Targeted Metabolomics Reveals Impact of N Application on Accumulation of Amino Acids, Flavonoids and Phytohormones in Tea Shoots under Soil Nutrition Deficiency Stress
Abstract
1. Introduction
2. Materials and Methods
2.1. Plant Materials and Growth Conditions
2.2. Standard Compounds and Other Chemicals
2.3. Sample Analysis
2.3.1. Measurement of Tea Garden Yield
2.3.2. Determination of Soluble Sugar
2.3.3. Determination of Theanine Content
2.3.4. Targeted Amino Acid Analysis by UPLC-TQ-MS
2.3.5. Targeted Flavonoids Analysis by UPLC-TQ-MS
2.3.6. Targeted Phytohormones Analysis by UPLC-TQ-MS
2.4. Data Processing and Statistical Analysis
3. Results and Analysis
3.1. Yields of Tea with Different N Supply
3.2. The Contents of Soluble Sugar and Theanine in Tea Shoots with Different N Supplies
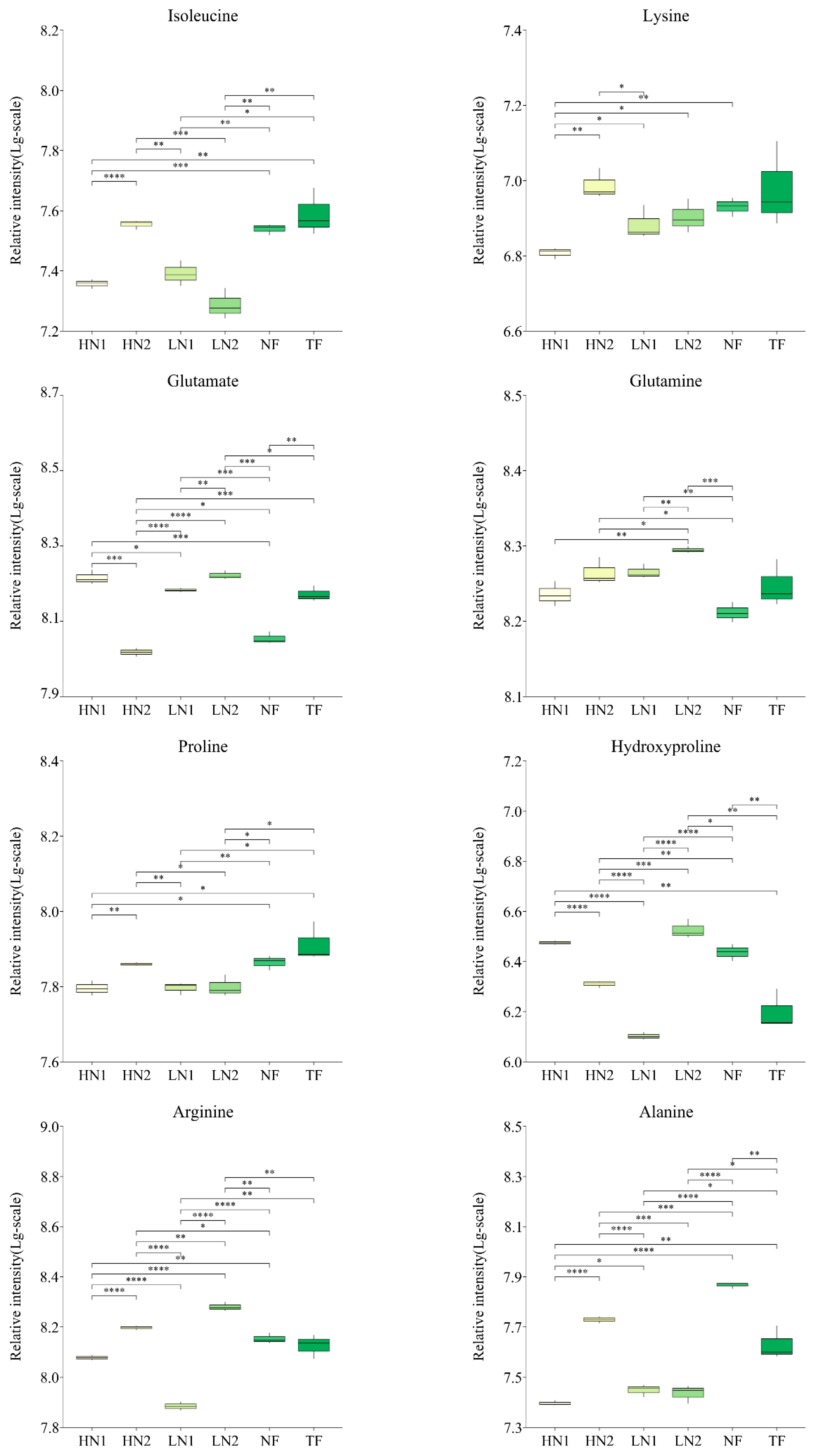
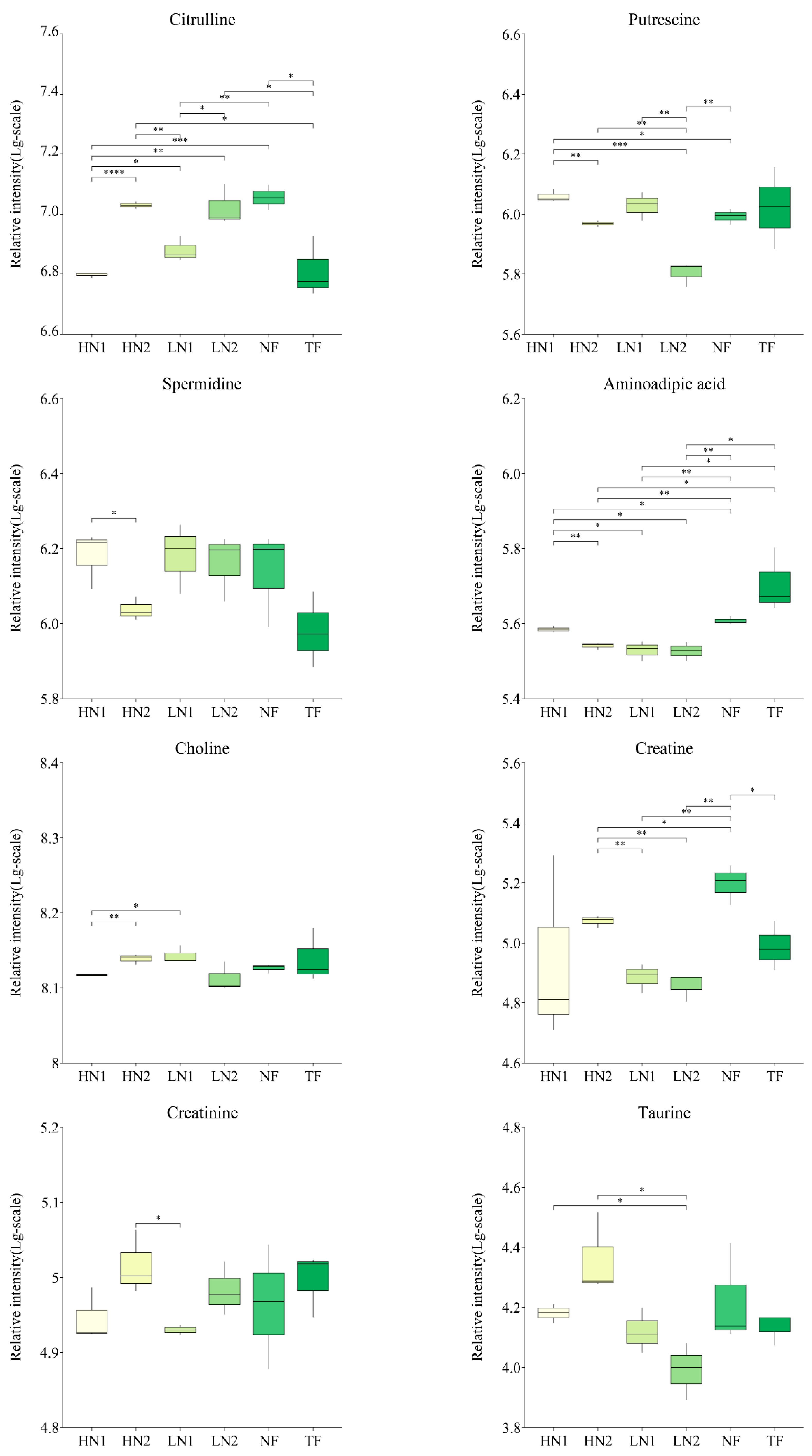
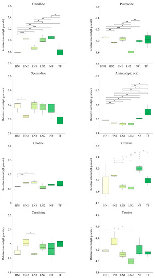
3.3. Accumulation of Amino Acids in Tea Shoots with Different N Applications
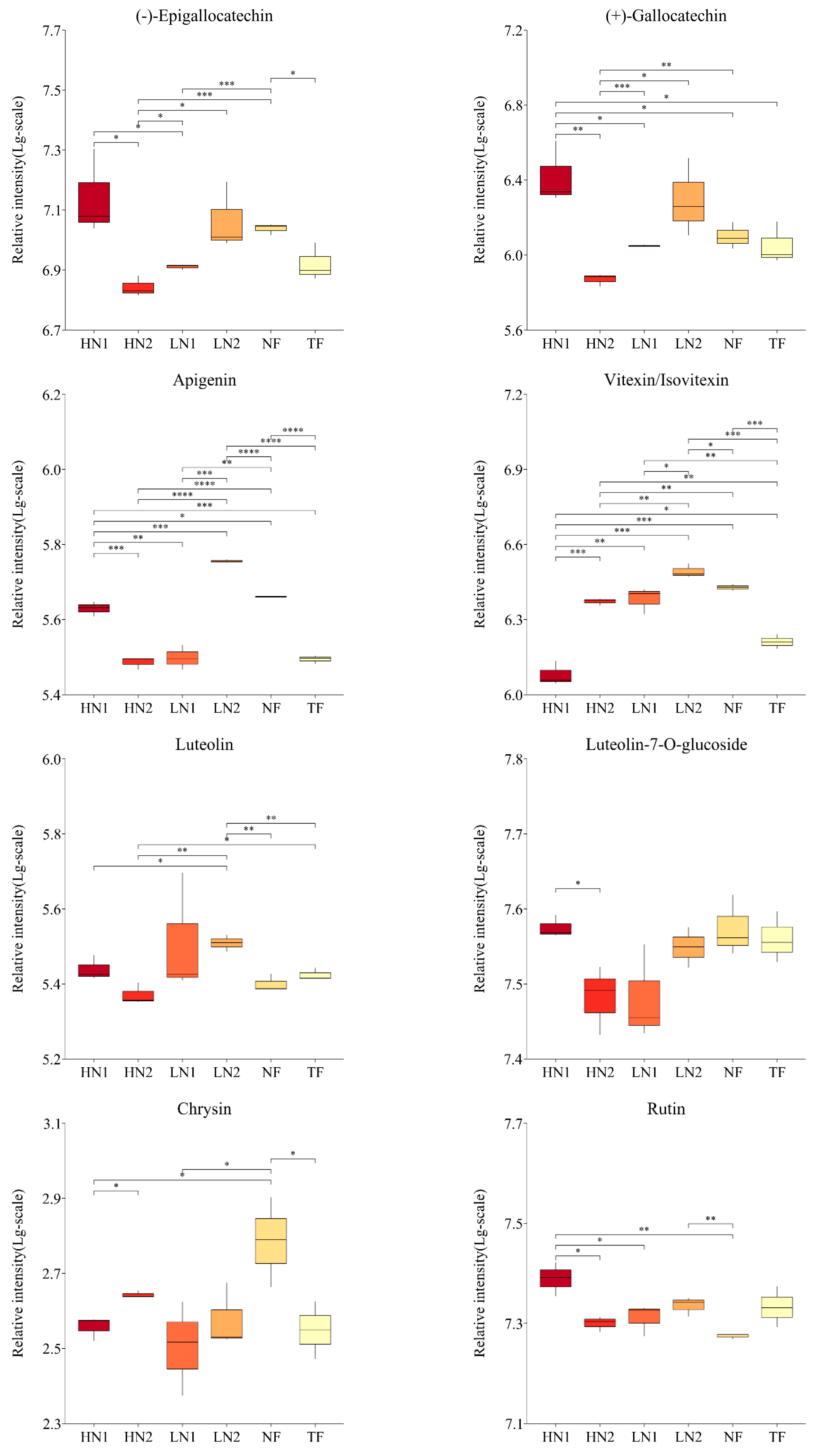
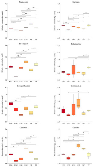
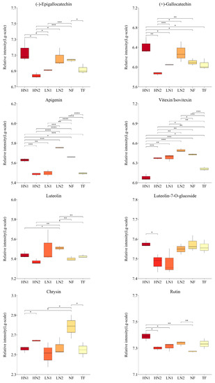
3.4. Accumulation of Flavonoids in Tea Shoots with Different N Applications
3.5. Changes in Phytohormone Levels in Tea Shoots with Different N Applications
3.6. Correlation Analyses among Amino Acids, Flavonoids, and Phytohormones
4. Discussion
4.1. Effect of Stress on Tea Plants Caused by N-Deficiency and Graded N Supply on the Regulation of Auxin Homeostasis in Relation to Amino Acids and Flavonoids
4.2. Effect of Stress on Tea Plants Caused by N-Deficiency and Graded N Supply on the Regulation of Homeostasis of CKs and ABA, in Relation to Amino Acids and Flavonoids
4.3. Effect of Stress on Tea Plants, Caused by N Deficiency, and Increased N Supply on the Regulation of Homeostasis, Mainly SA, OPDA, JA, and JA-Ile, in Relation to Amino Acids and Flavonoids
