Abstract
Background and Objectives: As an extensively used tree species in landscaping and afforestation in China, lacebark pine (Pinus bungeana Zucc.) seedlings are in high demand. However, the small number of fine roots and the low growth rate of lacebark pine seedlings increase the risks encountered during transplant and extend the nursery time for outplanting. We aimed to find out whether a microbial inoculant would promote root growth and accordingly, shorten the nursery cultivation time. Materials and Methods: One-year-old lacebark pine seedlings were treated with the inoculant Bacillus subtilis 8–32 six times from June to September. At each application time, five treatments of undiluted microbial inoculants (UM), 30 times diluted microbial inoculants (30 DM), 40 times diluted microbial inoculants (40 DM), 50 times diluted microbial inoculants (50 DM), and distilled water as a control (CTRL) were administered to the seedlings. In the end, all the seedlings were harvested to measure the root growth, aboveground growth, and the physiological indices. Results: Root and stem growth was enhanced by the inoculants in terms of the increased number of root tips, the length and surface area of the roots, the biomass of the roots and stems, as well as the increase in height and basal stem diameter. The chlorophyll a/b of the needles was increased, in spite of the fact that the total chlorophyll content was decreased by the microbial inoculant treatments at the end of the growth phase. Meanwhile, the maximum photochemical efficiency (Fv/Fm) of the needles was increased by the inoculant treatments. The soluble sugar content was additionally translocated into the stems in the UM treatment, suggesting the change in carbon allocation. The content of available potassium, phosphorus, and ammonium nitrogen in the potting soil was increased in the 30 DM group, and the content of soil organic matter was increased in all the inoculant treatments. Conclusions: The microbial inoculant Bacillus subtilis 8–32, in appropriate concentrations, could be applied to promote root and shoot growth and improve the seedling quality of the lacebark pine during cultivation.
1. Introduction
The lacebark pine (Pinus bungeana Zucc.) is an evergreen coniferous tree species native to China that is widely distributed over the warm temperate zone, north subtropical zone, and middle subtropical zone in China [1]. The lacebark pine is famous for its mottled trunks with high ornamental value [2,3], and it exhibits anti-pollution traits of [4], as well as a strong adaptation in dry and cold environments and in poor soils. It is widely used in urban greening and barren hills greening in the northern regions [5]. Therefore, lacebark pine seedlings are in high demand.
According to the field investigation in the nursery, the growth rate of the lacebark pine is slow; it takes four to five years to obtain satisfactory seedlings (around 30–40 cm in height) for afforestation and about one decade to achieve the saplings (approximately 100 cm in height) to meet the requirements of landscaping [6]. During the growth in the nursery, the seedlings normally require two or three transplants before outplanting can occur [6]. However, the branching ability of the roots in the lacebark pine seems weak, possibly decreasing the survival rate of seedlings during transplanting. A study of 15-year-old lacebark pines showed that the proportion of the surface area of the fine roots (diameter 0.1–1 mm) was less than 40%, and less than 1% (diameter < 0.1 mm) of the total root surface area [7], which was clearly lower compared to Platycladus orientalis and Pinus tabulaeformis. The small number of fine roots might also limit the growth rate of the seedlings due to their importance in nutrient absorption and water uptake [8]. Therefore, root growth increment and fine root development using various measures might increase the growth of seedlings and shorten the cultivation time in the nursery.
In order to speed up the growth rate of lacebark pine seedlings, chemical fertilizers are commonly applied during production. Chemical fertilizers can meet the nutrient needs of plants in a short time; however, excessive chemical fertilizer application would bring a number of disadvantages, including underground water and air pollution due to the washing away and evaporation of fertilizers [9]. In the past few decades, great advancement has been achieved in the research and application of various microbial fertilizers. The application of microbial fertilizers is a cost-effective input that increases crop productivity by reducing the dosage of fertilizers, ultimately promoting the uptake of more nutrients from the soil. Previous studies have found that ectomycorrhizal inoculation can promote the growth of the lacebark pine [10]. In the ectomycorrhizal inoculation, the principle of “appropriate mycorrhiza for suitable land and suitable trees” should be followed [11]. Considering that the inoculation operation is complicated and the fungal colonization rate is uncertain [12], mycorrhizal inoculation is not yet popular in the small-sized nurseries in China. In addition to the mycorrhizal fungal inoculation, bacterial fertilizers have the potential to improve the growth of tree seedlings.
Microbial inoculants have the function of mineralizing the soil and inhibiting disease, and can also be used as potential biofertilizers to promote plant growth [13,14,15]. Both Bacillus subtilis and Pseudomonas fluorescens can promote the growth and biomass of seedlings, while only Bacillus subtilis can effectively reduce the incidence of gray mold in greenhouse tomato plants (Solanum lycopersicum L.) [16]. Microbial inoculants help to increase bacterial diversity and the abundance of potentially beneficial microorganisms in the soil [17,18,19]; they can also promote the growth and yield of red pepper (Capsicum annuum L.) [18], soybean (Glycine max (Linn.) Merr.) [20], and rice (Oryza sativa L.) plants [21]. Briefly, the application of microbial inoculants in the cultivation of horticultural plants and crops has been well documented. The application of microbial inoculants in forest tree seedlings production is not a common practice; however, several studies showed the positive effects of microbial inoculation on growth. The application of Paenibacillus polymyxa CP-S316 can alleviate continuous cropping obstacles and promote poplar growth [22]. After the application of microbial inoculants, the growth of Catalpa tree seedlings was clearly promoted [23]. Nevertheless, the potential root development and growth of pine influenced by microbial agents is not well known.
