Investigations of the Chemical Distribution in Sorbitol and Citric Acid (SorCA) Treated Wood—Development of a Quality Control Method on the Basis of Electromagnetic Radiation
Abstract
:1. Introduction
2. Materials and Methods
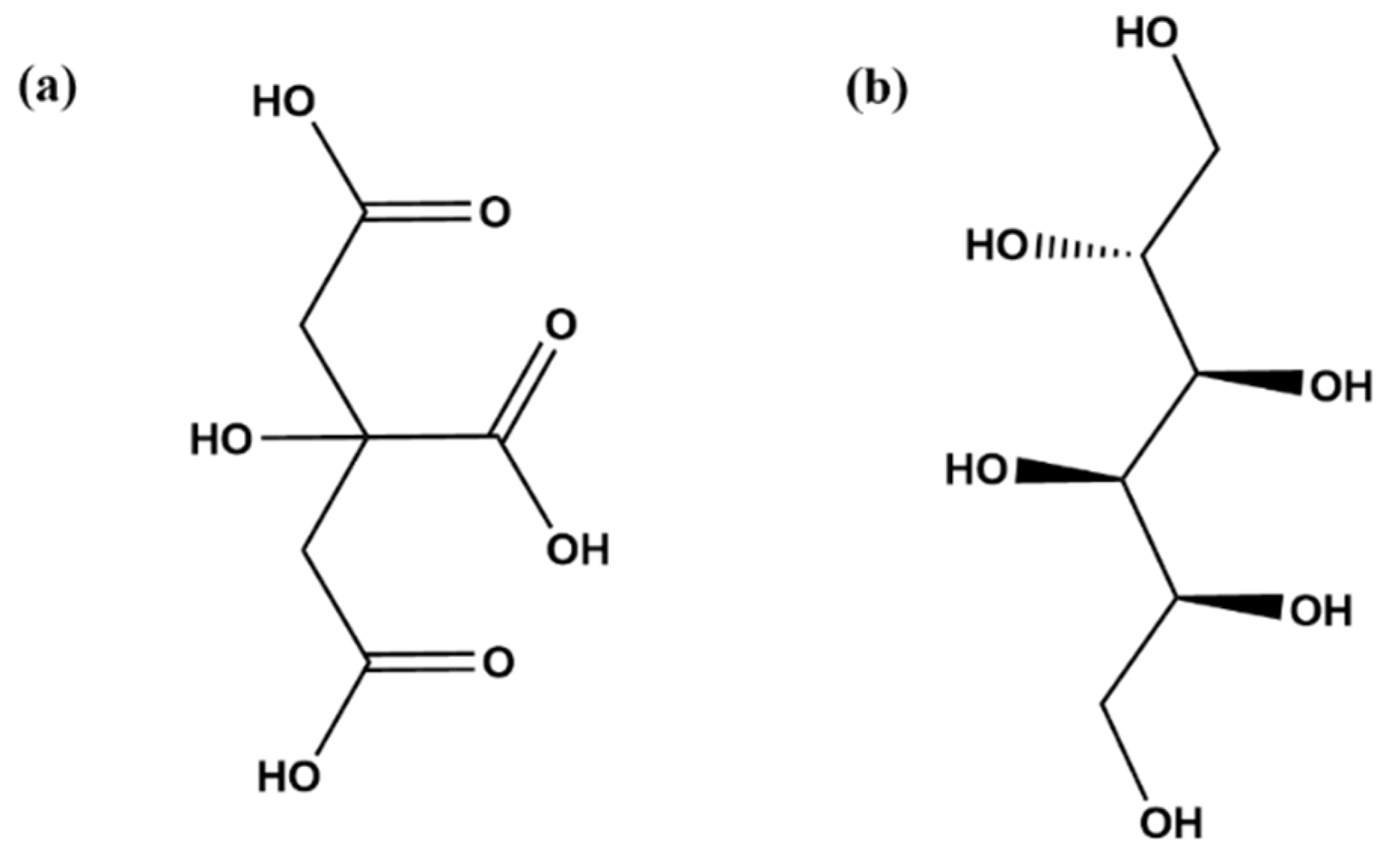
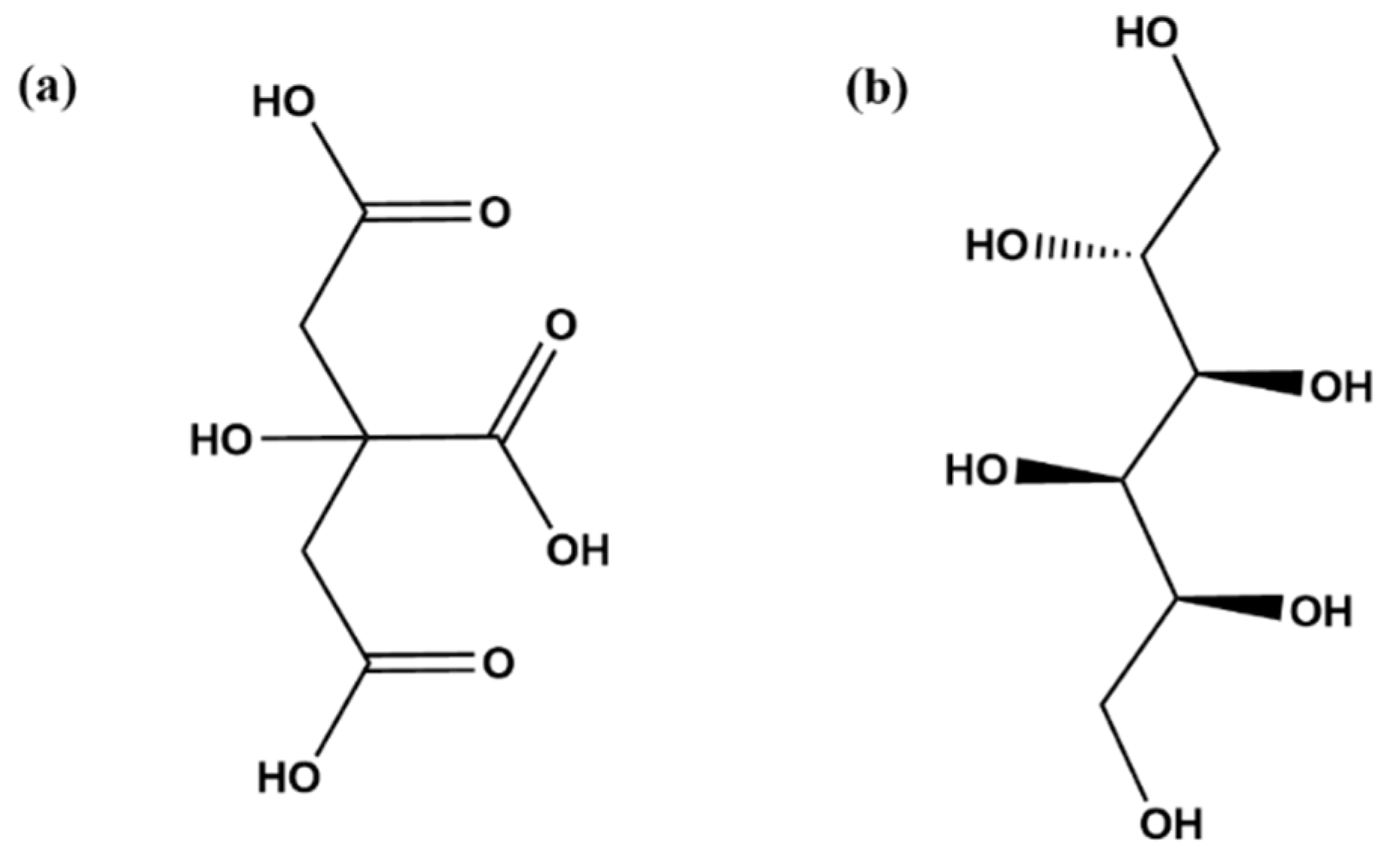
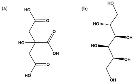
2.1. Materials and Wood Modification Process
2.2. ATR-FTIR Measurements and Data Processing
2.3. NIR Measurements and Data Processing
2.4. X-ray Density Profiling and Data Processing
3. Results and Discussion
3.1. Modification Efficiency
3.2. ATR-FTIR Measurements
3.3. NIR Measurements
3.4. X-ray Density Profiling Measurements
4. Conclusions
Author Contributions
Funding
Data Availability Statement
Acknowledgments
Conflicts of Interest
References
- Guo, W.; Xiao, Z.; Wentzel, M.; Emmerich, L.; Xie, Y.; Militz, H. Modification of scots pine with activated glucose and citric acid: Physical and mechanical properties. BioResources 2019, 14, 3445–3458. [Google Scholar]
- L’Hostis, C.; Thévenon, M.-F.; Fredon, E.; Gérardin, P. Improvement of beech wood properties by in situ formation of polyesters of citric and tartaric acid in combination with glycerol. Holzforschung 2017, 72, 291–299. [Google Scholar]
- Mubarok, M.; Militz, H.; Dumarçay, S.; Gérardin, P. Beech wood modification based on in situ esterification with sorbitol and citric acid. Wood Sci. Technol. 2020, 54, 479–502. [Google Scholar]
- Silveira, M.M.; Jonas, R. The biotechnological production of sorbitol. Appl. Microbiol. Biotechnol. 2002, 59, 400–408. [Google Scholar]
- Ciriminna, R.; Meneguzzo, F.; Delisi, R.; Pagliaro, M. Citric Acid: Emerging applications of key biotechnology industrial product. Chem. Cent. J. 2017, 11, 22. [Google Scholar]
- Marques, C.; Tarek, R.; Sara, M.; Brar, S.K. Sorbitol production from biomass and its global market. In Platform Chemical Biorefinery; Elsevier: Amsterdam, The Netherlands, 2016; pp. 217–227. [Google Scholar]
- Berovic, M.; Legisa, M. Citric acid production. Biotechnol. Annu. Rev. 2007, 13, 303–343. [Google Scholar]
- Beck, G. Leachability and decay resistance of wood polyesterified with sorbitol and citric acid. Forests 2020, 11, 650. [Google Scholar]
- Alfredsen, G.; Larnøy, E.; Beck, G.; Biørnstad, J.; Gobakken, L.R.; Treu, A. A Summary of decay performance with citric acid and sorbitol modification. In Proceedings of the the International Research Group on Wood Protection, IRG/WP/20-40898, Online Webinar, 10–11 June 2020. [Google Scholar]
