Abstract
In view of the lack of studies aimed at producing and assessing the effects of heat treatment of Oriented Strand Board (OSB) panels, this paper evaluated the thermal degradation kinetics of the raw materials, and the physical and mechanical properties of the panels made with eucalyptus wood and castor oil-based polyurethane adhesive. The OSB panels were subjected to post-production heat treatment (at 175 and 200 °C), replacing the use of wood chemical preservatives. Furthermore, the quantity of materials varied in the face:core:face layers in the proportions of 25:50:25 and 30:40:30, aiming to evaluate the possibility of structural applications for the panels. The results were statistically analyzed and compared with the specifications and classifications for OSB indicated by the European Standard EN 300 and the literature. The application of heat treatment improved the physical properties by decreasing the interaction with water and did not reduce the mechanical properties below the recommended levels. The variation in layer proportions indicated that all of them can be adopted without compromising the panel’s physical-mechanical performance. All treatments are compatible with the EN 300 classification for OSB/4 (heavy duty load-bearing boards for use in humid conditions), presenting technical feasibility and excellent structural profile for civil construction applications.
1. Introduction
In order to achieve sustainable development, which meets the needs of the present without compromising the ability of future generations to meet their own needs [1], Sustainable Development Goals (SDGs) were defined in 2015 by the United Nations, also known as Global Goals. The 17 SDGs are integrated, implying that action in one area will affect outcomes in others and that development must balance social, economic, and environmental sustainability. In this way, creativity, know-how, technology, and financial resources from the whole of society are needed to achieve the SDGs in all contexts [2].
In accordance with the 9th SDG—“Build resilient infrastructure, promote inclusive and sustainable industrialization and foster innovation” [3], the development of technological and sustainable materials is becoming increasingly relevant in the civil construction sector, leading many organizations worldwide to seek measures in order to contribute to the well-being of mankind through a better quality of life.
Nowadays, several different types of materials can be used as solutions for infrastructure sustainability [4,5,6]. In this context, building system optimization is increasing due to the need for cost reduction and waste minimization [7]. The proposal of technological and sustainable materials encompasses the various composite products derived from lignocellulosic material, with wood panels standing out. This panel presents a growing application in several segments [8], being inserted in the class of products that help in construction industrialization. Parallel to this, the lower environmental impact of wood buildings has been proven through research and realized through durable applications that result in mechanisms that lock-in carbon and replace non-renewable materials [9].
One of the most used wood products in construction is Oriented Strand Board (OSB). This panel is commonly composed of three layers of oriented long wood particles (strands) of a certain shape and thickness, joined by an adhesive where the particles of the outer layers are aligned and arranged parallel to the panel length. The inner layer is generally oriented perpendicular to the direction of the wood particles in the outer layers [10].
In a data comparison between the years 2015 and 2019, the global production of OSB panels increased by approximately 17%, while consumption increased by approximately 20%, demonstrating an increase in OSB consumption and production worldwide [11]. Thus, the fact that panels are being increasingly used in the construction industry is related to the contemporary trend of choosing materials with low environmental impact and lighter building systems, with less waste generation and shorter execution time [12]. As a result, OSB has been increasingly accepted in the construction market and is widely applied as a structural or non-structural panel [13], since it presents excellent technological, physical, and mechanical properties [14]. This material is used in roofs, walls, floors, structural elements, i.e., beams, for packaging and other components [15].
In Brazil, commercial OSB is produced exclusively with Pine wood [16]. The Pine wood is mainly used for particleboard production in Brazil, mainly due to its density, which is in the average range of 0.35 to 0.45 g/cm3. Lower density species enable the production of medium density OSB boards, ensuring an adequate compaction ratio and consequently an adequate contact area between the particles, improving the pressing quality without the need to increase the resin content, which increases the production cost [17]. However, faced with the possibility of increasing demand, eucalyptus wood (average density between 0.49 and 0.62 g/cm3) is a good alternative to pine for the manufacture of panels, since eucalyptus is a fast-growing tree that has a wide range of species and can meet the necessary technological requirements [18].
In the Brazilian process of commercial production of OSB, termiticide is applied to increase the wood resistance to the attack of organisms that cause its decomposition. In addition, Phenol-formaldehyde (PF) and Methylene diphenyl diisocyanate (MDI) resins are commonly used to bond the strands [16], which indicates a pattern of using materials potentially harmful to humankind and the environment in OSB manufacturing.
However, there is a growing need to produce more sustainable products, justified by the progressive concern with quality, economic, social, and environmental impacts of processes and products [19,20]. In addition, predicting a future shortage in wood supply [21] as a result of high volumes of industrial production using specific species, it is necessary to study the use of different types of lignocellulosic resources [7,22,23,24], and adhesives of renewable origin without the presence of volatile organic compounds in their compositions [22,24], and the use of more ecological alternatives to chemical preservatives [25,26,27,28].
In this way, studies related to the development, evaluation or comparison of different adhesives and preservation methods have been carried out in order to evaluate their behaviour, impact and performance in wood products [29,30]. The castor oil polyurethane adhesive is a formaldehyde-free resin [22] from renewable origins, derived from the Ricinus Communis L. plant, which is abundant in Brazil. Moreover, due to the fact that it is highly water resistant compared to Urea-formaldehyde (UF) [25], it has shown good performance for adhesion of wood particles on panels [22,24,25,29,31,32].
Interest in durable materials made from modified wood has increased considerably in recent years. This is mainly due to the need to reduce maintenance of these and also in relation to concerns about the sustainability of buildings, reducing the use of toxic preservatives and considering the life cycle and embodied energy of materials.
Consequently, thermal modification, which uses temperature (T) to promote a controlled degradation of wood in order to improve some of its properties [33], emerged as an environmentally friendly alternative to improve the intrinsic properties of wood, expanding its use and making viable the prerequisites (adequate sensitivity to moisture, dimensional stability, resistance to mechanical wear, resistance to biodeterioration and UV radiation) required for its application [34].
The heat treatment can be performed on the strands (pre-treatment) or on the finished board (post-treatment), and the changes in physical and mechanical properties vary according to the method, temperature, time, adhesive content, among other variables adopted, not following a specific standard [20].
Considering what happened in the work of Silva et al. [27], the heat treatment in finished boards may be preferable. In their work, the authors performed the heat treatment in a conventional laboratory oven, without replacement of atmosphere, in strands and finished panels at 160, 180, and 200 °C. However, due to the characteristic slender geometry of the strands that have small thickness and high surface area (nominal dimensions of 0.100 × 0.020 × 0.0006 m), during the heat treatment at 200 °C, when the door of the oven was opened and oxygen allowed to enter, a fire started and the strands combusted. Thus, the authors indicated that the treatment of strands with this method and temperature is not recommended, because of the risk of combustion.
Another advantage in the application of post-treatment when compared to pre-treatment is due to the fact that, in the post-treatment, as the particles have been pressed and compacting during the panel production, there is a significant reduction in the volume of the material. In this way, the panels take up less space in the oven, requiring fewer series of thermorectification for the same final quantity of panels.
