Online Measurement of Outline Size for Pinus densiflora Dimension Lumber: Maximizing Lumber Recovery by Minimizing Enclosure Rectangle Fitting Area
Abstract
1. Introduction
2. Materials and Methods
2.1. Materials
2.2. Methods
2.2.1. The Image Splicing
2.2.2. Object and Background Segmentation Algorithm
2.2.3. Dimensional Measurement Algorithm
2.2.4. The Size of Calibration
2.2.5. Statistical Analysis
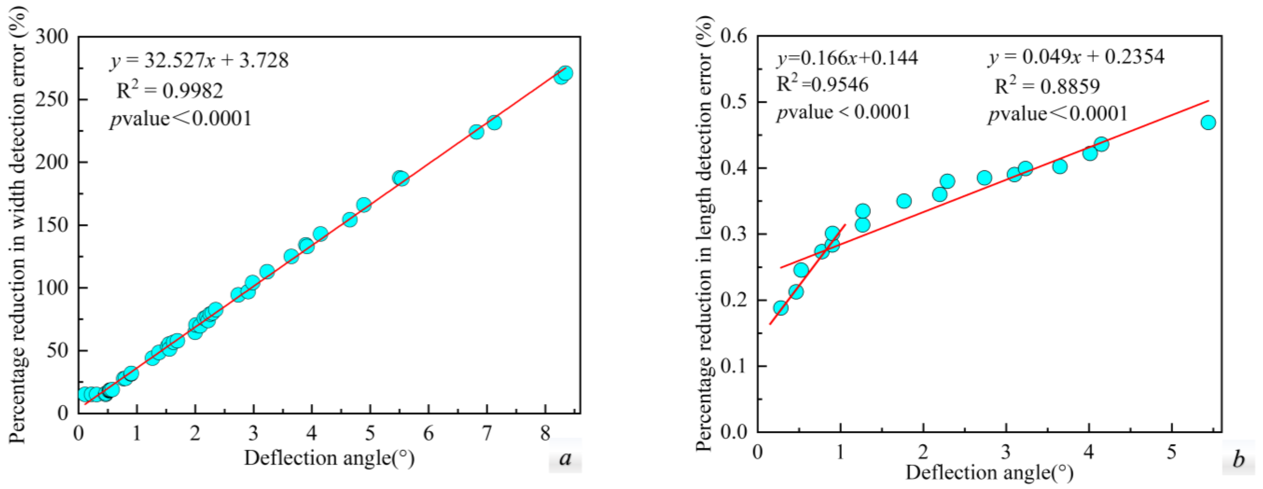
3. Results
3.1. Deflection Angle and Error
3.2. Numerical Analyses
4. Discussion
5. Conclusions
Author Contributions
Funding
Conflicts of Interest
References
- Seo, H.J.; Kim, N.K.; Jo, J.M.; Lee, M.C. Fire properties of pinus densiflora utilizing fire-retardant chemicals based on borate and phosphorus (II)–thermal and gas emission characteristics. BioResources 2018, 13, 5417–5427. [Google Scholar] [CrossRef]
- JiYoung, A.; JeiWan, L.; KyungNak, H. Genetic Diversity and Structure of Pinus densiflora Siebold & Zucc. Populations in Republic of Korea Based on Microsatellite Markers. Forests 2021, 12, 750–764. [Google Scholar]
- Park, J.; Kim, W.; Kim, W.; Park, C.; Choi, C.Y.; Cho, J.; Kim, S.; Cheong, H. Antihypertensive Effects of Dehydroabietic and 4-Epi-Trans-Communic Acid Isolated from Pinus densiflora. J. Med. Food 2021, 24, 50–58. [Google Scholar] [CrossRef] [PubMed]
- Lee, C.S.; Chun, Y.M.; Lee, H.; Pi, J.H.; Lim, C.H. Establishment, regeneration, and succession of Korean red pine (Pinus densiflora S. et Z.) Forest in Korea. In Conifers; IntechOpen: London, UK, 2018. [Google Scholar]
- Purusatama, B.D.; Kim, N.H. Cross-field pitting characteristics of compression, lateral, and opposite wood in the stem wood of Ginkgo biloba and Pinus densiflora. IAWA J. 2020, 41, 48–60. [Google Scholar] [CrossRef]
- Park, C.; Lee, U.; Kim, S.; Lee, K. The Relationship between Tree-Ring Growths of Pinus densiflora and Climate from Three Mountains in Central Region, the Republic of Korea. Atmosphere 2021, 12, 878. [Google Scholar] [CrossRef]
- Hyuk, J.J.; Min, L.; Min, L.S.; Bum, P.S. Formaldehyde Emission of Building Materials and Effect of Carbonized Board on Their Reduction. J. Korean Wood Sci. Technol. 2017, 45, 327–334. [Google Scholar]
- Kandler, G.; Lukacevic, M.; Füssl, J. An algorithm for the geometric reconstruction of knots within timber boards based on fibre angle measurements. Constr. Build. Mater. 2016, 124, 945–960. [Google Scholar] [CrossRef]
- Zhao, J.; Meng, Z.; Jin, Z.; Chen, D.; Wu, Y.; Zhang, W. Bending properties of bamboo scrimber with holes in different sizes and positions. Constr. Build. Mater. 2019, 200, 209–217. [Google Scholar] [CrossRef]
- Buck, R.A.; Buehlmann, U.; Thomas, R.E. ROMI-3.1 Least-Cost Lumber Grade Mix Solver Using Open Source Statistical Software. For. Prod. J. 2010, 60, 432–439. [Google Scholar] [CrossRef]
- Hu, J.; Song, W.; Zhang, W.; Zhao, Y.; Yilmaz, A. Deep learning for use in lumber classification tasks. Wood Sci. Technol. 2019, 53, 505–517. [Google Scholar] [CrossRef]
