Abstract
In recent years, bio-based wood adhesives have gained an increased industrial and research interest as an environmentally friendly and renewable alternative to the commercial petroleum-based synthetic adhesives used in the wood-based industry. Due to its renewability, abundance, relatively low price, and good adhesion properties, starch is a promising natural feedstock for synthesizing bio-based adhesives for wood-based composites. This review aims to summarize the recent advances in developing sustainable starch-based wood adhesives for manufacturing non-toxic, low-emission wood composites with enhanced properties and lower environmental impact. Recent developments in starch modification, physical, and enzymatic treatments applied to improve the performance of starch-based wood adhesives, mainly in terms of improving their water resistance and bonding strength, are also outlined and discussed.
1. Introduction
Starch is an abundant natural polymer and the cheapest industrially available carbohydrate. In recent years, it has attracted an increased commercial and research interest for its potential in a wide range of value-added applications, including papermaking, food processing, cosmetics, pharmaceutical products, additives, and industrial adhesives, due to its annual renewability, relatively low price, and good adhesion characteristics [1,2,3,4]. Starch is the mixture of two distinct polysaccharide fractions of amylose and amylopectin, which both are made out of glucose of various sizes and shapes [5,6]. The proportions of these components differ according to the starch botanical origin and subsequently affect adhesives properties. The glucan structure of amylose is linear and relatively long, made out of roughly close to 100% (1→4)- α-linkages and some (1→6)- α-linkages [6,7]. The degree of polymerization (DP) of amylose is around 500–5000, with the molecular weight around 105–106 Da. There are about 9–20 branches per molecule in the amylose structure, and each branch chain has 200–700 units of glucose. Meanwhile, amylopectin is a polysaccharide that has numerous branches consisting of (1→4)-α-linkages (95%) and (1→6)-α-linkages (5%–6%). Amylopectin has a DP that varies around 9600–15,900, with a molecular weight of 107–109 Da. Amylopectin molecular chain is shorter compared to amylose, consisting of 18–25 units of glucose (Figure 1) [6,7,8].
Figure 1.
Illustration of amylose and amylopectin structures [8].
Morphologically, the starch granule is a combination of amylose and amylopectin, forming amorphous regions in semi-crystalline regions through hydrogen bonds between molecules (Figure 2) [9]. The crystalline part hinders the water or any chemical components from penetrating the starch structure and causes lower reactivity and a higher gelation temperature [9]. Therefore, some modifications to the starch crystalline part or decreasing the crystalline size has been recommended. Certain modifications have been propounded to reduce the crystallinity of starch, including chemical (esterification, oxidation, cationization, and etherification), physical (heat-moisture treatment, mechanical activation, ultrasonic degradation, and microwave exposure), and enzymatic treatment [2,10,11,12].
Figure 2.
Starch structure illustration form to the unit of glucosyl; black lines represent the branched part and double helices of amylopectin, while green lines represent the single helices of amylose, and the double helices in an A-type or B-type polymorphic crystal from the top view are indicated by circles [9].
The objective of this paper is to present a comprehensive review of the recent advances in the field of starch-based wood adhesives used for manufacturing high-performance, environmentally friendly wood-based composites. The main challenges and future perspectives of using starch as a natural feedstock to develop bio-based wood adhesives have also been outlined.
2. Historical Overview
Starch, a renewable, abundant, and inexpensive biopolymer has always been considered one of the most valuable materials used in many applications [2,4,13,14,15]. Early starch uses can be seen on Egyptian papyrus strips, dated to the pre-dynastic period (3500–4000 BC) and adhered together using a starch adhesive [16,17,18]. The historian and philosopher Gaius Plinius Secundus described documents of 130 BC that were created by smoothing the surface of papyrus by sizing it with modified wheat starch. Finely milled wheat flour was used to make the adhesive, then heated with a diluted vinegar solution. Papyrus strips were coated with adhesive and hammered with a mallet, and additional strips were laid over the edges to create a wider sheet. Chinese paper documents, dated about 312 AD, are reported to contain starch [16,17,18]. Chinese documents were later coated with high viscosity starch to provide resistance to ink absorption and then topped with powdered starch to give more weight and thickness. At that time, a starch made from rice, wheat, and barley was regularly used. Dutch starch was thought to be of great quality throughout the Middle Ages when wheat starch production in the Netherlands became a significant industry. In the early fourteenth century, starch was introduced to stiffen linen in Northern Europe. Coloured and uncoloured starches were used as cosmetics. Uncoloured starch was used particularly as a hair powder. Before Queen Elizabeth banned its use in 1596, blue starch was used by the Puritans. Yellow starch was fashionable until a notorious woman prisoner was publicly executed wearing a bright yellow-starched ruffle. Red starch cosmetics have stayed in fashion for many years [16].
In addition, in 214 BC, Emperor Qin Shihuang of the Qin Dynasty started to use a special concoction to construct the Great Wall of China. The concoction was prepared by boiling a large amount of glutinous rice into a thick soup, mixed with soil, wood, and other materials and spread layer by layer, thus forming an ancient “concrete” structure. It is a super-strong mortar made from sticky rice. Markedly, the archaeological evidence suggests that sticky rice-lime mortar had already reached a mature stage of development by the time of the South-North Dynasty (386–589 AD). Because of its excellent performance, the sticky rice-lime mortar was widely used to construct many significant buildings, including tombs, city walls, and water resource facilities. The resilience of the sticky rice mortar can be attributed to amylopectin, a polysaccharide typically found in rice and other starchy foods [19].
As starch became a more significant industrial commodity, extensive research on its modification was carried out. This included Kirchoff’s great discovery in 1811 that the acid-catalyzed hydrolysis of potato starch could produce sugars. Then, the torrefaction methods for producing dextrins, now termed British gums, were accidentally discovered in 1826 after a fire in a Dublin textile factory that used starch as a size. After the blaze was extinguished, a worker noted that some of the heated starch was turned dark and could quickly dissolve in water to create a thick adhesive paste. The new starch was subjected to another roasting, and the resultant product demonstrated the previously noted advantageous characteristics. Thus, heat dextrinization became known and later developed into wider use [20,21].
The first wheat starch plant in America was founded by Gilbert at Utica, New York, in 1807 and later converted into a corn starch-producing factory. In 1842, the shift from wheat to corn starch began with the development of a manufacturing process in which crude corn starch was purified by alkaline treatment [16,22]. The manufacture of potato starch began in 1820 in Hillsborough County, New Hampshire. The utilization of potato starch increased quickly, and by 1895, there were sixty-four factories in operation, forty-four of which were located in Maine. During approximately 3 months of operation, they produce 24 million pounds of starch annually. Most of them are sold to the textile industry. Rice starch manufacture was begun in 1815 using the caustic treatment of rice.
Nevertheless, the production did not rise considerably and most of the later used rice starch was imported [16,20]. By 1890, the number of starch plants in America had risen to eighty; 240 million pounds of starch are produced annually. The National Starch Company of New Jersey was established in 1902 due to a merger between the United Starch Company and the National Starch Manufacturing Company. The Corn Products Company, which processes 1800 tons per day and accounts for 80% of the corn starch market, was formed by a union of the National Starch Company of New Jersey, the Illinois Sugar Refining Company, the Glucose Sugar Refining Company, and the Charles Pope Glucose Company [16,20,21,22].
About 77% of the starch utilized globally and 95% in the U.S. comes from corn [22]. In 1995, the United States consumed around 3.6 × 109 kg of corn starch, with a 2% annual growth rate [7,23]. This amounts to around 3% of the corn produced annually in the United States. During the past decade, corn starch has averaged 0.2–0.3 USD/kg. However, due to 1995’s poor weather and the subsequent high export demand, prices were higher in that year. In the United States, potato starch prices are about 0.65 USD/kg and are mostly imported from Europe. There are numerous starches produced that have been engineered by chemical, physical, or genetic methods to suit the needs of various industrial uses better. The price of starch in 2021 was roughly 0.25 to 2.20 USD/kg [24].
3. Sources of Starch
Most plants synthesize starch, a polysaccharide, to store energy [5,6]. It is kept within cells as spherical granules that range in size from 2 to 100 μm [16,20]. Most starches sold in markets come from tubers, such as potatoes, tapioca and cereals, such as corn and wheat. These grains and tubers have a high starch content, often between 60 and 90% of their dry weight [16]. The development of commercial techniques for the recovery of corn starch was naturally prompted by the high starch content of corn, its ability to be stored from one season to another, and its ready availability at steady and comparatively low prices. Beginning with the early 19th century, when the recovery of corn starch was first discovered by crushing soaked grains, the procedure progressively improved into the highly advanced automated procedure used today, which results in a variety of beneficial culinary and industrial products. Much of the early expansion of the corn starch industry was encouraged by mechanical innovation created during full-scale operations [23,25]. Today, rigorous pilot plant assessments, engineering studies, and research are more frequently followed by process and product enhancements.
Starch is mostly derived from corn, wheat, sweet potatoes, cassava, and potatoes, while rice, barley, sorghum, and other grains are minor sources in various regions of the world [26]. About 98%–99% of the dry weight of starch composition includes amylose and amylopectin, and the rest includes a small amount of damaged starch, enzymes, lipids, proteins, ashes, minerals, and phosphorus [6,7,27].
Cassava (Manihot utilissima Pohl) is commonly cultivated in tropical climates, while potatoes, wheat, and corn are often grown in temperate climates [23]. Manufacturing plants for cassava starch are located near the root growing areas to minimize transport costs and get the shortest tuber processing time. The roots delivered to the factory are stored in concrete or wooden bunkers. Strict supervision of bunker filling and emptying must be carried out to ensure that the first harvested roots are consumed first. The roots are typically transported to a washing station by a belt conveyor. After washing, the outer skin is removed. The cortex is not eliminated because it has some stable starch in modern processes. Usually, the washer is a U-formed box with paddles that convey the roots to the peeler. The roots are stripped by the abrasion of one against another and against the walls and paddles of the machine. All cell walls must be ruptured to recover the starch. This has been done occasionally by mild fermentation followed by grinding into a pulp and the starch recovered by screening and washing or centrifugation. The fermentation process does not produce good starch yields, and the starch quality is generally inferior [11,14,28,29,30,31,32].
Rice (Oryza sativa L.) is the main diet of South, East, and Southeast Asia, wherein 90% of the rice crop in the world is grown and consumed [16,20]. Because brewer’s rice is more expensive than other cereals and tubers, its use in the commercial manufacture of starches is limited. In the European Economic Community, only 7000 tons of rice starches are produced annually in Belgium, Germany, The Netherlands, and Italy factories. Factories in Egypt and Syria also produce rice starch, but it has not been produced in the United States since 1943 [16,20]. Since most milled rice protein is an alkali-soluble protein known as glutelin, sodium hydroxide is employed to purify the rice starch [33,34]. Hogan has documented the commercial production of rice starch, and little has changed since the 1960s [16,20]. The step includes soaking rice in 0.3%–0.5% sodium hydroxide solution, wet milling, removing cell walls, extracting the protein with sodium hydroxide solution, washing, and drying. An initial cleaning removes trash and filth. The process of soaking softens the grain and helps extract the protein. The soaking period is typically 24 h, and the temperature ranges from ambient to 50 °C. Because dry milling causes more severe starch degradation and causes more starch to dissolve in alkali, wet grinding is preferred.
Starch and gluten are significant and valuable co-products when wheat flour is wet processed [25,26,35,36,37]. These products are moving into a new stage of development, mostly due to the abundance of value-added goods being offered because of their sustainability. Large-granule starch, resistant starch, low-moisture starch, cook-up, and pre-gelatinized forms of untreated starch are the products provided on the wheat starch market for usage in food and industry [38,39]. There are six common methods for separating wheat starch and gluten: batter, dough, aqueous dispersion, non-aqueous separation, wet-milling of kernels, and chemical dispersion [16,20,35,36,40,41]. Due to the low quality of the product, high running costs, effluent issues, and ineffectiveness, the latter three methods are not used [20].
The total potato starch production is smaller than the corn starch produced worldwide. Potato starch production was estimated to be only 2.5 million tons per year, whereas corn starch reached 45.8 million tons/year in 2005 [16,20,22,42]. Potatoes should have the most starch possible to produce potato starch effectively. Hence, only specific kinds of industrial potatoes are employed in current potato starch manufacturers in Europe. These potatoes are not eaten as food because they are not particularly palatable due to their high starch content. In Europe, potatoes are collected and processed between August and April; this time frame is known as the starch campaign. Culled food potatoes are typically not used because they have a low content of dry matter, and the starch granules are reasonably small [20], which are more challenging to process. Food potatoes may occasionally be processed in between European starch campaigns when the food potato price is low, owing to excess production. On a limited scale, reclaimed potato starch is processed in Europe and North America from the process waters of other potato processing companies, such as the manufacturers of French fries, chips/crisps, and potato puree [16,20,22,42].