Although the literature reports several studies with expressive results in the application of heat treatment to solid wood, when compared, few have been developed on the heat treatment of OSB. There are also few studies evaluating the effects of thermal treatment of OSB produced with alternative adhesives from renewable origin, without the presence of solvents and volatile organic compounds in their compositions. Thus, due to the scarcity of studies in this area, this is considered a promising research field that requires attention, and it is essential to conduct studies with the purpose of developing knowledge about the effect of thermal post-treatment on OSB, evaluating the consequences of this type of process and ensuring the safety of products developed with this methodology [20].
As a result of what was mentioned above, this research is justified in view of the great market potential for wood-based products, mainly in the panel sector. Therefore, it is necessary to carry out studies with the objective of obtaining materials produced with more ecological alternatives that can be used on an industrial scale, present innovative, efficient, and sustainable characteristics, that are resistant to stress, contact with water and biodegrading agents. However, it should also not increase the production costs considerably, ensuring compliance with the required physical and mechanical properties and should be able to be safely applied as a building component with structural function.
Consequently, regarding this scenario where new solutions are needed in view of the growing application of OSB panels in several segments, the increase interest in durable materials with low maintenance and also in relation to concerns about the sustainability of buildings, the reduction in the use of toxic preservatives and the use of different types of wood, this research aims to contribute to add knowledge related to new wood-based products in view of the lack of studies aimed at producing and assessing the effects of post heat treatment of OSB panels.
The advantages for this object of study include the greater mechanical resistance of eucalyptus wood when compared with pine [35], which can result in the possibility of thinner panels with the same structural performance and, also, not using formaldehyde-based adhesive, which has carcinogenic characteristics [36], as well as the use of heat treatment to replace wood preservative treatments, which are carried out with chemicals that present potential toxicity [37]. The post heat treatment was chosen instead of the treatment of the strands, in order to avoid a possible risk of combustion of the strands and the need of fewer series of thermorectification, in favor of optimizing the total time of the production process and better energy efficiency.
Thus, this study assessed the thermal degradation kinetics of the raw materials, and the physical and mechanical properties of the panels made with eucalyptus reforested wood strands and castor oil-based bicomponent polyurethane adhesive. The OSB panels were subjected to post-production heat treatment (at 175 and 200 °C), replacing the use of wood chemical preservatives. Furthermore, the quantity of materials varied in the face:core:face layers in the proportions of 25:50:25 and 30:40:30, aiming to meet the specifications and classifications for OSB indicated by the European Standard EN 300 [10] in order to evaluate the possibility of specific structural applications for the panels.
2. Materials and Methods
2.1. Materials
For the development of this research, Eucalyptus grandis W. Hill ex Maiden reforested wood (Figure 1a) was used, donated by the company Vale do Cedro®. The wood was not subjected to any kind of preservative treatment, was aged 7 years, with a basic density of 520 kg/m3, from a planted forest in the southwest region of the State of São Paulo—Brazil. The adhesive used was IMPERVEG® AGT 1315 (Figure 1b), a vegetable polyurethane-based resin (originating from castor oil), bicomponent (composed of a polyol and a pre-polymer), donated by Imperveg, Brazil.
Figure 1.
Materials used in the panels’ production: (a) wood, (b) adhesive components (polyol-1 and prepolymer-2).
2.2. Methods
2.2.1. Characterization of Thermal Degradation of Materials
The thermal degradation characterization of the raw material (Eucalyptus grandis wood strands and castor oil-based polyurethane adhesive) used in the production of the thermally modified OSB was carried out at the Laboratory of Thermal Analysis, Guaratinguetá Engineering University, UNESP, Brazil.
This characterization was utilized to allow the individual evaluation of the kinetics of thermal degradation of the materials used through Differential Scanning Calorimetry (DSC) and Thermogravimetry (TGA) techniques in order to, through the results obtained, propose the treatments adopted in this research and their respective adequate parameters in relation to the ideal working temperature range and processing time in the stages of thermo-activated pressing and heat treatment of the panel without prejudice to the properties of the raw materials used.
TGA (EXSTAR 6000, TG/DTA 6300, Seiko Instruments Inc., Chiba, Japan) was first performed in order to determine the materials’ (wood and adhesive) mass variation while they were subjected to a controlled temperature plan. As experimental conditions were used platinum cells, an inert atmosphere of nitrogen with gas flow of 100 mL/min and heating rate of 10 °C/min with a temperature range between 30 and 1000 °C with samples of 3.028 mg (wood) and 4.261 mg (adhesive). Subsequently, characterizations were performed with DSC (Q20, T.A. Instruments, New Castle, DE, USA) for the determination of adhesive curing (1.400 mg) in an aluminum hermetic cell and under nitrogen atmosphere with gas flow of 20 mL/min and heating rate of 10 °C/min. Heating of the adhesive occurred over a temperature range of 0 to 300 °C.
2.2.2. OSB Production
After the raw material acquisition, the eucalyptus wood was processed to obtain the strands. The eucalyptus boards were sectioned into smaller pieces and immersed in water to facilitate cutting the strands in the wood particle generator. After being cut, the strands were placed on plastic sheeting for natural moisture loss for a period of 7 days. They were then sieved and classified to remove excess fines and then dried in an oven at 103 °C (±2 °C) until they reached a moisture content of approximately 3%, a moisture content recommended by the Forest Products Laboratory [38] and already successfully used by several researchers [15,26,39]. Then, the oven-dried strands were cooled and packed in plastic bags to await the panels’ manufacturing.
The OSB panels (Figure 2) were produced in the Wood Drying and Panel Laboratory and in the Material Properties Laboratory of UNESP, Itapeva-Brazil. In the manufacturing, similar procedures were adopted to those performed by researchers such as Iwakiri, Mendes and Ferro [37,40,41]. The panels were produced in the dimensions 420 × 420 × 12 mm with a nominal density of 0.78 g/cm3, using 1500 g of eucalyptus wood particles.

Figure 2.
OSB manufacturing: (a) gluing, (b) strands already with adhesive, (c) particle router, (d) particle mattress, (e) cold pressing, (f) hot pressing, (g) post hot-pressing panel and (h) finished panels.
The castor oil-derived bicomponent polyurethane adhesive was used at a ratio of 10% adhesive based on the particle dry mass and used in a 1:1 ratio between polyol and pre-polymer. All panels were made with three layers, varying the proportions between the face:core:face layers in the proportions of 25:50:25 and 30:40:30 in particle mass, in order to evaluate the influence of varying the composition of materials in the 3 layers and to indicate optimal structural applications for each composition.
Three panels were made for each of the six conditions studied (Table 1), being T1 and T2 the reference treatments (without thermorectification) and T3 to T6 the combination of the two-layer compositions (25:50:25 and 30:40:30) and the two thermosetting temperatures (175 and 200 °C), totaling 18 panels, on which the physical-mechanical tests were performed. These treatment parameters were proposed based on the results of the Characterization of Thermal Degradation of Materials.
Table 1.
Treatments analyzed.
After weighing the materials, the adhesive components (Figure 1b) were mixed and added to the wood strands (Figure 1a), first by hand and, after manual homogenization, were taken to a wood particle gluer (MA686, Marconi, Piracicaba, SP, Brazil, Figure 2a) for 3 min. The mixture of particles and adhesive was weighed again in the compatible amounts for each layer of each treatment (Figure 2b) and then accommodated in a forming box for the particle mattress production by making use of an orientation steer (Figure 2c).