- Brunetti, M.; Burato, P.; Cremonini, C.; Negro, F.; Nocetti, M.; Zanuttini, R. Visual and machine grading of larch (Larix decidua Mill.) structural timber from the Italian Alps. Mater. Struct. 2016, 49, 2681–2688. [Google Scholar] [CrossRef]
- Yang, S.; Park, Y.; Chung, H.; Kim, H.; Park, S.; Choi, I.; Kwon, O.; Yeo, H. Soft Independent Modeling of Class Analogy for Classifying Lumber Species Using Their Near-infrared Spectra. J. Korean Wood Sci. Technol. 2019, 47, 101–109. [Google Scholar] [CrossRef]
- Funck, J.W.; Gaber, J.A.; Aslam, F. Using image analysis for lumber size control measurements. Ind. Metrol. 1992, 2, 237–252. [Google Scholar] [CrossRef]
- Ergün, B. An expert measurement system for photogrammetric industrial application. Measurement 2006, 39, 415–419. [Google Scholar] [CrossRef]
- Qiao, Y.; Tang, Y.; Li, J. Improved Harris sub-pixel corner detection algorithm for chessboard image. In Proceedings of the 2013 2nd International Conference on Measurement. Information and Control, Harbin, China, 16–18 August 2013; pp. 1408–1411. [Google Scholar]
- Sun, Z.; Xu, Z.P.; Wang, Y.Q. Control and compensation of perspective projection error analysis in machine vision measurement. Comput. Eng. Appl. 2018, 54, 266–270. [Google Scholar]
- Geng, L.; Yao, F.; Wang, W.; Xi, J.; Li, Y. Error compensation method of largre-size steel sheet measurement based on control field. J. Phys. Conf. Ser. 2019, 1213, 042025. [Google Scholar] [CrossRef]
- Duan, R.; Li, Q.; Li, Y.Y. Summary of image edge detection. Opt Tech 2005, 3, 415–419. [Google Scholar]
- Kumar Singh, R.; Shekhar, S.; Bhawan Singh, R.; Chauhan, V. A comparative study of edge detection techniques. Int. J. Comput. Appl. 2014, 100, 5–8. [Google Scholar]
- Prasad, R.; Suresh, S. A review on edge detection algorithms. IJMCA 2016, 4, 7–11. [Google Scholar]
- Wang, Z.W. Comparison research of capability of several detection operators for edge detection. Manuf Autom. 2012, 11, 6. [Google Scholar]
- Vijaya Kumar Reddy, R.; Prudvi Raju, K.; Jogendra Kumar, M.; RaviKumar, L.; Ravi Prakash, P.; Sai Kumar, S. Comparative analysis of common edge detection algorithms using pre-processing technique. Int. J. Electr. Comput. Eng. 2017, 7, 2574–2580. [Google Scholar] [CrossRef]
- Xie, X.; Ge, S.; Xie, M.; Hu, F.; Jiang, N. An improved industrial sub-pixel edge detection algorithm based on coarse and precise location. J. Ambient. Intell. Humaniz. Comput. 2020, 11, 2061–2070. [Google Scholar] [CrossRef]
- Chen, Q.C.; Hou, Y.Q.; Tan, Q.C. A subpixel edge detection method based on an arctangent edge model. Optik 2016, 127, 5702–5710. [Google Scholar]
- Wang, Y.; Zhang, W.; Gao, R.; Jin, Z.; Wang, X. Recent advances in the application of deep learning methods to forestry. Wood Sci. Technol. 2021, 55, 1171–1202. [Google Scholar] [CrossRef]