5. Conclusions
Supplementary Materials
Author Contributions
Funding
Data Availability Statement
Acknowledgments
Conflicts of Interest
References
- Sharma, E.; Joshi, R.; Gulati, A. l-Theanine: An astounding sui generis integrant in tea. Food Chem. 2018, 242, 601–610. [Google Scholar] [CrossRef] [PubMed]
- Liu, J.; Liu, M.; Fang, H.; Zhang, Q.; Ruan, J. Accumulation of Amino Acids and Flavonoids in Young Tea Shoots Is Highly Correlated with Carbon and Nitrogen Metabolism in Roots and Mature Leaves. Front. Plant Sci. 2021, 12, 756433. [Google Scholar] [CrossRef] [PubMed]
- Zhang, Q.; Tang, D.; Liu, M.; Ruan, J. Integrated analyses of the transcriptome and metabolome of the leaves of albino tea cultivars reveal coordinated regulation of the carbon and nitrogen metabolism. Sci. Hortic. 2018, 231, 272–281. [Google Scholar] [CrossRef]
- Fan, K.; Fan, D.M.; Ding, Z.T.; Su, Y.H.; Wang, X.C. Cs-miR156 is involved in the nitrogen form regulation of catechins accumulation in tea plant (Camellia sinensis L.). Plant Physiol. Biochem. 2015, 97, 350–360. [Google Scholar] [CrossRef] [PubMed]
- Huang, H.; Yao, Q.; Xia, E.; Gao, L. Metabolomics and Transcriptomics Analyses Reveal Nitrogen Influences on the Accumulation of Flavonoids and Amino Acids in Young Shoots of Tea Plant (Camellia sinensis L.) Associated with Tea Flavor. J. Agric. Food Chem. 2018, 66, 9828–9838. [Google Scholar] [CrossRef]
- Dong, F.; Hu, J.; Shi, Y.; Liu, M.; Zhang, Q.; Ruan, J. Effects of nitrogen supply on flavonol glycoside biosynthesis and accumulation in tea leaves (Camellia sinensis). Plant Physiol. Biochem. 2019, 138, 48–57. [Google Scholar] [CrossRef]
