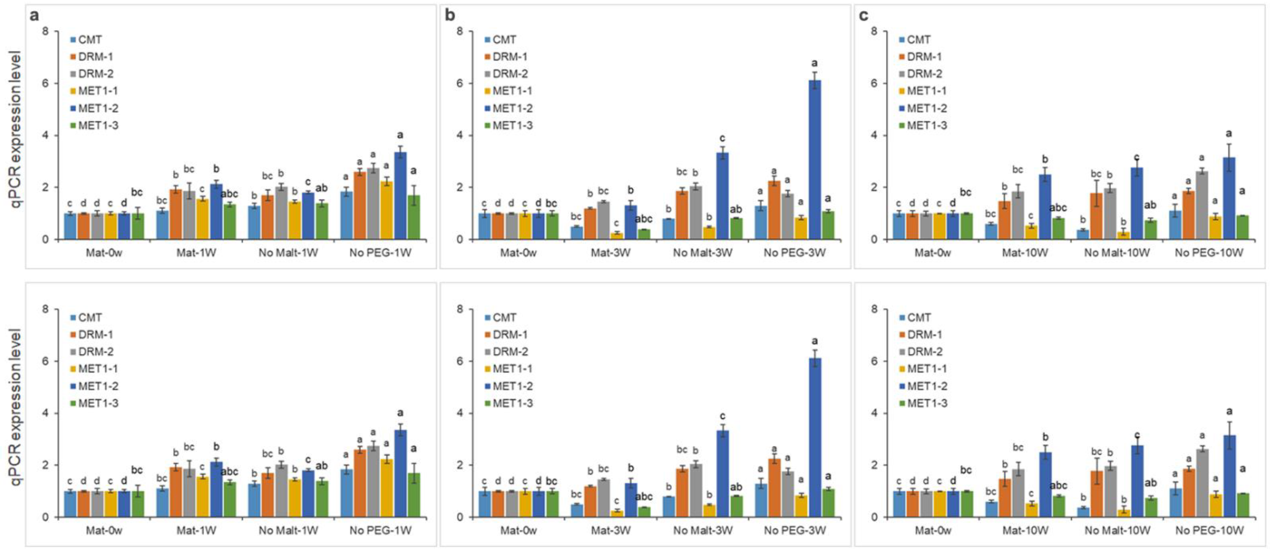
3.3. Effects of PEG or Maltose on DNA Methylation of SE Cultures
4. Discussion
4.1. The Importance of Application Time and Concentrations of MGBG
4.2. The Correlation between DNA Methylation of SEs and PEG/Maltose Treatments
5. Conclusions
Supplementary Materials
Author Contributions
Funding
Data Availability Statement
Acknowledgments
Conflicts of Interest
References
- Quiroz-Figueroa, F.R.; Rojas-Herrera, R.; Galaz-Avalos, R.M.; Loyola-Vargas, V.M. Embryo production through somatic embryogenesis can be used to study cell differentiation in plants. Plant Cell Tissue Organ Cult. 2006, 86, 285–301. [Google Scholar] [CrossRef]
- Klimaszewska, K.; Hargreaves, C.; Lelu-Walter, M.A.; Trontin, J.F. Advances in conifer somatic embryogenesis since year 2000. In In Vitro Embryogenesis in Higher Plants; Germana, M.A., Lambardi, M., Eds.; Humana Press: New York, NY, USA, 2016; Volume 1375, pp. 131–166. [Google Scholar]
- Thorpe, T.A.; Yeung, E.C.; Pullman, G.S.; Bucalo, K. Pine somatic embryogenesis using zygotic embryos as explants. In Plant Embryo Culture; Thorpe, T., Yeung, E., Eds.; Methods in Molecular Biology (Methods and Protocols); Humana Press: New York, NY, USA, 2011; Volume 710, pp. 267–291. [Google Scholar]
- Tereso, S.; Zoglauer, K.; Milhinhos, A.; Miguel, C.; Oliveira, M.M. Zygotic and somatic embryo morphogenesis in Pinus pinaster: Comparative histological and histochemical study. Tree Physiol. 2007, 27, 661–669. [Google Scholar] [CrossRef] [PubMed]
- Negro, A.; Méndez, R.; Martin-villacorta, J.; Ortiz, A.I.; Ordóñez, D. A simplified method for the determination of methylglyoxal bis(guanylhydrazone), MGBG, in biological fluids by reversed-phase ion-pair HPLC. J. Liq. Chromatogr. 1991, 14, 2409–2418. [Google Scholar] [CrossRef]
- Niemi, K.; Sarjala, T.; Chen, X.; Häggman, H. Spermidine and methylglyoxal bis(guanylhydrazone) affect maturation and endogenous polyamine content of Scots pine embryogenic cultures. J. Plant Physiol. 2002, 159, 1155–1158. [Google Scholar] [CrossRef]
- El Meskaoui, A.; Trembaly, F.M. Effects of exogenous polyamines and inhibitors of polyamine biosynthesis on endogenous free polyamine contents and the maturation of white spruce somatic embryos. Afr. J. Biotechnol. 2009, 8, 6807–6816. [Google Scholar]
- Li, X.Y.; Huang, F.H.; Gbur, E.E. Polyethylene glycol-promoted development of somatic embryos in loblolly pine (Pinus taeda L.). In Vitro Cell. Dev. Biol.-Plant 1997, 33, 184–189. [Google Scholar] [CrossRef]
- Kong, L.; Attree, S.M.; Fowke, L.C. Effects of polyethylene glycol and methylglyoxal bis (guanylhydrazone) on endogenous polyamine levels and somatic embryo maturation in white spruce (Picea glauca). Plant Sci. 1998, 133, 211–220. [Google Scholar] [CrossRef]
- Ramarosandratana, A.; Harvengt, L.; Bouvet, A.; Calvayrac, R.; Pâques, M. Effects of carbohydrate source, polyethylene glycol and gellan gum concentration on embryonal-suspensor mass (ESM) proliferation and maturation of maritime pine somatic embryos. In Vitro Cell. Dev. Biol.-Plant 2001, 37, 29–34. [Google Scholar] [CrossRef]