Then, the particle mattress formed was taken to the pre-pressing stage in a 15-ton mechanical hydraulic press (RP0002, Ribeiro, Bom Jesus dos Perdões, SP, Brazil, Figure 2e) with 5-ton load for 5 min at room temperature. Figure 2d illustrates the particle mattress already formed before being taken to the thermomechanical hydraulic press with automatic heating system (PHH 80T, Hidral-Mac, Araraquara, SP, Brazil, Figure 2f) and previously heated.
The temperature and pressing cycle time were defined during the thermal degradation characterization stage of the raw materials. The cycles were divided into two pressing phases with an interval for relief of the vapors created during forming, with the objective of avoiding the formation of bubbles inside the panels, reproducing the industrial cycle.
In this way, a temperature of 120 °C was adopted during the pressing of 4.4 MPa, which occurred in a total of 630 s, 300 s of pressing, 30 s of pressure relief, and another 300 s of pressing. Figure 2g illustrates the already pressed panel, still with the Teflon blankets used to prevent the particles from sticking to the metal sheets, and the ready and squared panels can be seen in Figure 2h.
2.2.3. Heat Treatment of OSB
The panels’ thermal treatment (Figure 3) was carried out in an electric oven without atmosphere replacement at two different temperatures (i.e., 175 °C and 200 °C) depending on the treatment, which were defined based on the evaluation of the thermal degradation kinetics of the materials. The panels were placed inside the oven turned off and separated by wooden slats in order to allow the circulation of warm air between them.
Figure 3.
Panels’ heat treatment: (a) oven, (b) arrangement of panels inside the oven and (c) panels after heat treatment.
After accommodating the panels, the oven was closed and turned on, and when it reached the desired temperature inside, the panels were kept there for 60 min for thermorectification. The heat treatment time was defined after the tests for thermal degradation kinetics of the materials did not show degradation of wood and resin for the evaluated temperatures (i.e., 175° for T3 and T4 and 200° for T5 and T6 panels) for up to 60 min, the time also adopted for heat treatment in the study by Silva et al. [27]. The heating process for thermal grinding to a temperature of 175 °C took approximately 65 min, totaling 125 min and a heating rate of approximately 2.7 °C/min. While for the 200 °C temperature it took approximately 90 min, totaling 150 min, 25 min longer than the time considered for the lowest temperature, and heating rate of approximately 2.2 °C/min. Subsequently, the oven was partially opened and after reaching room temperature inside, the panels were removed, stored, and then sectioned to remove the specimens according to the normative specifications in force to perform the tests.
2.2.4. Physical and Mechanical Properties Evaluation
Physical and mechanical tests were performed in accordance with the procedures of different standard documents prescribed by the ABNT (Brazilian Association of Technical Standards), as demonstrated by Table 2. There were 10 samples per treatment used in each property evaluation performed.
Table 2.
Physical and mechanical evaluations.
Analysis of variance (ANOVA), at the 5% significance level, was used to investigate the influence of the temperature (T) of the thermosetting (i.e., 0—reference, 175 and 200 °C), the Configuration of the layers (i.e., 25:50:25 and 30:40:30) and the interaction between these two factors (i.e., T × Configuration) on the physical and mechanical properties of the manufactured panels. Tukey’s mean contrast test (5% significance level) was used to investigate the influence of the levels of each factor, and the interaction plot between the factors was used to interpret the interaction effects of the properties considered significant by ANOVA.
From Tukey’s test, A denotes the treatment associated with the highest mean value, B the treatment related to the second highest mean value, and so on. Equal letters imply different treatments with statistically equivalent means between them.
3. Results and Discussion
3.1. Thermal Characterization of Raw Materials
3.1.1. TGA
Through the Thermogravimetric analyses, it was observed that the wood sample demonstrated at least 3 stages of thermal decomposition confirmed by the presence of 3 peaks in the DTG (Figure 4a). The first mass loss of approximately 13.2% can possibly be attributed to the natural moisture present in the sample, which occurred approximately between 30 °C and 118 °C. The second mass loss of approximately 60% started at 207 °C, and is related to the decomposition of the wood, as shown in Figure 4a.

Figure 4.
TGA/DTG curves: (a) wood, (b) adhesive. Note: The blue color represents the results of the TGA and the red color the results of the DTG of the materials evaluated.
The values found are compatible with those published in the research by Schulz et al. [48], which heat-treated and characterized Eucalyptus grandis wood at three different temperatures (i.e., 160 °C, 200 °C, and 240 °C). Regarding the thermogravimetric curves (i.e., TGA and DTG) obtained, it was verified that these can be divided into three regions, where region I is related to moisture loss (from 20 °C to 100 °C), region II is related to the degradation in hemicellulose and cellulose (from 160 °C to 480 °C), and region III is related to the degradation in cellulose and lignin (from 450 °C to 600 °C).
It was also found that the lower the temperature, the lower the rate of thermal degradation in both the first and second regions, probably due to the intensity of degradation occurring in organic extractives and amorphous segments of hemicelluloses. In addition, the residual mass (above 600 °C) was attributed to a few inorganic compounds present in wood extractives and the lignin becoming partially fixed carbon.
Figure 4b shows the TGA/DTG curves of the adhesive, and indicates that the adhesive starts its thermal decomposition process at about 150 °C.
After defining the degradation temperatures, isotherms were performed for the wood and adhesive using a nitrogen atmosphere and a heating rate of 10 °C/min for 60 min at temperatures of 150, 175, and 200 °C to simulate the heat treatment process of the panels and to evaluate the material degradation at the established temperatures.
The time period of 60 min was also adopted for heat treatment in the study by Silva et al. [27], which evaluated the pre-treatment (of strands) at 160 and 180 °C and post-treatment (of OSB) at 160, 180 and 200 °C, without replacement of the atmosphere at 1 atm of pressure. For the highest temperature (200 °C), it was observed that the wood lost approximately 8% in mass, which can be attributed to moisture loss. It was also found that the resin did not lose mass at this temperature for up to 60 min.
In this context, these parameters were used to define the treatments proposed in this research where temperatures of 175 °C (T3 e T4) and 200 °C (T5 e T6) were used for 60 min for the heat treatment process.
3.1.2. DSC
The adhesive cure of approximately 100 °C obtained in the DSC is compatible with the temperature used in several papers [8,24,32], which reported a typical temperature and average pressing time of 100 °C and 10 min for the production of OSB using the two-component vegetable polyurethane adhesive derived from castor oil. In view of this, an isotherm was initially performed at 100 °C to check the adhesive curing behavior, where the curing time found was approximately 25 min, a value higher than the one commonly used (10 min). Thus, a new analysis was performed, increasing the temperature with an isotherm of 120 °C, aiming, with the temperature increase, to decrease the curing time. Hence, the curing time of the adhesive was reduced to approximately 5 min.
However, knowing the materials’ behavior, even if the DSC indicated a curing time of 5 min, in view of a possible temperature variation between the surfaces and interior of the composite due to the thickness of the panel, it was decided to use a temperature of 120 °C with 10 min of thermomechanical pressing in order to combine safety, optimization of the production process, and final quality of the composite.