- Larnøy, E.; Karaca, A.; Gobakken, L.R.; Hill, C.A.S. Polyesterification of wood using sorbitol and citric acid under aqueous conditions. Int. Wood Prod. J. 2018, 9, 66–73. [Google Scholar]
- Treu, A.; Nunes, L.; Larnøy, E. Macrobiological degradation of esterified wood with sorbitol and citric acid. Forests 2020, 11, 776. [Google Scholar]
- Jones, D.; Sandberg, D.; Goli, G.; Todaro, L. (Eds.) Wood Modification in Europe: A State-of-Art about Process, Products and Applications, 1st ed.; Proceedings e Report; Firenze University Press: Florence, Italy, 2020; Volume 124, p. 10. [Google Scholar]
- Beckers, E.P.J.; Bongers, H.P.M. Acetyl content determination using different analytical techniques. In Proceedings of the 3rd European Conference on Wood Modification (ECWM3), Cardiff, UK, 15–16 October 2007; p. 22. [Google Scholar]
- Kurkowiak, K.; Emmerich, L.; Militz, H. Sorption behavior and swelling of citric acid and sorbitol (SorCA) treated wood. Holzforschung 2021, 75, 1136–1149. [Google Scholar]
- Li, X.; Sun, C.; Zhou, B.; He, Y. Determination of hemicellulose, cellulose and lignin in moso bamboo by near infrared spectroscopy. Sci. Rep. 2015, 5, 17210. [Google Scholar]
- Schwanninger, M.; Rodrigues, J.C.; Gierlinger, N.; Hinterstoisser, B. Determination of lignin content in norway spruce wood by fourier transformed near infrared spectroscopy and partial least squares regression. Part 1: Wavenumber selection and evaluation of the selected range. J. Infrared Spectrosc. 2011, 19, 319–329. [Google Scholar]
- Alves, A.M.M.; Simões, R.F.S.; Santos, C.A.; Potts, B.M.; Rodrigues, J.; Schwanninger, M. Determination of Eucalyptus globulus wood extractives content by near infrared-based partial least squares regression models: Comparison between extraction procedures. J. Infrared Spectrosc. 2012, 20, 275–285. [Google Scholar]
- Giordanengo, T.; Charpentier, J.-P.; Roger, J.-M.; Roussel, S.; Brancheriau, L.; Chaix, G.; Baillères, H. Correction of moisture effects on near infrared calibration for the analysis of phenol content in eucalyptus wood extracts. Ann. For. Sci. 2008, 65, 803. [Google Scholar]
- Schwanninger, M.; Stefke, B.; Hinterstoisser, B. Qualitative assessment of acetylated wood with infrared spectroscopic methods. J. Infrared Spectrosc. 2011, 19, 349–357. [Google Scholar]
- Stefke, B.; Windeisen, E.; Schwanninger, M.; Hinterstoisser, B. Determination of the weight percentage gain and of the acetyl group content of acetylated wood by means of different infrared spectroscopic methods. Anal. Chem. 2008, 80, 1272–1279. [Google Scholar]
