Feasibility of Agarwood Cultivation in Indonesia: Dynamic System Modeling Approach
Abstract
1. Introduction
2. Materials and Methods
2.1. Problems, Objectives and Limitations of the Model
2.2. Conceptual Analysis
2.3. Mathematical Analysis
2.3.1. Growth Estimation
2.3.2. Estimation of Kemedangan Production
2.3.3. Planting Cost Analysis
2.3.4. Estimating the Cost and Productivity of Agarwood Oil
2.3.5. Business Feasibility Analysis
2.3.6. Model Evaluation
2.3.7. APT Cultivation Management Scenario
3. Results
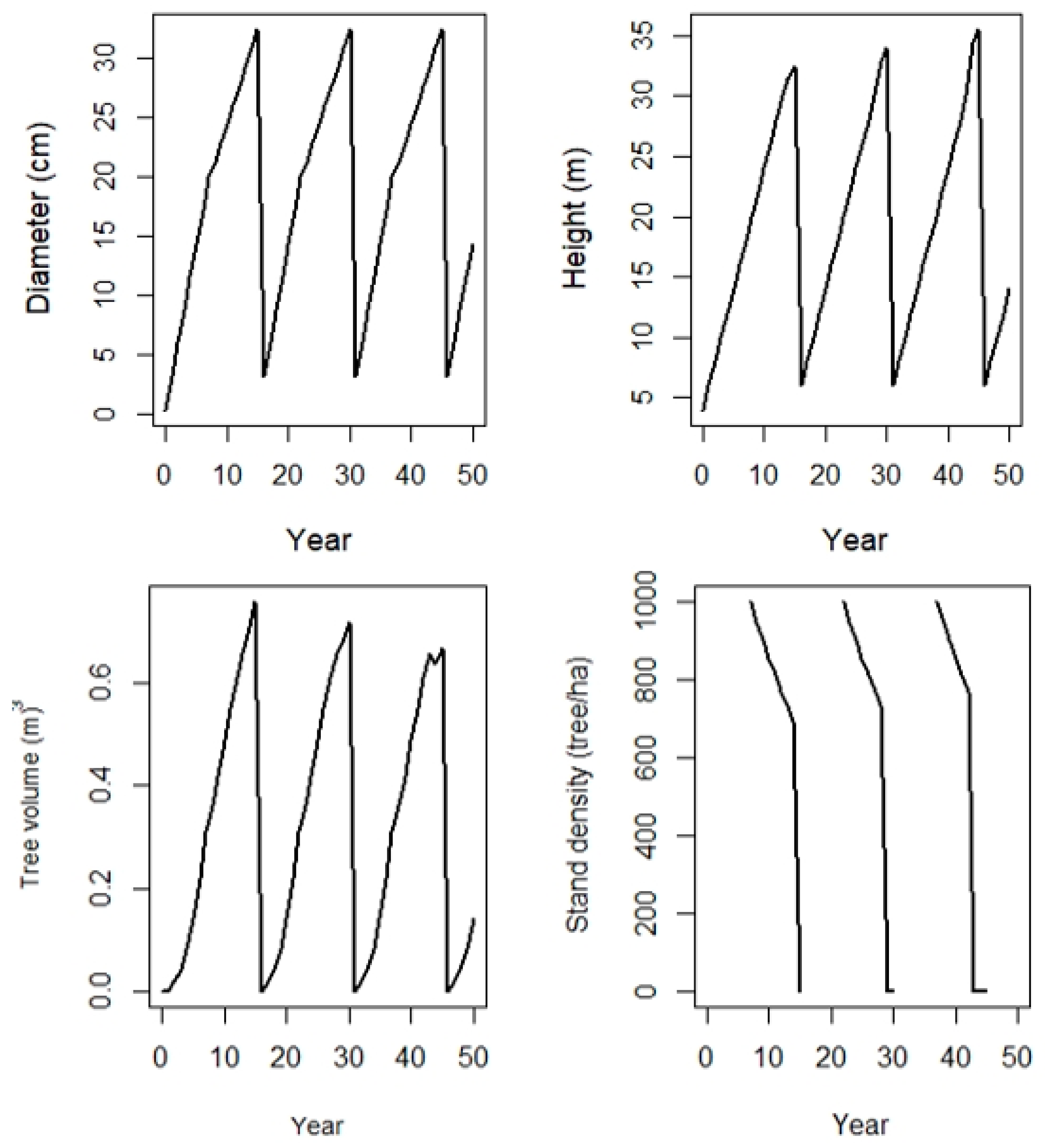
3.1. Stand Growth Prediction
3.2. Kemedangan and Agarwood Oil Production
3.3. APT Feasibility Analysis
3.4. Model Evaluation
3.5. Model Scenario Analysis—Benefit Cost Ratio APT Development
4. Discussion
4.1. Further Development of Agarwood Modelling
4.2. Sustainability, Legality and Traceability
4.2.1. Sustainability
4.2.2. Legality
4.2.3. Traceability
4.3. Governance, Gaps and Analysis
5. Conclusions
Supplementary Materials
Author Contributions
Funding
Data Availability Statement
Acknowledgments
Conflicts of Interest
References
- De Alwis, W.N.H.; Subasinghe, S.M.C.U.P.; Hettiarachchi, D.S. Characterisation and variation of agarwood resins from Gyrinops walla. For. Sci. 2019, 31, 222–229. [Google Scholar] [CrossRef]
- Barden, A.; Anak, N.A.; Mulliken, T.; Song, M. Heart of the Matter: Agarwood Use and Trade and CITES Implementation for Aquilaria malaccensis; Traffic International: Cambridge, UK, 2000. [Google Scholar]
- UNEP-WCMC. CITES Trade Database. UNEP-World Conservation Monitoring Centre. 2022. Available online: www.unep-wcmc.org (accessed on 22 January 2022).
- Hou, D. A review of the genus Rhizophora with special reference to the Pacific species. Blumea Biodivers. Evol. Biogeogr. Plants 1960, 10, 625–634. [Google Scholar]
- Roemantyo, R.; Partomihardjo, T. Analisis prediksi sebaran alami gaharu marga Aquilaria dan Gyrinops di Indonesia. Ber. Biol. 2010, 10, 189–198. [Google Scholar]
- Indonesian National Standard SNI 7631:2011; Gaharu. Indonesian National Standard Agency: Jakarta, Indonesian, 2011. Available online: https://pesta.bsn.go.id/produk/detail/8686-sni76312011 (accessed on 30 August 2022).
- Mashur, M.A. (Asosiasi Gaharu Indonesia, Jakarta, Indonesia). Personal communication, 2022.
- Turjaman, M. Study on Agarwood Producing Species. In The International Tropical Timber Organization (ITTO) Internal Report; ITTO: Bogor, Indonesia, 2022; (hard copy). [Google Scholar]