3.2. Physical Evaluations
Figure 5 shows the mean values, the mean confidence intervals (95% reliability) and the extreme values of the coefficients of variation of the panel physical properties manufactured according to the six stipulated experimental treatments.
Figure 5.
Physical properties results investigated: (a) Density, (b) Moisture content (MC), (c) Swelling after 24 h (TS), (d) Water absorption (WA). Note: The dashed lines represent the values defined by the normative limits, whiskers red lines the Standard deviation, and CV the Coefficient of Variation.
OSB from all treatments produced in this study can be classified as medium density (600 to 790 kg/m3, range indicated by blue dashed lines in Figure 5a) [40]. The lowest average among the samples was 623 kg/m3 (T6) and the highest 699 kg/m3 (T2), as can be seen in Figure 5a. Considering the average density of the Eucalyptus grandis wood used to manufacture the panels equal to 520 kg/m3, an average compaction ratio of 1.3 was obtained for the panels produced, meeting the recommended range of 1.3 to 1.6 (ideal for adequate densification and consolidation of the panel at the desired final thickness) [41], which positively impacted the flexural strength and internal bonding properties.
For the moisture property (MC, Figure 5b), the EN 300 [10] determines the appropriate range of 5 to 12%. Thus, the results obtained in all treatments (6.3 to 7.8%) are compatible with OSB type 4 (heavy-duty load-bearing structural panel for use in humid conditions).
With regard to the swelling content after 24 h (TS, Figure 5c), for the treatments analyzed, T1 (6.8%) obtained the highest average and T6 (3.8%) the lowest, and the values found for all treatments in this research are well below the maximum limit of 12%, recommended by the European standard EN 300 [10] for OSB/4 type panels. For water absorption (WA, Figure 5d), the T2 treatment obtained the highest average (18.5%) and T6 (12.4%) the lowest. These values are compatible with those achieved in the research of Copak et al. [49], which used an IR heater until the surface of commercial OSB samples reached 50 °C and obtained water absorption results below 20%.
Thermal modification induces chemical changes in the macromolecular components of the cell wall [50]. The effects generated by the heat treatment are related to the conditions of the heating process, the temperature being the main factor. The resultant effects correspond to a combination of individual results of the heat effects on cellulose, hemicellulose, extractives, and lignin, the hemicelluloses and cellulose being the principal sources of OH groups, responsible for wood’s hygroscopicity and dimensional changes [51].
As the intensity of the heat treatment rises, the secondary bonds (H and Van der Waals) and natural bonds in the hemicellulose polymer between hemicellulose-cellulose, and covalent bonds between hemicellulose-lignin and new cross-links appear between lignin molecules and other components, and they do not permit water to penetrate as effortlessly in wood, as the H bonds [52]. Consequently, as temperature intensifies, the degradation of hemicelluloses also increases, and it leads to increases in the crystallinity of cellulose in the cell wall [50]. These modifications induce less water absorption, less thickness swelling [53], less interaction between wood and water, a reduction in the wood’s equilibrium moisture content and, as a result, possibly a better dimensional stability [54].
It is therefore considered that the heat treatment and the increase in temperature led to the improvement of physical properties such as hygroscopicity, swelling, shrinkage and water absorption, similar to what was obtained in the research of Direske et al. [55], who evaluated the effects of MDI adhesive content on heat-treated OSB and concluded that heat post-treatment improved the physical properties (hygroscopicity, swelling, shrinkage, water absorption) of OSB.
3.3. Mechanical Evaluations
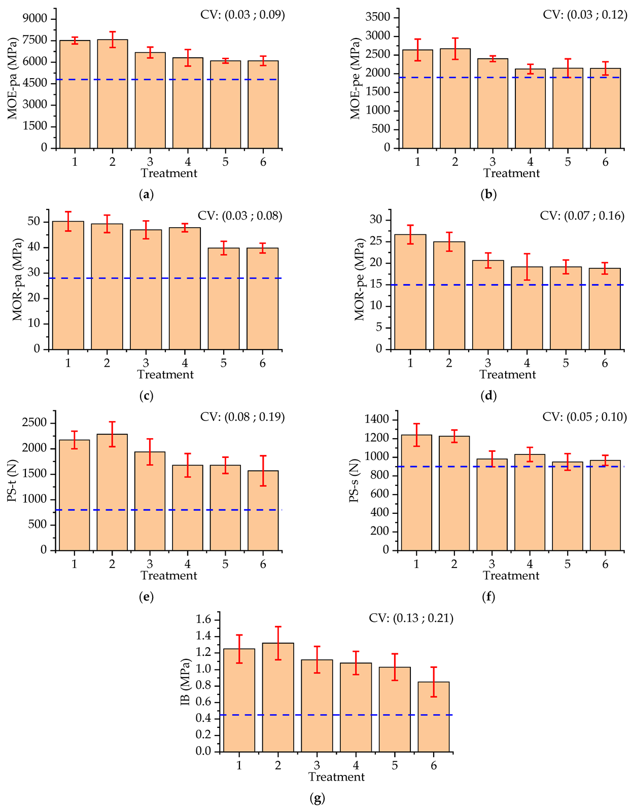
Figure 6 shows the mean values, the confidence intervals of the mean (95% reliability), and the extreme values of the coefficients of variation of the mechanical properties of the manufactured panels.
Figure 6.
Mechanical properties results: (a) Parallel modulus of elasticity (MOE-pa), (b) Perpendicular modulus of elasticity (MOE-pe), (c) Static parallel bending (MOR-pa), (d) Static perpendicular bending (MOR-pe), (e) Resistance to withdrawal of screws—top (PS-t), (f) Resistance to withdrawal of screws—surface (PS-s), (g) Perpendicular traction or internal bonding (IB). Note: The dashed lines represent the values defined by the normative limits, whiskers red lines the Standard deviation, and CV the Coefficient of Variation.
For the property MOE-pa, all treatments exceeded the minimum required by the normative document EN 300 [10], of 4800 MPa (blue line in Figure 6a) and T2 reached the highest average among the treatments (7575 MPa), while T6 (6100 MPa) obtained the lowest average. The MOE-pa results exceeded that found by Silva et al. [27], which produced and evaluated OSB made with Pinus taeda and phenol-formaldehyde resin thermo-rectified at 0, 160, 180 and 200 °C and reached values between 3897 MPa (180 °C) and 4697 MPa (0 °C). In their paper, Mendes [41] evaluated the effect of heat treatment on the physical-mechanical properties of OSB panels made of pine and phenol-formaldehyde adhesive, at a temperature of 220 °C and for a period of 12 min and obtained MOE-pa of 8061 MPa for the reference panels and 6665 MPa for the heat-treated panels.
With regard to the modulus of elasticity in the perpendicular direction (MOE-pe, Figure 6b), all treatments exceeded the minimum required by the normative document EN 300 [10], of 1900 MPa. T2 (2669 MPa) obtained the highest average among the treatments analyzed, while T4 obtained the lowest (2126 MPa). Silva et al. [27] reached values between 3034 MPa (160 °C) and 3349 MPa (0 °C). Mendes [41] obtained MOE-pe values between 2022 and 1695 MPa.