- dos Santos, L.M.; Amaral, E.A.; Nieri, E.M.; Costa, E.V.S.; Trugilho, P.F.; Calegário, N.; Hein, P.R.G. Estimating wood moisture by near infrared spectroscopy: Testing acquisition methods and wood surfaces qualities. Wood Mater. Sci. Eng. 2020, 16, 336–343. [Google Scholar]
- Alves, A.; Santos, A.; Rozenberg, P.; Pâques, L.E.; Charpentier, J.-P.; Schwanninger, M.; Rodrigues, J. A Common near infrared—based partial least squares regression model for the prediction of wood density of Pinus pinaster and Larix × Eurolepis. Wood Sci. Technol. 2012, 46, 157–175. [Google Scholar]
- Arriel, T.G.; Ramalho, F.M.G.; Lima, R.A.B.; de Sousa, K.I.R.; Hein, P.R.G.; Trugilho, P.F. Developing near infrared spetroscopic models for predicting density of eucalyptus wood based on indirect measurement. Cerne 2019, 25, 294–300. [Google Scholar]
- Fujimoto, T.; Kobori, H.; Tsuchikawa, S. Prediction of wood density independently of moisture conditions using near infrared spectroscopy. J. Infrared Spectrosc. 2012, 20, 353–359. [Google Scholar]
- Schimleck, L.R.; Matos, J.L.M.; Trianoski, R.; Prata, J.G. Comparison of methods for estimating mechanical properties of wood by NIR spectroscopy. J. Spectrosc. 2018, 2018, 1–10. [Google Scholar]
- Zimmer, B.; Bächle, H. Qualitäts- und Produktionskontrolle von TMT mit Farbmessung und NIR-Spektroskopie. In Proceedings of the Europäischer TMT-Workshop 2010, Dresden, Germany, 6–7 May 2010; p. 9. [Google Scholar]
- Agelet, L.E.; Hurburgh, C.R. A Tutorial on near infrared spectroscopy and its calibration. Crit. Rev. Anal. Chem. 2010, 40, 246–260. [Google Scholar]
- Rinnan, Å.; vad den Berg, F.; Engelsen, S.B. Review of the most common pre-processing techniques for near-infrared spectra. TrAC Trends Anal. Chem. 2009, 28, 1201–1222. [Google Scholar]
- Stevanovic, T. Chemistry of Lignocellulosics: Current Trends, 1st ed.; CRC Press: Boca Raton, FL, USA, 2018. [Google Scholar]
- Beć, K.B.; Grabska, J.; Huck, C.W. Principles and applications of miniaturized near-infrared (NIR) spectrometers. Chem.—Eur. J. 2020, 26, 1514. [Google Scholar]
- Stuart, B.H. Infrared Spectroscopy: Fundamentals and Applications; John Wiley & Sons, Ltd.: New York, NY, USA, 2004. [Google Scholar]
- Naumann, A.; Peddireddi, S.; Kües, U.; Polle, A. Fourier transform infrared microscopy in wood analysis. In Wood Production, Wood Technology, and Biotechnological Impacts; Universitätsverlag Göttingen: Göttingen, Germany, 2007; p. 19. [Google Scholar]