- Li, J.; Lv, X.J.; Wang, L.X.; Qiu, Z.M.; Song, X.M.; Lin, J.K.; Chen, W. Transcriptome analysis reveals the accumulation mechanism of anthocyanins in ‘Zijuan’ tea (Camellia sinensis var. asssamica (Masters) kitamura) leaves. Plant Growth Regul. 2017, 81, 51–61. [Google Scholar] [CrossRef]
- Tang, D.; Liu, M.-Y.; Zhang, Q.; Ma, L.; Shi, Y.; Ruan, J. Preferential assimilation of NH4+ over NO3− in tea plant associated with genes involved in nitrogen transportation, utilization and catechins biosynthesis. Plant Sci. 2020, 291, 110369. [Google Scholar] [CrossRef]
- Wang, Y.; Wang, Y.M.; Lu, Y.T.; Qiu, Q.L.; Fan, D.M.; Wang, X.C.; Zheng, X.Q. Influence of different nitrogen sources on carbon and nitrogen metabolism and gene expression in tea plants (Camellia sinensis L.). Plant Physiol. Biochem. 2021, 167, 561–566. [Google Scholar] [CrossRef]
- Sun, L.; Fan, K.; Wang, L.; Ma, D.; Wang, Y.; Kong, X.; Li, H.; Ren, Y.; Ding, Z. Correlation among Metabolic Changes in Tea Plant Camellia sinensis (L.) Shoots, Green Tea Quality and the Application of Cow Manure to Tea Plantation Soils. Molecules 2021, 26, 6180. [Google Scholar] [CrossRef]
- Xie, S.; Feng, H.; Yang, F.; Zhao, Z.; Hu, X.; Wei, C.; Liang, T.; Li, H.; Geng, Y. Does dual reduction in chemical fertilizer and pesticides improve nutrient loss and tea yield and quality? A pilot study in a green tea garden in Shaoxing, Zhejiang Province, China. Environ. Sci. Pollut. Res. 2019, 26, 2464–2476. [Google Scholar] [CrossRef] [PubMed]
- Nambara, E.; Wees, S.C. Plant hormone functions and interactions in biological systems. Plant J. 2021, 105, 287–289. [Google Scholar] [CrossRef]
- Rainer, W.; Charles, A.S.; Po-Kai, H.; Yohei, T.; Shintaro, M.; Julian, I.S. Plant hormone regulation of abiotic stress responses. Nat. Rev. Mol. Cell Biol. 2022, 23, 680–694. Available online: https://www.nature.com/articles/s41580-022-00479-6 (accessed on 30 May 2022).