- Salaj, T.; Matusikova, I.; Fraterova, L.; Pirselova, B.; Salaj, J. Regrowth of embryogenic tissues of Pinus nigra following cryopreservation. Plant Cell Tissue Organ Cult. 2011, 106, 55–61. [Google Scholar] [CrossRef]
- Wu, C.T.; Morris, J.R. Genes, genetics, and epigenetics: A correspondence. Science 2001, 293, 1103–1105. [Google Scholar] [CrossRef] [Green Version]
- Zhang, H.M.; Lang, Z.B.; Zhu, J.K. Dynamics and function of DNA methylation in plants. Nat. Rev. Mol. Cell Biol. 2018, 19, 489–506. [Google Scholar] [CrossRef] [PubMed]
- Hu, G.; Xu, Q. Mechanism of de novo DNA methylation in plants. Chin. Sci. Bull. 2021, 66, 1821–1834. [Google Scholar] [CrossRef]
- Chan, S.W.L.; Henderson, I.R.; Jacobsen, S.E. Gardening the genome: DNA methylation in Arabidopsis thaliana. Nat. Rev. Genet. 2005, 6, 351–360. [Google Scholar] [CrossRef] [Green Version]
- Stroud, H.; Do, T.; Du, J.M.; Zhong, X.H.; Feng, S.H.; Johnson, L.; Patel, D.J.; Jacobsen, S.E. Non-CG methylation patterns shape the epigenetic landscape in Arabidopsis. Nat. Struct. Mol. Biol. 2014, 21, 64–72. [Google Scholar] [CrossRef] [Green Version]
- Razin, A.; Cedar, H. DNA methylation and gene expression. Microbiol. Res. 1991, 55, 451–458. [Google Scholar] [CrossRef]
- Mei, X.; Li, P.; Wang, L.; Liu, C.; Zhou, L.; Li, C.; Cai, Y. Imprinting, methylation, and expression characterization of the maize ETHYLENE-INSENSITIVE 2-like gene. Crop J. 2019, 7, 49–57. [Google Scholar] [CrossRef]
- Yaari, R.; Katz, A.; Domb, K.; Harris, K.D.; Zemach, A.; Ohad, N. RdDM-independent de novo and heterochromatin DNA methylation by plant CMT and DNMT3 orthologs. Nat. Commun. 2019, 10, 1613. [Google Scholar] [CrossRef] [Green Version]
- Lewis, J.; Bird, A. DNA methylation and chromatin structure. FEBS Lett. 1991, 285, 155–159. [Google Scholar] [CrossRef] [Green Version]
- Law, J.A.; Jacobsen, S.E. Establishing, maintaining and modifying DNA methylation patterns in plants and animals. Nat. Rev. Genet. 2010, 11, 204–220. [Google Scholar] [CrossRef]
- Razin, A.; Cedar, H. DNA methylation and genomic imprinting. Cell 1994, 77, 473–476. [Google Scholar] [CrossRef]
- Heringer, A.S.; Steinmacher, D.A.; Fraga, H.P.F.; Vieira, L.N.; Ree, J.F.; Guerra, M.P. Global DNA methylation profiles of somatic embryos of peach palm (Bactris gasipaes Kunth) are influenced by cryoprotectants and droplet-vitrification cryopreservation. Plant Cell Tissue Organ Cult. 2013, 114, 365–372. [Google Scholar] [CrossRef]
- Ahmadi, B.; Ahmadi, M.; Teixeira da Silva, J.A. Microspore embryogenesis in Brassica: Calcium signaling, epigenetic modification, and programmed cell death. Planta 2018, 248, 1339–1350. [Google Scholar] [CrossRef] [PubMed]
- Xing, M.Q.; Zhang, Y.J.; Zhou, S.R.; Hu, W.Y.; Wu, X.T.; Ye, Y.J.; Wu, X.X.; Xiao, Y.P.; Li, X.; Xue, H.W. Global analysis reveals the crucial roles of DNA methylation during rice seed development. Plant Physiol. 2015, 168, 1417–1554. [Google Scholar] [CrossRef] [PubMed] [Green Version]
- Kong, L.; von Aderkas, P. A novel method of cryopreservation without a cryoprotectant for immature somatic embryos of conifer. Plant Cell Tissue Organ Cult. 2011, 106, 115–125. [Google Scholar] [CrossRef]