In this study, the microbial inoculum Bacillus subtilis 8–32 was applied to one-year-old container-grown lacebark pine seedlings during the growing season. Subsequently, the final root and shoot growth, the physiological changes—including chlorophyll content, maximum photochemical efficiency (Fv/Fm), and non-structural carbohydrate content—as well as the soil nutrients, were investigated. The microbial inoculant Bacillus subtilis 8–32 has a high indole acetic acid (IAA) production capacity, and the IAA content was as high as 45.29 mg/L [24], which might enhance cell division and plant growth. We hypothesized that the application of the microbial inoculant would increase the root growth, promote rooting ability, and change the carbon metabolism, consequently exerting a positive influence on the shoot growth and seedling quality of the lacebark pine.
2. Materials and Methods
2.1. Plant Cultivation and Microbial Inoculants Treatments
One-year-old lacebark pine seedlings were purchased from Shenglin Nursery in Jiangxian County, Yuncheng City, Shanxi Province, China (111°56′ E, 35°49′ N). The seedlings were cultivated from seeds that were harvested from a local nursery. The containerized seedlings were shipped to the experimental site at Hebei Agricultural University, Baoding, China (38°82′ N, 115°44′ E) in May 2021. Upon arrival, the seedlings, along with the mineral soil clod (height 6 cm, diameter 6 cm), were planted in quadrate plastic pots (length 7 cm, width 7 cm, height 10 cm) using commercial organotrophic soil (peat: vermiculite: perlite—3:2:1, pH neutral, bulk density—0.3881 ± 0.0304 gcm−3). The seedlings were cultured for one month before starting the microbial application treatments. During this period, the seedlings were irrigated at 2-day intervals.
From June to September, the seedlings were intermittently treated with Bacillus subtilis 8–32 in four inoculant concentration treatments. The microbial inoculum Bacillus subtilis 8–32 was prepared in the College of Life Sciences, Hebei Agricultural University. The number of effective viable bacteria was >20 billion/mL, the spore formation rate was ≥95%, and the indole acetic acid content was as high as 45.29 mg/L. The four concentration treatments of the microbial inoculants were: undiluted (UM), 30 times diluted (30 DM), 40 times diluted (40 DM), and 50 times diluted (50 DM) microbial inoculant, with deionized water as the control (CTRL).
A total of 100 seedlings (height 6.98 ± 0.94 cm, basal stem diameter 2.29 ± 0.28 mm, mean ± SE) were distributed outdoors into five replicate blocks. Each block was composed of five plots, and the seedlings of each inoculant concentration treatment were placed in one plot (4 seedlings in one plot). In other words, there were 20 seedlings in each treatment. At each application time, 50 mL of the inoculant was poured into the soil at the base of the lacebark pine seedlings in each pot at 10 am on 3 June, 3 July, 19 July, 4 August, 19 August, and 4 September. During the experiment, the seedlings were irrigated regularly in order to maintain suitable soil moisture.
All the seedlings (4 seedlings in one treatment × 5 replicate blocks × 5 treatments) were harvested for the physiological and growth measurements in early October, when the aboveground part of the lacebark pine seedlings stopped growing. The soil in the pots was sealed in a zippered plastic bag and taken to the lab. The soils were then air-dried and screened for the determination of nutrient content.
2.2. Physiological and Growth Measurements
2.2.1. Height and Basal Stem Diameter
Before and after treatment, the height and basal stem diameter of all the seedlings were measured. The stem diameter was measured at 1 cm above the root collar with a 6″ electronic caliper (PD-151, Prokit’s industries Co., Ltd., Taipei, Taiwan). The height was measured from a fixed place, i.e., 1 cm above the root collar, to the terminal bud.
2.2.2. Needle, Stem, Root Biomass
A total of 10 seedlings in each treatment (2 seedlings in each replicate block) were harvested for the biomass measurements. The needles, stems, and roots of the seedlings were separated, and carefully washed with tap water. The root morphology was measured before all three parts of the seedling were placed in a ventilated oven at 40 °C until the mass was constant. The needles, stems, and roots were weighed separately to obtain their biomass.
2.2.3. Root Morphology
In addition to the seedlings that were used for biomass measurements, the two other seedlings in each replicate block were also harvested for root morphology measurements. In total, the root morphology was measured for 20 seedlings per treatment. The intact root of each lacebark pine seedling was removed from the pot and separated from the substrate, and the detached roots were picked up from the soil. All the roots of the seedlings were washed with tap water, followed by scanning with a root scanner (Epson Expression1640Xl scanner, Epson, Quebec, QC, Canada) to obtain root scanning images. The root images were analyzed using WinRHIZO Pro (2012b) (WinRhizo, Régent Instruments Inc., Sainte-Foy, QC, Canada) to obtain total root length, root surface area, root volume, number of root tips, and mean root diameter.
2.2.4. Chlorophyll Content of Needles
Fresh needles of 0.1 g were picked from the middle of the shoot in each of 10 seedlings per treatment (2 seedlings in each replicate block) for chlorophyll a and b content determination [25]. The needles were rinsed with deionized water, cut up, and then soaked in the mixed solution of ethanol and acetone (volume ratio, 1:1) for 24 h in the dark. Afterwards, the needles turned white, and the extracting solution was measured at 645 nm and 663 nm spectrophotometrically (U-5100 Spectrophotometer, Hitachi High-tech Science, Tokyo, Japan). The total chlorophyll and chlorophyll a/b content was calculated accordingly.
2.2.5. Chlorophyll Fluorescence of Needles
As a sample, a total of 7 needles were picked from the middle of the shoot in each seedling per treatment for chlorophyll fluorescence (Fv/Fm) measurement. The needles were arranged closely, without a gap, on a tape. The samples were then placed under dark-acclimation for 20 min at room temperature, and F0, Fm, Fv/F0, and Fv/Fm were obtained using a chlorophyll fluorescence meter (YaXin1105, Beijing Yaxin Liyi Technology Co., Ltd., Beijing, China).
2.2.6. Soluble Sugar and Starch Content
The needles, stems, and roots were collected from each of the seedlings and dried at 40 °C to a constant weight for the measurement of soluble sugar and starch contents [26]. The detailed extraction and determination method was the same as that used by Qian et al. (2021) [27].