- Li, X.; Zhang, L.-P.; Zhang, L.; Yan, P.; Ahammed, G.J.; Han, W.-Y. Methyl Salicylate Enhances Flavonoid Biosynthesis in Tea Leaves by Stimulating the Phenylpropanoid Pathway. Molecules 2019, 24, 362. [Google Scholar] [CrossRef]
- Liang, D.; Shen, Y.; Ni, Z.; Wang, Q.; Lei, Z.; Xu, N.; Deng, Q.; Lin, L.; Wang, J.; Lv, X.; et al. Exogenous Melatonin Application Delays Senescence of Kiwifruit Leaves by Regulating the Antioxidant Capacity and Biosynthesis of Flavonoids. Front. Plant Sci. 2018, 9, 426. [Google Scholar] [CrossRef] [PubMed]
- An, X.-H.; Tian, Y.; Chen, K.-Q.; Liu, X.-J.; Liu, D.-D.; Xie, X.-B.; Cheng, C.-G.; Cong, P.-H.; Hao, Y.-J. MdMYB9 and MdMYB11 are Involved in the Regulation of the JA-Induced Biosynthesis of Anthocyanin and Proanthocyanidin in Apples. Plant Cell Physiol. 2015, 56, 650–662. [Google Scholar] [CrossRef]
- Sun, P.; Zhang, Z.-L.; Zhu, Q.-F.; Zhang, G.-Y.; Xiang, P.; Lin, Y.-L.; Lai, Z.-X.; Lin, J.-K. Identification of miRNAs and target genes regulating catechin biosynthesis in tea (Camellia sinensis). J. Integr. Agric. 2018, 17, 1154–1164. [Google Scholar] [CrossRef]
- Zhao, S.; Mi, X.; Guo, R.; Xia, X.; Liu, L.; An, Y.; Yan, X.; Wang, S.; Guo, L.; Wei, C. The Biosynthesis of Main Taste Compounds Is Coordinately Regulated by miRNAs and Phytohormones in Tea Plant (Camellia sinensis). J. Agric. Food Chem. 2020, 68, 6221–6236. [Google Scholar] [CrossRef]
- Xu, Y.; Mao, J.; Chen, W.; Qian, T.T.; Liu, S.C.; Hao, W.J.; Li, C.F.; Chen, L. Identification and expression profiling of the auxin response factors (ARFs) in the tea plant (Camellia sinensis (L.) O. Kuntze) under various abiotic stresses. Plant Physiol. Biochem. 2016, 98, 46–56. [Google Scholar] [CrossRef]