4. Starch-Based Wood Adhesives
Starch is an inexpensive material with good adhesive and film-forming properties and represents a promising candidate for developing bio-based wood adhesives [2,3,36,43,44,45]. As shown in Figure 3, starch-based adhesives are typically composed of four main constituents [1,17,37]. Although starch can be utilized to make bio-based adhesives, its bonding capacity is based on hydrogen-bonding forces, which are considerably weaker than chemical bonds. Additionally, starch-based adhesives have a low water resistance due to their ease in forming hydrogen bonds with water molecules. Hence, starch modification is required to improve the functionality of starch-based adhesives by enhancing the molecular structure and viscosity of the adhesive [16,33,46,47,48]. Different starch-based wood adhesives, such as lignin-starch [4,45,49,50,51], protein-starch [37,52,53], tannin-starch [54,55], starch-polyvinyl alcohol (PVOH) [3,56,57,58], and starch-isocyanate [59,60,61,62,63], have been explored by several studies. Chemical, physical, and enzymatic treatments are among the most popular strategies to improve the properties of starch-based adhesives [64,65].
Figure 3.
Four main constituents of starch-based adhesives [1,17,37].
4.1. Chemical Treatments
The qualities of the starch-based adhesive have been improved recently using a variety of starch modification techniques, such as acid hydrolysis [66,67,68]; silane coupling agent [12,69,70,71]; heat pretreatment [1,16,72]; the addition of nanoparticles, such as nanosilica and nanoclay [73,74,75]; sodium dodecyl sulfate (SDS) [14,76,77]; and dodecyl succinic anhydride (DDSA) [2,78,79,80].
As presented in Table 1, acid hydrolysis is among the most prevalent modification methods of starch. Acid hydrolysis significantly influences the amylose component of starch [66,68]. Amylose content greatly affects the structural and functional characteristics of starch. Amylose consists of linear chains that can form strong inter-chain linkages and, therefore, play a vital role in bestowing good water resistance to wood-based composites. In addition, acid hydrolysis could make the modified starch molecules react more readily with grafting monomers by destroying hydrogen bonds and altering starch’s crystallinity [67].
Further, acid hydrolysis reduced the viscosity of the wood adhesive from corn starch. Meanwhile, both shear strength in the dry and wet state improved from acid hydrolysis. However, the shear strength decreased beyond 2 h of acid hydrolysis duration [66,67,68,81,82,83].
Table 1.
Effects of various modification methods on the shear strength of starch-based wood adhesives.
Table 1.
Effects of various modification methods on the shear strength of starch-based wood adhesives.
| Treatment | Strength (MPa) | Reference |
|---|---|---|
| Acid hydrolysis Dissolved in hydrochloric acid (HCI) and stirred at 60 °C (0, 0.5, 1, 1.5, 2, 2.5, and 3 h) | Tensile shear strength Dry state—1.21 MPa (0 h) to 6.65 MPa (2 h) Wet state (23 °C)—0.8 MPa (0 h) to 3.6 MPa (2 h) | [66] |
| Silane coupling agent γ-Methacryloxypropyltrimethoxysilane (KH570) (0%–10%) | Tensile shear strength Dry state—5.5 MPa (0%) to 6.7 MPa (6%) Wet state (30 °C)—2.2 MPa (0%) to 2.6 MPa (4%) | [84] |
| Oxidation Hydrogen peroxide (3%–15%) olefin monomer (0%–5%) | Tensile shear strength Dry state—4.43 MPa (3%) to 7.88 MPa (9%) Wet state (30 °C)—0.76 MPa (3%) to 4.09 MPa (9%) Dry state—3.28 MPa (0%) to 7.30 MPa (3%) Wet state (30 °C)—1.40 MPa (0%) to 4.22 MPa (3%) | [85,86] |
| Heat pretreatment 70, 80, and 90 °C | Tensile shear strength Dry state—8.63 MPa (control) to 10.17 MPa (90 °C) | [87] |
| Silica nanoparticles (0%–10%) | Tensile shear strength Dry state—3.41 MPa (1%) to 5.12 MPa (10%) Wet state (23 °C)—1.62 MPa (1%) to 2.98 MPa (10%) | [88] |
| Montmorillonite (MMT, 0%–9%) | Tensile shear strength Dry state—5.60 MPa (0%) to 10.60 MPa (5%) Wet state (23 °C)—1.7 MPa (0%) to 3.9 MPa (3%) | [89] |
| Anionic surfactant—Sodium dodecyl sulfate (SDS, 0%–2%) | Tensile shear strength Dry state—5.5 MPa (2%) to 6.3 MPa (0%) | [76] |
| Esterification and polyisocyanate pre-polymer crosslinking(0%–20% prepolymer) | Block shear strength Dry state—2.3 MPa (0%) to ~12.0 MPa (10%) Wet state (30 °C) ~0 MPa (0%) to 4.0 MPa (10%) | [13] |
| Esterification with dodecenyl succinic anhydride (DDSA, 0%–8%) | Tensile shear strength Dry state—1.51 MPa (0%) to 2.61 MPa (2%) Wet state (63 °C)—0.58 MPa (0%) to 1.0 MPa (6%) | [78] |
Another alternative way to improve starch properties is by oxidation. Oxidized starch (OS) can be prepared by treatment with hydrogen peroxide (H2O2) [90,91,92]. Nevertheless, the OS-based adhesive has inferior water resistance and bonding strength. Several additives, such as urea [93], sodium dodecyl sulfate [70], olefin monomer [1], silane coupling agent [84], and isocyanates [59,94], have been introduced to the OS during the preparation of wood adhesive. The prepared OS-based adhesive displayed markedly increased water resistance and bonding strength. The study found that starch-based wood adhesives with superior water resistance and bonding strength can be developed through graft copolymerization of oxidized starch with an olefin monomer and a coupling agent [70,95]. The OS-based wood adhesive’s dry and wet shear strength is enhanced with the addition of olefin monomer, which acts as an oxidant. At 3% oxidant, the highest wood adhesive’s starch-based shear strength was recorded. However, shear strength reduced as the oxidant content raised from 3% to 5%. On the other hand, coupling agent content also significantly affects wood adhesive’s starch-based shear strength. When coupling agent content was expanded from 3 to 9%, the starch-based adhesive’s dry and wet shear strength increased considerably but started to drop when more than 9% coupling agent was added [70,95]. A similar study was also made by Chen et al. [84], where the addition of 6% and 4% silane coupling agent, γ-Methacryloxypropyltrimethoxysilane (KH570), recorded maximum dry shear strength and wet shear strength, respectively.
A series of works have been done to enhance the performance of starch-based wood adhesives. Ammonium persulfate was employed as an initiator in the preparation of starch-based wood adhesive using vinyl acetate grafted starch [14,96]. Unfortunately, the produced adhesive has inferior performance due to its poor mobility and storage stability due to starch retrogradation. On that account, a surfactant, such as sodium dodecyl sulfate (SDS), was added to inhibit starch retrogradation [3,58,76]. Adding SDS improved the adhesive’s storage stability and mobility (Figure 4). However, the shear strength of the starch-based adhesive was adversely impacted, where the shear strength dropped from 6.3 MPa to 5.5 MPa when 2% SDS was added [76]. Therefore, nanoclay, montmorillonite (MMT), has been added to compensate for the negative effects of SDS on the starch-based wood adhesive [3,89]. The findings proved the addition of MMT promising, as the dry shear strength of starch-based adhesive almost doubled when 5% MMT was added. Owing to the strengthening effects of nanoparticles on the molecular structure of starch adhesive, the incorporation of nanoparticles has been widely adopted to improve the performance of the starch-based wood adhesive. Silica nanoparticles have been used as a reinforcing agent for vinyl acetate (VAc) grafted starch in the production of starch-based wood adhesive [97]. The results revealed that adding 10% silica nanoparticles has increased the dry shear strength and wet shear strength of starch-based wood adhesive by 50% and 84%, respectively.
Figure 4.
Schematic of the starch-based wood adhesive’s amylose-SDS complexes: (a) without and (b) with SDS [76].
Better water resistance and higher bonding strength of starch-based wood adhesives can be achieved by combining starch with other components, e.g., PVOH [3,56,57,58], isocyanates [61,62,63,98], formaldehyde [12,60,99,100], and tannins [54,101,102]. According to several research works, vinyl acetate was grafted onto starch using ammonium persulfate as an initiator to create starch-based adhesives [14,96,97]. The studies demonstrated that graft efficiency significantly affected the bonding performance of the starch-based adhesive. Markedly, a high amylose content starch-based wood adhesive is identified by improved mechanical and water-resistance properties, which are necessary for bonding wood composites in actual applications [103,104].
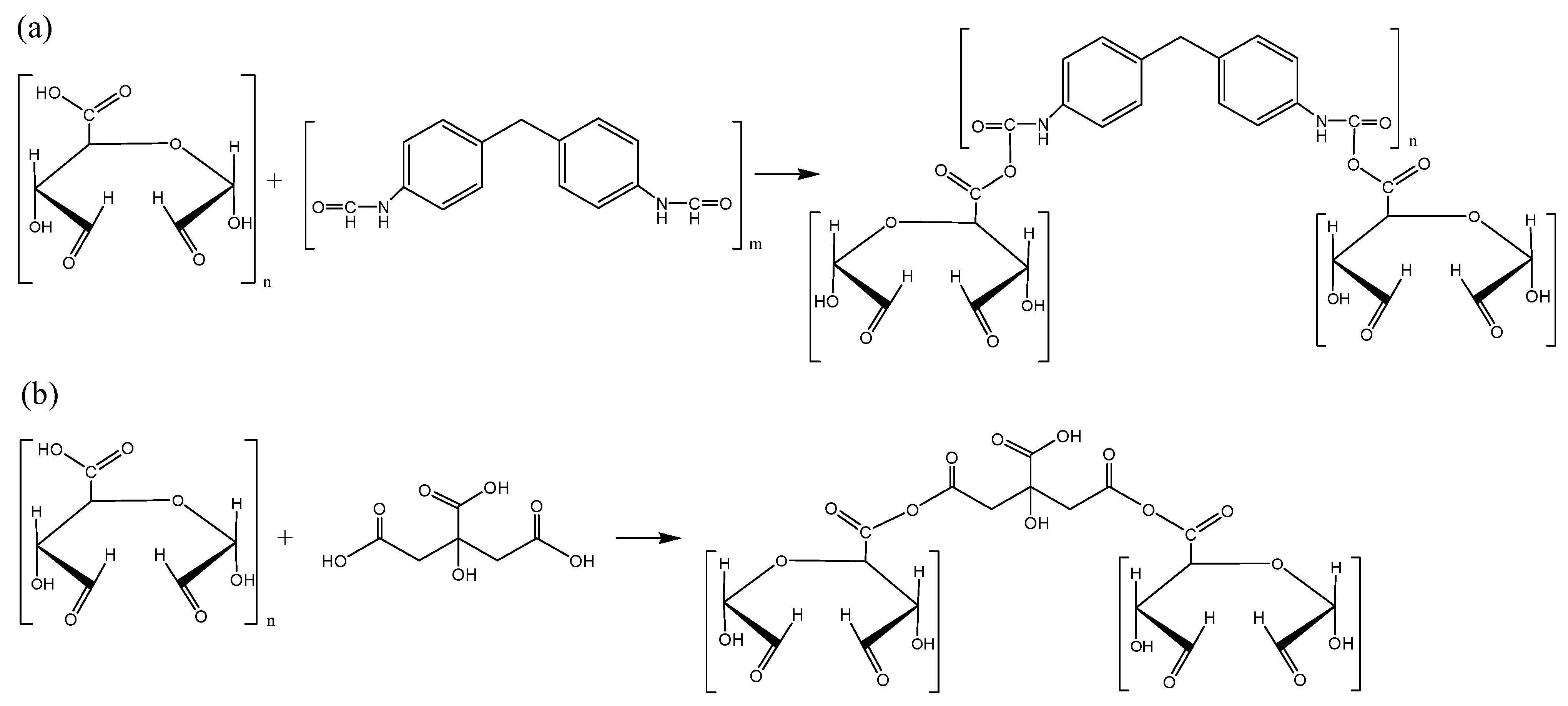
The hydroxyl groups on C2, C3, and C6 positions in each glucose unit of starch can form hydrogen bonding. The main techniques applied for the chemical modification of starch are presented in Figure 5 [8,83,105,106]. To increase the hydrophobicity of starch, a common chemical modification called esterification transforms hydroxyl groups into esters. The degree of esterification (DS) and the chain length of the esterification agent determine the esterified starch’s water absorptivity and solubility. As depicted in Figure 6, maleic anhydride (MA) was used to react maize starch to create esterified corn starch, which was subsequently cross-linked using a poly-isocyanate pre-polymer [13,21]. Synthetic polymer grafting copolymerization onto the starch backbone improved the starch bonding properties. The authors reported that the optimal pre-polymer level was 10 wt%, which produced 12 MPa of dry and 4 MPa of wet shear strength values. Another piece of research described the addition of blocked pMDI (B-pMDI) and an auxiliary chemical to a starch-based adhesive. When the mixture ratio of starch and the blocked isocyanate was 100/25 and 100/20, respectively, the wet and dry bonding strength peaked [59]. In addition, attaching the isocyanate to the starch-based adhesive might make it less viscous. Bentonite could be added to the adhesive to thicken it and increase its water resistance [61].