2.2.7. Soil Nutrient Content
Ten soil samples in each treatment were taken to the lab to be air-dried, the litter and other debris were removed, and the samples were ground through a 1 mm sieve for the determination of soil nutrients by means of a rapid soil nutrient meter (Zhejiang Topuyunnong Technology Co., Ltd., Hangzhou, China). The soil solution was extracted for 10 min using reagent kits correlating to the instrument, and the colorimetric determination was performed for soil pH, ammonium nitrogen, available potassium, available phosphorus, and organic matter. The pH levels of the soil exposed to the CTRL, 50 DM, 40 DM, 30 DM, and UM treatments were determined to be neutral.
2.3. Statistical Analysis
The statistical significance of the differences between the treatments was tested by contrast using Bonferroni-corrected significance levels by means of One-Way ANOVA testing (MIXED procedure in SPSS 20.0, SPSS Inc., Chicago, IL, USA). The mean value of the measured physiological and growth parameters in each replicate block was used in the statistical analyses (n = 5).
3. Results
3.1. Increase in Plant Height and Basal Stem Diameter
The increase in plant height was significantly higher in the UM, 30 DM, and 50 DM samples than that in the CTRL. Moreover, the increase in plant height in the 50 DM samples was significantly higher than that in the other treatments.
The increase in basal stem diameter was significantly higher in all the microbial inoculant treatments than that in the CTRL. The increase in stem diameter in the 30 DM and 40 DM samples was higher than that in the 50 DM samples (Table 1).
Table 1.
Increase in height and basal stem diameter (mean ± SE) of lacebark pine seedlings from microbial inoculant treatment. CTRL—control; UM—undiluted microbial inoculants; 30 DM, 40 DM and 50 DM—30 times, 40 times, and 50 times diluted microbial inoculants, respectively. Different lowercase letters represent statistically significant differences among the treatments (p < 0.05).
3.2. Needle, Stem, and Root Biomass
The dry biomass of the needles did not differ significantly between the CTRL and the microbial inoculant treatment samples. However, the dry biomass of the stems in the 40 DM samples was higher than that in the CTRL (p < 0.05), and the dry biomass of the stems in the UM samples was higher than that in the CTRL (p < 0.01) and in the 50 DM (p < 0.05) samples. The dry biomass of the roots was slightly higher in the UM samples than that in the CTRL (p = 0.085) (Figure 1). Thus, the strongest responses were obtained in the UM samples.
Figure 1.
Dry biomass of the needles (a), stems (b), and roots (c) of lacebark pine seedlings receiving microbial inoculant treatment. CTRL—control; UM—undiluted microbial inoculants; 30 DM, 40 DM and 50 DM—30 times, 40 times, and 50 times diluted microbial inoculants, respectively. Bars indicate standard error (n = 5). Different lowercase letters over the bars represent the statistically significant differences among the treatments (p < 0.05).
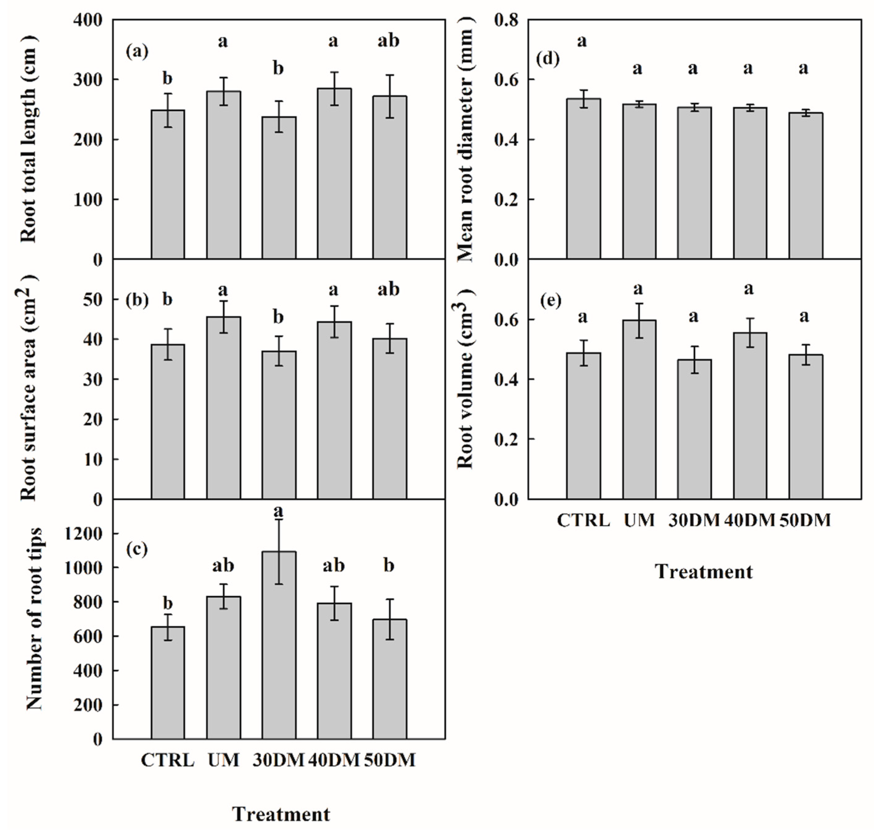
3.3. Root Morphology
Root total length and root surface area were increased in the 50 DM, 40 DM, and UM samples, among which the 40 DM and UM samples showed significant (p < 0.05) increases. The root volume tended to increase in the 40 DM and UM samples, in spite of the fact that the statistical difference was not significant. The different concentrations of microbial inoculants all showed a promoting effect on the number of root tips, but the effects were not linear with treatment intensity. The most obvious increase in the number of root tips was seen in the 30 DM sample, in which this number was significantly higher than that in the CTRL and 50 DM (p < 0.05) samples. The mean root diameter did not differ significantly between the CTRL and the microbial inoculant treatments (Figure 2).
Figure 2.
