Genome-Wide Identification and Characterization of Calmodulin and Calmodulin-like Genes Family in Tea Plant and Their Roles under Abiotic Stress
Abstract
1. Introduction
2. Materials and Methods
2.1. Plant Materials and Treatments
2.2. Genome-Wide Identification of CsCaM and CsCML Gene Family in the Tea Plant
2.3. Physicochemical Properties, Conserved Domain, Gene Structure, and Phylogenetic Relationships of CsCaM and CsCML Genes
2.4. Promoter Analysis
2.5. Chromosomal Location and Collinearity Analysis
2.6. Expression Analysis of CsCaM and CsCML Gene Family
2.7. RNA Extraction and qRT-PCR Assays
3. Results
3.1. Genome-Wide Identification of CaM and CML Genes in the Tea Plant
3.2. Conserved Motif and Gene Structure Analysis
3.3. Cis-Acting Element Analysis of CsCaM/CML Promoter
3.4. Phylogenetic Analysis of CsCaM and CsCML Families
3.5. Chromosomal Localization and Collinearity Analysis
3.6. Expression Profiles of CsCaM and CsCML Genes in Different Tissues of Tea Plant
3.7. Expression Patterns of CsCaM and CsCML Genes under Abiotic Stress in the Tea Plant
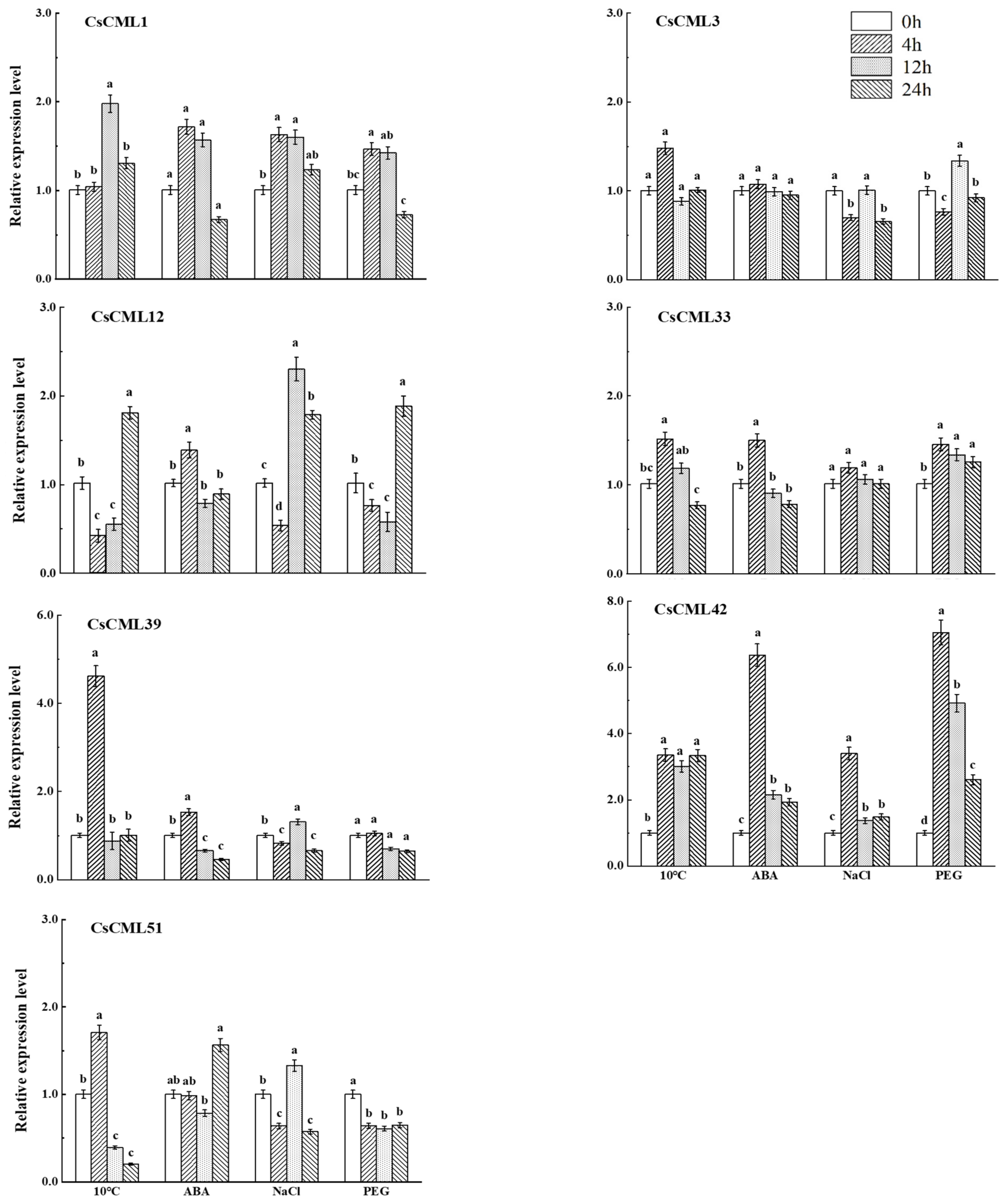
3.8. Expression Analysis of the Selected Genes in Response to Abiotic Stress by qRT-PCR
4. Discussion
5. Conclusions
Author Contributions
Funding
Acknowledgments
Conflicts of Interest
References
- Dodd, A.N.; Kudla, J.; Sanders, D. The language of calcium signaling. Annu. Rev. Plant Biol. 2010, 61, 593–620. [Google Scholar] [CrossRef]
- Kudla, J.; Batistic, O.; Hashimoto, K. Calcium signals: The lead currency of plant information processing. Plant Cell 2010, 22, 541–563. [Google Scholar] [CrossRef] [PubMed]
- Sarwat, M.; Ahmad, P.; Nabi, G.; Hu, X. Ca2+ signals: The versatile decoders of environmental cues. Crit. Rev. Biotechnol. 2013, 33, 97–109. [Google Scholar] [CrossRef] [PubMed]
- Reddy, A.S.; Ali, G.S.; Celesnik, H.; Day, I.S. Coping with stresses: Roles of calcium-and calcium/calmodulin-regulated gene expression. Plant Cell 2011, 23, 2010–2032. [Google Scholar] [CrossRef] [PubMed]
- Zielinski, R.E. Calmodulin and calmodulin-binding proteins in plants. Annu. Rev. Plant Biol. 1998, 49, 697–725. [Google Scholar] [CrossRef]
- Luan, S.; Kudla, J.; Rodriguez-Concepcion, M.; Yalovsky, S.; Gruissem, W. Calmodulins and calcineurin B–like proteins: Calcium sensors for specific signal response coupling in plants. Plant Cell 2002, 14, S389–S400. [Google Scholar] [CrossRef] [PubMed]
- Harmon, A.C.; Gribskov, M.; Harper, J.F. CDPKs—A kinase for every Ca2+ signal? Trends Plant Sci. 2000, 5, 154–159. [Google Scholar] [CrossRef]
- Grabarek, Z. Structural basis for diversity of the EF-hand calcium-binding proteins. J. Mol. Biol. 2006, 359, 509–525. [Google Scholar] [CrossRef] [PubMed]
- Lewit-Bentley, A.; Réty, S. EF-hand calcium-binding proteins. Curr. Opin. Struc. Biol. 2000, 10, 637–643. [Google Scholar] [CrossRef]
- McCormack, E.; Tsai, Y.C.; Braam, J. Handling calcium signaling: Arabidopsis CaMs and CMLs. Trends Plant Sci. 2005, 10, 383–389. [Google Scholar] [CrossRef] [PubMed]