- Li, H.; Teng, R.-M.; Liu, J.-X.; Yang, R.-Y.; Yang, Y.-Z.; Lin, S.-J.; Han, M.-H.; Liu, J.-Y.; Zhuang, J. Identification and Analysis of Genes Involved in Auxin, Abscisic Acid, Gibberellin, and Brassinosteroid Metabolisms Under Drought Stress in Tender Shoots of Tea Plants. DNA Cell Biol. 2019, 38, 1292–1302. [Google Scholar] [CrossRef]
- Ye, M.; Liu, M.; Erb, M.; Glauser, G.; Zhang, J.; Li, X.; Sun, X. Indole primes defence signalling and increases herbivore resistance in tea plants. Plant Cell Environ. 2020, 44, 1165–1177. [Google Scholar] [CrossRef] [PubMed]
- Zhang, W.-H.; Wu, J.; Weng, L.; Zhang, H.; Zhang, J.; Wu, A. An improved phenol-sulfuric acid method for the determination of carbohydrates in the presence of persulfate. Carbohydr. Polym. 2020, 227, 115332. [Google Scholar] [CrossRef]
- Zhang, G.; Wang, Q.; Tao, W.; Jiang, W.; Elinav, E.; Wang, Y.; Zhu, S. Glucosylated nanoparticles for the oral delivery of antibiotics to the proximal small intestine protect mice from gut dysbiosis. Nat. Biomed. Eng. 2022, 6, 867–881. [Google Scholar] [CrossRef]
- Wang, Y.; Ouyang, J.-X.; Fan, D.-M.; Wang, S.-M.; Xuan, Y.-M.; Wang, X.-C.; Zheng, X.-Q. Transcriptome analysis of tea (Camellia sinensis) leaves in response to ammonium starvation and recovery. Front. Plant Sci. 2022, 13, 963269. [Google Scholar] [CrossRef] [PubMed]
- Chen, Y.; Wang, F.; Wu, Z.; Jiang, F.; Yu, W.; Yang, J.; Chen, J.; Jian, G.; You, Z.; Zeng, L. Effects of Long-Term Nitrogen Fertilization on the Formation of Metabolites Related to Tea Quality in Subtropical China. Metabolites 2021, 11, 146. [Google Scholar] [CrossRef]
- Yang, X.; Ma, L.; Ji, L.; Shi, Y.; Yi, X.; Yang, Q.; Ni, K.; Ruan, J. Long-term nitrogen fertilization indirectly affects soil fungi community structure by changing soil and pruned litter in a subtropical tea (Camellia sinensis L.) plantation in China. Plant Soil 2019, 444, 409–426. [Google Scholar] [CrossRef]