Root total length (a), root surface area (b), number of root tips (c), mean root diameter (d), and root volume (e) of lacebark pine seedlings receiving microbial inoculant treatment. CTRL—control; UM—undiluted microbial inoculants; 30 DM, 40 DM, and 50 DM—30 times, 40 times, and 50 times diluted microbial inoculants, respectively. Bars indicate standard error (n = 5). Different lowercase letters over the bars represent the statistically significant differences among the treatments (p < 0.05).
3.4. Chlorophyll Content and Chlorophyll a/b
The chlorophyll content showed a decreasing trend with the increase in the concentration of inoculants. The chlorophyll content in the CTRL was significantly higher than that in the 50 DM (p < 0.05) group, and the chlorophyll content in the CTRL and the 50 DM group was significantly higher than that in 40 DM, 30 DM, and UM (p < 0.01 for each) groups (Figure 3a).
Figure 3.
Chlorophyll (a) and chlorophyll a/b content (b) of the needles in lacebark pine seedlings receiving microbial inoculants treatment. CTRL—control; UM—undiluted microbial inoculants; 30 DM, 40 DM, and 50 DM—30 times, 40 times, and 50 times diluted microbial inoculants, respectively. Bars indicate standard error (n = 5). Different lower-case letters over the bars represent the statistically significant differences among the treatments (p < 0.05).
The chlorophyll a/b of the needles increased with the increase in inoculant concentrations. The chlorophyll a/b of the needles in the 40 DM, 30 DM, and UM samples were significantly higher than those in the CTRL and the 50 DM (p < 0.01 for each) groups (Figure 3b).
3.5. Chlorophyll Fluorescence of Needles
The initial fluorescence (F0) of the needles in the UM group was higher than that in the CTRL, and it was significantly higher than that in the 50 DM and 30 DM (p < 0.05 for each) samples. However, the F0 in the 50 DM, 40 DM, and 30 DM groups was lower than that in the CTRL. The maximum fluorescence (Fm) in the 50 DM, 30 DM, and UM samples was higher than that in CTRL, and the Fm in the 40 DM group was significantly higher than that in CTRL, 50 DM, and UM (p < 0.05 for each) groups. The maximum photochemical efficiency (Fv/Fm) and the potential photosynthetic activity (Fv/F0) of Ps II in the 50 DM, 40 DM, 30 DM, and UM groups was higher than that in the CTRL, with statistical significance in the 40 DM (p < 0.05 for each) group (Figure 4).
Figure 4.
Initial fluorescence (F0) (a), maximum fluorescence (Fm) (b), maximum photochemical efficiency (Fv/Fm) (c), and potential photosynthetic activity (Fv/F0) (d) of the needles in lacebark pine seedlings receiving microbial inoculant treatment. CTRL—control; UM—undiluted microbial inoculants; 30 DM, 40 DM, and 50 DM—30 times, 40 times, and 50 times diluted microbial inoculants, respectively. Bars indicate standard error (n = 5). Different lowercase letters over the bars represent the statistically significant differences among the treatments (p < 0.05).
3.6. Non-Structural Carbohydrates in Needles, Stems, and Roots
The soluble sugar content of the needles in the 50 DM, 40 DM, 30 DM, and UM groups was significantly lower than that in CTRL (p < 0.05 for each) group (Figure 5a). The soluble sugar content of the stems and roots in the 50 DM and 40 DM groups was significantly lower than that in the CTRL, UM, and 30 DM (p < 0.05 for each) groups (Figure 5b,c). The starch content of the needles and stems did not differ significantly between the CTRL and the microbial inoculant treatment groups (Figure 5d,e). The starch content of the roots in the UM, 40 DM, and 50 DM groups was significantly lower than that in CTRL (p < 0.05 for each) group (Figure 5f).
Figure 5.
Soluble sugar content of the needles (a), stems (b), and roots (c), and the starch content of the needles (d), stems (e), and roots (f) of lacebark pine seedlings receiving microbial inoculant treatment. CTRL—control; UM—undiluted microbial inoculants; 30 DM, 40 DM, and 50 DM—30 times, 40 times, and 50 times diluted microbial inoculants, respectively. Bars indicate standard error (n = 5). Different lowercase letters over the bars represent the statistically significant differences among the treatments (p < 0.05).
The soluble sugar proportion of the needles was the highest, followed by that of the stems, and the roots showed the lowest proportion in the CTRL, 50 DM, and 40 DM groups. However, the soluble sugar proportion of the stems was the highest, followed by that of the needles, and the roots showed the lowest proportion in the UM group. The soluble sugar proportion of the stems wase higher in UM group than that in the other treatments. On the contrary, the soluble sugar proportion of the needles was lower in the UM group than that in the other treatments (Figure 6a–c). The starch proportion of the stems was the highest, followed by roots and the needles, with the lowest in lacebark pine seedlings treated with different concentrations of microbial inoculants (Figure 6d–f).
Figure 6.
Soluble sugar proportion of the needles (a), stems (b), and roots (c), and the starch proportion of the needles (d), stems (e), and roots (f) of lacebark pine seedlings receiving microbial inoculant treatment. CTRL—control; UM—undiluted microbial inoculants; 30 DM, 40 DM, and 50 DM—30 times, 40 times, and 50 times diluted microbial inoculants, respectively. Bars indicate standard error (n = 5). Different lowercase letters over the bars represent the statistically significant differences among the treatments (p < 0.05).
3.7. Soil Nutrient Content
The ammonium nitrogen content of the soil in the 30 DM and 50 DM groups was higher than that in the CTRL, whereas it was slightly lower in 40 DM group, and significantly lower in the UM group than that in the CTRL. The content of available phosphorus in the CTRL and the 30 DM groups was significantly higher than that in the 40 DM, 50 DM, and the UM (p < 0.01 for each) groups. The soil available potassium content in the UM and 30 DM groups was significantly higher than that in the other treatments (p < 0.01 for each). The organic matter content in the 30 DM, 40 DM, 50 DM, and UM groups was higher than that in CTRL (p < 0.01 for each) (Figure 7).