Taking into account MOR-pa values (Figure 6c) obtained in the bending test, the highest average was found for T1 (50 MPa), while T5 and T6 reached the lowest average (40 MPa). EN 300 [10] defines 28 MPa as the minimum MOR-pa, therefore the results obtained exceeded the minimum value recommended by the European normative instrument. These results also exceeded those found by Silva et al. [27], who found values for MOR-pa between 33 MPa and 39 MPa. Mendes [41] obtained values between 49.5 and 57.50 MPa, while Direske et al. [55], who evaluated the effects of MDI adhesive content on heat-treated OSB, noted significant degradations in the MOR-pa of the heat-treated panels.
The minimum value according to EN 300 [10], for MOR-pe (Figure 6d) is 15 MPa, so all the treatments analyzed (19 to 27 MPa) exceeded the minimum required. Silva et al. [27] reached MOR-pe between 25 MPa (180 °C) and 33 MPa (0 °C), while Mendes [41] 20.8 MPa (0 °C) and 20.6 MPa (220 °C).
In the Resistance to withdrawal of screws—top (PS-t) T2 obtained the highest average (2287 N) among the treatments analyzed, while T6 (1568 N) had the lowest. As no minimum values are determined for the screw pull-out property in the European standard EN 300 [10], ANSI A208.1 was used as a benchmark [56], in which for medium density particleboards, the M-1 graded have no minimum values specified for the PS-t property, while for M-S boards a minimum of 800N is recommended (blue line in Figure 6e). However, as reported by Aro; Brashaw; Donahue [50], it was also not possible to directly compare the screw pull-out results of the current study with those of other researchers due to the limited amount of previous work completed that evaluated the top screw attachment strength in thermally modified OSB panels.
Among the treatments analyzed, T1 (1239 N) obtained the highest average in the Resistance to withdrawal of screws—Surface (PS-s, Figure 6f) test, while T5 (950 N) had the lowest. So, according to ANSI A208.1 [56], for M-1 graded particle boards no minimum values are specified for the AP-S pull-out property, while for M-S boards 900 N is recommended (blue line in Figure 6d). According to Aro; Brashaw; Donahue [50], as the wood becomes more brittle at higher temperatures, the screw threads tend to tear the brittle fibers, thus reducing the screw clamping force values. In their paper, screws were driven into the panel thickness to measure the withdrawal strength in a plane perpendicular to the face and for the panels evaluated and the results were found to be between 964 and 1319N.
Finally, for the internal bonding property (IB, Figure 6g), among the treatments analyzed, T1 (1.3 MPa) obtained the highest average, while T6 (0.8 MPa), the lowest. These results, in addition to exceeding the minimum value required by the European Standard EN 300 [10] of 0,45 MPa, also exceeded that reported by researchers working with thermoset OSB, such as Silva et al. (0.47 to 0.53 MPa) [27], Aro; Brashaw; Donahue (0.31 to 0.45 MPa) [50] and Mendes (0.60 to 0.63 MPa) [41].
Heat treatment aims to promote a controlled degradation of the wood, in order to improve some of its properties [33]. However, the changes in wood at high temperatures lead to chemical modifications of hemicelluloses, cellulose and lignin [54], which can also cause reductions in the mechanical properties [57].
In general, observing the results of this paper, it was found that the increase in heat treatment temperature led to a reduction in the panels’ mechanical performance. However, even with lower values compared to the reference, compliance with the normative limits was not compromised in any of the properties evaluated. These results may be related to the association of the excellent mechanical properties of eucalyptus wood combined with the polyurethane adhesive.
In their paper, Pereira et al. [58] who also studied the thermal treatment (at 180 °C, 200 °C and 220 °C) in two exposure times (10 and 12 min) in particleboard and OSB produced with eucalyptus wood and phenolic resin, it was concluded that the thermal modification at the exposure times and temperatures studied did not influence the results of the mechanical properties of the panels.
It should be noted that resin is an important component of OSB and there are advantages and disadvantages for each type [54]. Castor oil polyurethane resin can provide an alternative solution to the growing demand for environmentally friendly materials for use in the construction industry [8], besides presenting itself as technically feasible for the production of panels [59]. However, from the TGA of the materials, it could be observed that the wood degradation occurred only after 200 °C. However, for the polyurethane resin the degradation started at lower temperatures, around 150 °C, which may have analogy with the mechanical strength reduction verified in this study.
Thus, comparing the present study with the one conducted by Pereira et al. [58], it is understood that the differences found in the results obtained between the research are related to the longer time of exposure to temperature during thermal modification. This is in line with what Sinha, Gupta and Nairn obtained [60], who found that heat treatment of OSB caused a significant reduction in flexural strength and stiffness, with the greatest reduction occurring at 200 °C for 2 h compared to the other conditions evaluated (reference, 100 °C at 1 and 2 h, and 200 °C at 1 h exposure).
3.4. Statistical Analysis
Table 3 and Table 4 show the results of the Tukey contrast of means test (5% significance level). In Tukey’s test about the influence of the temperatures (0 °C, 175 °C and 200 °C) within the 25:50:25 and 30:40:30 configurations (Table 3), no significant difference was found in the internal bonding (IB) and density (D) properties for all the treatments evaluated. Similarly, in Silva et al. [27], the authors concluded that the heat treatment did not change the panel density and found no statistical differences for the internal adhesion property.
Table 3.
Results of Tukey’s test on the influence of temperature (T).
Table 4.
Results of Tukey’s test on the influence of layer configuration.
The other properties evaluated showed point differences between the treatments with and without thermal modification, indicating the influence of temperature variations on the physical and mechanical properties of the panels. In agreement with this, in their paper, Direske et al. [55] concluded that the mechanical and physical properties of post-treated OSB were altered as a result of thermally induced changes in the wood structure, where significant degradations in mechanical strength were found for some of the properties evaluated.
For MOE-pa, differences are observed in configuration 25:50:25 among all the temperature variations, with a reduction in modulus with increasing temperature, while in configuration 30:40:30, there was a difference only between the reference and the other temperatures, with lower values for the heat-treated treatments. In the 25:50:25, MOE-pe configuration showed equivalence between the treatments at 0 and 175 °C, and between 175 and 200 °C, with modulus reduction related to increasing temperature. In configuration 30:40:30, statistical differences were observed between the reference and the other temperatures, with lower values for the heat-treated treatments.
For MOR-pa in both configurations, there was a difference between the temperature of 200 °C and the others, with a reduction in resistance at the higher temperature. For MOR-pe, while in configuration 25:50:25, there was a difference only between the reference and the other temperatures. In configuration 30:40:30, there was equivalence between 200 °C and the reference temperature and between 200 °C and 175 °C.
In the PS-t, equivalences were identified between 175 °C and the reference, and between 175 °C and 200 °C in configuration 25:50:25. In configuration 30:40:30, there was a significant difference only between the reference and the other temperatures, with a decrease in resistance with increasing temperature.
PS-s demonstrated at settings 25:50:25 and 30:40:30 significant differences between the reference and the other temperatures, with resistance decrease related to temperature increase and equivalence between the two temperatures evaluated.
The MC presented significant differences in configuration 25:50:25 between the reference and the other temperatures, which were equivalent to each other and presented reduced values compared to the reference. In configuration 30:40:30 the MC decreased with increasing temperature, presenting statistical differences among all temperatures evaluated.