Figure 5.
Diagram outlining the classical chemical techniques for starch modification [83]. Reprinted/adapted with permission from Ref. [83]. 2017, Elsevier, License Number 5400551069466.
Figure 6.
Starch’s esterification reaction with maleic anhydride occurs at the C6 position [21].
Another study described the grafting of vinyl acetate monomer onto corn starch and crosslinking polymerization, using N-methylol acrylamide to produce an environmentally friendly starch-based wood adhesive for producing wood-based composites [44,107]. The authors concluded that developing a complex network structure and greater crosslinking density was responsible for the starch-based adhesive’s improved performance.
Starch-based adhesives may also be crosslinked using epoxy resin. Combining epoxy resins with polyvinyl acetate grafted starch adhesives has been tested as a method of attaching veneers. According to the authors, epoxy groups can form three-dimensional networks with good shear strength values in dry and humid environments [108,109,110,111].
Regarding the chemical modification of starch, an oxidation process forms a more reactive wood adhesive. The peroxide oxidation splits H2O2 into two OH radicals by Cu2+, which acts as a catalyst. The radical OH groups and catalyst then oxidized the OH of the starch into aldehyde groups and released H2O. Further, the remaining H2O2 converted the aldehyde groups into carboxyl groups [90,91,92]. Therefore, greater H2O2/starch mole ratios led to a greater DO due to the greater amount of H2O2 in the system. B-pMDI and citric acid (CA) have been used as cross-linker to enhance the performance of OS-based adhesives [56,58]. The OS reacted with the isocyanate groups from the B-pMDI to form amide linkages (Figure 7a), while it formed ester linkages by reacting with the CA (Figure 7b).
Figure 7.
Possible cross-linking reactions of (a) B-pMDI/OS and (b) CA/OS [56].
An oxidation-gelatinization technique was used to synthesize a cornstarch adhesive, after which its rheological characteristics were determined [112,113]. The apparent viscosity was determined by shear rate, starch-to-water ratio, and temperature. It was found that apparent viscosity reaches a peak value at 10 °C, and then decreases at higher temperatures, increasing shear rate from 6–60 RPM, causing a slight decrease in viscosity. The starch adhesive has fluid-like, pseudo-plastic characteristics. Oxidized starches typically react responsively to heat, turning yellow or brown when subjected to high temperatures. The aldehyde content has been linked to this drying tendency to turn yellow. The oxidized starch in storage turns yellower with increasing aldehyde content. The yellowing of oxidized starch dispersed in water by cooking or alkali is also related to aldehyde content.
Innovative formulations of starch-based adhesives are made with the addition of a silane cross-linker (CH2=CH–Si(OC2H5)3), hydrogen peroxide, as well as vinyl and butyl acetate [69,70,84]. They reported that when an oxidizing agent was present, the starch hydroxyl groups changed into aldehyde and carboxyl groups. The graft copolymerization enhanced the adhesive’s bonding strength, water resistance, and thermal stability. According to the optimization method, adding 3 wt% of oxidant agents and 9 wt% of coupling agent produced a modified starch-based adhesive with wet and dry bonding strengths of around 4.09 and 7.88 MPa, respectively.
Oxidation also affected the solids content, viscosity, and gelation time of OS-based adhesives [56]. OS’s solids content and viscosity decreased as the H2O2/starch mole ratio increased while gelation time increased (Table 2). This meant that a higher H2O2/starch mole ratio decreased the reactivity of the OS adhesive. The excess of H2O2 at a higher mole ratio probably remained in the OS, which decreased the solids content and viscosity of OS and eventually increased the gelation time. The lower viscosity of the adhesive generally increased the gelation time due to the adhesive system needing a longer time to evaporate water and solvent. This phenomenon happened to OS adhesives, with a higher degree of H2O2/starch mole ratio, which has a greater amount of H2O2 in the system. The molecular weight distributions of OS for different H2O2/starch mole ratios, such as Mw, Mn, and PDI, of OS decreased as the H2O2/starch mole ratio increased. The Mw of native starch has been reported to be around 800,000 g/mole [16,20,47], and the Mw decreased by a hundred times after oxidation. It was obvious that the oxidation de-polymerized starch macromolecules into smaller molecules, eventually lowering the molecular weight.
Table 2.
Properties of oxidized starch adhesive at different H2O2/starch mole ratios [56].
Other researchers have used urea-formaldehyde (UF) resin to create wood-based composite adhesives by mixing it with varying ratios of starch [114], esterified starch [115,116], and oxidized starch [45,93]. It was reported that a new adhesive system made of starch and UF resin had improved water resistance and reduced formaldehyde emission and brittleness. The UF resin adhesive with oxidized starch blending can be utilized in wood adhesive applications because it has strong chemical stability, insulating qualities, temperature resistance, and aging resistance [93,117,118]. Good oil resistance and mildew resistance are also features of oxidized starch-blend UF resin [99].
4.2. Physical Treatments
One of the physical methods of modifying starch that results in its depolymerization is treatment with ultrasounds, using sound waves at or above the range of frequency of 15–20 kHz [119,120]. This procedure is considered more environmentally friendly than chemical processes because it uses fewer chemicals and produces less waste and energy. Without using p-toluene sulphonic acid, ultrasonication reduced the time required to achieve octenyl-succinylated carboxymethylated (OC-CMS) potato starch from as long as 24 h when done traditionally, to as short as a few minutes [8,121]. Numerous reports suggest that ultrasounds physically degrade granules, leaving apparent fissures and pores on the surface, but that the size and shape of the granules remain the same [119,122]. Additionally, the prolonged application of the high-energy ultrasound to polysaccharide solutions results in an apparent decrease in viscosity brought on by the disintegration of macromolecular chains.
Changes in granular structure, swelling power and solubility, gelatinization transition temperature, syneresis, and pasting properties were seen after ultrasonic treatment [119,123]. As depicted in Figure 8, linear amylose was easier to attack by ultrasonic treatment than highly branching amylopectin molecules and it degraded the amorphous portions preferentially [38]. The number of modifications brought about by ultrasonic treatment varied depending on the amylose content and the crystal structure of the starch. It is also demonstrated that physical treatments made it possible to manufacture OS-CMS derivatives, utilizing the microwave or ultrasonic irradiation, reducing the time needed for esterification from the previously described conventional heating method of 24 h to only a few minutes [120].
Figure 8.
An illustration of the starch granule swelling, gelatinization, and depolymerization process [38]. Reprinted/adapted with permission from Ref. [38]. 2008, Elsevier, License Number 5400560644122.
The associative bonds between the starch in the granule determine the clarity of the starch paste. Waxy or modified starches are typically utilized to avoid opacity if it is an undesirable product attribute. Except for potato starch, native starch pastes exhibit relatively poor clarity [119,120]. For rice, wheat, and corn starches, sonication in ethanol resulted in a slight reduction in paste clarity but had no effect on paste clarity for potato and corn starches. Water modifications greatly impacted the potato starch paste’s clarity, increasing it, but they had no discernible impact on the other starches. The disruption of swelling granules during the sonication process increased the clarity of starch pastes. However, there is a lack of knowledge regarding this determination for granulated starches that have been sonicated [119,120,122].
4.3. Enzymatic Treatments
The modification of starch, utilizing the enzyme porcine pancreatic (alpha-amylase), has been investigated, revealing that heat causes the inter- and intra-molecular hydrogen bonds between starch chains to break, which causes water-dissolved starch granules to enlarge and subsequently disintegrate [124]. As gelatinization progresses, more starch chains become available to the digestive enzymes. However, the partially gelatinized starch samples revealed variations in enzymatic action, primarily in the early stages of digestion but less at the full extent. Native and pre-gelatinized starch samples displayed maximum hydrolysis values, comparable but somewhat (by 5%) less than those of gelatinized starch. This suggests that similar levels of enzyme-resistant starch residues existed in native and partially gelatinized samples.
By putting physical restrictions on the accessibility of the enzymes, the remaining crystallites may potentially have an impact on the enzymatic digestibility. Additionally, the crystalline morphology led to variations in the pattern of enzymatic hydrolysis. However, the leftover crystallites’ impacts may alter the enzymatic hydrolysis pattern (digestion), particularly in the late and intermediate phases. The formation of the amorphous matrix, which in these studies was exclusively made up of amylopectin, significantly influenced the different digesting behaviors among the partially gelatinized and retrograded waxy rice starch samples, as shown by the hydrolysis patterns [49,124].
The effect of enzymatic hydrolysis by debranching enzymes, such as pullulanase, on the properties of cassava starch-based wood adhesive was investigated by Wang et al. [125]. In contrast to alpha-amylase, which hydrolyzes starch at α-1,4-glucosidic bonds, pullulanase hydrolyzes α-1,6-glucosidic bonds to branch off the starch and produce linear chains of amylose, maltose, or glucose. Markedly, the industrial significance of this debranching enzyme is growing worldwide due to its potential for regulating the existing methods of starch processing [126,127]. The authors reported that moderate enzymatic hydrolysis for 2 h of starch molecule improved the properties of the starch-based wood adhesive, resulting in enhanced bonding strength in both dry and wet states and significantly decreased viscosity of the adhesive, allowing its better workability and penetration in the wood substrate. The higher amylose content produced by this enzyme treatment results in starch with better water resistance and is very useful for several applications, such as adhesives. Starch with pullulanase enzyme pretreatment is more adhesive with lower viscosity than without treatment, resulting in better contact with the substrate. This treatment also provides more grafting sites on the starch, thereby increasing the adhesive formulation’s performance and bonding strength. However, it also causes a higher tendency of starch retrogradation [126,127].
In vivo plasma glucose and insulin responses are favorably associated with the degree of gelatinization [124,128]. The amount of native or partially gelatinized starch in foods is particularly significant from a nutritional standpoint because some processed products contain starches that are not fully gelatinized. Because they have health-promoting properties, native or minimally processed cereal products are increasingly being consumed in Korea and other Asian nations in place of traditional meals [16,20]. Enzymatic digestion of starch is substantially slowed down by incomplete gelatinization. The digesting rate decreased as the melting enthalpy rose. The relative melting enthalpy of the retrograded or partially gelatinized starch samples is strongly linked with the percentages of slowly soluble and resistant starch.
5. Starch-Bonded Wood-Based Composites
5.1. Plywood
Wood composites, including plywood, make use of synthetic formaldehyde-based adhesives, such as UF, melamine-formaldehyde (MF), melamine-urea-formaldehyde (MUF), and phenol-formaldehyde (PF), as frequently used resins [129,130]. Environmental and health issues have also prompted efforts to use more friendly adhesives, such as latex [131], soy protein [132], lignin [133,134], and tannin [135,136]. Several studies have also modified conventional adhesives using starch to reduce formaldehyde emissions in plywood products or using starch as a base. Substitution of 20% PF adhesive with cornstarch-quebracho tannin-based adhesive in plywood production can reduce formaldehyde emissions by 26% and improve the water-resistance of the panels [54,137]. The optimal replacement values were 15% cornstarch and 5% quebracho tannin. Markedly, the plywood produced had better mechanical properties and bond quality than 100% PF-bonded plywood. Another study also reported a decrease in plywood formaldehyde emissions, which was proportional to the addition of starch [138]. They reported that adding OS-based adhesives to UF adhesives up to 10% based on resin’s solid content could reduce formaldehyde emissions and significantly improve the mechanical properties of plywood.
The dry tensile shear strength (TSS) values of plywood bonded with OS-based adhesives at different H2O2/starch mole ratios and different contents and types of cross-linkers are presented in Table 3 [56]. As a control, pure OS without a cross-linker was used to prepare plywood panels, but the TSS value was only approximately 0.61 MPa, which did not meet the minimum plywood requirement of 0.70 MPa. After adding a cross-linker, the plywood’s TSS increased with increasing cross-linker content and met the minimum plywood requirement. This result showed that the addition of a cross-linker significantly improved the OS adhesive’s performance by increasing the cross-linking density and forming a bigger network than without the cross-linker. However, the results also showed that TSS values decreased as the H2O2/starch mole ratio increased. The results suggested that an H2O2/starch mole ratio of 0.5 was optimal for B-pMDI/OS, and an H2O2/starch mole ratio of 1.0 was selected for CA/OS.
Table 3.
Tensile shear strength (MPa) of plywood bonded with OS adhesive at different H2O2/starch mole ratios, contents, and cross-linkers [56].