- Litvay, J.D.; Verma, D.C.; Johnson, M.A. Influence of a loblolly pine (Pinus taeda L.). Culture medium and its components on growth and somatic embryogenesis of the wild carrot (Daucus carota L.). Plant Cell Rep. 1985, 4, 325–328. [Google Scholar] [CrossRef]
- Kong, L.; von Aderkas, P. Genotype effects on ABA consumption and somatic embryo maturation in interior spruce (Picea glauca × engelmanni). J. Exp. Bot. 2007, 58, 1525–1531. [Google Scholar] [CrossRef]
- Borges, A.; Rosa, M.S.; Recchia, G.H.; de Queiroz-Silva, J.R.; Bressan, E.D.; Veasey, E.A. CTAB methods for DNA extraction of sweetpotato for microsatellite analysis. Sci. Agric. 2009, 66, 529–534. [Google Scholar] [CrossRef]
- Gao, Y.; Hao, J.L.; Wang, Z.; Song, K.J.; Ye, J.H.; Zheng, X.Q.; Liang, Y.R.; Lu, J.L. DNA methylation levels in different tissues in tea plant via an optimized HPLC method. Hortic. Environ. Biotechnol. 2019, 60, 967–974. [Google Scholar] [CrossRef]
- Alakarppa, E.; Salo, H.M.; Valledor, L.; Canal, M.J.; Haggman, H.; Vuosku, J. Natural variation of DNA methylation and gene expression may determine local adaptations of Scots pine populations. J. Exp. Bot. 2018, 69, 5293–5305. [Google Scholar] [CrossRef]
- Kumar, S.; Stecher, G.; Tamura, K. MEGA7: Molecular evolutionary genetics analysis version 7.0 for bigger datasets. Mol. Biol. Evol. 2016, 33, 1870–1874. [Google Scholar] [CrossRef] [Green Version]
- Kawakatsu, T.; Nery, J.R.; Castanon, R.; Ecker, J.R. Dynamic DNA methylation reconfiguration during seed development and germination. Genome Biol. 2017, 18, 171. [Google Scholar] [CrossRef] [PubMed] [Green Version]
- Fujimoto, R.; Sasaki, T.; Nishio, T. Characterization of DNA methyltransferase genes in Brassica rapa. Genes Genet. Syst. 2006, 81, 235–242. [Google Scholar] [CrossRef] [PubMed] [Green Version]
- Chakraborty, T.; Kendall, T.; Grover, J.W.; Mosher, R.A. Embryo CHH hypermethylation is mediated by RdDM and is autonomously directed in Brassica rapa. Genome Biol. 2021, 22, 140. [Google Scholar] [CrossRef] [PubMed]
- Pandey, P.; Malik, A.A.; Kumar, K.; Negi, M.S.; Tripathi, S.B. Changes in DNA methylation levels during seed development in Jatropha curcas. J. Genet. 2016, 95, 13–18. [Google Scholar] [CrossRef] [PubMed]
- Shoji, M.; Sato, H.; Nakagawa, R.; Funada, R.; Kubo, T.; Ogita, S. Influence of osmotic pressure on somatic embryo maturation in Pinus densiflora. J. For. Res. 2006, 11, 449–453. [Google Scholar] [CrossRef]
- Rai, M.K.; Jaiswal, V.S.; Jaiswal, U. Effect of selected amino acids and polyethylene glycol on maturation and germination of somatic embryos of guava (Psidium guajava L.). Sci. Hortic. 2009, 121, 233–236. [Google Scholar] [CrossRef]
- Vale, E.M.; Reis, R.S.; Passamani, L.Z.; Santa-Catarina, C.; Silveira, V. Morphological analyses and variation in carbohydrate content during the maturation of somatic embryos of Carica papaya. Physiol. Mol. Biol. Plants 2018, 24, 295–305. [Google Scholar] [CrossRef]
- Norgaard, J.V. Somatic embryo maturation and plant regeneration in Abies nordmanniana Lk. Plant Sci. 1997, 124, 211–221. [Google Scholar] [CrossRef]