In configuration 25:50:25, the WA was equivalent between 175 °C and the reference, and between 175 °C and 200 °C. In configuration 30:40:30, the WA decreased with increasing temperature, presenting statistical differences among all temperatures evaluated.
For TS, significant differences are observed in configuration 25:50:25 between the reference and the other temperatures, which were equivalent to each other and presented lower values than the reference. In configuration 30:40:30, TS was equivalent between 175 °C and the reference and between 175 °C and 200 °C.
Similarly, in their paper, Cetera et al. [53] analyzed the effect of thermo-vacuum treatment on the characteristics of poplar OSB and identified that the hydrophobic behavior increased, showing significant reductions in thickness swelling, associated with decreases in IB, MOR, and MOE.
In the Tukey test on the influence of the 25:50:25 and 30:40:30 configuration within the heat treatment temperatures (0 °C, 175 °C, and 200 °C) (Table 4), no significant difference was found for any physical or mechanical property evaluated, thus indicating that there was no interference from the variation of the types of layers proposed in this research. Therefore, added to the good physical and mechanical results that were obtained, which are in accordance with the normative instruments and literature in the area, it is considered that any variation of layers proposed in this study meets the technical requirements necessary for a type 4 OSB panel.
No significant interactions were found for any properties investigated by ANOVA at 5% significance.
4. Conclusions
The present study showed important results, which include the following conclusions:
- The production and study of the performance of OSB submitted to heat treatment and variation of layer percentages presented itself as a relevant and technically feasible proposal, especially regarding its application in civil construction, since the panels need to present properties of strength and durability, proving to be able to be applicable as structural elements.
- The properties were all fully met in all tests performed, indicating the great technical efficiency achieved with the eucalyptus particles and castor oil polyurethane resin association.
- It can be stated that the thermal analysis to improve the production and heat treatment parameters was extremely useful to characterize the material, allowing to safely define the variables temperature and time, so as not to promote too much degradation of the material, ensuring safety by meeting the mechanical properties, while optimizing the production process.
- For all the temperatures analyzed, there was no tendency for a considerable decrease in mechanical properties to levels lower than those recommended by the standard after the heat treatment. On the other hand, there was an improvement in the physical properties and dimensional stability of the panel produced as observed in the results referring to water absorption properties and swelling in thickness, leading one to believe that the heat treatment made the surface more hydrophobic, reducing the interaction with water.
- It can also be observed that the variation of particle percentages in the layers did not show significant differences in most of the analyses performed, indicating that all the percentages studied can be adopted without compromising the physical-mechanical performance of the panel.
- The statistical differences observed in both physical and mechanical tests were punctual and the variations do not compromise the classification of all treatments studied as OSB/4 (heavy duty load bearing structural panel for use in wet conditions). Such statistical variations can also be related to possible occurrences in the production process, such as adhesive accumulation on the strands, non-homogeneous distribution of the material and the presence of voids due to manual layer formation, among other factors inherent to the material.
Author Contributions
Conceptualization, E.S., A.C. and C.C.; methodology, E.S., A.C. and C.C.; software, A.C. and F.A.; validation, A.C. and C.C.; formal analysis, F.A., A.C. and C.C.; investigation, E.S. and C.C.; resources, E.S., E.C.B., A.M.P.G.D. and C.C.; data curation, F.A., A.C. and C.C.; writing—original draft preparation, E.S. and C.C.; writing—review and editing, E.S., A.D., F.A., A.C., M.L.C., E.C.B., A.M.P.G.D. and C.C.; visualization, E.S., A.D., F.A., A.C., M.L.C., E.C.B., A.M.P.G.D. and C.C.; supervision, A.C., M.L.C., E.C.B., A.M.P.G.D. and C.C.; project administration, E.C.B., A.M.P.G.D. and C.C. All authors have read and agreed to the published version of the manuscript.
Funding
This study was financed by the Coordenação de Aperfeiçoamento de Pessoal de Nível Superior, Brasil (CAPES), Finance Code 001, the FAPESP (grant #2015/04660-0) and Conselho Nacional de Desenvolvimento Científico e Tecnológico (CNPq—304876/2020-8, 306576/2020-1 and 308937/2021-0).
Institutional Review Board Statement
Not applicable.
Informed Consent Statement
Not applicable.
Data Availability Statement
The data presented in this study are available upon request from the corresponding author.
Acknowledgments
We would like to acknowledge the Coordenação de Aperfeiçoamento de Pessoal de Nível Superior, Brazil (CAPES); Conselho Nacional de Desenvolvimento Científico e Tecnológico (CNPq) and São Paulo Research Foundation (FAPESP).
Conflicts of Interest
The authors declare no conflict of interest.
References
- United Nations. Our Common Future: Report of the World Commission on Environment and Development. 1987; Transmitted to the General Assembly as an Annex to document A/42/427. Development and International Cooperation: Environment, 1, 25. [Google Scholar]
- United Nations. The SDGS in Action. What Are the Sustainable Development Goals? United Nations Development Programme. 2015. Available online: https://www.undp.org/sustainable-development-goals (accessed on 16 October 2022).
- United Nations. Objetivos de Desenvolvimento Sustentável. 2022. Available online: https://brasil.un.org/pt-br/sdgs (accessed on 24 March 2022).
- Botelho, E.C.; Almeida, R.S.; Pardini, L.C.; Rezende, M.C. Influence of Hygrothermal Conditioning on the Elastic Properties of Carall Laminates. Appl. Compos. Mater. 2007, 14, 209–222. [Google Scholar] [CrossRef]
- Botelho, E.C.; Scherbakoff, N.; Rezende, M.C. Porosity Control in Glassy Carbon by Rheological Study of the Furfuryl Resin. Carbon 2001, 39, 45–52. [Google Scholar] [CrossRef]
- Gaefke, C.B.; Botelho, E.C.; Ferreira, N.G.; Rezende, M.C. Effect of Furfuryl Alcohol Addition on the Cure of Furfuryl Alcohol Resin Used in the Glassy Carbon Manufacture. J. Appl. Polym. Sci. 2007, 106, 2275–2281. [Google Scholar] [CrossRef]
- Cabral, M.R.; Fiorelli, J.; Savastano Junior, H.; Lagacé, R.; Godbout, S.; Palacios, J.H. Study of the Potential Use of the Sugarcane Bagasse in Cement-Panels. In Proceedings of the 10th International Conference on Composite Science and Technology ICCST/10, Lisbon, Portugal, 2–4 September 2015. [Google Scholar]
- Barbirato, G.H.A.; Fiorelli, J.; Mejiaa, J.; Sarasini, F.; Tirillò, J.; Ferrante, L. Quasi-Static and Dynamic Response of Oriented Strand Boards Based on Balsa Wood Waste. Compos. Struct. 2019, 219, 83–89. [Google Scholar] [CrossRef]
- Kokubun, Y.E. O Processo de Produção de Um Sistema Construtivo Em Painéis Estruturais Pré-Fabricados Em Madeira. Ph.D. Thesis, Universidade de São Paulo, São Paulo, Brazil, 2014. [Google Scholar]
- BS EN 300; Oriented Strand Boards (OSB). Definitions, Classification and Specifications. CEN European Committee for Standardization: Bruxelles, Belgium, 2006; p. 24.