Furthermore, formaldehyde-free cornstarch-tannin (10:1) adhesive with hexamine as a hardener could produce interior-grade plywood with mechanical properties comparable to PF-bonded plywood [54,137]. This indicates that starch and tannin can be used as interior plywood adhesives. Adding additives to starch-based wood adhesives could improve the water resistance, while a small amount of isocyanate can significantly improve plywood’s bonding strength and water resistance [13,59]. The reaction of isocyanates with the hydroxyl groups of wood and starch is the key to this improvement. In addition, esterified starch using blocked isocyanate could increase the strength of plywood. The optimal ratios for plywood dry and wet strength from the adhesive system were 100:20 and 100:25, respectively [61]. The authors also suggested an optimum ratio of additives to starch adhesives varying from 4 to 6%. In addition to isocyanate, dodecyl succinic anhydride (DDSA) can also be used as a modifier of starch adhesive for plywood [76,78]. The crosslinking structure from the polar -NCO groups and the hydroxyl group in starch can prevent water penetration into the adhesive layer, resulting in plywood with better bonding strength and water resistance.
Plywood has also been prepared using OS-based adhesive, modified with pristine-bentonite (P-BNT) and transition metal ion modified-bentonite (TMI-P-BNT) nanoclays to produce a free formaldehyde emission panel [3]. They reported that the modification using 5% TMI-P-BNT nanoclay increased the bonding strength with higher values than the UF-bonded plywood. Recently, cassava starch grafted with glycidyl methacrylate (GMA) and then crosslinked with sodium trimetaphosphate (STMP) has been utilized for the manufacture of plywood [139,140]. As depicted in Figure 9, before the plywood manufacturing process, polyarylpolymethylene isocyanate (PAPI) was mixed as a chain-extending agent [140]. GMA grafting increased the hydrophobicity and shear strength of starch adhesives. The wet shear strength of the grafted starch adhesive increased by 163%, compared to the unmodified starch adhesive. GMA grafted starch particles become smaller, making the resulting adhesive easier to penetrate the plywood bonding interface.
Figure 9.
Starch-based adhesive synthesis and plywood preparation [140]. Reprinted/adapted with permission from Ref. [140]. 2022, Elsevier, License Number 5400560927363.
Hellmayr et al. investigated the feasibility of using an aqueous mixture of equal quantities of corn starch and sodium lignosulfonate for bonding beech veneers [4]. The authors reported that the developed adhesive mixture exhibited excellent bonding characteristics comparable with industrial UF adhesives. The presence of sodium lignosulfonate in the adhesive mixture was crucial for its plasticizing, dispersing, and water-retarding properties.
Xi et al. fabricated three-layer plywood panels bonded with chitosan-oxidized starch wood adhesive [141]. They found that utilizing 10% sodium periodate on the weight of the starch to oxidize it led to the best chitosan-oxidized starch adhesive, which was produced by treating a mixture of 8% oxidized starch and chitosan at room temperature. Zhang et al. developed a renewable starch-furanic adhesive with good water resistance using crosslinkers derived from agricultural sources, such as furfural and furfuryl alcohol [142]. Compared to starch, starch-furfural, and phenol-formaldehyde adhesives, the water resistance of the starch-furfural-furfuryl alcohol adhesive was further improved when it was crosslinked with 9% epoxy resin.
5.2. Particleboard
Conventionally, formaldehyde-based adhesives are commonly used in particleboard production. PF resin is usually used because it provides better water resistance and mechanical properties to the panels [143], while UF adhesives are used for interior-grade particleboards due to their poor resistance in a humid environment [144]. Various bio-based, formaldehyde-free adhesives have also been developed for bonding particleboards, particularly starch-based adhesives. The mechanical characteristics of rubberwood (Hevea brasiliensis) particleboards bonded, utilizing oil palm starch, wheat starch, and UF resin were found to meet the relevant Japanese industrial standards (JIS) [145]. Oil palm starch-based particleboards had greater mechanical qualities but inferior dimensional stability than panels bound with wheat starch. Both starch-based adhesive particleboards exhibited lower dimensional stability than the UF-bonded particleboards due to the hydrophilic nature of starch [146].
Sulaiman et al. reported that rubberwood particleboards fabricated using rice starch-based wood adhesive had mechanical properties comparable with the applicable JIS [147]. Modifying rice starch using epichlorohydrin resulted in higher particleboard properties, and further improvement was obtained by adding a small amount of UF resin. Similar results were also reported by epichlorohydrin-modified oil palm starch adhesives [147]. However, a significant drawback of the developed composites was the deteriorated dimensional stability. Selamat et al. made particleboards using carboxymethyl starch adhesive, produced from modified oil palm starch using phosphoryl chloride [148]. The mechanical properties of particleboards bonded using carboxymethyl starch met the JIS for type 8 particleboard except for the modulus of rupture (MOR) value. The addition of 2% UF resin was required to fulfill the standard requirement. Lamaming et al. reported that adding polyvinyl alcohol to carboxymethyl starch adhesive resulted in better mechanical properties and dimensional stability of particleboards than the addition of 2% UF resin reported in previous studies [149]. However, its dimensional stability still did not meet the standard requirements. Furthermore, particleboards bonded with a mixture of oil palm starch, PVA, and nano-silicon dioxide (70:30:3) have better dimensional stability, MOE, and MOR than particleboard bonded with UF [150].
Islam et al. fabricated jute stick-based particleboards bonded with a bio-adhesive, composed of natural rubber latex, combined with starch and formic acid at different blending proportions, i.e., 6:1:1, 2:1:1, and 2:3:3 [15]. The optimal results were obtained using the formula 2:3:3 (natural rubber latex/starch/formic acid). The particleboard’s physical and mechanical properties fulfilled the standard’s requirements. Markedly, the laboratory-fabricated particleboard panels exhibited satisfactory thermal performance, with thermal decomposition of samples occurring within the range of 265 to 399 °C.
Recently, the development of a fully bio-based wood adhesive for manufacturing three-layer laboratory-scale particleboard panels composed of corn starch, Mimosa tannin, citric acid, and sugar [93,151,152]. The composites were fabricated with the developed bio-based adhesive composition with 20% and 25% resin solid by weight for the surface layers and core layer, respectively. The panels bonded with the bio-based wood adhesive exhibited good physical and mechanical properties, fulfilling the P2-type particleboards (interior grade) requirements according to the EN 312 standard [153]. The same authors developed a green binder formulation for wood-based panel manufacturing that includes oxidized corn starch and urea. The adhesive structure was made stronger by the use of titanium dioxide nanoparticles. The findings demonstrated that the proposed adhesive could be employed in a hybrid adhesive system with MUF resin to produce particleboards with little formaldehyde concentration [55,93].
The feasibility of using agro-forest residues as alternative raw materials for particleboard manufacturing using cassava starch and UF resin as adhesives was evaluated by Mensah et al. [154]. Based on the results obtained for the physical and mechanical properties of the fabricated composites, the authors concluded that the boards could be used in indoor applications for general purposes. Another study investigated the feasibility of manufacturing particleboards from the combinations of insect rearing residue and rice husks bonded with citric acid/tapioca starch-based bio-adhesive [155]. The authors reported that only the laboratory board, composed of 50 wt% rice husk, 20 wt% insect rearing residue, and 30 wt% bio-based adhesives, fulfilled JIS standard requirements for type 8 particleboard.
Chotikhun et al. studied the mechanical characteristics and formaldehyde release of particleboards made from Eastern red cedar (Juniperus virginiana) utilizing SiO2 nanoparticles mixed with modified starch as a bio-based adhesive [156]. The authors fabricated nine different types of boards at three target densities of 600, 700, and 800 kg/m3 and nanoparticle contents of 0%, 1%, and 3%. The composites were characterized by a very low formaldehyde content of 0.07 ppm.
5.3. Medium-Density Fiberboard (MDF)
The most commonly used synthetic formaldehyde-based resins for manufacturing MDF are UF or PF resins, and these thermosetting wood adhesives have received most of the research and industrial attention due to widespread use of the composites [157,158]. However, their use is associated with serious threats to the environment and human health, related to the number of dust particles generated during processing and the emission of free formaldehyde and other volatile organic compounds, particularly indoors [159,160].
Different bio-based wood adhesives, based on starch [114,161], modified condensed and hydrolyzed tannins [162], soy protein [163], lignin [164], polysaccharides [165,166], and mycelium [167] have been used to partially replace UF or PF resins in the manufacture of MDF to create sustainable, ‘green’ solutions to formaldehyde-based adhesives. Other alternative examples include binderless fiberboards, which must undergo rigorous chemical and physical processes that result in large volumes of concentrated wastewater [168,169]. An alternative to the above approaches could be the application of thermoplastic starch as a bio-based adhesive. Small polar organic chemicals, such as glycerol, water, urea, formamide, and ethanolamine, can plasticize starch by breaking the internal hydrogen bonds between the anhydro-glucose monomers. The crystalline sections are disrupted, making the structure more amorphous [170]. A study attempted to fabricate MDF from starch using extrusion, where a Prism TSE-24-TC co-rotating twin screw extruder (20 L/D) was used for extrusion together with air swept face-cut pelletizing system and a Prism volumetric feeder [161]. The extruder has five temperature-controlled areas; the first was kept at 80 °C, while the other four were kept at 120 °C.
Recent research reported the modification of starch using oxidation with H2O2 and reinforcing it with different levels of B-pMDI [56,58]. The preliminary results showed that MDF could be fabricated with oxidized starch/B-pMDI, and the panels were characterized by a close-to-zero formaldehyde content (∼0.025 mg/L) which probably originated from wood fiber. However, the laboratory-fabricated MDF panels exhibited poor physical and mechanical properties, vastly inferior to the UF-bonded panels. Therefore, further and comprehensive study is needed to understand the modification of starch as an adhesive in MDF manufacturing. Our group attempted to reinforce oxidized starch with 3% PVOH and decrease the level of B-pMDI added to oxidized starch. The MDF bonded with this oxidized starch is expected to overcome the low physical and mechanical properties and compete with MDF bonded with UF resins. The main advantage of using starch as a bio-based wood adhesive is the low formaldehyde release from the panels and their easier recyclability. However, MDF panels bonded with oxidized starch-based adhesives were more susceptible to surface-inhabiting molds than the control UF-bonded panels [57].
5.4. Laminated Veneer Lumber
A type of engineered wood known as laminated veneer lumber (LVL) is produced by stacking multiple wooden layers along the grain direction of wood veneers [171]. Although the production of LVL has increased significantly in recent years, owing to its versatility in many fields, the use of bio-based adhesive has not yet progressed to widespread practical use. Literature reports on applying starch-based adhesive as a binder for LVL manufacturing are scarce. One of the studies reported the application of natural starch modified by sodium hypochlorite (NaOCl) and sulfuric acid (H2SO4) as a filler for UF resin, aiming to reduce the formaldehyde emission of LVL [172]. The research indicates that when the modified oxidized starch concentration in the UF resin grew, the strength of the LVL also increased.
Aiming to enhance bio-based adhesive’s practicality and utilization rate, Xiong et al. produced LVL, bonded with cornstarch-based adhesive [171]. Despite showing good cohesive and film-forming properties, the cornstarch emulsion prepared by the authors failed to meet the requirements for LVL’s water endurance bonding strength and pre-formability. To solve the problem, the authors incorporated a tackifier, reinforcing agent, and filler into the cornstarch emulsion. Wheat flour was utilized as a filler, PVOH as a tackifier, and pMDI pre-polymer as a reinforcing agent. Engineered wood flooring bonded with the modified cornstarch adhesive displayed satisfactory properties, such as high mechanical properties, good adhesion properties, and very low formaldehyde.
Laminates were produced from delignified Norway spruce (Picea abies) veneers, bonded with modified corn starch adhesive [173]. The densified wood–starch laminates displayed superior performances, i.e., a relatively low density of 1100 kg/m3, compared to other matrix-containing composites with comparable mechanical properties. The wood–starch laminates showed better specific tensile properties when compared with jute- or paper-based materials and bio-based flax composites and were very close to that of glass fiber-reinforced epoxy composites. The findings demonstrated a feasible process for producing high-performance, all-bio-based composite laminates, using starch as an adhesive.
Besides plywood, particleboard, fiberboard, and LVL, starch-based adhesives have also been used to produce other types of wood-based panels. Xiong et al. produced a strawboard substrate veneer bonded with a cornstarch-based adhesive, combined with a polyvinyl alcohol solution, flour, and poly-isocyanate pre-polymer [174]. The results showed that the physical and mechanical properties of the mattress board veneer decorative cover surpassed the Chinese national standard for decorative veneer (GB/T 15104-2006).
6. Conclusions
Petrochemical resources have been in short supply since the turn of the century. Society has vigorously advocated for sustainable development, and the global market of wood-based composites has become increasingly strict with formaldehyde emission standards. In this situation, it is vital to use environmentally safe, renewable, and biodegradable resources, such as tannin, starch, lignin, and vegetable protein, to develop wood adhesives. Bio-based adhesives represent a sustainable and eco-friendly alternative to the conventional synthetic adhesive systems widely used in the wood-based panel industry. This review demonstrated that starch, an abundant, renewable, and inexpensive natural raw material, can be efficiently utilized in bio-based adhesives formulation to manufacturing eco-friendly wood-based panels with acceptable properties. This can significantly lower the negative environmental footprint of wood-based panels, stimulate the industry’s transition to a low-carbon, circular bio-economy, and reduce its dependence on fossil-derived constituents. However, it should be noted that most of the starch-based wood adhesives presented in this work have only been tested at a laboratory scale and are not commonly adopted in industrial practice. There are still major drawbacks to the wider commercial utilization of starch-based wood adhesives, mainly due to their relatively low water resistance, low bonding strength, and natural variations, which is a result of the growing conditions of starch sources. Future research should be focused on starch modification and optimization of production parameters to develop starch-based wood adhesives with optimal performance.