- Vertino, P.M.; Yen, R.W.; Gao, J.; Baylin, S.B. De novo methylation of CpG island sequences in human fibroblasts overexpressing DNA (cytosine-5-)-methyltransferase. Mol. Cell Biol. 1996, 16, 4555–4565. [Google Scholar] [CrossRef] [Green Version]
- Daniel, F.I.; Cherubini, K.; Yurgel, L.S.; de Figueiredo, M.A.; Salum, F.G. The role of epigenetic transcription repression and DNA methyltransferases in cancer. Cancer 2011, 117, 677–687. [Google Scholar] [CrossRef]
- He, M.; Fan, J.; Jiang, R.; Tang, W.X.; Wang, Z.W. Expression of DNMTs and genomic DNA methylation in gastric signet ring cell carcinoma. Mol. Med. Rep. 2013, 8, 942–948. [Google Scholar] [CrossRef] [Green Version]
- Nishiyama, A.; Nakanishi, M. Navigating the DNA methylation landscape of cancer. Trends Genet. 2021, 11, 1012–1027. [Google Scholar] [CrossRef]
- Kumar, S.; Mohapatra, T. Dynamics of DNA methylation and its functions in plant growth and development. Front. Plant Sci. 2021, 12, 858. [Google Scholar] [CrossRef]
- Falahi, A.; Zarei, L.; Cheghamirza, K. Most drought-induced DNA methylation changes switched to pre-stress state after re-irrigation in barley (Hordeum vulgare L.) cultivars. Cereal Res. Commun. 2021, 3, 1–10. [Google Scholar] [CrossRef]
- Lan, Z.; Xu, Y.H.; Wang, J.B. DNA-methylation changes induced by salt stress in wheat Triticum aestivum. Afr. J. Biotechnol. 2009, 8, 6201–6207. [Google Scholar] [CrossRef]
- Joel, G.A.J. Epigenetic responses to drought stress in rice (Oryza sativa L.). Physiol. Mol. Biol. Plants 2013, 19, 379–387. [Google Scholar]







Publisher’s Note: MDPI stays neutral with regard to jurisdictional claims in published maps and institutional affiliations. |
© 2022 by the authors. Licensee MDPI, Basel, Switzerland. This article is an open access article distributed under the terms and conditions of the Creative Commons Attribution (CC BY) license (https://creativecommons.org/licenses/by/4.0/).
Share and Cite
Gao, Y.; Chen, X.; Cui, Y.; Zhao, H.; Zhao, R.; Liu, C.; Zhao, J.; Zhang, J.; Kong, L. Effects of Medium Supplements on Somatic Embryo Maturation and DNA Methylation in Pseudotsuga gaussenii Flous, a Species under Protection. Forests 2022, 13, 288. https://doi.org/10.3390/f13020288
Gao Y, Chen X, Cui Y, Zhao H, Zhao R, Liu C, Zhao J, Zhang J, Kong L. Effects of Medium Supplements on Somatic Embryo Maturation and DNA Methylation in Pseudotsuga gaussenii Flous, a Species under Protection. Forests. 2022; 13(2):288. https://doi.org/10.3390/f13020288
Chicago/Turabian StyleGao, Ying, Xiaoyi Chen, Ying Cui, Huanhuan Zhao, Ruirui Zhao, Chengbi Liu, Jian Zhao, Jinfeng Zhang, and Lisheng Kong. 2022. "Effects of Medium Supplements on Somatic Embryo Maturation and DNA Methylation in Pseudotsuga gaussenii Flous, a Species under Protection" Forests 13, no. 2: 288. https://doi.org/10.3390/f13020288
APA StyleGao, Y., Chen, X., Cui, Y., Zhao, H., Zhao, R., Liu, C., Zhao, J., Zhang, J., & Kong, L. (2022). Effects of Medium Supplements on Somatic Embryo Maturation and DNA Methylation in Pseudotsuga gaussenii Flous, a Species under Protection. Forests, 13(2), 288. https://doi.org/10.3390/f13020288