- FAO, Food and Agriculture Organization of the United Nations. Food and Agriculture Organization of the United Nations: Yearbook of Forest Products; FAO: Rome, Italy, 2021. [Google Scholar]
- Pozzer, T.; Gauss, C.; Ament Barbirato, G.H.; Fiorelli, J. Trapezoidal Core Sandwich Panel Produced with Sugarcane Bagasse. Constr. Build. Mater. 2020, 264, 120718. [Google Scholar] [CrossRef]
- Wang, Z.; Xie, W.; Lu, Y.; Li, H.; Wang, Z.; Li, Z. Dynamic and Static Testing Methods for Shear Modulus of Oriented Strand Board. Constr. Build. Mater. 2019, 216, 542–551. [Google Scholar] [CrossRef]
- Del Menezzi, C.H.S.; de Souza, R.Q.; Thompson, R.M.; Teixeira, D.E.; Okino, E.Y.A.; da Costa, A.F. Properties after Weathering and Decay Resistance of a Thermally Modified Wood Structural Board. Int. Biodeterior. Biodegrad. 2008, 62, 448–454. [Google Scholar] [CrossRef]
- Mendes, R.F.; Bortoletto Júnior, G.; de Almeida, N.F.; Surdi, P.G.; Barbeiro, I.N. Effects of Thermal Pre-Treatment and Variables of Production on Properties of OSB Panels of Pinus Taeda. Maderas Cienc. Tecnol. 2013, 15, 141–152. [Google Scholar] [CrossRef]
- Ferro, F.S.; Silva, D.A.L.; Rocco Lahr, F.A.; Argenton, M.; González-García, S. Environmental Aspects of Oriented Strand Boards Production. A Brazilian Case Study. J. Clean. Prod. 2018, 183, 710–719. [Google Scholar] [CrossRef]
- Saldanha, L.K. Alternativas Tecnológicas Para Produção de Chapas de Partículas Orientadas OSB; Universidade Federal do Paraná: Curitiba, Brazil, 2004. [Google Scholar]
- Guimarães Júnior, J.B. Painéis de Madeira de Eucalipto: Estudo de Caso de Espécies E Procedências; Universidade Federal de Lavras: Lavras, Brazil, 2008. [Google Scholar]
- Geldermann, J.; Kolbe, L.M.; Krause, A.; Mai, C.; Militz, H.; Osburg, V.S.; Schöbel, A.; Schumann, M.; Toporowski, W.; Westphal, S. Improved Resource Efficiency and Cascading Utilisation of Renewable Materials. J. Clean. Prod. 2016, 110, 1–8. [Google Scholar] [CrossRef]
- Sugahara, E.S.; Arroyo, F.N.; de Campos, C.I.; Botelho, E.C.; Christoforo, A.L.; Costa, M.L.; Lahr, F.A.R. Thermal Treatment of OSB Panels: A Systematic and Bibliometric Overview. Eur. J. Wood Wood Prod. 2022, 80, 1–15. [Google Scholar] [CrossRef]
- Klímek, P.; Wimmer, R.; Meinlschmidt, P.; Kúdela, J. Utilizing Miscanthus Stalks as Raw Material for Particleboards. Ind. Crops Prod. 2018, 111, 270–276. [Google Scholar] [CrossRef]
- Barbirato, G.H.A.; Junior, W.E.L.; Hellmeister, V.; Pavesi, M.; Fiorelli, J. OSB Panels with Balsa Wood Waste and Castor Oil Polyurethane Resin. Waste Biomass Valoriz. 2020, 11, 743–751. [Google Scholar] [CrossRef]
- Fiorelli, J.; Bueno, S.B.; Cabral, M.R. Assessment of Multilayer Particleboards Produced with Green Coconut and Sugarcane Bagasse Fibers. Constr. Build. Mater. 2019, 205, 1–9. [Google Scholar] [CrossRef]
- Sugahara, E.S.; da Silva, S.A.M.; Buzo, A.L.S.C.; de Campos, C.I.; Morales, E.A.M.; Ferreira, B.S.; Azambuja, M.d.A.; Lahr, F.A.R.; Christoforo, A.L. High-Density Particleboard Made from Agro-Industrial Waste and Different Adhesives. BioResources 2019, 14, 5162–5170. [Google Scholar] [CrossRef]
- Buzo, A.L.S.C.; Sugahara, E.S.; Silva, S.A.D.M.D.; Morales, E.A.M.; Azambuja, M.d.A. Painéis de Pínus e Bagaço de Cana Empregando-Se Dois Adesivos Para Uso Na Construção Civil. Ambient. Construído 2019, 19, 183–193. [Google Scholar] [CrossRef]
- Carvalho, A.G.; Zanuncio, A.J.V.; Vital, B.R.; Carneiro, A.D.C.O.; da Silva, C.M.S.; Tonoli, G.H.D. Hydrothermal Treatment of Strand Particles of Pine for the Improvement of OSB Panels. Eur. J. Wood Wood Prod. 2018, 76, 155–162. [Google Scholar] [CrossRef]
- Silva, J.V.F.; Campos, C.I.D.; Ferreira, B.S.; Fernanda, M. Production and Characterization of Heat Treated OSB Made of Pinus taeda. Acta Sci. Technol. 2019, 41, 1–6. [Google Scholar] [CrossRef]
- Del Menezzi, C.H.S.; Tomaselli, I.; Okino, E.Y.A.; Teixeira, D.E.; Santana, M.A.E. Thermal Modification of Consolidated Oriented Strandboards: Effects on Dimensional Stability, Mechanical Properties, Chemical Composition and Surface Color. Eur. J. Wood Wood Prod. 2009, 67, 383–396. [Google Scholar] [CrossRef]
- Sugahara, E.; Casagrande, B.; Arroyo, F.; De Araujo, V.; Santos, H.; Faustino, E.; Christoforo, A.; Campos, C. Comparative Study of Plywood Boards Produced with Castor Oil-Based Polyurethane and Phenol-Formaldehyde Using Pinus taeda L. Veneers Treated with Chromated Copper Arsenate. Forests 2022, 13, 1144. [Google Scholar] [CrossRef]
- Li, C.; Tang, Y.; Wang, Y.; Yuan, X.; Zhang, B.; Wu, Z. A Novel Environment-Friendly Adhesive Based on Recycling of Broussonetia Papyrifera Leaf Forestry Waste Protein. Forests 2022, 13, 291. [Google Scholar] [CrossRef]
- Barbirato, G.H.A.; Lopes Junior, W.E.; Oliveira, D.C.G.; Nagata, E.Y.; Caneppele, F.L.; Fiorelli, J. Thermal Performance Of Aviary Prototypes Fitted With Osb Panel Ceiling Made of Balsa Wood Wastes. Braz. J. Biosyst. Eng. 2019, 13, 237–249. [Google Scholar] [CrossRef]
- Lopes Junior, W.E.; Barbirato, G.H.A.; Pavesi, M.; Soriano, J.; Fiorelli, J. Avaliação Do Teor Ótimo de Resinas Orgânicas Para Produção de Painéis OSB de Madeira Balsa (Ochroma pyramidale) Residual. Sci. For. 2021, 49, 1–11. [Google Scholar] [CrossRef]
- Navi, P.; Sandberg, D. Chapter 9: Heat Treatment. In Thermo-Hydro-Mechanical Processing of Wood; Taylor & Francis Group: Boca Raton, FL, USA, 2011; p. 373. ISBN 9781439860434. [Google Scholar]
- Sandberg, D.; Kutnar, A.; Mantanis, G. Wood Modification Technologies—A Review. IForest 2017, 10, 895–908. [Google Scholar] [CrossRef]
- Serpa, P.N.; Vital, B.R.; Della Lucia, R.M.; Pimenta, A.S. Avaliação de Algumas Propriedades Da Madeira de Eucalyptus Grandis, Eucalyptus Saligna e Pinus Elliottii. Rev. Árvore 2003, 27, 723–733. [Google Scholar] [CrossRef][Green Version]
- Garzón Barrero, N.M. Estudo da Durabilidade de Painéis de Partículas de Bagaço de Cana de Açúcar e Resina Poliuretana a Base de Óleo de Mamona Para Aplicação Na Construção Civil; Universidade De São Paulo: São Paulo, Brazil, 2015. [Google Scholar]
- Ferro, F.S. Painéis OSB Com Madeira Schizolobium Amazonicum e Resina Poliuretana à Base de Óleo de Mamona: Viabilidade Técnica de Produção; Universidade De São Paulo: São Paulo, Brazil, 2013. [Google Scholar]
- Forest Products Laboratory. Wood Handbook–Wood as an Engineering Material; Service, F., Ed.; Centennial; United States Department of Agriculture: Madison, WI, USA, 2010. [Google Scholar]
- Zhuang, B.; Cloutier, A. Physical and Mechanical Properties of Oriented Strand Board Made from Eastern Canadian Softwood Species. Forests 2022, 13, 523. [Google Scholar] [CrossRef]
- Iwakiri, S. Painéis de Madeira Reconstituída; FUPEF: Curitiba, Brazil, 2005. [Google Scholar]
- Mendes, R.F. Efeito Do Tratamento Térmico Sobre as Propriedades de Painéis OSB; Universidade de São Paulo: São Paulo, Brazil, 2010. [Google Scholar]
- BS EN 323; Wood-Based Panels: Determination of Density. CEN European Committee for Standardization: Bruxelles, Belgium, 1993; p. 12.