- Shi, J.; Sun, Z.; Bai, S. Large-scale three-dimensional measurement via combining 3D scanner and laser rangefinder. Appl. Opt. 2015, 54, 2814–2823. [Google Scholar] [CrossRef]
- Liang, J.; Gu, X. Development and application of a non-destructive pavement testing system based on linear structured light three-dimensional measurement. Constr. Build. Mater. 2020, 260, 119919. [Google Scholar] [CrossRef]
- Wang, J.; Zhou, Y.; Yang, Y. A novel and fast three-dimensional measurement technology for the objects surface with non-uniform reflection. Results Phys. 2020, 16, 102878. [Google Scholar] [CrossRef]
- Gao, Y.; Cheng, T.; Su, Y.; Xu, X.; Zhang, Y.; Zhang, Q. High-efficiency and high-accuracy digital image correlation for three-dimensional measurement. Opt. Lasers Eng. 2015, 65, 73–80. [Google Scholar] [CrossRef]
- Purusatama, B.D.; Choi, J.K.; Lee, S.H.; Kim, N.H. Microfibril angle, crystalline characteristics, and chemical compounds of reaction wood in stem wood of Pinus densiflora. Wood Sci. Technol. 2020, 54, 123–137. [Google Scholar] [CrossRef]
- EN 14081-1:2005 + A1:2011; Timber Structures—Strength Graded Structural Timber with Rectangular Cross Section—Part 1: General Requirements. National Standards Authority of Ireland: Glasnevin, Ireland, 2011.
- EN 1912; Structural Timber—Strength Classes—Assignment of Visual Grades and Species. European Committee for Standardization (CEN): Brussels, Belgium, 2012.
- DIN 4074-1; Sortierung von Holz nach der Tragfa ¨higkeit—Teil 1: Nadelschnittholz. Deutsches Institut Fur Normung E.V.: Berlin, Germany, 2012.
- Hui, B.; Wen, G.; Zhao, Z.; Li, D. Line-scan camera calibration in close-range photogrammetry. Opt. Eng. 2012, 51, 053602. [Google Scholar] [CrossRef]
- Kim, J.; Ahn, S.; Jeon, J.W.; Byun, J. A high-speed high-resolution vision system for the inspection of TFT LCD, ISIE 2001. In Proceedings of the ISIE 2001. 2001 IEEE International Symposium on Industrial Electronics Proceedings (Cat. No. 01TH8570), Pusan, Korea, 12–16 June 2001; Volume 1, pp. 101–105. [Google Scholar]
- Wang, H. Implementing of microscopic images mosaic revising algorithm. Graph. Signal Process. 2011, 3, 56–63. [Google Scholar] [CrossRef]
- Deng, L.; Li, J.; Han, Z. Online defect detection and automatic grading of carrots using computer vision combined with deep learning methods. LWT 2021, 149, 111832. [Google Scholar] [CrossRef]
- Sun, W.-H.; Yeh, S.-S. Using the Machine Vision Method to Develop an On-machine Insert Condition Monitoring System for Computer Numerical Control Turning Machine Tools. Materials 2018, 11, 1977. [Google Scholar] [CrossRef]
- Pahlberg, T.; Hagman, O.; Thurley, M. Recognition of boards using wood fingerprints based on a fusion of feature detection methods. Comput. Electron. Agric. 2015, 111, 164–173. [Google Scholar]
- Xu, J.; Wu, X.; Liu, H.; Zhang, M. An optimization algorithm based on no-fit polygon method and hybrid heuristic strategy for irregular nesting problem. In Proceedings of the 2017 36th Chinese Control Conference (CCC), Dalian, China, 26–28 July 2017; Volume 36, pp. 2858–2863. [Google Scholar]