- Thompson, I.D.; Lim, T.W.; Turjaman, M. Expensive, Exploited and Endangered. A Review of the Agarwood-Producing Genera Aquilaria and Gyrinops: CITES considerations, Trade Patterns, Conservation, and Management; ITTO Technical Series No. 51; International Tropical Timber Organization (ITTO): Yokohama, Japan, 2022. [Google Scholar]
- Samsudin, B.; Adzani, T.; Ramadian, M.A.; Naito, D.; Baral, H. The Potential of Agarwood as a Climate-Resilient Livelihood Option in Indonesia; Center for International Forestry Research: Bogor Regency, Indonesia, 2021. [Google Scholar] [CrossRef]
- Subehan, J.; Ueda, Y.; Fujino, H.; Attamimi, F.; Kadota, S. A field survey of agarwood in Indonesia. J. Tradit. Med. 2005, 22, 244–251. [Google Scholar] [CrossRef]
- Turjaman, M.; Hidayat, A. Agarwood-planted tree inventory in Indonesia. IOP Conf. Ser. Earth Environ. Sci. 2017, 54, 012062. [Google Scholar] [CrossRef]
- Komar, T.E.; Wardani, M.; Hardjanti, F.I.; Ramdhania, N. In-Situ and Ex-Situ Conservation of Aquilaria and Gyrinops: A Review; Center for Conservation and Rehabilitation Research and Development: Bogor, Indonesia, 2014. [Google Scholar]
- Faizal, A.; Esyanti, R.R.; Aulianisa, E.N.; Santoso, E.; Turjaman, M. Formation of agarwood from Aquilaria malaccensis in response to inoculation of local strains of Fusarium solani. Trees 2017, 31, 189–197. [Google Scholar] [CrossRef]
- Wiriadinata, H.; Semiadi, G.; Darnaedi, D.; Waluyo, E.B. Konsep Budidaya Gaharu (Aquilaria spp.) Di Provinsi Bengkulu. J. Penelit. Hutan dan Konserv. Alam 2010, 7, 371–380. [Google Scholar] [CrossRef][Green Version]
- Lahjie, A.M.; Isminarti, I.; Simarangkir, B.; Kristiningrum, R.; Ruslim, Y. Community Forest management: Comparison of simulated production and financial returns from agarwood, tengkawang and rubber trees in West Kutai, Indonesia. Biodiversitas J. Biol. Divers. 2018, 19, 126–133. [Google Scholar] [CrossRef]
- Paoli, G.D.; Peart, D.R.; Leighton, M.; Samsoedin, I. An ecological and economic assessment of the nontimber forest product gaharu in the Gunung Palung National Indonesia. Conserv. Biol. 2001, 15, 1721–1732. [Google Scholar] [CrossRef]
- Waldron, A.; Garrity, D.; Malhi, Y.; Girardin, C.; Miller, D.C.; Seddon, N. Agroforestry Can Enhance Food Security While Meeting Other Sustainable Development Goals. Trop. Conserv. Sci. 2017, 10, 1–6. [Google Scholar] [CrossRef]