Author Contributions
Conceptualization, M.A.R.L., A.H.I., F.F., L.S.H., P.A. and L.T.; methodology, M.I.M., L.S.H., L.K. and V.L.G.; validation, M.A.R.L., R.K.S., E.M. and L.H.Z.; resources, M.A.R.L., A.H.I. and R.K.S.; data curation, M.I.M., M.A.R.L. and W.H.; writing—original draft preparation, M.I.M., M.A.R.L., L.S.H., P.A. and L.K.; writing—review and editing, E.M., V.L.G., L.S.H. and L.T.; visualization, M.I.M., M.A.R.L. and L.S.H.; supervision, M.A.R.L., A.H.I., P.A., R.K.S. and L.T.; project administration, M.A.R.L., A.H.I., E.M. and P.A.; funding acquisition, M.A.R.L., A.H.I. and P.A. All authors have read and agreed to the published version of the manuscript.
Funding
This research received no external funding.
Data Availability Statement
Not applicable.
Acknowledgments
This paper was a part of the RIIM-PRN No. 65/II.7/HK/2022 fiscal year 2022–2023 titled “Pengembangan Produk Oriented Strand Board Unggul dari Kayu Ringan dan Cepat Tumbuh Dalam Rangka Pengembangan Produk Biokomposit Prospektif”. In addition, this work was also supported by the project “Development, Properties, and Application of Eco-Friendly Wood-Based Composites”, No. HИC-Б-1145/04.2021, carried out at the University of Forestry, Sofia, Bulgaria, and by the Slovak Research and Development Agency under contract No. APVV-18-0378, APVV-19-0269, APVV-20-0004, and SK-CZ-RD-21-0100.
Conflicts of Interest
The authors declare no conflict of interest.
References
- Din, Z.U.; Chen, L.; Xiong, H.; Wang, Z.; Ullah, I.; Lei, W.; Shi, D.; Alam, M.; Ullah, H.; Khan, S.A. Starch: An Undisputed Potential Candidate and Sustainable Resource for the Development of Wood Adhesive. Starch/Staerke 2020, 72, 1900276. [Google Scholar] [CrossRef]
- Watcharakitti, J.; Win, E.E.; Nimnuan, J.; Smith, S.M. Modified Starch-Based Adhesives: A Review. Polymers 2022, 14, 2023. [Google Scholar] [CrossRef] [PubMed]
- Lubis, M.A.R.; Yadav, S.M.; Park, B.D. Modification of Oxidized Starch Polymer with Nanoclay for Enhanced Adhesion and Free Formaldehyde Emission of Plywood. J. Polym. Environ. 2021, 29, 2993–3003. [Google Scholar] [CrossRef]
- Hellmayr, R.; Šernek, M.; Myna, R.; Reichenbach, S.; Kromoser, B.; Liebner, F.; Wimmer, R. Heat bonding of wood with starch-lignin mixtures creates new recycling opportunities. Mater. Today Sustain. 2022, 19, 100194. [Google Scholar] [CrossRef]
- Rindlav-Westling, Å.; Gatenholm, P. Surface Composition and Morphology of Starch, Amylose, and Amylopectin Films. Biomacromolecules 2003, 4, 166–172. [Google Scholar] [CrossRef]
- Tester, R.F.; Karkalas, J.; Qi, X. Starch-Composition, fine structure and architecture. J. Cereal Sci. 2004, 39, 151–165. [Google Scholar] [CrossRef]
- Buléon, A.; Colonna, P.; Planchot, V.; Ball, S. Starch granules: Structure and biosynthesis. Int. J. Biol. Macromol. 1998, 23, 85–112. [Google Scholar] [CrossRef]
- Fan, Y.; Picchioni, F. Modification of starch: A review on the application of “green” solvents and controlled functionalization. Carbohydr. Polym. 2020, 241, 116350. [Google Scholar] [CrossRef]
- Dome, K.; Podgorbunskikh, E.; Bychkov, A.; Lomovsky, O. Changes in the crystallinity degree of starch having different types of crystal structure after mechanical pretreatment. Polymers 2020, 12, 641. [Google Scholar] [CrossRef]
- Wang, J. Synthesis and Computer Simulation Analysis of MF Modified Starch Adhesive. J. Phys. Conf. Ser. 2021, 1992, 022171. [Google Scholar] [CrossRef]
- Boonsuk, P.; Sukolrat, A.; Kaewtatip, K.; Chantarak, S.; Kelarakis, A.; Chaibundit, C. Modified cassava starch/poly(vinyl alcohol) blend films plasticized by glycerol: Structure and properties. J. Appl. Polym. Sci. 2020, 137, 48848. [Google Scholar] [CrossRef]
- Wu, L.; Guo, J.; Zhang, Z.; Zhao, S. Influence of Oxidized Starch and Modified Nano-SiO on Performance of Urea-FOrmaldehyde (UF) Resin. Polymers 2017, 41, 83–89. [Google Scholar]
- Qiao, Z.; Gu, J.; Lv, S.; Cao, J.; Tan, H.; Zhang, Y. Preparation and properties of normal temperature cured starch-based wood adhesive. BioResources 2016, 11, 4839–4849. [Google Scholar] [CrossRef]
- Xu, Q.; Wen, J.; Wang, Z. Preparation and properties of cassava starch-based wood adhesives. BioResources 2016, 11, 6756–6767. [Google Scholar] [CrossRef]
- Islam, M.N.; Rahman, F.; Das, A.K.; Hiziroglu, S. An overview of different types and potential of bio-based adhesives used for wood products. Int. J. Adhes. Adhes. 2022, 112, 102992. [Google Scholar] [CrossRef]
- Whistler, R.L.; Bemiller, J.N.; Paschall, E. Starch: Chemistry and Technology; Academic Press: London, UK, 1984; ISBN 0127462708. [Google Scholar]
- Radley, J.A. Adhesives from Starch and Dextrin. In Industrial Uses of Starch and Its Derivatives; Springer: Dordrecht, The Netherlands, 1976; pp. 1–50. [Google Scholar]
- Onusseit, H. Starch in industrial adhesives: New developments. Ind. Crops Prod. 1993, 1, 141–146. [Google Scholar] [CrossRef]
- Fuwei, Y.; Bingjian, Z.; Qinglin, M. Study of Sticky Rice-Lime Mortar Technology. Acc. Chem. Res. 2010, 43, 936–944. [Google Scholar]
- Lewandowski, C.M.; Co-investigator, N.; Lewandowski, C.M. Starch Chemistry and Technology, 3rd ed.; Elsevier: Amsterdam, The Netherlands, 2015; Volume 1, ISBN 9788578110796. [Google Scholar]
- Ačkar, D.; Babić, J.; Jozinović, A.; Miličević, B.; Jokić, S.; Miličević, R.; Rajič, M.; Šubarić, D. Starch modification by organic acids and their derivatives: A review. Molecules 2015, 20, 19554–19570. [Google Scholar] [CrossRef]
- Rutenberg, M.W.; Solarek, D. Starch derivatives: Production and uses. In Starch: Chemistry and Technology; Elsevier: Amsterdam, The Netherlands, 1984; pp. 311–388. [Google Scholar]
- Shogren, R.L. Starch: Properties and Materials Applications. In Biopolymers from Renewable Resources; Springer: Berlin/Heidelberg, Germany, 1998; pp. 30–46. [Google Scholar] [CrossRef]
- FAO. Food Outlook-Biannual Report on Global Food Markets-November 2018; FAO: Rome, Italy, 2018; ISBN 3906570541. [Google Scholar]
- Fetzer, W.R. Methods in the Starch and Dextrose Industry. Anal. Chem. 1952, 24, 1129–1137. [Google Scholar] [CrossRef]
- Horstmann, S.W.; Lynch, K.M.; Arendt, E.K. Starch characteristics linked to gluten-free products. Foods 2017, 6, 29. [Google Scholar] [CrossRef]
- Ellis, R.P.; Cochrane, M.P.; Dale, M.F.B.; Duþus, C.M.; Lynn, A.; Morrison, I.M.; Prentice, R.D.M.; Swanston, J.S.; Tiller, S. A Starch Production and Industrial Use. J. Sci. Food Agric. 1998, 77, 289–311. [Google Scholar] [CrossRef]
- Liu, J.; Guo, L.; Yang, L.; Liu, Z.; He, C. Study on the rheological property of Cassava starch adhesives. Adv. J. Food Sci. Technol. 2014, 6, 374–377. [Google Scholar] [CrossRef]
- Sangseethong, K.; Lertpanit, S. Hypochlorite oxidation of cassava starch. Starch-Stärke 2005, 58, 53–54. [Google Scholar]
- Iamareerat, B.; Singh, M.; Sadiq, M.B.; Anal, A.K. Reinforced cassava starch based edible film incorporated with essential oil and sodium bentonite nanoclay as food packaging material. J. Food Sci. Technol. 2018, 55, 1953–1959. [Google Scholar] [CrossRef] [PubMed]
- Sangseethong, K.; Termvejsayanon, N.; Sriroth, K. Characterization of physicochemical properties of hypochlorite- and peroxide-oxidized cassava starches. Carbohydr. Polym. 2010, 82, 446–453. [Google Scholar] [CrossRef]
- El Halal, S.L.M.; Bruni, G.P.; do Evangelho, J.A.; Biduski, B.; Silva, F.T.; Dias, A.R.G.; da Rosa Zavareze, E.; de Mello Luvielmo, M. The properties of potato and cassava starch films combined with cellulose fibers and/or nanoclay. Starch-Stärke 2018, 70, 1700115. [Google Scholar] [CrossRef]
- Xiao, H.X.; Lin, Q.L.; Liu, G.Q.; Yu, F.X. A comparative study of the characteristics of cross-linked, oxidized and dual-modified rice starches. Molecules 2012, 17, 10946–10957. [Google Scholar] [CrossRef]
- Lian, X.; Wang, C.; Zhang, K.; Li, L. The retrogradation properties of glutinous rice and buckwheat starches as observed with FT-IR, 13C NMR and DSC. Int. J. Biol. Macromol. 2014, 64, 288–293. [Google Scholar] [CrossRef]
- Van Der Borght, A.; Goesaert, H.; Veraverbeke, W.S.; Delcour, J.A. Fractionation of wheat and wheat flour into starch and gluten: Overview of the main processes and the factors involved. J. Cereal Sci. 2005, 41, 221–237. [Google Scholar] [CrossRef]
- He, Z. Bio-Based Wood Adhesives; He, Z., Ed.; CRC Press: New York, NY, USA, 2017; ISBN 9781498740746. [Google Scholar]
- Glavas, L. Starch and Protein Based Wood Adhesives. Degree Project in Polymer Technology, Nacka, Sweden, 2011. Available online: https://www.diva-portal.org/smash/get/diva2:412056/FULLTEXT02.pdf (accessed on 1 August 2022).