- Traoré, M.; Kaal, J.; Martínez Cortizas, A. Differentiation between pine woods according to species and growing location using FTIR-ATR. Wood Sci. Technol. 2018, 52, 487–504. [Google Scholar]
- Jelle, B.P.; Hovde, P.J. Fourier transform infrared radiation spectroscopy applied for wood rot decay and mould fungi growth detection. Adv. Mater. Sci. Eng. 2012, 2012, 969360. [Google Scholar]
- Lipeh, S.; Schimleck, L.R.; Mankowski, M.E.; McDonald, A.G.; Morrell, J.J. Relationship between attenuated total reflectance Fourier transform infrared spectroscopy of western juniper and natural resistance to fungal and termite attack. Holzforschung 2019, 74, 246–259. [Google Scholar]
- Cown, D.J.; Clement, B.C. A wood densitometer using direct scanning with X-rays. Wood Sci. Technol. 1983, 17, 91–99. [Google Scholar]
- Gaitan-Alvarez, J.; Moya, R.; Berrocal, A. The use of X-ray densitometry to evaluate the wood density profile of tectona grandis trees growing in fast-growth plantations. Dendrochronologia 2019, 55, 71–79. [Google Scholar]
- Klüppel, A.; Mai, C. The influence of curing conditions on the chemical distribution in wood modified with thermosetting resins. Wood Sci. Technol. 2013, 47, 643–658. [Google Scholar]
- Olsson, T.; Megnis, M.; Varna, J.; Lindberg, H. Measurement of the uptake of linseed oil in pine by the use of an X-ray microdensitometry technique. J. Wood Sci. 2001, 47, 275–281. [Google Scholar]
- Zhou, C.; Dai, C.; Smith, G.D. Modeling vertical density profile formation for strand-based wood composites during hot pressing: Part 2. Experimental Investigations and Model Validation. Compos. Part B Eng. 2011, 42, 1357–1365. [Google Scholar]
- Biziks, V.; Van Acker, J.; Militz, H.; Grinins, J.; Van den Bulcke, J. Density and density profile changes in birch and spruce caused by thermo-hydro treatment measured by X-ray computed tomography. Wood Sci. Technol. 2019, 53, 491–504. [Google Scholar]
- Pedregosa, F. Machine Learning in Python. J. Mach. Learn. Res. 2011, 12, 2825–2830. [Google Scholar]
- Savitzky, A.; Golay, M.J.E. Smoothing and differentiation of data by simplified least squares procedures. Anal. Chem. 1964, 36, 13. [Google Scholar]
- Funda, T.; Fundova, I.; Gorzsás, A.; Fries, A.; Wu, H.X. Predicting the chemical composition of juvenile and mature woods in scots pine (Pinus Sylvestris L.) using FTIR spectroscopy. Wood Sci. Technol. 2020, 54, 289–311. [Google Scholar]