- Hidayat, H.; Siburian, R.; Yuliana, C.I. Gaharu Alam, Jaringan Perdagangan, dan Gaharu Budidaya: Studi Kasus Kalimantan Timur. J. Biol. Indones. 2020, 16, 99–110. [Google Scholar] [CrossRef]
- Hidayat, A.; Turjaman, M.; Faulina, S.A.; Ridwan, F.; Aryanto, A.; Najmulah, N.; Irawadi, T.T.; Iswanto, A.H. Antioxidant and antifungal activity of endophytic fungi associated with Agarwood trees. J. Korean Wood Sci. Technol. 2019, 47, 459–471. [Google Scholar] [CrossRef]
- Pasaribu, G.; Winarni, I.; Gusti, R.E.P.; Maharani, R.; Fernandes, A.; Harianja, A.H.; Saragih, G.S.; Turjaman, M.; Tampubolon, A.P.; Kuspradini, H.; et al. Current Challenges and Prospects of Indonesian Non-Timber Forest Products (NTFPs): A Review. Forests 2021, 12, 1743. [Google Scholar] [CrossRef]
- ASGARIN. Pengenalan jenis gaharu di Indonesia. In The Asosiasi Gaharu Indonesia (ASGARIN) Internal Report; Asosiasi Gaharu Indonesia: Jakarta, Indonesia, 2021; (hard copy). [Google Scholar]
- Suharti, S.; Pratiwi, P.; Santosa, E.; Turjaman, M. Feasibility Study of Business in Agarwood Inoculation at Different Stem Diameters and Inoculation Periods. Indones. J. For. Res. 2011, 8, 114–129. [Google Scholar] [CrossRef][Green Version]
- Hardiansyah, A.J.; Arreneuz, S. Fermentasi serbuk kayu Aquilaria sp menggunakan kapang Fusarium sp. J. Kim. Khatulistiwa 2015, 4, 41–44. [Google Scholar]
- Tamuli, P.; Boruah, P.; Samanta, R. Biochemical changes in agarwood tree (Aquilaria malaccensis Lamk.) during pathogenesis. J. Spices Aromat. Crop. 2004, 13, 87–91. [Google Scholar]
- Hakim, S.S.; Rahmanto, B.; Lestari, F.; Halwany, W. Evaluasi Beberapa Jenis Produk Inokulan Gaharu Di Kalimantan Selatan. J. Hutan Trop. 2018, 5, 154–164. [Google Scholar] [CrossRef][Green Version]
- Nasution, A.A.; Siregar, U.J.; Turjaman, M. Identification of chemical compounds in agarwood-producing species Aquilaria malaccensis and Gyrinops versteegii. J. For. Res. 2020, 31, 1371–1380. [Google Scholar] [CrossRef]
- Sterman, D.J. Business Dynamics: System Thinking and Modeling for a Complex World; Working Paper Series ESD-WP-2003-01.13-ESD Internal Symposium; Massachusetts Institute of Technology Engineering Systems Division: Cambridge, MA, USA, 2002; Available online: https://dspace.mit.edu/bitstream/handle/1721.1/102741/esd-wp-2003-01.13.pdf?sequence=1&isAllowed=y (accessed on 15 September 2022).