- Iida, Y.; Tuziuti, T.; Yasui, K.; Towata, A.; Kozuka, T. Control of viscosity in starch and polysaccharide solutions with ultrasound after gelatinization. Innov. Food Sci. Emerg. Technol. 2008, 9, 140–146. [Google Scholar] [CrossRef]
- Wang, S.; Li, C.; Copeland, L.; Niu, Q.; Wang, S. Starch Retrogradation: A Comprehensive Review. Compr. Rev. Food Sci. Food Saf. 2015, 14, 568–585. [Google Scholar] [CrossRef]
- Marshall, J.T. Development of a Simplified Process for Obtaining Starch from Grain Sorghum. Ph.D. Thesis, Texas Technological College, Lubbock, TX, USA, 1969. [Google Scholar]
- Radley, J.A. Industrial Uses of Starch and Its Derivatives, 1st ed.; Applied Science Publishers Ltd.: London, UK, 1976; ISBN 9789401013314. [Google Scholar]
- Pietrzyk, S.; Fortuna, T.; Juszczak, L.; Gałkowska, D.; Baczkowicz, M.; Łabanowska, M.; Kurdziel, M. Influence of amylose content and oxidation level of potato starch on acetylation, granule structure and radicals’ formation. Int. J. Biol. Macromol. 2018, 16, 57–67. [Google Scholar] [CrossRef] [PubMed]
- Gadhave, R.V.; Mahanwar, P.A.; Gadekar, P.T. Starch-Based Adhesives for Wood/Wood Composite Bonding: Review. Open J. Polym. Chem. 2017, 7, 19–32. [Google Scholar] [CrossRef]
- Antov, P.; Savov, V.; Neykov, N. Sustainable bio-based adhesives for eco-friendly wood composites a review. Wood Res. 2020, 65, 51–62. [Google Scholar] [CrossRef]
- Zakaria, R.; Bawon, P.; Lee, S.H.; Salim, S.; Lum, W.C.; Al-Edrus, S.S.O.; Ibrahim, Z. Properties of Particleboard from Oil Palm Biomasses Bonded with Citric Acid and Tapioca Starch. Polymers 2021, 13, 3494. [Google Scholar] [CrossRef]
- Shah, U.; Naqash, F.; Gani, A.; Masoodi, F.A. Art and Science behind Modified Starch Edible Films and Coatings: A Review. Compr. Rev. Food Sci. Food Saf. 2016, 15, 568–580. [Google Scholar] [CrossRef]
- Vanier, N.L.; El Halal, S.L.M.; Dias, A.R.G.; da Rosa Zavareze, E. Molecular structure, functionality and applications of oxidized starches: A review. Food Chem. 2017, 221, 1546–1559. [Google Scholar] [CrossRef]
- Yue, L.; Shi, R.; Yi, Z.; Shi, S.Q.; Gao, Q.; Li, J. A high-performance soybean meal-based plywood adhesive prepared via an ultrasonic process and using significantly lower amounts of chemical additives. J. Clean. Prod. 2020, 274, 123017. [Google Scholar] [CrossRef]
- Jimenez Bartolome, M.; Schwaiger, N.; Flicker, R.; Seidl, B.; Kozich, M.; Nyanhongo, G.S.; Guebitz, G.M. Enzymatic synthesis of wet-resistant lignosulfonate-starch adhesives. New Biotechnol. 2022, 69, 49–54. [Google Scholar] [CrossRef]
- Nasiri, A. The Use of Lignin in Pressure Sensitive Adhesives and Starch-Based Adhesives. Ph.D. Thesis, University of Ottawa, Ottawa, ON, Canada, 2019. [Google Scholar] [CrossRef]
- Miranda, C.S.; Ferreira, M.S.; Magalhães, M.T.; Bispo, A.P.G.; Oliveira, J.C.; Silva, J.B.A.; José, N.M. Starch-based Films Plasticized with Glycerol and Lignin from Piassava Fiber Reinforced with Nanocrystals from Eucalyptus. Mater. Today Proc. 2015, 2, 134–140. [Google Scholar] [CrossRef]
- Yin, H.; Zheng, P.; Zhang, E.; Rao, J.; Lin, Q.; Fan, M.; Zhu, Z.; Zeng, Q.; Chen, N. Improved wet shear strength in eco-friendly starch-cellulosic adhesives for woody composites. Carbohydr. Polym. 2020, 250, 116884. [Google Scholar] [CrossRef] [PubMed]
- Weakley, F.B.; Carr, M.E.; Mehltretter, C.L. Dialdehyde Starch in Paper Coatings Containing Soy Flour-Isolated Soy Protein Adhesive. Starch-Stärke 1972, 24, 191–194. [Google Scholar] [CrossRef]
- Moubarik, A.; Pizzi, A.; Allal, A.; Charrier, F.; Khoukh, A.; Charrier, B. Cornstarch-mimosa tannin-urea formaldehyde resins as adhesives in the particleboard production. Starch/Staerke 2010, 62, 131–138. [Google Scholar] [CrossRef]
- Oktay, S.; Kızılcan, N.; Bengü, B. Development of bio-based cornstarch-Mimosa tannin-sugar adhesive for interior particleboard production. Ind. Crops Prod. 2021, 170, 113689. [Google Scholar] [CrossRef]
- Lubis, M.A.R.; Park, B.D.; Hong, M.K. Tuning of adhesion and disintegration of oxidized starch adhesives for the recycling of medium density fiberboard. BioResources 2020, 15, 5156–5178. [Google Scholar] [CrossRef]
- Lubis, M.A.R.; Park, B.; Kim, Y.; Yun, J.; Shin, H.C. Visual inspection of surface mold growth on medium-density fiberboard bonded with oxidized starch adhesives. Wood Mater. Sci. Eng. 2022, 1–8. [Google Scholar] [CrossRef]
- Lubis, M.A.R.; Park, B.; Hong, M. Tailoring of oxidized starch’s adhesion using crosslinker and adhesion promotor for the recycling of fiberboards. J. Appl. Polym. Sci. 2019, 136, 47966. [Google Scholar] [CrossRef]
- Qiao, Z.; Gu, J.; Lv, S.; Cao, J.; Tan, H.; Zhang, Y. Preparation and properties of isocyanate prepolymer/corn starch adhesive. J. Adhes. Sci. Technol. 2015, 29, 1368–1381. [Google Scholar] [CrossRef]
- Lee, S.H.; Md Tahir, P.; Lum, W.C.; Tan, L.P.; Bawon, P.; Park, B.-D.; Osman Al Edrus, S.S.; Abdullah, U.H. A Review on Citric Acid as Green Modifying Agent and Binder for Wood. Polymers 2020, 12, 1692. [Google Scholar] [CrossRef]
- Tan, H.; Zhang, Y.; Weng, X. Preparation of the plywood using starch-based adhesives modified with blocked isocyanates. Procedia Eng. 2011, 15, 1171–1175. [Google Scholar] [CrossRef]
- Valodkar, M.; Thakore, S. Isocyanate crosslinked reactive starch nanoparticles for thermo-responsive conducting applications. Carbohydr. Res. 2010, 345, 2354–2360. [Google Scholar] [CrossRef] [PubMed]
- Fu, L.; Peng, Y. Isocyanate-functionalized starch as biorenewable backbone for the preparation and application of poly(ethylene imine) grafted starch. Mon. Chem.-Chem. Mon. 2017, 148, 1547–1554. [Google Scholar] [CrossRef]
- Ferdosian, F.; Pan, Z.; Gao, G.; Zhao, B. Bio-Based Adhesives and Evaluation for Wood Composites Application. Polymers 2017, 9, 70. [Google Scholar] [CrossRef]
- Li, H.; Qi, Y.; Zhao, Y.; Chi, J.; Cheng, S. Starch and its derivatives for paper coatings: A review. Prog. Org. Coat. 2019, 135, 213–227. [Google Scholar] [CrossRef]
- Wang, Y.; Xiong, H.; Wang, Z.; Chen, L. Effects of different durations of acid hydrolysis on the properties of starch-based wood adhesive. Int. J. Biol. Macromol. 2017, 103, 819–828. [Google Scholar] [CrossRef]
- Yu, H.; Fang, Q.; Cao, Y.; Liu, Z. Effect of HCl on Starch Structure and Properties of Starch-based Wood Adhesives. BioResources 2016, 11, 1721–1728. [Google Scholar] [CrossRef]
- Qiao, Z.; Lv, S.; Gu, J.; Tan, H.; Shi, J.; Zhang, Y. Influence of acid hydrolysis on properties of maize starch adhesive. Pigment Resin Technol. 2017, 46, 148–155. [Google Scholar] [CrossRef]
- Gadhave, R.V.; Sheety, P.; Mahanwar, P.A.; Gadekar, P.T.; Desai, B.J. Silane Modification of Starch-Based Wood Adhesive: Review. Open J. Polym. Chem. 2019, 09, 53–62. [Google Scholar] [CrossRef]
- Zhang, Y.; Ding, L.; Gu, J.; Tan, H.; Zhu, L. Preparation and properties of a starch-based wood adhesive with high bonding strength and water resistance. Carbohydr. Polym. 2015, 115, 32–57. [Google Scholar] [CrossRef]
- Wang, Z.; Zhu, H.; Huang, J.; Ge, Z.; Guo, J.; Feng, X.; Xu, Q. Improvement of the bonding properties of cassava starch-based wood adhesives by using different types of acrylic ester. Int. J. Biol. Macromol. 2019, 126, 603–611. [Google Scholar] [CrossRef]
- Zhang, C.-W.; Li, F.-Y.; Li, J.-F.; Xie, Q.; Xu, J.; Guo, A.-F.; Wang, C.-Z. Effect of Crystal Structure and Hydrogen Bond of Thermoplastic Oxidized Starch on Manufacturing of Starch-Based Biomass Composite. Int. J. Precis. Eng. Manuf. Technol. 2018, 5, 435–440. [Google Scholar] [CrossRef]
- Romero-Bastida, C.A.; Tapia-Blácido, D.R.; Méndez-Montealvo, G.; Bello-Pérez, L.A.; Velázquez, G.; Alvarez-Ramirez, J. Effect of amylose content and nanoclay incorporation order in physicochemical properties of starch/montmorillonite composites. Carbohydr. Polym. 2016, 152, 351–360. [Google Scholar] [CrossRef] [PubMed]
- Kotal, M.; Bhowmick, A.K. Polymer nanocomposites from modified clays: Recent advances and challenges. Prog. Polym. Sci. 2015, 51, 127–187. [Google Scholar] [CrossRef]
- Tudor, E.M.; Scheriau, C.; Barbu, M.C.; Réh, R.; Krišťák, Ľ.; Schnabel, T. Enhanced Resistance to Fire of the Bark-Based Panels Bonded with Clay. Appl. Sci. 2020, 10, 5594. [Google Scholar] [CrossRef]
- Li, Z.; Wang, J.; Cheng, L.; Gu, Z.; Hong, Y.; Kowalczyk, A. Improving the performance of starch-based wood adhesive by using sodium dodecyl sulfate. Carbohydr. Polym. 2014, 99, 579–583. [Google Scholar] [CrossRef]
- Chen, N.; Lin, Q.; Rao, J.; Zeng, Q. Water resistances and bonding strengths of soy-based adhesives containing different carbohydrates. Ind. Crops Prod. 2013, 50, 44–49. [Google Scholar] [CrossRef]
- Sun, Y.; Gu, J.; Tan, H.; Zhang, Y.; Huo, P. Physicochemical properties of starch adhesives enhanced by esterification modification with dodecenyl succinic anhydride. Int. J. Biol. Macromol. 2018, 112, 1257–1263. [Google Scholar] [CrossRef]
- Ait, A.; Boussetta, A.; Kassab, Z.; Nadifiyine, M. Elaboration of carboxylated cellulose nanocrystals filled starch-based adhesives for the manufacturing of eco-friendly particleboards. Constr. Build. Mater. 2022, 348, 128683. [Google Scholar] [CrossRef]
- Li, D.; Zhuang, B.; Wang, X.A.; Wu, Z.; Wei, W.; Aladejana, J.T.; Hou, X.; Yves, K.G.; Xie, Y.; Liu, J. Chitosan used as a specific coupling agent to modify starch in preparation of adhesive film. J. Clean. Prod. 2020, 277, 123210. [Google Scholar] [CrossRef]
- Santoso, M.; Widyorini, R.; Prayitno, T.A.; Sulistyo, J. Bonding performance of maltodextrin and citric acid for particleboard made from nipa fronds. J. Korean Wood Sci. Technol. 2017, 45, 432–443. [Google Scholar] [CrossRef]
- Singh, V.; Ali, S.Z.; Somashekar, R.; Mukherjee, P.S. Nature of crystallinity in native and acid modified starches. Int. J. Food Prop. 2006, 9, 845–854. [Google Scholar] [CrossRef]
- Masina, N.; Choonara, Y.E.; Kumar, P.; du Toit, L.C.; Govender, M.; Indermun, S.; Pillay, V. A review of the chemical modification techniques of starch. Carbohydr. Polym. 2017, 157, 1226–1236. [Google Scholar] [CrossRef] [PubMed]
- Chen, L.; Wang, Y.; Zia-ud-Din; Fei, P.; Jin, W.; Xiong, H.; Wang, Z. Enhancing the performance of starch-based wood adhesive by silane coupling agent(KH570). Int. J. Biol. Macromol. 2017, 104, 137–144. [Google Scholar] [CrossRef] [PubMed]
- Zhang, Y.R.; Wang, X.L.; Zhao, G.M.; Wang, Y.Z. Influence of oxidized starch on the properties of thermoplastic starch. Carbohydr. Polym. 2013, 96, 358–364. [Google Scholar] [CrossRef]