- Coates, J. Interpretation of infrared spectra, a practical approach. In Encyclopedia of Analytical Chemistry; Meyers, R.A., Ed.; John Wiley Sons Ltd.: Chichester, UK, 2000; pp. 10815–10837. [Google Scholar]
- Berube, M.A.; Schorr, D.; Ball, R.J.; Landry, V.; Blanchet, P. Determination of in situ esterification parameters of citric acid-glycerol based polymers for wood impregnation. J. Polym. Environ. 2018, 26, 970–979. [Google Scholar]
- Pandey, K.K.; Pitman, A.J. FTIR Studies of the changes in wood chemistry following decay by brown-rot and white-rot fungi. Int. Biodeterior. Biodegrad. 2003, 52, 151–160. [Google Scholar]
- Shi, J.; Xing, D.; Lia, J. FTIR studies of the changes in wood chemistry from wood forming tissue under inclined treatment. Energy Procedia 2012, 16, 758–762. [Google Scholar]
- Silverstein, R.M.; Bassler, G.C.; Morrill, T.C. Spectrometric Identification of Organic Compounds; John Wiley & Sons, Ltd.: New York, NY, USA, 1981. [Google Scholar]
- Li, G.-Y.; Huang, L.-H.; Hse, C.-Y.; Qin, T.-F. Chemical compositions, infrared spectroscopy, and X-ray diffractometry study on Brown-Rotted Woods. Carbohydr. Polym. 2011, 85, 560–564. [Google Scholar]
- Popescu, C.-M.; Popescu, M.-C.; Singurel, G.; Vasile, C.; Argyropoulos, D.S.; Willfor, S. Spectral characterization of eucalyptus wood. Appl. Spectrosc. 2007, 61, 1168–1177. [Google Scholar]
- Schwanninger, M.; Rodrigues, J.C.; Fackler, K. A Review of band assignments in near infrared spectra of wood and wood components. J. Infrared Spectrosc. 2011, 19, 287–308. [Google Scholar]
- Thumm, A.; Meder, R. Stiffness Prediction of radiata pine clearwood test pieces using near infrared spectroscopy. J. Infrared Spectrosc. 2001, 9, 117–122. [Google Scholar]
- Williams, P.C.; Sobering, D.C. Comparison of commercial near infrared transmittance and reflectance instruments for analysis of whole grains and seeds. J. Infrared Spectrosc. 1993, 1, 25–32. [Google Scholar]
- Schwanninger, M.; Rodrigues, J.C.; Gierlinger, N.; Hinterstoisser, B. Determination of lignin content in norway spruce wood by fourier transformed near infrared spectroscopy and partial least squares regression analysis. Part 2: Development and evaluation of the final model. J. Infrared Spectrosc. 2011, 19, 331–341. [Google Scholar]
- Williams, P. The RPD statistic: A tutorial note. NIR News 2014, 25, 22–26. [Google Scholar]
- Smith, D.; Cockcroft, R. A method of obtaining uniform distribution of wood preservatives in toxicity test blocks. Nature 1961, 189, 163–164. [Google Scholar]