- Rao, Y.; Wang, P.; Luo, Q. Hybridizing Beam Search with Tabu Search for the Irregular Packing Problem. Math. Probl. Eng. 2021, 2021, 5054916. [Google Scholar]
- Wiedensohler, A.; Wiesner, A.; Weinhold, K.; Birmili, W.; Hermann, M.; Merkel, M.; Müller, T.; Pfeifer, S.; Schmidt, A.; Tuch, T.; et al. Mobility particle size spectrometers: Calibration procedures and measurement uncertainties. Aerosol Sci. Technol. 2018, 52, 146–164. [Google Scholar]
- Wells, L.; Gazo, R.; Del Re, R.; Krs, V.; Benes, B. Defect detection performance of automated hardwood lumber grading system. Comput. Electron. Agric. 2018, 155, 487–495. [Google Scholar] [CrossRef]
- Zhang, Z.; Liu, C.; Hu, F.; You, Y.; Hu, W.; Zhang, X. Are Both Preoperative Full-Spine 3Dimensional Computed Tomography Scans and X-ray Films Necessary for Patients with Ankylosing Spondylitis Kyphosis? Orthop. Surg. 2022, 5. [Google Scholar] [CrossRef]
- Zhang, S. High-speed 3D shape measurement with structured light methods: A review. Opt. Lasers Eng. 2018, 106, 119–131. [Google Scholar] [CrossRef]
- Wood, T.; Ramakrishnan, K.K.; Shenoy, P.; van der Merwe, J. CloudNet: Dynamic pooling of cloud resources by live WAN migration of virtual machines. ACM Sigplan Not. 2011, 46, 121–132. [Google Scholar]
- Peng, M.; Ho, Y.; Wang, W.; Chui, Y.H.; Gong, M. Measurement of wood shrinkage in jack pine using three dimensional digital image correlation (DIC). Holzforschung 2012, 66, 639–643. [Google Scholar] [CrossRef]
- Tu, Y.; Ling, Z.; Guo, S.; Wen, H. An Accurate and Real-Time Surface Defects Detection Method for Sawn Lumber. IEEE Trans. Instrum. Meas. 2021, 70, 1–11. [Google Scholar] [CrossRef]
- Zeng, Y.; Xiang, H.; Zheng, N.; Cao, X.; Wang, N.; Wang, Z.L. Flexible triboelectric nanogenerator for human motion tracking and gesture recognition. Nano Energy 2022, 91, 106601. [Google Scholar] [CrossRef]










| Deflection Angle/° | Measured Length/mm | Measured Width/mm | Measured Circumference/mm | Measured Area/mm2 |
|---|---|---|---|---|
| 0.28 | 460.011 | 50.004 | 1033.770 | 22,835.733 |
| 1.27 | 460.104 | 50.007 | 1030.701 | 22,798.58 |
| 2.29 | 460.155 | 50.009 | 1051.271 | 23,038.381 |
| 3.10 | 460.207 | 50.012 | 1047.036 | 22,681.396 |
| 4.15 | 460.258 | 50.018 | 1041.482 | 22,663.985 |
| 5.44 | 460.309 | 50.023 | 1060.413 | 22,861.272 |
| Deflection Angle/° | Size | rBias (before Rotation)/% | rBias (after Rotation)/% | rRMSE (before Rotation)/% | rRMSE (after Rotation)/% | Percentage Reduction in Error/% |
|---|---|---|---|---|---|---|
| 0.28 | length | 0.190 | 0.002 | 0.134 | 0.002 | 0.188 |
| width | 15.457 | 0.007 | 10.930 | 0.005 | 15.450 | |
| 1.27 | length | 0.358 | 0.023 | 0.253 | 0.016 | 0.335 |
| width | 49.415 | 0.014 | 34.941 | 0.010 | 49.400 | |
| 2.29 | length | 0.413 | 0.034 | 0.292 | 0.024 | 0.380 |