- Lin, Z.H.; Chen, C.S.; Zhong, Q.S.; Ruan, Q.C.; Chen, Z.H.; You, X.M.; Shan, R.Y.; Li, X.L. The GC-TOF/MS-based Metab-olomic analysis reveals altered metabolic profiles in nitrogen-deficient leaves and roots of tea plants (Camellia sinensis). BMC Plant Biol. 2021, 21, 506. [Google Scholar] [CrossRef]
- Tewari, R.K.; Yadav, N.; Gupta, R.; Kumar, P. Oxidative Stress Under Macronutrient Deficiency in Plants. J. Soil Sci. Plant Nutr. 2021, 21, 832–859. [Google Scholar] [CrossRef]
- Noctor, G.; Lelarge-Trouverie, C.; Mhamdi, A. The metabolomics of oxidative stress. Phytochemistry 2015, 112, 33–53. [Google Scholar] [CrossRef]
- Mounira, C.; Juan, C.; Begara, M.; Juan, B.B. Oxidative stress in plants. Antioxidants 2020, 9, 481. [Google Scholar]
- Agati, G.; Brunetti, C.; Di Ferdinando, M.; Ferrini, F.; Pollastri, S.; Tattini, M. Functional roles of flavonoids in photoprotection: New evidence, lessons from the past. Plant Physiol. Biochem. 2013, 72, 35–45. [Google Scholar] [CrossRef] [PubMed]
- Chen, Z.; Li, H.; Yang, T.; Chen, T.; Dong, C.; Gu, Q.; Cheng, X. Transcriptome analysis provides insights into the molecular bases in response to different nitrogen forms-induced oxidative stress in tea plant roots (Camellia sinensis). Funct. Plant Biol. 2020, 47, 1073–1082. [Google Scholar] [CrossRef] [PubMed]
- Toshihiro, O.; Annemarie, M.; Susanne, K.; Martin, L.; Wagner, L.A.; Ralph, B.; Lee, J.S.; Alisdair, R.F. Alteration of mitochondrial protein complexes in relation to metabolic regulation under short-term oxidative stress in Arabidopsis seedlings. Phytochemistry 2011, 72, 1081–1091. [Google Scholar]