- Perochon, A.; Aldon, D.; Galaud, J.P.; Ranty, B. Calmodulin and calmodulin-like proteins in plant calcium signaling. Biochimie 2011, 93, 2048–2053. [Google Scholar] [CrossRef] [PubMed]
- Boonburapong, B.; Buaboocha, T. Genome-wide identification and analyses of the rice calmodulin and related potential calcium sensor proteins. BMC Plant Biol. 2007, 7, 4. [Google Scholar] [CrossRef][Green Version]
- Shi, J.; Du, X. Identification, characterization and expression analysis of calmodulin and calmodulin-like proteins in Solanum pennellii. Sci. Rep. 2020, 10, 7474. [Google Scholar] [CrossRef] [PubMed]
- Li, C.; Meng, D.; Zhang, J.; Cheng, L. Genome-wide identification and expression analysis of calmodulin and calmodulin-like genes in apple (Malus × domestica). Plant Physiol. Biochem. 2019, 139, 600–612. [Google Scholar] [CrossRef] [PubMed]
- Vandelle, E.; Vannozzi, A.; Wong, D.; Danzi, D.; Digby, A.M.; Dal Santo, S.; Astegno, A. Identification, characterization, and expression analysis of calmodulin and calmodulin-like genes in grapevine (Vitis vinifera) reveal likely roles in stress responses. Plant Physiol. Biochem. 2018, 129, 221–237. [Google Scholar] [CrossRef] [PubMed]
- He, X.; Liu, W.; Li, W.; Liu, Y.; Wang, W.; Xie, P.; Kang, Y.; Liao, L.; Qian, L.; Liu, Z.; et al. Genome-wide identification and expression analysis of CaM/CML genes in Brassica napus under abiotic stress. J. Plant Physiol. 2020, 255, 153251. [Google Scholar] [CrossRef] [PubMed]
- Hu, W.; Yan, Y.; Tie, W.; Ding, Z.; Wu, C.; Ding, X.; Wang, W.; Xia, Z.; Guo, J.; Peng, M. Genome-Wide Analyses of Calcium Sensors Reveal Their Involvement in Drought Stress Response and Storage Roots Deterioration after Harvest in Cassava. Genes 2018, 9, 221. [Google Scholar] [CrossRef] [PubMed]
- Gao, L.; Damaris, R.N.; Yu, F.; Yang, P. Genome-wide Identification and Expression Analysis of CaM/CML Gene Family in Sacred Lotus (Nelumbo nucifera). Plant Mol. Biol. Rep. 2022, 40, 418–432. [Google Scholar] [CrossRef]
- Ma, Q.; Zhou, Q.; Chen, C.; Cui, Q.; Zhao, Y.; Wang, K.; Arkorful, E.; Chen, X.; Sun, K.; Li, X. Isolation and expression analysis of CsCML genes in response to abiotic stresses in the tea plant (Camellia sinensis). Sci. Rep. 2019, 9, 8211. [Google Scholar] [CrossRef] [PubMed]
- Landoni, M.; De Francesco, A.; Galbiati, M.; Tonelli, C. A loss-of-function mutation in Calmodulin2 gene affects pollen germination in Arabidopsis thaliana. Plant Mol. Biol. 2010, 74, 235–247. [Google Scholar] [CrossRef] [PubMed]
- Yang, X.; Wang, S.S.; Wang, M.; Qiao, Z.; Bao, C.C.; Zhang, W. Arabidopsis thaliana calmodulin-like protein CML24 regulates pollen tube growth by modulating the actin cytoskeleton and controlling the cytosolic Ca(2+) concentration. Plant Mol. Biol. 2014, 86, 225–236. [Google Scholar] [CrossRef] [PubMed]
- Bender, K.W.; Rosenbaum, D.M.; Vanderbeld, B.; Ubaid, M.; Snedden, W.A. The Arabidopsis calmodulin-like protein, CML39, functions during early seedling establishment. Plant J. 2013, 76, 634–647. [Google Scholar] [CrossRef] [PubMed]