| width | 85.480 | 0.019 | 60.444 | 0.013 | 85.461 | |
| 3.10 | length | 0.436 | 0.045 | 0.308 | 0.032 | 0.390 |
| width | 127.400 | 0.023 | 90.086 | 0.017 | 127.377 | |
| 4.15 | length | 0.492 | 0.056 | 0.348 | 0.040 | 0.436 |
| width | 157.611 | 0.035 | 111.448 | 0.025 | 157.576 | |
| 5.44 | length | 0.536 | 0.067 | 0.379 | 0.048 | 0.469 |
| width | 191.569 | 0.047 | 135.460 | 0.033 | 191.522 |
| Samples | Measured Length/mm | Measured Width/mm | Measured Circumference/mm | Measured Area/mm2 |
|---|---|---|---|---|
| 1 | 3987.349 | 149.659 | 8992.908 | 566,763.835 |
| 2 | 3985.543 | 149.725 | 8738.467 | 565,252.826 |
| 3 | 3984.150 | 150.601 | 8625.958 | 566,452.072 |
| 4 | 3984.746 | 150.083 | 8622.971 | 563,868.548 |
| 5 | 3984.135 | 150.799 | 8674.624 | 564,118.942 |
| 6 | 3983.736 | 150.327 | 8958.893 | 569,050.205 |
| Samples | Size | Bias/mm | rBias/% | RMSE/mm | rRMSE/% |
|---|---|---|---|---|---|
| 1 | length | 2.016 | 0.051 | 1.425 | 0.036 |
| width | 0.008 | 0.005 | 0.005 | 0.004 | |
| 2 | length | 0.623 | 0.016 | 0.441 | 0.011 |
| width | 0.058 | 0.039 | 0.041 | 0.028 | |
| 3 | length | 1.017 | 0.026 | 0.719 | 0.018 |
| width | 0.101 | 0.067 | 0.071 | 0.047 | |
| 4 | length | 0.421 | 0.011 | 0.297 | 0.007 |
| width | 0.083 | 0.055 | 0.058 | 0.039 | |
| 5 | length | 1.532 | 0.038 | 1.083 | 0.027 |
| width | −0.034 | 0.023 | 0.024 | 0.016 | |
| 6 | length | 1.764 | 0.044 | 1.247 | 0.031 |
| width | −0.007 | 0.004 | 0.004 | 0.003 |
Publisher’s Note: MDPI stays neutral with regard to jurisdictional claims in published maps and institutional affiliations. |
© 2022 by the authors. Licensee MDPI, Basel, Switzerland. This article is an open access article distributed under the terms and conditions of the Creative Commons Attribution (CC BY) license (https://creativecommons.org/licenses/by/4.0/).
Share and Cite
Ji, M.; Zhang, W.; Wang, G.; Wang, Y.; Miao, H. Online Measurement of Outline Size for Pinus densiflora Dimension Lumber: Maximizing Lumber Recovery by Minimizing Enclosure Rectangle Fitting Area. Forests 2022, 13, 1627. https://doi.org/10.3390/f13101627
Ji M, Zhang W, Wang G, Wang Y, Miao H. Online Measurement of Outline Size for Pinus densiflora Dimension Lumber: Maximizing Lumber Recovery by Minimizing Enclosure Rectangle Fitting Area. Forests. 2022; 13(10):1627. https://doi.org/10.3390/f13101627
Chicago/Turabian StyleJi, Min, Wei Zhang, Guofu Wang, Yong Wang, and Hu Miao. 2022. "Online Measurement of Outline Size for Pinus densiflora Dimension Lumber: Maximizing Lumber Recovery by Minimizing Enclosure Rectangle Fitting Area" Forests 13, no. 10: 1627. https://doi.org/10.3390/f13101627
APA StyleJi, M., Zhang, W., Wang, G., Wang, Y., & Miao, H. (2022). Online Measurement of Outline Size for Pinus densiflora Dimension Lumber: Maximizing Lumber Recovery by Minimizing Enclosure Rectangle Fitting Area. Forests, 13(10), 1627. https://doi.org/10.3390/f13101627