Figure 7.
Ammonium nitrogen content (a) and the available phosphorus (b), available potassium (c), and organic matter content (d) in the soils receiving microbial inoculant treatment. CTRL—control; UM—undiluted microbial inoculants; 30 DM, 40 DM, and 50 DM—30 times, 40 times, and 50 times diluted microbial inoculants, respectively. Bars indicate standard error (n = 5). Different lowercase letters over the bars represent the statistically significant differences among the treatments (p < 0.05).
4. Discussion
Our hypothesis that the application of the microbial inoculant Bacillus subtilis 8–32 can effectively improve the root growth and quality of lacebark pine seedlings was supported. The increase in the height and basal stem diameter of the seedlings from May to October were significantly improved by the microbial inoculum treatments. This was consistent with the results from previous studies showing that inoculation with different strains of bio-inoculants increased the relative growth rate of the blue pine and Himalayan cypress [28]. The application of the UM and 40 DM inoculants of Bacillus subtilis 8–32 showed promoting effects on the root length, root surface area, and marginally on the root volume of lacebark pine seedlings. Moreover, all the concentrations of the inoculants of Bacillus subtilis 8–32, particularly the 30 DM concentration, showed a positive effect on the number of root tips. This indicated that the Bacillus subtilis 8–32 inoculants used promoted the growth of the root system in lacebark pine seedlings, which might be attributed to its characteristic high yield of IAA [29]. The application of different concentrations of IAA has been shown to significantly increase the total root length, root surface area, and root volume of Pinus yunnanensis seedlings [30].
The stem biomass of seedlings treated with the microbial inoculant Bacillus subtilis 8–32 was significantly higher than that of the CTRL, and the biomass of the roots treated with UM was higher than that of the CTRL. This was in accordance with the increase in root and shoot weight noted for the Pinus taeda seedlings after the administration of Bacillus subtilis and Pseudomonas fluorescens [31]. The application of the Bacillus subtilis 8–32 inoculants showed no obvious effect on the promotion of needle biomass, which is likely because the application time of the inoculants missed the rapid growth stage (April–May) of the shoots of the lacebark pine. The time of root growth occurs at a different time period than that of shoots [32], so the effects of the treatments in this study were particularly noticeable in the formation of root tips and the radial growth of the stem.
After the aboveground portion of the lacebark pine seedlings ceased their height growth, the total chlorophyll content of the needles was lower in those treated with the inoculants than in those in the CTRL group, which was inconsistent with the results of a previous study in which the chlorophyll content in the olive tree (Olea europea L.) plant was increased after microbial inoculant treatment [33]. In our study, the color of needles was blue-green, and the value of chlorophyll a/b increased after the application of the inoculant, which indicated the improvement in the utilization rate of light energy and the shade tolerance of the lacebark pine seedlings [34]. Previous studies have found that Bacillus subtilis 8–32 strains have the function of enhancing crop stress resistance; therefore, the decrease in chlorophyll content is suggested to be a strategy to prepare for the forthcoming dormancy, so as to enhance the cold resistance of the lacebark pine in winter [35,36,37,38]. However, it must be taken into account that chlorophyll measurements were only made at the end of the experiment, so temporal variation during the experiment was not monitored. It was found that the maximum photochemical efficiency (Fv/Fm) and potential photosynthetic activity (Fv/F0) of the lacebark pine needles was enhanced by treatment with the inoculant Bacillus subtilis 8–32. This was in accordance with the study by Huang et al. (2019) [39] showing that the application of different microbial inoculants improved the Fv/Fm of the dark-adapted needles of Cinnamomum camphora. In this study, even though the chlorophyll content was low, as described above, the high ratio of chlorophyll a and b might be related to the higher Fv/Fm and Fv/F0.
The non-structural carbohydrates in the needles, stems, and roots were lower in the inoculated lacebark pine seedlings compared to the seedlings without inoculation. This was inconsistent with previous studies showing that the application of Paenibacillus sp. s37 significantly increased the non-structural carbohydrates content in the roots, stems, and shoots of Abies nordmanniana [40]. Here, the decrease in the content of non-structural carbohydrates in the stems and needles may be associated with the fact that the non-structural carbohydrates produced in the needles during the growth period were transported to the roots to supply their growth. Furthermore, the enhanced root growth of the lacebark pine seedlings in the inoculated seedlings might have utilized more non-structural carbohydrates, leading to a decrease in non-structural carbohydrates in the roots [41,42,43,44]. After UM treatment, the allocation of soluble sugar content in the stems was increased, with the greatest increases observed in the needles in the CTRL, 50 DM, and 40 DM groups. This is likely because the application of UM enhances the vitality of the stem as a nutrient transport channel, making the stem “flow” more unobstructed [45].
The ammonium nitrogen, available potassium, available phosphorus content, and organic matter content in the soil was increased by the 30 DM treatment. This was consistent with the results in a previous study showing that the addition of the microbial agent neutralized the soil pH and rapidly increased soil nutrient contents [46]. The increase in soil ammonium nitrogen content presumably occurred because the Bacillus subtilis 8–32 was able to fix the N2 [47]. A previous study also found that Bacillus subtilis 8–32 could enhance the urease activities [48], as soil enzymatic activities are important for N cycles [49]. The increase in available potassium, available phosphorus content, and organic matter contents by the end of the experiment might be related to the increased beneficial microorganisms abundance in the soil which thereby promoted the transformation of the soil nutrients [50]. The microbiota produces a cementation effect by excreting polysaccharide substances; this effect has the ability to increase the hydrophobicity of soil particles and stabilize soil aggregates, thereby improve soil organic matter content [47]. Soil microbiota are able to excrete organic acids and/or enzymes (i.e., phosphatases) involved in phosphorus cycling [51], and soil rhizosphere bacteria can enhance the mobilization of potassium [47]. Moreover, the increase in organic matter content provides more carbon sources for microorganisms and promotes the role of microorganisms in soil nutrient transformation, thereby increasing the concentration of phosphorus and potassium in the rhizosphere soil. The increase in available soil nutrients, modulated by the inoculants, allows seedlings to take up more soil nutrients, which might make a great contribution to the increased root and shoot growth.