- Midhat, U.; Ting, M.K.; Teresinski, H.J.; Snedden, W.A. The calmodulin-like protein, CML39, is involved in regulating seed development, germination, and fruit development in Arabidopsis. Plant Mol. Biol. 2018, 96, 375–392. [Google Scholar] [CrossRef]
- Delk, N.A.; Johnson, K.A.; Chowdhury, N.I.; Braam, J. CML24, regulated in expression by diverse stimuli, encodes a potential Ca2+ sensor that functions in responses to abscisic acid, daylength, and ion stress. Plant Physiol. 2005, 139, 240–253. [Google Scholar] [CrossRef] [PubMed]
- Cho, K.M.; Nguyen, H.T.K.; Kim, S.Y.; Shin, J.S.; Cho, D.H.; Hong, S.B.; Shin, J.S.; Ok, S.H. CML 10, a variant of calmodulin, modulates ascorbic acid synthesis. New Phytol. 2016, 209, 664–678. [Google Scholar] [CrossRef]
- Yang, J.; Ji, L.; Liu, S.; Jing, P.; Hu, J.; Jin, D.; Wang, L.; Xie, G. The CaM1-associated CCaMK-MKK1/6 cascade positively affects lateral root growth via auxin signaling under salt stress in rice. J. Exp. Bot. 2021, 72, 6611–6627. [Google Scholar] [CrossRef]
- Astegno, A.; Bonza, M.C.; Vallone, R.; La Verde, V.; D’Onofrio, M.; Luoni, L.; Molesini, B.; Dominici, P. Arabidopsis calmodulin-like protein CML36 is a calcium (Ca2+) sensor that interacts with the plasma membrane Ca2+-ATPase isoform ACA8 and stimulates its activity. J. Biol. Chem. 2017, 292, 15049–15061. [Google Scholar] [CrossRef]
- Dobney, S.; Chiasson, D.; Lam, P.; Smith, S.P.; Snedden, W.A. The calmodulin-related calcium sensor CML42 plays a role in trichome branching. J. Biol. Chem. 2009, 284, 31647–31657. [Google Scholar] [CrossRef]
- Kushwaha, R.; Singh, A.; Chattopadhyay, S. Calmodulin7 plays an important role as transcriptional regulator in Arabidopsis seedling development. Plant Cell 2008, 20, 1747–1759. [Google Scholar] [CrossRef]
- Tsai, Y.C.; Delk, N.A.; Chowdhury, N.I.; Braam, J. Arabidopsis potential calcium sensors regulate nitric oxide levels and the transition to flowering. Plant Signal. Behav. 2007, 2, 446–454. [Google Scholar] [CrossRef]
- Tang, W.; Tu, L.; Yang, X.; Tan, J.; Deng, F.; Hao, J.; Guo, K.; Lindsey, K.; Zhang, X. The calcium sensor GhCaM7 promotes cotton fiber elongation by modulating reactive oxygen species (ROS) production. New Phytol. 2014, 202, 509–520. [Google Scholar] [CrossRef] [PubMed]
- Zhu, X.; Robe, E.; Jomat, L.; Aldon, D.; Mazars, C.; Galaud, J.P. CML8, an Arabidopsis calmodulin-like protein, plays a role in Pseudomonas syringae plant immunity. Plant Cell Physiol. 2017, 58, 307–319. [Google Scholar] [PubMed]
- Vanderbeld, B.; Snedden, W.A. Developmental and stimulus-induced expression patterns of Arabidopsis calmodulin-like genes CML37, CML38 and CML39. Plant Mol. Biol. 2007, 64, 683–697. [Google Scholar] [CrossRef] [PubMed]
- Leba, L.J.; Perochon, A.; Cheval, C.; Ranty, B.; Galaud, J.P.; Aldon, D. CML9, a multifunctional Arabidopsis thaliana calmodulin-like protein involved in stress responses and plant growth? Plant Signal. Behav. 2012, 7, 1121–1124. [Google Scholar] [CrossRef][Green Version]