- Voigt, B.J.J. Dynamic Systems Development Method; Department of Information, Technology University of Zurich: Zurich, Switzerland, 2004. [Google Scholar]
- Forester, J. Industrial Dynamftvgics; Wiley: New York, NY, USA, 1961. [Google Scholar]
- Lok, E. Growth and management of Aquilaria malaccensis for agarwood. Int. J. Agric. For. Plant. 2016, 3, 55–60. [Google Scholar]
- Inggesi, O.D.; Auri, A.; Dimara, P.A. Respon Pertumbuhan Semai Gaharu (Aquilaria malaccensis) Terhadap Pemberian Pupuk Organik. J. Kehutan. PAPUASIA 2019, 5, 164–174. [Google Scholar] [CrossRef]
- Soehartono, T.; Newton, A.C. Conservation and sustainable use of tropical trees in the genus Aquilaria II. The impact of gaharu harvesting in Indonesia. Biol. Conserv. 2001, 97, 29–41. [Google Scholar] [CrossRef]
- Liu, Y.; Chen, H.; Yang, Y.; Zhang, Z.; Wei, J.; Meng, H.; Chen, W.; Feng, J.; Gan, B.; Chen, X.; et al. Whole-tree Agarwood-Inducing Technique: An Efficient Novel Technique for Producing High-Quality Agarwood in Cultivated Aquilaria sinensis Trees. Molecules 2013, 18, 3086–3106. [Google Scholar] [CrossRef] [PubMed]
- bin Ngadiran, S. The yield and Quality of Gaharu Oil (Aquilaria malaccensis) Extracted by Three Methods; Universiti Teknologi Malaysia: Kota Kinabalu, Malaysia, 2014. [Google Scholar]
- Herliani, H. Analisis volume minyak gaharu tipe Aquilaria malaccensis L. pada proses penyulingan minyak gaharu. In Proceeding Biology Education Conference: Biology, Science, Enviromental, and Learning; UNS: Surakarta, Indonesia, 2018; Volume 15, pp. 743–749. [Google Scholar]
- Wahyuni, T.; Yuliana, H. Analisis Biaya Penyulingan Minyak Gaharu Budidaya Di Tenggarong, Kalimantan Timur. J. Penelit. Has. Hutan 2021, 39, 88–98. [Google Scholar] [CrossRef]
- Wetwitayaklung, P.; Thavanapong, N.; Charoenteeraboon, J. Chemical constituents and antimicrobial activity of essential oil and extracts of heartwood of Aquilaria crassna obtained from water distillation and supercritical fluid carbon dioxide extraction. Silpakorn U Sci. Technol. J. 2009, 3, 25–33. [Google Scholar]
- Forrester, J.W. Some Basic Concepts in System Dynamics; Massachusetts Institute of Technology: Cambridge, MA, USA, 2009. [Google Scholar]
- Navarro, D.J.; Foxcroft, D.R. Learning Statistics with Jamovi: A Tutorial for Psychology Students and Other Beginners; Version 0.75; 2022; Available online: https://davidfoxcroft.github.io/lsj-book/ (accessed on 15 September 2022). [CrossRef]
- Normand, S.-L.T. Likelihood Modelling: Meta-Analysis: Formulating, Evaluating, Combining, and Reporting. Tutorials Biostat. 2004, 2, 247–287. [Google Scholar] [CrossRef]
- Liu, Q.; Ma, H.; Zhang, Y.; Dong, C. Artificial cultivation of true morels: Current state, issues and perspectives. Crit. Rev. Biotechnol. 2018, 38, 259–271. [Google Scholar] [CrossRef]
- Alijoyo, A.; Wijaya, Q.; Jacob, I. Cost/Benefit Analysis; CRMS: Bandung, Indonesiam, 2021. [Google Scholar]
- Hossen, S.; Hossain, M.K. Initial growth performance of agar (Aquilaria malaccensis) plantations at public and private sectors in Bangladesh. J. Biosci. Agric. Res. 2016, 10, 871–876. [Google Scholar] [CrossRef][Green Version]
- Asheshwor, R.; Thapa, P.; Mat, A.B.; Poudel, D. Annual Growth and Benefit Cost Analysis of Aquilaria malaccensis. Asian J. Biol. Sci. 2020, 13, 346–352. [Google Scholar] [CrossRef]
- Lemke, J.; Małgorzata, M. Validation of System Dynamics Models—A Case Study. J. Entrep. Manag. Innov. 2013, 9, 45–59. [Google Scholar] [CrossRef]
- Gibson, I.A. The role of fungi in the origin of oleoresin deposits (Agaru) in the wood of Aquilaria agallocha Roxb. Bano Biyan Patrika 1977, 6, 16–26. [Google Scholar]
- Mindawati, N.; Indrawan, A.; Mansur, I.; Rusdiana, O. Kajian Kualitas Tapak Hutan Tanaman Industri Hibrid Eucalyptus Urograndis Sebagai Bahan Baku Industri Pulp Dalam Pengelolaan Hutan Lestari; IPB (Bogor Agricultural University): Bogor, Indonesia, 2011; Available online: https://repository.ipb.ac.id/handle/123456789/49795 (accessed on 15 September 2022).