- BS EN 322; Wood-Based Panels: Determination of Moisture Content. CEN European Committee for Standardization: Bruxelles, Belgium, 1993; pp. 1–10.
- BS EN 317; Particleboards and Fiberboards–Determination of Swelling in Thickness after Immersion in Water. CEN European Committee for Standardization: Bruxelles, Belgium, 1993; p. 12.
- BS EN 310; Wood-Based Panels–Determination of Modulus of Elasticity in Bending and Bending Strength. CEN European Committee for Standardization: Bruxelles, Belgium, 1993; p. 14.
- BS EN 320; Particleboards and Fibreboards–Determination of Resistance to Axial Withdrawal of Screws. CEN European Committee for Standardization: Bruxelles, Belgium, 2011; p. 14.
- BS EN 319; Particleboards and Fiberboards–Determination of Tensile Strength Perpendicular to the Plane of Board. CEN European Committee for Standardization: Bruxelles, Belgium, 1993; p. 12.
- Schulz, H.R.; Acosta, A.P.; Barbosa, K.T.; Junior, M.A.P.D.S.; Gallio, E.; Delucis, R.D.Á.; Gatto, D.A. Chemical, Mechanical, Thermal, and Colorimetric Features of the Thermally Treated Eucalyptus Grandis Wood Planted in Brazil. J. Korean Wood Sci. Technol. 2021, 49, 2. [Google Scholar] [CrossRef]
- Copak, A.; Jirouš-rajkovi, V.; Špani, N. The Impact of Post-Manufacture Treatments on the Surface Characteristics Important for Finishing of OSB and Particleboard. Forests 2021, 12, 975. [Google Scholar] [CrossRef]
- Aro, M.D.; Brashaw, B.K.; Donahue, P.K. Mechanical and Physical Properties of Thermally Modified Plywood and Oriented Strand Board Panels. For. Prod. J. 2014, 64, 281–289. [Google Scholar] [CrossRef]
- Brito, J.O.; Silva, F.G.; Leão, M.M.; Almeida, G. Chemical Composition Changes in Eucalyptus and Pinus Woods Submitted to Heat Treatment. Bioresour. Technol. 2008, 99, 8545–8548. [Google Scholar] [CrossRef]
- Kamperidou, V. Chemical and Structural Characterization of Poplar and Black Pine Wood Exposed to Short Thermal Modification. Drv. Ind. 2021, 72, 155–167. [Google Scholar] [CrossRef]
- Cetera, P.; Negro, F.; Cremonini, C.; Todaro, L.; Zanuttini, R. Physico-Mechanical Properties of Thermally Treated Poplar OSB. Forests 2018, 9, 345. [Google Scholar] [CrossRef]
- Pipíška, T.; Pařil, P.; Čermák, P.; Dömény, J.; Král, P.; Kamke, F. Effect of Chemical and Thermal Modification, and Material Replacement on Strand Board Properties. Eur. J. Wood Wood Prod. 2020, 78, 565–575. [Google Scholar] [CrossRef]
- Direske, M.; Bonigut, J.; Wenderdel, C.; Scheiding, W.; Krug, D. Effects of MDI Content on Properties of Thermally Treated Oriented Strand Board (OSB). Eur. J. Wood Wood Prod. 2018, 76, 823–831. [Google Scholar] [CrossRef]
- American National Standards Institute. ANSI A208.1-1999 Particleboard; United States of America; Composite Panel Association, Premiere Court: Gaithersburg, MD, USA, 1999; p. 13. [Google Scholar]
- Lovrić, A.; Zdravković, V.; Popadić, R.; Milić, G. Properties of Plywood Boards Composed of Thermally Modified and Non-Modified Poplar Veneer Aleksandar. BioResources 2017, 12, 8581–8594. [Google Scholar]
- Pereira, G.F.; Iwakiri, S.; Trianoski, R.; Rios, P.D.; Raia, R.Z. Influence of Thermal Modification on the Physical and Mechanical Properties of Eucalyptus Badjensis Mixed Particleboard/Osb Panels. Floresta 2021, 51, 419–428. [Google Scholar] [CrossRef]
- Wilczak, L.; Trianoski, R.; Neto, S.C.; Pereira de Paula, C.R.; Villanova, R.L.; Azevedo, E. Efficiency of Castor Oil-Based Polyurethane in the Production of Plywood Panels. Sci. For. Sci. 2019, 47, 463–471. [Google Scholar] [CrossRef]
- Sinha, A.; Gupta, R.; Nairn, J.A. Effect of Heat on the Mechanical Properties of Wood and Wood Composites. In Proceedings of the 11th World Conference on Timber Engineering 2010, WCTE 2010, Trentino, Italy, 20–24 June 2010; Volume 1, pp. 661–668. [Google Scholar]
Publisher’s Note: MDPI stays neutral with regard to jurisdictional claims in published maps and institutional affiliations. |
© 2022 by the authors. Licensee MDPI, Basel, Switzerland. This article is an open access article distributed under the terms and conditions of the Creative Commons Attribution (CC BY) license (https://creativecommons.org/licenses/by/4.0/).