- Vadassery, J.; Reichelt, M.; Hause, B.; Gershenzon, J.; Boland, W.; Mithöfer, A. CML42-mediated calcium signaling coordinates responses to Spodoptera herbivory and abiotic stresses in Arabidopsis. Plant Physiol. 2012, 159, 1159–1175. [Google Scholar] [CrossRef]
- Yuenyong, W.; Chinpongpanich, A.; Comai, L.; Chadchawan, S.; Buaboocha, T. Downstream components of the calmodulin signaling pathway in the rice salt stress response revealed by transcriptome profiling and target identification. BMC Plant Biol. 2018, 18, 335. [Google Scholar] [CrossRef]
- Xu, G.Y.; Rocha, P.S.; Wang, M.L.; Xu, M.L.; Cui, Y.C.; Li, L.Y.; Zhu, Y.X.; Xia, X. A novel rice calmodulin-like gene, OsMSR2, enhances drought and salt tolerance and increases ABA sensitivity in Arabidopsis. Planta 2011, 234, 47–59. [Google Scholar] [CrossRef]
- Chinpongpanich, A.; Limruengroj, K.; Phean, O.P.S.; Limpaseni, T.; Buaboocha, T. Expression analysis of calmodulin and calmodulin-like genes from rice, Oryza sativa L. BMC Res. Notes 2012, 5, 625. [Google Scholar] [CrossRef]
- Munir, S.; Liu, H.; Xing, Y.; Hussain, S.; Ouyang, B.; Zhang, Y.; Li, H.; Ye, Z. Overexpression of calmodulin-like (ShCML44) stress-responsive gene from Solanum habrochaites enhances tolerance to multiple abiotic stresses. Sci. Rep. 2016, 6, 31772. [Google Scholar] [CrossRef]
- Lu, L.; Rong, W.; Zhou, R.; Huo, N.; Zhang, Z. TaCML36, a wheat calmodulin-like protein, positively participates in an immune response to Rhizoctonia cerealis. Crop. J. 2019, 7, 38–48. [Google Scholar] [CrossRef]
- Aleynova, O.A.; Kiselev, K.V.; Ogneva, Z.V.; Dubrovina, A.S. The grapevine calmodulin-like protein gene CML21 is regulated by alternative splicing and involved in abiotic stress response. Int. J. Mol. Sci. 2020, 21, 7939. [Google Scholar] [CrossRef] [PubMed]
- Wang, Z.; Wang, L.; Li, J.; Yang, W.; Ci, J.; Ren, X.; Wang, W.; Wang, Y.; Jiang, L.; Yang, W. Identification and expression analysis revealed drought stress-responsive Calmodulin and Calmodulin-like genes in maize. J. Plant Interact. 2022, 17, 450–461. [Google Scholar] [CrossRef]
- Li, B.; Wang, H.; He, S.; Ding, Z.; Wang, Y.; Li, N.; Hao, X.; Wang, L.; Yang, Y.; Qian, W. Genome-wide identification of the PMEI gene family in tea plant and functional analysis of CsPMEI2 and CsPMEI4 through ectopic overexpression. Front. Plant Sci. 2021, 12, 807514. [Google Scholar] [CrossRef]
- Chen, C.; Chen, H.; Zhang, Y.; Thomas, H.R.; Frank, M.H.; He, Y.; Xia, R. TBtools: An integrative toolkit developed for interactive analyses of big biological data. Mol. Plant 2020, 13, 1194–1202. [Google Scholar] [CrossRef] [PubMed]
- Wang, Y.; Tang, H.; DeBarry, J.D.; Tan, X.; Li, J.; Wang, X.; Lee, T.H.; Jin, H.; Marler, B.; Guo, H. MCScanX: A toolkit for detection and evolutionary analysis of gene synteny and collinearity. Nucleic Acids Res. 2012, 40, e49. [Google Scholar] [CrossRef]
- Schmittgen, T.D.; Livak, K.J. Analyzing real-time PCR data by the comparative C(T) method. Nat. Protoc. 2008, 3, 1101–1108. [Google Scholar] [CrossRef] [PubMed]