- Abdulah, L.; Darwo, D. Model Riap Tegakan Hutan Alam Produksi Di Pulau Buru—Maluku. J. Penelit. Hutan Tanam. 2015, 12, 1–10. [Google Scholar] [CrossRef][Green Version]
- Abdulah, L.; Yulianti, M. Perbedaan komposisi hutan alam produksi pada berbagai umur bekas tebangan dan lereng. J. Penelit. Hutan Tanam. 2016, 13, 23–35. [Google Scholar]
- Abdulah, L.; Yulianti, M. Mindawati How the growth of natural forests meets Indonesia’s demand for wood for construction and household furniture? IOP Conf. Ser. Earth Environ. Sci. 2022, 959, 012070. [Google Scholar] [CrossRef]
- Soeharto, B.; Budidarsono, S.; van Noordwijk, M. Gaharu (Eaglewood) Domestication: Biotechnology, Markets and Agroforestry Options; Working paper no.247; World Agroforestry Centre (ICRAF) Southeast Asia Regional Program: Bogor, Indonesia, 2016; Available online: http://dx.doi.org/10.5716/WP16163.PDF (accessed on 15 September 2022).
- Azren, P.D.; Lee, S.Y.; Emang, D.; Mohamed, R. History and perspectives of induction technology for agarwood production from cultivated Aquilaria in Asia: A review. J. For. Res. 2019, 30, 1–11. [Google Scholar] [CrossRef]
- Lee, S.Y.; Mohamed, R. The Origin and Domestication of Aquilaria, an Important Agarwood-Producing Genus. In Agarwood; Mohamed, R., Ed.; Tropical Forestry; Springer: Berlin, Germany; Singapore, 2017; pp. 1–20. [Google Scholar] [CrossRef]
- Jensen, A. Valuation of non-timber forest products value chains. For. Policy Econ. 2009, 11, 34–41. [Google Scholar] [CrossRef]
- Blaser, J.; Frizzo, J.; Norgrove, L. Not Only Timber the Potential for Managing Non-Timber Forest Products in Tropical Production Forests—A Comprehensive Literature Review; ITTO Technical Series #50; International Tropical Timber Organization: Yokohama, Japan, 2021. [Google Scholar]
- Womsiwor, D.; Dimara, P.A.; Mofu, W.Y. Klasifikasi Kualitas Dan Nilai Komersial Gaharu Pada Klaster Pedagang Pengumpul Di Kabupaten Sorong. J. Kehutan. PAPUASIA 2021, 4, 19–33. [Google Scholar] [CrossRef]
- Isnaini, Y. Peran pelukaan alami dalam pembentukan gubal gaharu: Studi kasus pada Aquilaria malaccensis Lamk koleksi kebun raya. Bul. Kebun Raya 2008, 11, 36–40. [Google Scholar]
- Prastyaningsih, S.R.; Ervayenri, E.; Azwin, A. Potensi Pohon Penghasil Gaharu Budidaya Di Kabupaten Kampar Provinsi Riau. Wahana For. J. Kehutan. 2015, 10, 88–100. [Google Scholar] [CrossRef]
- Wuysang, J.L.O.; Gafur, S.; Yurisinthae, E. Analisis finansial usahatani gaharu (Aquilaria malaccencis Lamk.) di Kabupaten Sanggau. J. Soc. Econ. Agric. 2015, 4, 70–82. [Google Scholar]
- World Commission on Environment and Development. Our Common Future; Oxford University Press: London, UK, 1987. [Google Scholar]
- Jha, K.K. Agarwood plantation and products as livelihood strategy: A case study from Ban Khlong Sai Village, Northeast Thailand. Int. J. Rural Dev. Manag. Stud. 2014, 8, 45–59. [Google Scholar]
- P.25/IV-SET/2014 Tentang Tata Cara Registrasi Penangkaran/Budidaya Gaharu; Directorate General of Natural Resource and Ecosystem Conservation (PHKA): Jakarta, Indonesia, 2014.