- Zhang, S.D.; Zhang, Y.R.; Wang, X.L.; Wang, Y.Z. High carbonyl content oxidized starch prepared by hydrogen peroxide and its thermoplastic application. Starch/Staerke 2009, 61, 646–655. [Google Scholar] [CrossRef]
- Zheng, X.; Cheng, L.; Gu, Z.; Hong, Y.; Li, Z.; Li, C. Effects of heat pretreatment of starch on graft copolymerization reaction and performance of resulting starch-based wood adhesive. Int. J. Biol. Macromol. 2017, 96, 11–18. [Google Scholar] [CrossRef]
- Wang, Z.; Gu, Z.; Hong, Y.; Cheng, L.; Li, Z. Bonding strength and water resistance of starch-based wood adhesive improved by silica nanoparticles. Carbohydr. Polym. 2011, 86, 72–76. [Google Scholar] [CrossRef]
- Li, Z.; Wang, J.; Li, C.; Gu, Z.; Cheng, L.; Hong, Y. Effects of montmorillonite addition on the performance of starch-based wood adhesive. Carbohydr. Polym. 2015, 115, 394–400. [Google Scholar] [CrossRef]
- Parovuori, P.; Hamunen, A.; Forssell, P.; Autio, K.; Poutanen, K. Oxidation of Potato Starch by Hydrogen Peroxide. Starch-Stärke 1995, 47, 19–23. [Google Scholar] [CrossRef]
- Tolvanen, P.; Sorokin, A.; Mäki-Arvela, P.; Murzin, D.Y.; Salmi, T. Oxidation of starch by H2O2 in the presence of iron tetrasulfophthalocyanine catalyst: The Effect of catalyst concentration, pH, solid-liquid ratio, and origin of starch. Ind. Eng. Chem. Res. 2013, 52, 9351–9358. [Google Scholar] [CrossRef]
- Harmon, R.E.; Gupta, S.K.; Johnson, J. Oxidation of Starch by Hydrogen Peroxide in the Presence of UV Light-Part. I. Starch-Stärke 1971, 23, 347–349. [Google Scholar] [CrossRef]
- Oktay, S.; Kızılcan, N.; Bengu, B. Oxidized cornstarch—Urea wood adhesive for interior particleboard production. Int. J. Adhes. Adhes. 2021, 110, 102947. [Google Scholar] [CrossRef]
- Wang, S.; Shi, J.; Xu, W. Synthesis and Characterization of Starch-based Aqueous Polymer Isocyanate Wood Adhesive. BioResources 2015, 10, 7653–7666. [Google Scholar] [CrossRef]
- Meimoun, J.; Wiatz, V.; Saint-Loup, R.; Parcq, J.; Favrelle, A.; Bonnet, F.; Zinck, P. Modification of starch by graft copolymerization. Starch-Stärke 2017, 1600351, 1600351. [Google Scholar] [CrossRef]
- Wang, Z.; Li, Z.; Gu, Z.; Hong, Y.; Cheng, L. Preparation, characterization and properties of starch-based wood adhesive. Carbohydr. Polym. 2012, 88, 699–706. [Google Scholar] [CrossRef]
- Zia-ud-Din; Chen, L.; Ullah, I.; Wang, P.K.; Javaid, A.B.; Hu, C.; Zhang, M.; Ahamd, I.; Xiong, H.; Wang, Z. Synthesis and characterization of starch-g-poly(vinyl acetate-co-butyl acrylate) bio-based adhesive for wood application. Int. J. Biol. Macromol. 2018, 114, 1186–1193. [Google Scholar] [CrossRef] [PubMed]
- Carvalho, A.J.F.; Curvelo, A.A.S.; Gandini, A. Surface chemical modification of thermoplastic starch: Reactions with isocyanates, epoxy functions and stearoyl chloride. Ind. Crops Prod. 2005, 21, 331–336. [Google Scholar] [CrossRef]
- Wang, H.; Liang, J.; Zhang, J.; Zhou, X.; Du, G. Performance of urea-formaldehyde adhesive with oxidized cassava starch. BioResources 2017, 12, 7590–7600. [Google Scholar] [CrossRef]
- Luo, J.; Zhang, J.; Gao, Q.; Mao, A.; Li, J. Toughening and enhancing melamine-urea-formaldehyde resin properties via in situ polymerization of dialdehyde starch and microphase separation. Polymers 2019, 11, 1167. [Google Scholar] [CrossRef]
- Aristri, M.A.; Lubis, M.A.R.; Iswanto, A.H.; Fatriasari, W.; Sari, R.K.; Antov, P.; Gajtanska, M.; Papadopoulos, A.N.; Pizzi, A. Bio-Based Polyurethane Resins Derived from Tannin: Source, Synthesis, Characterisation, and Application. Forests 2021, 12, 1516. [Google Scholar] [CrossRef]
- Aristri, M.A.; Lubis, M.A.R.; Yadav, S.M.; Antov, P.; Papadopoulos, A.N.; Pizzi, A.; Fatriasari, W.; Ismayati, M.; Iswanto, A.H. Recent Developments in Lignin- and Tannin-Based Non-Isocyanate Polyurethane Resins for Wood Adhesives—A Review. Appl. Sci. 2021, 11, 4242. [Google Scholar] [CrossRef]
- Zia-ud-Din; Xiong, H.; Wang, Z.; Fei, P.; Ullah, I.; Javaid, A.B.; Wang, Y.; Jin, W.; Chen, L. Effects of sucrose fatty acid esters on the stability and bonding performance of high amylose starch-based wood adhesive. Int. J. Biol. Macromol. 2017, 104, 846–853. [Google Scholar] [CrossRef] [PubMed]
- Cheng, L.; Guo, H.; Gu, Z.; Li, Z.; Hong, Y. Effects of compound emulsifiers on properties of wood adhesive with high starch content. Int. J. Adhes. Adhes. 2017, 72, 92–97. [Google Scholar] [CrossRef]
- Wilpiszewska, K.; Spychaj, T. Chemical modification of starch with hexamethylene diisocyanate derivatives. Carbohydr. Polym. 2007, 70, 334–340. [Google Scholar] [CrossRef]
- Bayazeed, A.; Farag, S.; Shaarawy, S.; Hebeish, A. Chemical modification of starch via etherification with methyl methacrylate. Starch/Staerke 1998, 50, 89–93. [Google Scholar] [CrossRef]
- Cummings, S.; Zhang, Y.; Smeets, N.; Cunningham, M.; Dubé, M. On the Use of Starch in Emulsion Polymerizations. Processes 2019, 7, 140. [Google Scholar] [CrossRef]
- Duarah, R.; Karak, N. A starch based sustainable tough hyperbranched epoxy thermoset. RSC Adv. 2015, 5, 64456–64465. [Google Scholar] [CrossRef]
- Li, S.; Wang, J.; Qu, W.; Cheng, J.; Lei, Y.; Wang, D.; Zhang, F. Green synthesis and properties of an epoxy-modified oxidized starch-grafted styrene-acrylate emulsion. Eur. Polym. J. 2020, 123, 109412. [Google Scholar] [CrossRef]
- Zhang, S.; Liu, F.; Peng, H.; Peng, X.; Jiang, S.; Wang, J. Preparation of Novel c-6 Position Carboxyl Corn Starch by a Green Method and Its Application in Flame Retardance of Epoxy Resin. Ind. Eng. Chem. Res. 2015, 54, 11944–11952. [Google Scholar] [CrossRef]
- Auvergne, R.; Caillol, S.; David, G.; Boutevin, B.; Pascault, J.P. Biobased thermosetting epoxy: Present and future. Chem. Rev. 2014, 114, 1082–1115. [Google Scholar] [CrossRef]
- Ye, S.; Qiu-hua, W.; Xue-Chun, X.; Wen-yong, J.; Shu-Cai, G.; Hai-Feng, Z. Oxidation of cornstarch using oxygen as oxidant without catalyst. LWT-Food Sci. Technol. 2011, 44, 139–144. [Google Scholar] [CrossRef]
- Yang, L.; Liu, J.; Du, C.; Qiang, Y. Preparation and Properties of Cornstarch Adhesive. Adv. J. Food Sci. Technol. 2013, 5, 1068–1072. [Google Scholar] [CrossRef]
- Jarusombuti, S.; Bauchongkol, P.; Hiziroglu, S.; Fueangvivat, V. Properties of Rubberwood Medium-Density Fiberboard Bonded with Starch and Urea-Formaldehyde. For. Prod. J. 2012, 62, 58–62. [Google Scholar] [CrossRef]
- Menzel, C.; Olsson, E.; Plivelic, T.S.; Andersson, R.; Johansson, C.; Kuktaite, R.; Järnström, L.; Koch, K. Molecular structure of citric acid cross-linked starch films. Carbohydr. Polym. 2013, 96, 270–276. [Google Scholar] [CrossRef] [PubMed]
- Dao, P.H.; Nam, T.T.; Van Phuc, M.; Hiep, N.A.; Van Thanh, T.; Vuong, N.T.; Xuan, D.D. Oxidized Maize Starch: Characterization and Effect of It on the Biodegradable Films.Ii. Infrared Spectroscopy, Solubility of Oxidized Starch and Starch Film Solubility. Vietnam J. Sci. Technol. 2017, 55, 395–402. [Google Scholar] [CrossRef]
- Zhao, X.F.; Peng, L.Q.; Wang, H.L.; Wang, Y.B.; Zhang, H. Environment-friendly urea-oxidized starch adhesive with zero formaldehyde-emission. Carbohydr. Polym. 2018, 181, 1112–1118. [Google Scholar] [CrossRef]
- Wang, H.; Wang, F.; Du, G. Enhanced performance of urea–glyoxal polymer with oxidized cassava starch as wood adhesive. Iran. Polym. J. 2019, 28, 1015–1021. [Google Scholar] [CrossRef]
- Sujka, M. Ultrasonic modification of starch—Impact on granules porosity. Ultrason. Sonochem. 2017, 37, 424–429. [Google Scholar] [CrossRef]
- Čížová, A.; Sroková, I.; Sasinková, V.; Malovíková, A.; Ebringerová, A. Carboxymethyl starch octenylsuccinate: Microwave- and ultrasound-assisted synthesis and properties. Starch/Staerke 2008, 60, 389–397. [Google Scholar] [CrossRef]
- Bi, Y.; Liu, M.; Wu, L.; Cui, D. Synthesis of carboxymethyl potato starch and comparison of optimal reaction conditions from different sources. Polym. Adv. Technol. 2008, 19, 1185–1192. [Google Scholar] [CrossRef]
- Chong, W.T.; Uthumporn, U.; Karim, A.A.; Cheng, L.H. The influence of ultrasound on the degree of oxidation of hypochlorite-oxidized corn starch. LWT-Food Sci. Technol. 2013, 50, 439–443. [Google Scholar] [CrossRef]
- Luo, Z.; Fu, X.; He, X.; Luo, F.; Gao, Q.; Yu, S. Effect of ultrasonic treatment on the physicochemical properties of maize starches differing in amylose content. Starch/Staerke 2008, 60, 646–653. [Google Scholar] [CrossRef]
- Chung, H.J.; Lim, H.S.; Lim, S.T. Effect of partial gelatinization and retrogradation on the enzymatic digestion of waxy rice starch. J. Cereal Sci. 2006, 43, 353–359. [Google Scholar] [CrossRef]
- Wang, Z.; Xing, Z.; Zhang, Q.; Hu, D.; Lv, J.; Wu, C.; Zhou, W.; Zia-ud-Din. Effects of various durations of enzyme hydrolysis on properties of starch-based wood adhesive. Int. J. Biol. Macromol. 2022, 205, 664–671. [Google Scholar] [CrossRef] [PubMed]
- Wang, R.; Liu, P.; Cui, B.; Kang, X.; Yu, B.; Qiu, L.; Sun, C. Effects of pullulanase debranching on the properties of potato starch-lauric acid complex and potato starch-based film. Int. J. Biol. Macromol. 2020, 156, 1330–1336. [Google Scholar] [CrossRef] [PubMed]
- Zheng, Y.; Ou, Y.; Zhang, Y.; Zheng, B.; Zeng, S.; Zeng, H. Effects of pullulanase pretreatment on the structural properties and digestibility of lotus seed starch-glycerin monostearin complexes. Carbohydr. Polym. 2020, 240, 116324. [Google Scholar] [CrossRef] [PubMed]
- Zia-ud-Din; Xiong, H.; Fei, P. Physical and chemical modification of starches: A review. Crit. Rev. Food Sci. Nutr. 2017, 57, 2691–2705. [Google Scholar] [CrossRef]
- Kristak, L.; Antov, P.; Bekhta, P.; Lubis, M.A.R.; Iswanto, A.H.; Reh, R.; Sedliacik, J.; Savov, V.; Taghiyari, H.R.; Papadopoulos, A.N.; et al. Recent progress in ultra-low formaldehyde emitting adhesive systems and formaldehyde scavengers in wood-based panels: A review. Wood Mater. Sci. Eng. 2022, 1–20. [Google Scholar] [CrossRef]
- Pizzi, A.; Papadopoulos, A.N.; Policardi, F. Wood composites and their polymer binders. Polymers 2020, 12, 1115. [Google Scholar] [CrossRef]
- Hidayat, W.; Aprilliana, N.; Asmara, S.; Bakri, S.; Hidayati, S.; Banuwa, I.S.; Lubis, M.A.R.; Iswanto, A.H. Performance of eco-friendly particleboard from agro-industrial residues bonded with formaldehyde-free natural rubber latex adhesive for interior applications. Polym. Compos. 2022, 43, 2222–2233. [Google Scholar] [CrossRef]