- Amini, E.; Tajvidi, M.; Gardner, D.J.; Bousfield, D.W. Utilization of cellulose nanofibrils as a binder for particleboard manufacture. BioResources 2017, 12, 4093–4110. [Google Scholar]
- Kutnar, A.; O’Dell, J.; Hunt, C.; Frihart, C.; Kamke, F.; Schwarzkopf, M. Viscoelastic properties of thermo-hydro-mechanically treated beech (Fagus Sylvatica L.) determined using dynamic mechanical analysis. Eur. J. Wood Wood Prod. 2021, 79, 263–271. [Google Scholar]







| Concentration (%) | pH | WPG (%) | CWB (%) |
|---|---|---|---|
| Untreated reference | - | - | - |
| Heat-treated reference | - | −0.80 ± 0.07 | −1.09 ± 0.77 |
| 2.5 | 2.17 | 1.65 ± 0.65 | −0.90 ± 2.06 |
| 5.0 | 1.88 | 4.78 ± 0.33 | 2.26 ± 0.64 |
| 7.5 | 1.79 | 7.70 ± 0.45 | 2.86 ± 0.67 |
| 10.0 | 1.74 | 11.40 ± 0.40 | 5.45 ± 0.42 |
| 12.5 | 1.65 | 12.95 ± 0.86 | 4.58 ± 0.59 |
| 15.0 | 1.59 | 15.10 ± 0.55 | 5.23 ± 0.79 |
| 17.5 | 1.51 | 19.16 ± 0.90 | 6.41 ± 0.73 |
| 20.0 | 1.48 | 22.62 ± 1.76 | 6.97 ± 0.40 |
| 22.5 | 1.42 | 24.66 ± 1.26 | 7.33 ± 0.70 |
| 25.0 | 1.36 | 26.77 ± 0.23 | 7.39 ± 0.27 |
| 27.5 | 1.40 | 31.99 ± 2.31 | 8.57 ± 0.26 |
| 30.0 | 1.35 | 37.81 ± 2.34 | 9.57 ± 0.54 |
| 32.5 | 1.29 | 39.38 ± 1.55 | 9.78 ± 0.80 |
| 35.0 | 1.23 | 43.27 ± 0.41 | 10.70 ± 0.25 |
| 37.5 | 1.17 | 45.76 ± 0.61 | 10.80 ± 0.30 |
| 40.0 | 1.12 | 48.76 ± 1.33 | 11.21 ± 0.20 |
| 42.5 | 1.07 | 53.11 ± 1.87 | 11.31 ± 0.45 |
| 45.0 | 1.01 | 60.24 ± 0.86 | 11.23 ± 0.34 |
| 47.5 | 0.95 | 62.97 ± 1.57 | 11.51 ± 0.42 |
| 50.0 | 0.81 | 66.67 ± 1.06 | 12.39 ± 0.77 |
| Wavelength Range (nm) | Mathematical Pre-Processing | Rank | R2 -CV | RMSE-CV (%) | R2-TS | RMSE-TS (%) | RPD |
|---|---|---|---|---|---|---|---|
| 844–1656 | No pretreatment | 8 | 0.852 | 7.804 | 0.831 | 8.167 | 2.430 |
| No pretreatment | 14 | 0.842 | 8.103 | 0.812 | 8.615 | 2.307 | |
| MSC | 3 | 0.568 | 13.341 | 0.693 | 11.012 | 1.805 | |
| MSC | 7 | 0.768 | 9.774 | 0.768 | 9.553 | 2.080 | |
| SNV | 5 | 0.564 | 13.396 | 0.760 | 9.742 | 2.040 | |
| SNV | 9 | 0.804 | 8.979 | 0.808 | 8.703 | 2.283 | |
| 2nd derivative S-G | 4 | 0.826 | 8.469 | 0.820 | 8.969 | 2.319 | |
| 2nd derivative S-G | 13 | 0.761 | 9.916 | 0.805 | 8.781 | 2.263 | |
| 2950–1030 | No pretreatment | 6 | 0.756 | 10.02 | 0.731 | 10.31 | 1.927 |
| No pretreatment | 9 | 0.767 | 9.80 | 0.716 | 10.60 | 1.875 | |
| MSC | 8 | 0.742 | 10.31 | 0.659 | 11.61 | 1.711 | |
| MSC | 11 | 0.743 | 10.28 | 0.662 | 11.55 | 1.720 | |