- Wahyuni, T. Peraturan Direktur Jenderal PHKA Tentang Tata Cara Registrasi Penangkaran/Budidaya Gaharu Perlu Ditinjau Kembali. Berita BBPSILH. 2018. Available online: https://www.diptero.or.id/peraturan-direktur-jenderal-phka-tentang-tata-cara-registrasi-penangkaran-budidaya-gaharu-perlu-ditinjau-kembali/ (accessed on 25 October 2022).
- Wang, Z.-F.; Cao, H.-L.; Cai, C.-X.; Wang, Z.-M. Using genetic markers to identify the origin of illegally traded agarwood-producing Aquilaria sinensis trees. Glob. Ecol. Conserv. 2020, 22, e00958. [Google Scholar] [CrossRef]
- dan Karyono, S. Pola tata niaga gaharu di Propinsi Riau. Info. Sos. Ekon. 2004, 4, 27–36. [Google Scholar]
: stock variable;
: flow among variables;
: Correlation form (+/−).
: stock variable;
: flow among variables;
: Correlation form (+/−).





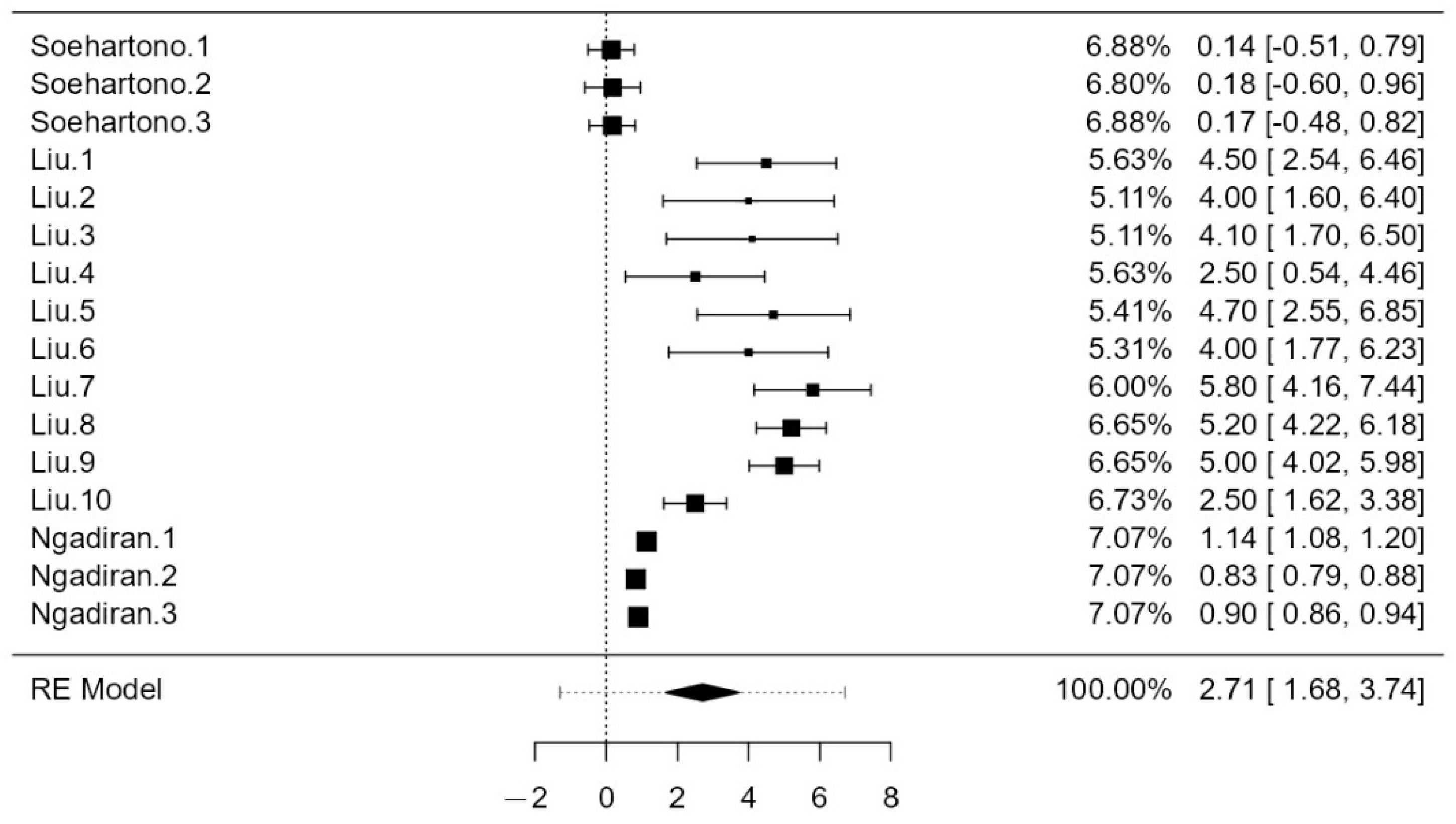
| Study | Year | Location | Habitat | Num. of Samples | Average Production (kg/stem) | Std Deviation |
|---|---|---|---|---|---|---|
| [33] | 2001 | Riau, Indonesia | Natural | 16 | 0.14 | 0.11 |
| [33] | 2001 | West Kalimantan, Indonesia | Natural | 24 | 0.18 | 0.16 |
| [33] | 2001 | East Kalimantan, Indonesia | Natural | 77 | 0.17 | 0.11 |
| [34] | 2013 | China | Cultivated | 3 | 4.5 | 1 |
| [34] | 2013 | China | Cultivated | 3 | 4 | 1.5 |
| [34] | 2013 | China | Cultivated | 3 | 4.1 | 1.5 |
| [34] | 2013 | China | Cultivated | 3 | 2.5 | 1 |
| [34] | 2013 | China | Cultivated | 3 | 4.7 | 1.2 |
| [34] | 2013 | China | Cultivated | 3 | 4 | 1.3 |
| [34] | 2013 | China | Cultivated | 3 | 5.8 | 0.7 |
| [34] | 2013 | China | Cultivated | 3 | 5.2 | 0.25 |
| [34] | 2013 | China | Cultivated | 3 | 5 | 0.25 |
| [34] | 2013 | China | Cultivated | 3 | 2.5 | 0.2 |
| [35] | 2014 | Malaysia | Natural | 1 | 1.14 | 0.001 |
| [35] | 2014 | Malaysia | Natural | 1 | 0.835 | 0.0005 |
| [35] | 2014 | Malaysia | Natural | 1 | 0.9 | 0.0005 |
| Estimate | se | Z | p | CI Lower Bound | CI Upper Bound | ||
|---|---|---|---|---|---|---|---|
| Intercept | 2.71 | 0.526 | 5.15 | < 0.001 | 1.676 | 3.736 | |
| Note. Tau2 Estimator: Restricted Maximum-Likelihood | |||||||
| Heterogeneity Statistics | |||||||
| Tau | Tau2 | I2 | H2 | R2 | df | Q | p |