- Munir, S.; Khan, M.R.; Song, J.; Munir, S.; Zhang, Y.; Ye, Z.; Wang, T. Genome-wide identification, characterization and expression analysis of calmodulin-like (CML) proteins in tomato (c). Plant Physiol. Biochem. 2016, 102, 167–179. [Google Scholar] [CrossRef] [PubMed]
- Nie, S.; Zhang, M.; Zhang, L. Genome-wide identification and expression analysis of calmodulin-like (CML) genes in Chinese cabbage (Brassica rapa L. ssp. pekinensis). BMC Genom. 2017, 18, 842. [Google Scholar] [CrossRef]
- Keshan, R.; Singh, I.K.; Singh, A. Genome wide investigation of MAPKKKs from Cicer arietinum and their involvement in plant defense against Helicoverpa armigera. Physiol. Mol. Plant Pathol. 2021, 115, 101685. [Google Scholar] [CrossRef]
- Zhou, Y.P.; Wu, J.H.; Xiao, W.H.; Chen, W.; Chen, Q.H.; Fan, T.; Xie, C.P.; Tian, C.E. Arabidopsis IQM4, a novel calmodulin-binding protein, is involved with seed dormancy and germination in Arabidopsis. Front. Plant Sci. 2018, 9, 721. [Google Scholar] [CrossRef]
- Yamaguchi, T.; Aharon, G.S.; Sottosanto, J.B.; Blumwald, E. Vacuolar Na+/H+ antiporter cation selectivity is regulated by calmodulin from within the vacuole in a Ca2+-and pH-dependent manner. Proc. Natl. Acad. Sci. USA 2005, 102, 16107–16112. [Google Scholar] [CrossRef]
- Tang, M.; Xu, C.; Cao, H.; Shi, Y.; Chen, J.; Chai, Y.; Li, Z. Tomato calmodulin-like protein SlCML37 is a calcium (Ca2+) sensor that interacts with proteasome maturation factor SlUMP1 and plays a role in tomato fruit chilling stress tolerance. J. Plant Physiol. 2021, 258, 153373. [Google Scholar] [CrossRef] [PubMed]
- Taylor, J.S.; Raes, J. Duplication and divergence: The evolution of new genes and old ideas. Annu. Rev. Genet. 2004, 38, 615–643. [Google Scholar] [CrossRef] [PubMed]
- Yin, X.M.; Huang, L.F.; Zhang, X.; Wang, M.L.; Xu, G.Y.; Xia, X.J. OsCML4 improves drought tolerance through scavenging of reactive oxygen species in rice. J. Plant Biol. 2015, 58, 68–73. [Google Scholar] [CrossRef]
- Yadav, M.; Pandey, J.; Chakraborty, A.; Hassan, M.I.; Kundu, J.K.; Roy, A.; Singh, I.K.; Singh, A. A comprehensive analysis of calmodulin-like proteins of Glycine max indicates their role in calcium signaling and plant defense against insect attack. Front. Plant Sci. 2022, 13, 817950. [Google Scholar] [CrossRef]
- Chiasson, D.; Ekengren, S.K.; Martin, G.B.; Dobney, S.L.; Snedden, W.A. Calmodulin-like proteins from Arabidopsis and tomato are involved in host defense against Pseudomonas syringae pv. tomato. Plant Mol. Biol. 2005, 58, 887–897. [Google Scholar] [CrossRef]
- Scholz, S.S.; Reichelt, M.; Vadassery, J.; Mithöfer, A. Calmodulin-like protein CML37 is a positive regulator of ABA during drought stress in Arabidopsis. Plant Signal. Behav. 2015, 10, e1011951. [Google Scholar] [CrossRef]
- Wu, X.; Qiao, Z.; Liu, H.; Acharya, B.R.; Li, C.; Zhang, W. CML20, an Arabidopsis calmodulin-like protein, negatively regulates guard cell ABA signaling and drought stress tolerance. Front. Plant Sci. 2017, 8, 824. [Google Scholar] [CrossRef]