- Averina, E.; Konnerth, J.; van Herwijnen, H.W.G. Protein-based glyoxal–polyethyleneimine-crosslinked adhesives for wood bonding. J. Adhes. 2022, 1–16. [Google Scholar] [CrossRef]
- Lubis, M.A.R.; Labib, A.; Sudarmanto; Akbar, F.; Nuryawan, A.; Antov, P.; Kristak, L.; Papadopoulos, A.N.; Pizzi, A. Influence of Lignin Content and Pressing Time on Plywood Properties Bonded with Cold-Setting Adhesive Based on Poly (Vinyl Alcohol), Lignin, and Hexamine. Polymers 2022, 14, 2111. [Google Scholar] [CrossRef] [PubMed]
- Savov, V.; Valchev, I.; Antov, P.; Yordanov, I.; Popski, Z. Effect of the Adhesive System on the Properties of Fiberboard Panels Bonded with Hydrolysis Lignin and Phenol-Formaldehyde Resin. Polymers 2022, 14, 1768. [Google Scholar] [CrossRef] [PubMed]
- Chen, X.; Pizzi, A.; Fredon, E.; Gerardin, C.; Zhou, X.; Zhang, B.; Du, G. Low curing temperature tannin-based non-isocyanate polyurethane (NIPU) wood adhesives: Preparation and properties evaluation. Int. J. Adhes. Adhes. 2022, 112, 103001. [Google Scholar] [CrossRef]
- Pizzi Tannins: Prospectives and Actual Industrial Applications. Biomolecules 2019, 9, 344. [CrossRef]
- Moubarik, A.; Pizzi, A.; Allal, A.; Charrier, F.; Charrier, B. Cornstarch and tannin in phenol-formaldehyde resins for plywood production. Ind. Crops Prod. 2009, 30, 188–193. [Google Scholar] [CrossRef]
- Lubis, M.A.R.; Park, B.-D. Modification of urea-formaldehyde resin adhesives with oxidized starch using blocked pMDI for plywood. J. Adhes. Sci. Technol. 2018, 32, 2667–2681. [Google Scholar] [CrossRef]
- Chen, X.; Pizzi, A.; Zhang, B.; Zhou, X.; Fredon, E.; Gerardin, C.; Du, G. Particleboard bio-adhesive by glyoxalated lignin and oxidized dialdehyde starch crosslinked by urea. Wood Sci. Technol. 2022, 56, 63–85. [Google Scholar] [CrossRef]
- Chen, X.; Sun, C.; Wang, Q.; Tan, H.; Zhang, Y. Preparation of glycidyl methacrylate grafted starch adhesive to apply in high-performance and environment-friendly plywood. Int. J. Biol. Macromol. 2022, 194, 954–961. [Google Scholar] [CrossRef]
- Xi, X.; Pizzi, A.; Lei, H.; Zhang, B.; Chen, X.; Du, G. Environmentally friendly chitosan adhesives for plywood bonding. Int. J. Adhes. Adhes. 2022, 112, 103027. [Google Scholar] [CrossRef]
- Zhang, J.; Liu, B.; Zhou, Y.; Essawy, H.; Chen, Q.; Zhou, X.; Du, G. Preparation of a starch-based adhesive cross-linked with furfural, furfuryl alcohol and epoxy resin. Int. J. Adhes. Adhes. 2021, 110, 102958. [Google Scholar] [CrossRef]
- Iswanto, A.H.; Azhar, I.; Supriyanto; Susilowati, A. Effect of resin type, pressing temperature and time on particleboard properties made from sorghum bagasse. Agric. For. Fish. 2014, 3, 62. [Google Scholar] [CrossRef]
- Que, Z.; Furuno, T.; Katoh, S.; Nishino, Y. Effects of urea–formaldehyde resin mole ratio on the properties of particleboard. Build. Environ. 2007, 42, 1257–1263. [Google Scholar] [CrossRef]
- Salleh, K.M.; Hashim, R.; Sulaiman, O.; Hiziroglu, S.; Wan Nadhari, W.N.A.; Abd Karim, N.; Jumhuri, N.; Ang, L.Z.P. Evaluation of properties of starch-based adhesives and particleboard manufactured from them. J. Adhes. Sci. Technol. 2015, 29, 319–336. [Google Scholar] [CrossRef]
- Lee, S.H.; Lum, W.C.; Boon, J.G.; Kristak, L.; Antov, P.; Pędzik, M.; Rogoziński, T.; Taghiyari, H.R.; Rahandi Lubis, M.A.; Fatriasari, W.; et al. Particleboard from Agricultural Biomass and Recycled Wood Waste: A Review. J. Mater. Res. Technol. 2022, 20, 4630–4658. [Google Scholar] [CrossRef]
- Sulaiman, N.S.; Hashim, R.; Amini, M.H.M.; Sulaiman, O.; Hiziroglu, S. Evaluation of the properties of particleboard made using oil palm starch modified with epichlorohydrin. BioResources 2013, 8, 283–301. [Google Scholar] [CrossRef]
- Selamat, M.E.; Sulaiman, O.; Hashim, R.; Hiziroglu, S.; Nadhari, W.N.A.W.; Sulaiman, N.S.; Razali, M.Z. Measurement of some particleboard properties bonded with modified carboxymethyl starch of oil palm trunk. Meas. J. Int. Meas. Confed. 2014, 53, 251–259. [Google Scholar] [CrossRef]
- Lamaming, J.; Heng, N.B.; Owodunni, A.A.; Lamaming, S.Z.; Khadir, N.K.A.; Hashim, R.; Sulaiman, O.; Mohamad Kassim, M.H.; Hussin, M.H.; Bustami, Y.; et al. Characterization of rubberwood particleboard made using carboxymethyl starch mixed with polyvinyl alcohol as adhesive. Compos. Part B Eng. 2020, 183, 107731. [Google Scholar] [CrossRef]
- Abd Karim, N.; Lamaming, J.; Yusof, M.; Hashim, R.; Sulaiman, O.; Hiziroglu, S.; Wan Nadhari, W.N.A.; Salleh, K.M.; Taiwo, O.F. Properties of native and blended oil palm starch with nano-silicon dioxide as binder for particleboard. J. Build. Eng. 2020, 29, 101151. [Google Scholar] [CrossRef]
- Syahfitri, A.; Hermawan, D.; Kusumah, S.S.; Ismadi; Lubis, M.A.R.; Widyaningrum, B.A.; Ismayati, M.; Amanda, P.; Ningrum, R.S.; Sutiawan, J. Conversion of agro-industrial wastes of sorghum bagasse and molasses into lightweight roof tile composite. Biomass Conv. Bioref. 2022, 1–15. [Google Scholar] [CrossRef]
- Sutiawan, J.; Hadi, Y.S.; Nawawi, D.S.; Abdillah, I.B.; Zulfiana, D.; Lubis, M.A.R.; Nugroho, S.; Astuti, D.; Zhao, Z.; Handayani, M.; et al. The properties of particleboard composites made from three sorghum (Sorghum bicolor) accessions using maleic acid adhesive. Chemosphere 2022, 290, 133163. [Google Scholar] [CrossRef] [PubMed]
- European Committee for Standardization, EN 312. Particleboards–Specifications; European Committee for Standardization: Brussels, Belgium, 2010. [Google Scholar]
- Mensah, P.; Owusu, F.W.; Mitchua, S.J.; Kusi, E.; Frimpong-Mensah, K. Some Mechanical Properties of Particleboards Produced from Four Agro-Forest Residues Using Cassava Starch and Urea Formaldehyde as Adhesives. J. Mater. Sci. Eng. B 2021, 11, 43–58. [Google Scholar] [CrossRef]
- Huang, H.-K.; Hsu, C.-H.; Hsu, P.-K.; Cho, Y.-M.; Chou, T.-H.; Cheng, Y.-S. Preparation and evaluation of particleboard from insect rearing residue and rice husks using starch/citric acid mixture as a natural binder. Biomass Conv. Bioref. 2022, 12, 633–641. [Google Scholar] [CrossRef]
- Chotikhun, A.; Hiziroglu, S.; Buser, M.; Frazier, S.; Kard, B. Characterization of nano particle added composite panels manufactured from Eastern red cedar. J. Compos. Mater. 2018, 52, 1605–1615. [Google Scholar] [CrossRef]
- Piekarski, C.M.; de Francisco, A.C.; da Luz, L.M.; Kovaleski, J.L.; Silva, D.A.L. Life cycle assessment of medium-density fiberboard (MDF) manufacturing process in Brazil. Sci. Total Environ. 2017, 575, 103–111. [Google Scholar] [CrossRef] [PubMed]
- McDevitt, J.E.; Grigsby, W.J. Life Cycle Assessment of Bio- and Petro-Chemical Adhesives Used in Fiberboard Production. J. Polym. Environ. 2014, 22, 537–544. [Google Scholar] [CrossRef]
- Lubis, M.A.R.; Hong, M.K.; Park, B.D. Hydrolytic Removal of Cured Urea–Formaldehyde Resins in Medium-Density Fiberboard for Recycling. J. Wood Chem. Technol. 2018, 38, 1–14. [Google Scholar] [CrossRef]
- Lubis, M.A.R.; Hong, M.-K.; Park, B.-D.; Lee, S.-M. Effects of recycled fiber content on the properties of medium density fiberboard. Eur. J. Wood Wood Prod. 2018, 76, 1515–1526. [Google Scholar] [CrossRef]
- Abbott, A.P.; Palazuela Conde, J.; Davis, S.J.; Wise, W.R. Starch as a replacement for urea-formaldehyde in medium density fibreboard. Green Chem. 2012, 14, 3067. [Google Scholar] [CrossRef]
- Roffael, E.; Schneider, T.; Dix, B. Influence of moisture content on the formaldehyde release of particle- and fibreboards bonded with tannin–formaldehyde resins. Eur. J. Wood Wood Prod. 2015, 73, 597–605. [Google Scholar] [CrossRef]
- Yang, I.; Han, G.-S.; Ahn, S.H.; Choi, I.-G.; Kim, Y.-H.; Oh, S.C. Adhesive Properties of Medium-Density Fiberboards Fabricated with Rapeseed Flour-Based Adhesive Resins. J. Adhes. 2014, 90, 279–295. [Google Scholar] [CrossRef]
- Mihajlova, J.; Savov, V.; Simeonov, T. Effect of the content of corn stalk fibres and additional heat treatment on properties of eco-friendly fibreboards bonded with lignosulphonate. Drewno 2022, 65, 209. [Google Scholar] [CrossRef]
- Ji, X.; Li, B.; Yuan, B.; Guo, M. Preparation and characterizations of a chitosan-based medium-density fiberboard adhesive with high bonding strength and water resistance. Carbohydr. Polym. 2017, 176, 273–280. [Google Scholar] [CrossRef] [PubMed]
- Li, X.; Cai, Z.; Horn, E.; Winandy, J.E. Effect of oxalic acid pretreatment of wood chips on manufacturing medium-density fiberboard. Holzforschung 2011, 65, 737–741. [Google Scholar] [CrossRef]
- Sydor, M.; Cofta, G.; Doczekalska, B.; Bonenberg, A. Fungi in Mycelium-Based Composites: Usage and Recommendations. Materials 2022, 15, 6283. [Google Scholar] [CrossRef] [PubMed]
- Hunt, J.F.; Supan, K. Binderless fiberboard: Comparison of fiber from recycled corrugated containers and refined small-diameter whole treetops. For. Prod. J. 2006, 56, 69–74. [Google Scholar]
- Theng, D.; Arbat, G.; Delgado-Aguilar, M.; Vilaseca, F.; Ngo, B.; Mutjé, P. All-lignocellulosic fiberboard from corn biomass and cellulose nanofibers. Ind. Crops Prod. 2015, 76, 166–173. [Google Scholar] [CrossRef]
- Liu, H.; Xie, F.; Yu, L.; Chen, L.; Li, L. Thermal processing of starch-based polymers. Prog. Polym. Sci. 2009, 34, 1348–1368. [Google Scholar] [CrossRef]
- Xian-qing, X.; Ying-ying, Y.; Yi-ting, N.; Liang-ting, Z. Development of a cornstarch adhesive for laminated veneer lumber bonding for use in engineered wood flooring. Int. J. Adhes. Adhes. 2020, 98, 102534. [Google Scholar] [CrossRef]
- Nazerian, M.; Razavi, S.A.; Partovinia, A.; Vatankhah, E.; Razmpour, Z. Prediction of the Bending Strength of a Laminated Veneer Lumber (LVL) Using an Artificial Neural Network. Mech. Compos. Mater. 2020, 56, 649–664. [Google Scholar] [CrossRef]
- Frey, M.; Schneider, L.; Razi, H.; Trachsel, E.; Faude, E.; Koch, S.M.; Masania, K.; Fratzl, P.; Keplinger, T.; Burgert, I. High-Performance All-Bio-Based Laminates Derived from Delignified Wood. ACS Sustain. Chem. Eng. 2021, 9, 9638–9646. [Google Scholar] [CrossRef]
- Xiong, X.Q.; Bao, Y.L.; Guo, W.J.; Fang, L.; Wu, Z.H. Preparation and application of high performance corn starch glue in straw decorative panel. Wood Fiber Sci. 2018, 50, 88–95. [Google Scholar] [CrossRef]
Publisher’s Note: MDPI stays neutral with regard to jurisdictional claims in published maps and institutional affiliations. |
© 2022 by the authors. Licensee MDPI, Basel, Switzerland. This article is an open access article distributed under the terms and conditions of the Creative Commons Attribution (CC BY) license (https://creativecommons.org/licenses/by/4.0/).