| 1.976 | 3.9046 (SE= 1.6047) | 99.88% | 849.436 | 15 | 311.07 | < 0.001 | |
| Item | Cost (USD/Tree) |
|---|---|
| Plantation | 0.75 |
| Inoculant material | 0.64 |
| Other chemical substance | 0.39 |
| Equipment | 0.06 |
| Fuel | 0.03 |
| Specialist technical labor | 0.10 |
| Technical assistant | 0.06 |
| Unskilled labor | 0.10 |
| Transfer of inoculant | 0.30 |
| Cost for security | 0.77 |
| Harvesting cost | 3.30 |
| Total | 6.50 |
| Type of Cost | Cost Specification | Volume | Cost per Item | Total |
|---|---|---|---|---|
| Investment | Distilling kettle 7kg | 4 | 785.7 | 3142.9 |
| Distilling kettle 15kg | 1 | 1285.7 | 1285.7 | |
| Drum cooler | 1 | 300.0 | 300.0 | |
| Wood crusher machine | 1 | 1214.3 | 1214.3 | |
| Water exhaust machine | 2 | 142.9 | 285.7 | |
| Workshop | 1 | 9500.0 | 9500.0 | |
| Subtotal | 15,728.6 | |||
| Variable cost | Depreciation cost for machine | 11 | 2.2 | 106.7 |
| Depreciation cost for building | 12 | 34.8 | 417.2 | |
| Electric | 12 | 71.4 | 857.1 | |
| Subtotal | 894.1 | |||
| Fixed cost | Fuel | 12 | 276.2 | 3314.7 |
| Labour | 12 | 321.4 | 3857.1 | |
| Maintenance | 12 | 35.7 | 428.6 | |
| Subtotal | 7600.4 | |||
| Total Cost (Variable and Fixed Cost) | 8981.5 | |||
| Total Cost | 24,710.0 | |||
| Rotation | Kemedangan Production (kg/ha) | Average Oil Production (mL/ha) | Number of Thinning (Tree/ha/Rotation) | Average Tree Cut for Oil Production Cycle (Tree/Year/ha) | ||||
|---|---|---|---|---|---|---|---|---|
| 1 | 2 | 1 | 2 | 1 | 2 | 1 | 2 | |
| I | 264.41 | 34.07 | 103.24 | - | 407.97 | - | 25 | - |
| II | 259.05 | 31.89 | 87.82 | - | 371.5 | - | 27 | - |
| III | 252.47 | 29.70 | 72.79 | - | 333.08 | - | 24 | - |
| Rotation (Year) | Total Cost (USD/ha) | Income (USD/ha) | Ratio (f) | |||
|---|---|---|---|---|---|---|
| Private Sector | Community | Private Sector | Community | Private Sector | Community | |
| I | 21,915 | 183 | 6650 | 204 | 0.3 | 1.1 |
| II | 31,795 | 365 | 6650 | 204 | 0.2 | 0.6 |
| III | 41,668 | 548 | 6650 | 204 | 0.2 | 0.4 |
| Rotation | Private Sector | Community | |||||||
|---|---|---|---|---|---|---|---|---|---|
| BAU | Scen 1 | Scen 2 | Scen 3 | Scen 3 + Thinning | BAU | Scen 1 | Scen 2 | Scen 3 | |