| SNV | 5 | 0.724 | 10.66 | 0.684 | 11.17 | 1.778 | |
| SNV | 9 | 0.738 | 10.38 | 0.668 | 11.46 | 1.734 | |
| 2nd derivative S-G | 7 | 0.743 | 10.29 | 0.706 | 10.77 | 1.844 | |
| 2nd derivative S-G | 10 | 0.742 | 10.30 | 0.711 | 10.69 | 1.859 | |
| 1400–1600 | No pretreatment | 5 | 0.791 | 9.27 | 0.773 | 9.47 | 2.098 |
| No pretreatment | 12 | 0.753 | 10.09 | 0.761 | 9.71 | 2.046 | |
| MSC | 5 | 0.786 | 9.39 | 0.741 | 10.11 | 1.966 | |
| MSC | 14 | 0.752 | 10.11 | 0.718 | 10.56 | 1.882 | |
| SNV | 4 | 0.786 | 9.35 | 0.752 | 9.89 | 2.008 | |
| SNV | 14 | 0.750 | 10.14 | 0.712 | 10.67 | 1.862 | |
| 2nd derivative S-G | 7 | 0.762 | 9.91 | 0.756 | 9.82 | 2.023 | |
| 2nd derivative S-G | 15 | 0.756 | 10.02 | 0.727 | 10.39 | 1.913 | |
| Selected wavelengths * | No pretreatment | 6 | 0.829 | 83.96 | 0.808 | 8.70 | 2.285 |
| No pretreatment | 10 | 0.824 | 8.51 | 0.811 | 8.64 | 2.301 |
Publisher’s Note: MDPI stays neutral with regard to jurisdictional claims in published maps and institutional affiliations. |
© 2022 by the authors. Licensee MDPI, Basel, Switzerland. This article is an open access article distributed under the terms and conditions of the Creative Commons Attribution (CC BY) license (https://creativecommons.org/licenses/by/4.0/).
Share and Cite
Kurkowiak, K.; Mayer, A.K.; Emmerich, L.; Militz, H. Investigations of the Chemical Distribution in Sorbitol and Citric Acid (SorCA) Treated Wood—Development of a Quality Control Method on the Basis of Electromagnetic Radiation. Forests 2022, 13, 151. https://doi.org/10.3390/f13020151
Kurkowiak K, Mayer AK, Emmerich L, Militz H. Investigations of the Chemical Distribution in Sorbitol and Citric Acid (SorCA) Treated Wood—Development of a Quality Control Method on the Basis of Electromagnetic Radiation. Forests. 2022; 13(2):151. https://doi.org/10.3390/f13020151
Chicago/Turabian StyleKurkowiak, Katarzyna, Aaron K. Mayer, Lukas Emmerich, and Holger Militz. 2022. "Investigations of the Chemical Distribution in Sorbitol and Citric Acid (SorCA) Treated Wood—Development of a Quality Control Method on the Basis of Electromagnetic Radiation" Forests 13, no. 2: 151. https://doi.org/10.3390/f13020151
APA StyleKurkowiak, K., Mayer, A. K., Emmerich, L., & Militz, H. (2022). Investigations of the Chemical Distribution in Sorbitol and Citric Acid (SorCA) Treated Wood—Development of a Quality Control Method on the Basis of Electromagnetic Radiation. Forests, 13(2), 151. https://doi.org/10.3390/f13020151