5. Conclusions
Root growth was increased by the inoculant Bacillus subtilis 8–32, especially in the 30 DM group, which significantly promoted the growth of the root tip and might have improved the absorption capacity of the roots, increasing the radial growth of the stems. In addition to the impact on stem and root growth, the chlorophyll content and chlorophyll fluorescence of the needles showed the physiological changes in the inoculated lacebark pine seedlings to prepare for the subsequent winter. The soluble sugar was translocated more to the stem in the undiluted microbial inoculant treatment, suggesting the change in carbon allocation. The ammonium nitrogen, available potassium, available phosphorus content, and organic matter content in the soil, which can provide sufficient nutrients for the growth of seedlings, were all increased by the 30 DM treatment,. We suggest that the microbial inoculant Bacillus subtilis 8–32, in appropriate concentrations, can be applied to promote root and shoot growth, thereby improving the seedling quality of the lacebark pine during cultivation.
Author Contributions
Experimental design, A.-F.W. and Y.-M.L.; implementation of the experiment and data collection, Y.-M.L., F.Z. and Z.-H.L.; data analysis and interpretation, Y.-M.L. and A.-F.W.; and manuscript writing, Y.-M.L., H.-B.L., Y.-H.C., T.-G.G., M.R. and A.-F.W. All authors have read and agreed to the published version of the manuscript.
Funding
This work was funded by the National Natural Science Foundation of China (32101250), the Fund for Introduced Returned Overseas Scholars of Hebei Province (C20190339), the Start-up Fund for Introduced Talents of Hebei Agricultural University (YJ201813), the Fundamental Research Funds for the Provincial Universities of Hebei (KY2022004), and the Key R&D Program of Hebei Province (20322907D).
Acknowledgments
We thank Hui Qian, Xiao Li, and Chang Liu for their assistance during the experiment and the reviewers for their comments to improve the manuscript.
Conflicts of Interest
The authors declare no conflict of interest.
References
- Feng, X.P.; Wang, Y.T.; Tang, L.L.; Li, D.W. Polyphenols of leaf, litter and soil of Pinus bungeana across China and their responses to ecological factors. Chem. Biodivers. 2019, 16, e1900205. [Google Scholar] [CrossRef] [PubMed]
- Anev, S. Comparative study on physiological potential of Pinus sylvestris L. and Pinus bungeana Zucc. ex Endl. to grow in Bulgarian urban parks. For. Ideas 2016, 2, 188–197. [Google Scholar]
- Guo, C.C.; Shen, Y.B.; Shi, F.H. Effect of temperature, light, and storage time on the seed germination of Pinus bungeana Zucc. ex Endl.: The role of seed-covering layers and abscisic acid changes. Forests 2020, 11, 300. [Google Scholar] [CrossRef]
- Tian, Q.; Liu, S.W.; Niu, S.H.; Li, W. Development of SNP molecular markers of Pinus bungeana based on SLAF-seq technology. J. Beijing For. Univ. (Chin. Ed.) 2021, 43, 1–8. [Google Scholar]
- Guo, C.C.; Shen, Y.B.; Shi, F.H. Review on seed dormancy of Pinus bungeana Zucc. J. Nanjing For. Univ. (Nat. Sci. Ed.) 2019, 43, 179–187. [Google Scholar]
- Li, H.J. Cultivation of lacebark pine seedlings and its cultivation techniques. J. G Sci. Tech. 2014, 2, 104–105. [Google Scholar]
- Liu, L.N.; Xu, C.Y.; Duan, Y.H.; Zhou, R.Z.; Dai, X.Y. Root morphology of three greening conifer species in Beijing. J. Beijing For. Univ. (Chin. Ed.) 2008, 30, 34–39. [Google Scholar] [CrossRef]
- George, E.; Marschner, H. Nutrient and water uptake by roots of forest trees. Z. Pflanzenernähr. Bodenkd. 1996, 159, 11–21. [Google Scholar] [CrossRef]
- Kour, D.; Rana, K.L.; Yadav, A.N.; Yadav, N.; Kumar, M.; Kumar, V.; Vyas, P.; Dhaliwal, H.S.; Saxena, A.K. Microbial biofertilizers: Bioresources and eco-friendly technologies for agricultural and environmental sustainability. Biocatal. Agric. Biotechnol. 2020, 23, 101487. [Google Scholar] [CrossRef]
- Tang, Y. Study on Promoting Effect of mycorrhizal fungi inoculation on Pinus bungeana Growth. Agric. Sci. Technol. 2013, 14, 1005–1007, 1020. [Google Scholar]
- Liu, Y. Cultivation of Forest Seeds and Seedlings, 1st ed.; China Forestry Press: Beijing, China, 2019; pp. 139–149. [Google Scholar]
- Cripps, C.L.; Grimme, E. Inoculation and successful colonization of whitebark pine seedlings with native mycorrhizal fungi under greenhouse conditions. US Dep. Agric. For. Serv. Rocontraly Mt. Res. Stn. 2011, 63, 312–322. [Google Scholar]
- Verma, J.P.; Yadav, J.; Tiwari, K.N.; Jaiswal, D.K. Evaluation of plant growth promoting activities of microbial strains and their effect on growth and yield of chickpea (Cicer arietinum L.) in India. Soil Biol. Biochem. 2014, 70, 33–37. [Google Scholar] [CrossRef]