| I | 0 | 0 | 0 | 0 | 0 | 0 | 0 | 0 | 0 |
| II | 0.2 | 0.13 | 0.14 | 0.14 | 0.16 | 0 | 0 | 1.12 | 1.12 |
| III | 0.15 | 0.5 | 0.11 | 1.18 | 1.14 | 0 | 1.66 | 1.68 | 0.56 |
| Note | Scen 1 | The increase in inoculation yield | |||||||
| Scen 2 | Reduction of production and oil processing costs | ||||||||
| Scen 3 | The increase in inoculation yield and subsidize the costs of developing APT and oil processing | ||||||||
Publisher’s Note: MDPI stays neutral with regard to jurisdictional claims in published maps and institutional affiliations. |
© 2022 by the authors. Licensee MDPI, Basel, Switzerland. This article is an open access article distributed under the terms and conditions of the Creative Commons Attribution (CC BY) license (https://creativecommons.org/licenses/by/4.0/).
Share and Cite
Abdulah, L.; Susanti, R.; Rahajoe, J.S.; Atikah, T.D.; Subarudi, S.; Dewi, R.; Heriansyah, I.; Qirom, M.A.; Rahmawati, K.; Hidayat, A.; et al. Feasibility of Agarwood Cultivation in Indonesia: Dynamic System Modeling Approach. Forests 2022, 13, 1869. https://doi.org/10.3390/f13111869
Abdulah L, Susanti R, Rahajoe JS, Atikah TD, Subarudi S, Dewi R, Heriansyah I, Qirom MA, Rahmawati K, Hidayat A, et al. Feasibility of Agarwood Cultivation in Indonesia: Dynamic System Modeling Approach. Forests. 2022; 13(11):1869. https://doi.org/10.3390/f13111869
Chicago/Turabian StyleAbdulah, Lutfy, Ruliyana Susanti, Joeni Setijo Rahajoe, Tika Dewi Atikah, Subarudi Subarudi, Rosita Dewi, Ika Heriansyah, Muhammad Abdul Qirom, Kusuma Rahmawati, Asep Hidayat, and et al. 2022. "Feasibility of Agarwood Cultivation in Indonesia: Dynamic System Modeling Approach" Forests 13, no. 11: 1869. https://doi.org/10.3390/f13111869
APA StyleAbdulah, L., Susanti, R., Rahajoe, J. S., Atikah, T. D., Subarudi, S., Dewi, R., Heriansyah, I., Qirom, M. A., Rahmawati, K., Hidayat, A., Effendi, R., Wahyuni, T., Wicaksono, D., Darwo, D., Lisnawati, Y., Mawazin, M., Mindawati, N., Widarti, A., Pratama, B. A., ... Turjaman, M. (2022). Feasibility of Agarwood Cultivation in Indonesia: Dynamic System Modeling Approach. Forests, 13(11), 1869. https://doi.org/10.3390/f13111869