- Zhang, W.; Zhou, R.G.; Gao, Y.J.; Zheng, S.Z.; Xu, P.; Zhang, S.Q.; Sun, D.Y. Molecular and genetic evidence for the key role of AtCaM3 in heat-shock signal transduction in Arabidopsis. Plant Physiol. 2009, 149, 1773–1784. [Google Scholar] [CrossRef]
- Magnan, F.; Ranty, B.; Charpenteau, M.; Sotta, B.; Galaud, J.P.; Aldon, D. Mutations in AtCML9, a calmodulin-like protein from Arabidopsis thaliana, alter plant responses to abiotic stress and abscisic acid. Plant J. 2008, 56, 575–589. [Google Scholar] [CrossRef]
- Zhou, S.; Jia, L.; Chu, H.; Wu, D.; Peng, X.; Liu, X.; Zhang, J.; Zhao, J.; Chen, K.; Zhao, L. Arabidopsis CaM1 and CaM4 promote nitric oxide production and salt resistance by inhibiting S-nitrosoglutathione reductase via direct binding. PLoS Genet. 2016, 12, e1006255. [Google Scholar] [CrossRef] [PubMed]
- Duan, J.; Zhang, M.; Zhang, H.; Xiong, H.; Liu, P.; Ali, J.; Li, J.; Li, Z. OsMIOX, a myo-inositol oxygenase gene, improves drought tolerance through scavenging of reactive oxygen species in rice (Oryza sativa L.). Plant Sci. 2012, 196, 143–151. [Google Scholar] [CrossRef] [PubMed]
- Rao, S.S.; El-Habbak, M.H.; Havens, W.M.; Singh, A.; Zheng, D.; Vaughn, L.; Haudenshield, J.S.; Hartman, G.L.; Korban, S.S.; Ghabrial, S.A. Overexpression of GmCaM4 in soybean enhances resistance to pathogens and tolerance to salt stress. Mol. Plant Pathol. 2014, 15, 145–160. [Google Scholar] [CrossRef] [PubMed]
- Zhang, X.; Wang, T.; Liu, M.; Sun, W.; Zhang, W.H. Calmodulin-like gene MtCML40 is involved in salt tolerance by regulating MtHKTs transporters in Medicago truncatula. Environ. Exp. Bot. 2018, 157, 79–90. [Google Scholar] [CrossRef]
- Zhang, M.Z.; Zhang, Q.; Tian, C.; Liu, G.S.; Pan, Y.G.; Xu, X.B.; Shi, X.Q.; Zhang, Z.K.; Meng, L.H. Physiological and transcriptome analyses of CaCl2 treatment to alleviate chilling injury in Pineapple. Plants 2022, 11, 2215. [Google Scholar] [CrossRef]
- Hou, Y.; Li, Z.; Zheng, Y.; Jin, P. Effects of CaCl2 treatment alleviates chilling injury of Loquat Fruit (Eribotrya japonica) by modulating ROS homeostasis. Foods 2021, 10, 1662. [Google Scholar] [CrossRef]









| Gene Name | Primer Sequences (5′–3′) | 
|---|---|
| CsCML1 | F: TCTCAGGCACATCCTCACCA; R: ATACTGGTGAGAATGTGCCTGAG | 
| CsCML3 | F: AAGATTGGAGAAAGGGACAGTAAG; R: AGTCATCCACAGTTACTTCTCCATC | 
| CsCML12 | F: GTGTTAGTTGGTCTTGGGTATGAAA; R: ACACAACCTCTCATCATTGACCTAA | 
| CsCML33 | F: TCCAAGCACCTCAAGCCC; R: TACTGGTGAGAATGTGCCTGAGA | 
| CsCML39 | F: TGGACTCCGATGGAAGCCTAAC; R: GCCTCGCTCATATCGGGTAAAA | 
| CsCML42 | F: AGTTGATACTGATGGAAATGGGAC; R: CTTCATCTGTTATTCTCTCTCCCAA | 
| CsCML51 | F: AAGAACAACGACGGCTTCATAA; R: CCATCACCATTAGAATCCACCTT | 
| CsPTB | F: ACCAAGCACACTCCACACTATCG; R: TGCCCCCTTATCATCATCCACAA | 
| Gene name | Gene ID 1 | CDS 2 | AA 3 | DMW 4 | pI 5 | GRAVY 6 | EF-Hands 7 | 
|---|---|---|---|---|---|---|---|
| CSS0003231.2 | CsCaM1 | 552 | 183 | 20,913.41 | 4.68 | −0.801 | 4 | 
| CSS0032965.1 | CsCaM2 | 450 | 149 | 16,833.64 | 4.10 | −0.619 | 4 | 