- Hui, C.; Sun, P.F.; Guo, X.X.; Jiang, H.; Zhao, Y.H.; Xu, L.G. Shifts in microbial community structure and soil nitrogen mineralization following short-term soil amendment with the ammonifier Bacillus amyloliquefaciens DT. Int. Biodeterior. Biodegrad. 2018, 132, 40–48. [Google Scholar]
- Jamal, Q.; Lee, Y.S.; Jeon, H.D.; Kim, K.Y. Effect of plant growth-promoting bacteria Bacillus amylliquefaciens Y1 on soil properties, pepper seedling growth, rhizosphere bacterial flora and soil enzymes. Plant Prot. Sci. 2018, 54, 129–137. [Google Scholar]
- Ge, X.Y.; He, C.E.; Li, T.; Ouyang, Z. Effect of Bacillus subtilis and Pseudomonas fluorescens on growth of greenhouse tomato and rhizosphere microbial community. J. Northeast Agric. Univ. (Engl. Ed.) 2015, 22, 32–42. [Google Scholar]
- Gasoni, L.; Khan, N.; Yokoyama, K.; Chiessa, G.H.; Kobayashi, K. Impact of Trichoderma harzianum biocontrol agent on functional diversity of soil microbial community in tobacco monoculture in Argentina. World J. Agric. Sci. 2008, 4, 527–532. [Google Scholar]
- Kim, Y.H.; Lim, J.H.; An, C.H.; Jung, B.K.; Kim, S.D. Soil microbial community analysis using soil enzyme activities in red pepper field treated microbial agents. J. Appl. Biol. Chem. 2012, 55, 47–53. [Google Scholar]
- Li, Y.L.; Guo, Q.; Li, Y.Z.; Sun, Y.F.; Xue, Q.H.; Lai, H.X. Streptomyces pactum Act12 controls tomato yellow leaf curl virus disease and alters rhizosphere microbial communities. Biol. Fertil. Soils. 2019, 55, 149–169. [Google Scholar]
- Singh, A.V.; Shah, S.; Prasad, B. Effect of phosphate solubilizing bacteria on plant growth promotion and nodulation in soybean (Glycine max (L.) Merr.). J. Hill Agric. 2010, 1, 35–39. [Google Scholar]
- Singh, U.B.; Malviya, D.; Singh, S.; Pradhan, J.K.; Singh, B.P.; Roy, M.; Imram, K.; Pathak, N.; Baisyal, B.M.; Rai, J.P.; et al. Bio-protective microbial agents from rhizosphere eco-systems trigger plant defense responses provide protection against sheath blight disease in rice (Oryza sativa L.). Microbiol. Res. 2016, 192, 300–312. [Google Scholar] [CrossRef]
- Sui, J.; Ji, C.; Wang, X.; Liu, Z.; Sa, R.; Hu, Y.; Wang, C.; Li, Q.; Liu, X. A plant growth-promoting bacterium alters the microbial community of continuous cropping poplar trees’ rhizosphere. J. Appl. Microbiol. 2019, 126, 1209–1220. [Google Scholar] [CrossRef] [PubMed]
- Li, J.H.; Gao, K.X.; Wan, L.; Cao, G.Y.; Jiao, F.Y.; Wang, Y.P.; Tian, Y.H.; Zhao, B.J.; Li, C.R. Effects of microbial agent on the growth of Catalpa bungei seedlings and the diversity of bacterial community in rhizosphere soil. Acta Ecol. Sinica. 2020, 40, 7588–7601. [Google Scholar]
- Wang, H.; Jia, T.H.; Yang, K.X.; Shi, X.Z.; Gao, T.G.; Zhu, B.C. Antagonistic effect on pathogenic fungi and plant growth promoting mechanism of Bacillus subtilis 8–32. J. Agri. Biotech. 2019, 27, 908–918. [Google Scholar]
- Zhang, X.Z. Determination of chlorophyll content in plants—acetone and ethanol mixture method. Liaoning Agric. Sci. 1986, 3, 26–28. [Google Scholar]
- Hansen, J.; Møller, I. Percolation of starch and soluble carbohydrates from plant tissue for quantitative determination with anthrone. Anal. Biochem. 1975, 68, 87–94. [Google Scholar] [CrossRef]
- Qian, H.; Dong, A.M.; Roitto, M.; Xiang, D.Y.; Zhang, G.; Repo, T.; Wang, A.F. Timing of drought affected the growth, physiology, and mortality of mongolian pine saplings. Forests 2021, 12, 1491. [Google Scholar] [CrossRef]
- Asif, M.; Mughal, A.H.; Lone, S.; Lone, F.A.; Dar, Z.M.; Malik, M.A.; Mir, A.H.; Sheikh, T.A.; Mir, S.A.; Ahanger, F.A.; et al. Influence of different strains of bio-inoculants on relative growth rate of blue pine and Himalayan cypress under temperate nursery conditions. J. Pharmacogn. Phytochem. 2018, 7, 2614–2616. [Google Scholar]
- Brown, M.E.; Carr, G.R. Interaction between Azotobacter chroococcum and vesicular arbuscular mycorrhizae and their effects on plant growth. J. Appl. Bacteriol. 1984, 56, 429–437. [Google Scholar] [CrossRef]
- Cai, N.H.; Tang, J.R.; Li, Y.Q.; Chen, S.; Chen, L.; Xu, Y.; Li, G.Q. Effect of plant growth regulators on root morphology of Pinus yunnanensis seedlings. J. Henan Agric. Univ. 2022, 56, 381–391. [Google Scholar]
- Santos, R.F.D.; Cruz, S.P.D.; Botelho, G.R.; Flores, A.V. Inoculation of Pinus taeda seedlings with plant growth-promoting rhizobacteria. Floresta e Ambiente. 2018, 25, e20160056. [Google Scholar] [CrossRef]
- Kilpeläinen, J.; Domisch, T.; Lehto, T.; Piirainen, S.; Silvennoinen, R.; Repo, T. Separating the effects of air and soil temperature on silver birch. Part I. Does soil temperature or resource competition determine the timing of root growth? Tree Physiol. 2022. [Google Scholar] [CrossRef] [PubMed]