| CSS0045497.1 | CsCaM3 | 450 | 149 | 16,847.67 | 4.11 | −0.619 | 4 | 
| CSS0013557.1 | CsCaM4 | 450 | 149 | 16,847.67 | 4.11 | −0.619 | 4 | 
| CSS0005129.1 | CsCaM5 | 450 | 149 | 16,833.64 | 4.10 | −0.619 | 4 | 
| CSS0026594.1 | CsCML1 | 444 | 147 | 16,478.71 | 4.72 | −0.359 | 3 | 
| CSS0018159.1 | CsCML2 | 501 | 166 | 18,237.10 | 4.87 | −0.728 | 4 | 
| CSS0046781.1 | CsCML3 | 510 | 168 | 19,174.36 | 4.82 | −0.829 | 4 | 
| CSS0033756.1 | CsCML4 | 435 | 144 | 16,061.25 | 4.54 | −0.396 | 4 | 
| CSS0029813.1 | CsCML5 | 576 | 191 | 21,799.47 | 4.21 | −0.211 | 2 | 
| CSS0006572.1 | CsCML6 | 447 | 158 | 17,470.39 | 4.72 | −0.637 | 4 | 
| CSS0041481.1 | CsCML7 | 516 | 171 | 18,995.88 | 7.74 | −0.447 | 3 | 
| CSS0005295.1 | CsCML8 | 582 | 193 | 21,586.52 | 4.33 | −0.023 | 2 | 
| CSS0005567.1 | CsCML9 | 558 | 185 | 21,313.48 | 5.23 | −0.436 | 4 | 
| CSS0044479.1 | CsCML10 | 540 | 179 | 20,170.17 | 5.15 | −0.381 | 4 | 
| CSS0011314.1 | CsCML11 | 456 | 151 | 16,771.97 | 4.40 | −0.317 | 4 | 
| CSS0038900.1 | CsCML12 | 456 | 151 | 16,771.97 | 4.40 | −0.317 | 4 | 
| CSS0016893.1 | CsCML13 | 504 | 167 | 18,742.05 | 5.33 | −0.427 | 3 | 
| CSS0032997.1 | CsCML14 | 462 | 153 | 17,515.67 | 4.07 | −0.330 | 3 | 
| CSS0000487.1 | CsCML15 | 462 | 153 | 17,558.76 | 4.13 | −0.304 | 3 | 
| CSS0022279.1 | CsCML16 | 402 | 133 | 15,226.13 | 4.44 | −0.377 | 2 | 
| CSS0000476.1 | CsCML17 | 471 | 156 | 17,786.14 | 4.31 | −0.290 | 3 | 
| CSS0006005.1 | CsCML18 | 471 | 156 | 17,788.17 | 4.25 | −0.270 | 3 | 
| CSS0046243.1 | CsCML19 | 1020 | 339 | 35,286.53 | 4.14 | 0.161 | 3 | 
| CSS0017640.1 | CsCML20 | 558 | 185 | 21,234.38 | 5.36 | −0.506 | 4 | 
| CSS0001406.1 | CsCML21 | 558 | 185 | 21,211.34 | 5.23 | −0.505 | 4 | 
| CSS0033780.1 | CsCML22 | 453 | 150 | 17,023.32 | 4.38 | −0.509 | 4 | 
| CSS0024416.1 | CsCML23 | 690 | 229 | 26,354.00 | 4.63 | −0.445 | 4 | 
| CSS0047932.1 | CsCML24 | 501 | 166 | 18,021.71 | 4.34 | −0.454 | 3 | 
| CSS0012943.1 | CsCML25 | 501 | 166 | 18,109.77 | 4.32 | −0.501 | 3 | 
| CSS0046747.1 | CsCML26 | 582 | 193 | 21,163.77 | 4.50 | −0.382 | 4 | 
| CSS0019921.1 | CsCML27 | 705 | 234 | 25,234.74 | 4.58 | −0.029 | 4 | 
| CSS0041234.1 | CsCML28 | 459 | 152 | 17,256.35 | 4.08 | −0.422 | 4 | 
| CSS0037530.1 | CsCML29 | 459 | 152 | 17,212.28 | 4.09 | −0.438 | 4 | 
| CSS0036108.1 | CsCML30 | 459 | 152 | 17,328.42 | 4.08 | −0.457 | 4 | 
| CSS0038701.1 | CsCML31 | 693 | 230 | 26,266.87 | 4.59 | −0.408 | 3 | 
| CSS0037305.1 | CsCML32 | 693 | 230 | 26,261.85 | 4.60 | −0.403 | 3 | 
| CSS0025958.1 | CsCML33 | 444 | 147 | 16,538.72 | 4.69 | −0.397 | 3 | 
| CSS0018156.1 | CsCML34 | 477 | 158 | 17,028.53 | 4.35 | −0.543 | 4 | 
| CSS0043064.1 | CsCML35 | 483 | 160 | 17,093.61 | 4.24 | −0.501 | 3 | 
| CSS0046384.1 | CsCML36 | 684 | 227 | 26,169.92 | 5.47 | −0.441 | 4 | 
| CSS0038594.1 | CsCML37 | 639 | 212 | 24,257.84 | 4.85 | −0.373 | 4 | 
| CSS0023779.1 | CsCML38 | 483 | 160 | 18,310.36 | 4.25 | −0.457 | 3 | 
| CSS0017237.1 | CsCML39 | 483 | 160 | 17,550.88 | 4.38 | −0.139 | 4 | 
| CSS0002201.1 | CsCML40 | 687 | 238 | 26,577.87 | 6.30 | −0.440 | 2 | 
| CSS0018824.1 | CsCML41 | 459 | 152 | 17,183.34 | 4.32 | −0.493 | 4 | 
| CSS0033073.1 | CsCML42 | 447 | 148 | 16,881.83 | 4.06 | −0.399 | 4 | 
| CSS0029226.1 | CsCML43 | 585 | 194 | 21,265.68 | 4.46 | −0.438 | 4 | 
| CSS0033360.1 | CsCML44 | 492 | 183 | 20,290.86 | 4.86 | −0.363 | 4 | 
| CSS0020659.1 | CsCML45 | 495 | 164 | 18,192.37 | 4.55 | −0.390 | 4 | 
| CSS0024302.1 | CsCML46 | 690 | 229 | 25,736.15 | 6.32 | −0.417 | 2 | 
| CSS0036849.1 | CsCML47 | 447 | 148 | 17,026.25 | 4.88 | −0.825 | 3 | 
| CSS0042140.1 | CsCML48 | 258 | 85 | 9941.18 | 4.46 | −0.569 | 2 | 
| CSS0021840.1 | CsCML49 | 447 | 148 | 16,864.84 | 4.06 | −0.304 | 4 | 
| CSS0004986.1 | CsCML50 | 489 | 162 | 17,926.04 | 4.48 | −0.359 | 4 | 
| CSS0002820.1 | CsCML51 | 648 | 216 | 23,653.66 | 4.47 | −0.254 | 3 | 
| CSS0038574.1 | CsCML52 | 633 | 210 | 23,387.23 | 4.07 | 0.060 | 2 | 
| CSS0013916.1 | CsCML53 | 423 | 140 | 15,001.98 | 4.16 | 0.057 | 3 | 
| CSS0039564.1 | CsCML54 | 423 | 140 | 15,016.01 | 4.16 | 0.059 | 3 | 
| CSS0025741.1 | CsCML55 | 516 | 171 | 18,995.88 | 7.74 | −0.447 | 3 | 
| CSS0046428.1 | CsCML56 | 639 | 212 | 24,245.83 | 4.85 | −0.357 | 4 | 
| CSS0034436.1 | CsCML57 | 483 | 160 | 17,262.94 | 4.40 | −0.457 | 3 | 
| CSS0034378.1 | CsCML58 | 471 | 156 | 17,787.21 | 4.27 | −0.259 | 3 | 
| CSS0004793.1 | CsCML59 | 471 | 156 | 17,817.21 | 4.29 | −0.286 | 3 | 
| CSS0031482.1 | CsCML60 | 450 | 149 | 16,933.79 | 3.95 | −0.473 | 4 | 
| Publisher’s Note: MDPI stays neutral with regard to jurisdictional claims in published maps and institutional affiliations. | 
© 2022 by the authors. Licensee MDPI, Basel, Switzerland. This article is an open access article distributed under the terms and conditions of the Creative Commons Attribution (CC BY) license (https://creativecommons.org/licenses/by/4.0/).
Share and Cite
Kang, R.; Zhao, R.; Wang, L.; Liu, C.; Zhang, F.; Zhou, Q. Genome-Wide Identification and Characterization of Calmodulin and Calmodulin-like Genes Family in Tea Plant and Their Roles under Abiotic Stress. Forests 2022, 13, 1578. https://doi.org/10.3390/f13101578
Kang R, Zhao R, Wang L, Liu C, Zhang F, Zhou Q. Genome-Wide Identification and Characterization of Calmodulin and Calmodulin-like Genes Family in Tea Plant and Their Roles under Abiotic Stress. Forests. 2022; 13(10):1578. https://doi.org/10.3390/f13101578
Chicago/Turabian StyleKang, Rui, Renliang Zhao, Long Wang, Chunhui Liu, Fen Zhang, and Qiongqiong Zhou. 2022. "Genome-Wide Identification and Characterization of Calmodulin and Calmodulin-like Genes Family in Tea Plant and Their Roles under Abiotic Stress" Forests 13, no. 10: 1578. https://doi.org/10.3390/f13101578
APA StyleKang, R., Zhao, R., Wang, L., Liu, C., Zhang, F., & Zhou, Q. (2022). Genome-Wide Identification and Characterization of Calmodulin and Calmodulin-like Genes Family in Tea Plant and Their Roles under Abiotic Stress. Forests, 13(10), 1578. https://doi.org/10.3390/f13101578
 
        


 
       