- Bizos, G.; Papatheodorou, E.M.; Chatzistathis, T.; Ntalli, N.; Aschonitis, V.G.; Monokrousos, N. The role of microbial inoculants on plant protection, growth stimulation, and crop productivity of the olive tree (Olea europea L.). Plants 2020, 9, 743. [Google Scholar] [CrossRef]
- Henry, H.A.L.; Aarssen, L.W. Inter-and intraspecific relationships between shade tolerance and shade avoidance in temperate trees. Oikos 2001, 93, 477–487. [Google Scholar] [CrossRef]
- Lukatkin, A.S.; Zauralov, O.A. Exogenous growth regulators as a means of increasing the cold resistance of chilling-sensitive plants. Russ. Agric. Sci. 2009, 35, 384–386. [Google Scholar] [CrossRef]
- Wang, Y.; Wang, J.Y. Effect on cold resistance physiological indexes of manchurian ash seedling leaves under low-temperature stress by ABA. For. Eng. 2010, 26, 32–36. [Google Scholar]
- Hashem, A.; Tabassum, B.; Abd_Allah, E.F. Bacillus subtilis: A plant-growth promoting rhizobacterium that also impacts biotic stress. Saudi J. Biol. Sci. 2019, 26, 1291–1297. [Google Scholar] [CrossRef]
- Woo, O.G.; Kim, H.; Kim, J.S.; Keum, H.L.; Lee, K.C.; Sul, W.J.; Lee, J.H. Bacillus subtilis strain GOT9 confers enhanced tolerance to drought and salt stresses in Arabidopsis thaliana and Brassica campestris. Plant Physiol. Biochem. 2020, 148, 359–367. [Google Scholar] [CrossRef]
- Huang, Q.L.; Yuan, Z.S.; Jiang, T.Y.; Zhu, X.R.; Chen, R.Y.; Zhang, G.F. Effects of different microbial agents on the chlorophyll fluorescence parameters of Cinnamomum camphora. Prot. For. Sci. Technol. 2019, 63, 11–13. [Google Scholar]
- Garcia-Lemos, A.M.; Großkinsky, D.K.; Saleem Akhtar, S.; Nicolaisen, M.H.; Roitsch, T.; Nybroe, O.; Veierskov, B. Identification of root-associated bacteria that influence plant physiology, increase seed germination, or promote growth of the christmas tree species Abies nordmanniana. Front. Microbiol. 2020, 11, 566613. [Google Scholar]
- Zhu, L.X.; Wang, J.H.; Sun, Y.S.; Tang, X.T.; Geng, H. The soluble sugar and starch allocation characteristics after flowering developing in Platycodon grandiflorium. Acta Hortic. Sin. 2010, 37, 319–324. [Google Scholar]
- Song, X.; Peng, C.; Zhou, G.; Gu, H.; Li, Q.; Zhang, C. Dynamic allocation and transfer of non-structural carbohydrates, a possible mechanism for the explosive growth of Moso bamboo (Phyllostachys heterocycla). Sci. Rep. 2016, 6, 1–8. [Google Scholar] [CrossRef] [PubMed]
- Smith, M.G.; Miller, R.E.; Arndt, S.K.; Kasel, S.; Bennett, L.T. Whole-tree distribution and temporal variation of non-structural carbohydrates in broadleaf evergreen trees. Tree Physiol. 2018, 38, 570–581. [Google Scholar] [CrossRef] [PubMed]
- Yang, X.; Peng, J.; Zhang, M.M.; Zhang, Q.; Liu, X. Effects of foliar spraying of 6-BA on carbohydrate transfer and allocation of maize at the reproductive stage. J. Northwest Sci.-Tech. Univ. Agric. For. (Nat. Sci. Ed.) 2019, 47, 62–70. [Google Scholar]
- Hu, X.Q.; Sun, L.; Luo, S.G.; Liu, Y.Y. Effect of integrated nutrient management on accumulation and distribution of sugar and yield of soybean. J. Northeast Agric. Univ. (Chin. Ed.) 2011, 42, 8–12. [Google Scholar]
- Kong, J.; He, Z.; Chen, L.; Yang, R.; Du, J. Efficiency of biochar, nitrogen addition, and microbial agent amendments in remediation of soil properties and microbial community in Qilian Mountains mine soils. Ecol. Evol. 2021, 11, 9318–9331. [Google Scholar] [PubMed]
- Mengual, C.; Roldán, A.; Caravaca, F.; Schoebitz, M. Advantages of inoculation with immobilized rhizobacteria versus amendment with olive-mill waste in the afforestation of a semiarid area with Pinus halepensis Mill. Ecol. Eng. 2014, 73, 1–8. [Google Scholar]
- Yang, K.X.; Wang, H.; Liu, X.J.; Shi, X.Z.; Jia, T.H.; Gao, T.G. Effect of Bacillus Subtilis 8–32 on soil enzymes and microflora of potted soybean. Soybean Sci. 2018, 37, 762–768. [Google Scholar]
- Tejada, M.; Hernandez, M.T.; Garcia, C. Soil restoration using composted plant residues: Effects on soil properties. Soil Tillage Res. 2009, 102, 109–117. [Google Scholar] [CrossRef]
- Luo, L.; Zhao, C.; Wang, E.; Raza, A.; Yin, C. Bacillus amyloliquefaciens as an excellent agent for biofertilizer and biocontrol in agriculture: An overview for its mechanisms. Microbiol. Res. 2022, 259, 127016. [Google Scholar] [CrossRef]
- Vassilev, N.; Vassileva, M.; Nikolaeva, I. Simultaneous P-solubilizing and biocontrol activity of microorganisms: Potentials and future trends. Appl. Microbiol. Biotechnol. 2006, 71, 137–144. [Google Scholar]
Publisher’s Note: MDPI stays neutral with regard to jurisdictional claims in published maps and institutional affiliations. |
© 2022 by the authors. Licensee MDPI, Basel, Switzerland. This article is an open access article distributed under the terms and conditions of the Creative Commons Attribution (CC BY) license (https://creativecommons.org/licenses/by/4.0/).