- Yang, T.; Li, H.; Tai, Y.; Dong, C.; Cheng, X.; Xia, E.; Chen, Z.; Li, F.; Wan, X.; Zhang, Z. Transcriptional regulation of amino acid metabolism in response to nitrogen deficiency and nitrogen forms in tea plant root (Camellia sinensis L.). Sci. Rep. 2020, 10, 6868. [Google Scholar] [CrossRef]
- Wang, X.; Bian, Y.; Cheng, K.; Zou, H.; Sun, S.S.-M.; He, J.-X. A Comprehensive Differential Proteomic Study of Nitrate Deprivation in Arabidopsis Reveals Complex Regulatory Networks of Plant Nitrogen Responses. J. Proteome Res. 2012, 11, 2301–2315. [Google Scholar] [CrossRef]
- Tsai, C.-H.; Uygun, S.; Roston, R.; Shiu, S.-H.; Benning, C. Recovery from N Deprivation Is a Transcriptionally and Functionally Distinct State in Chlamydomonas. Plant Physiol. 2018, 176, 2007–2023. [Google Scholar] [CrossRef]
- Björn, H.; Tatjana, M.H. The role of amino acid metabolism in signaling and metabolic adaptation to stress-induced energy deficiency in plants. J. Exp. Bot. 2021, 72, 4634–4645. [Google Scholar]
- Batista-Silva, W.; Heinemann, B.; Rugen, N.; Nunes-Nesi, A.; Araújo, W.L.; Braun, H.-P.; Hildebrandt, T.M. The role of amino acid metabolism during abiotic stress release. Plant Cell Environ. 2019, 42, 1630–1644. [Google Scholar] [CrossRef]
- Wang, Y.; Cheng, X.; Yang, T.; Su, Y.; Lin, S.; Zhang, S.; Zhang, Z. Nitrogen-Regulated Theanine and Flavonoid Biosynthesis in Tea Plant Roots: Protein-Level Regulation Revealed by Multiomics Analyses. J. Agric. Food Chem. 2021, 69, 10002–10016. [Google Scholar] [CrossRef]
- Ji, L.; Wu, Z.; You, Z.; Yi, X.; Ni, K.; Guo, S.; Ruan, J. Effects of organic substitution for synthetic N fertilizer on soil bacterial diversity and community composition: A 10-year field trial in a tea plantation. Agric. Ecosyst. Environ. 2018, 268, 124–132. [Google Scholar] [CrossRef]
- Gao, R.; Duan, Y.; Zhang, J.; Ren, Y.; Li, H.; Liu, X.; Zhao, P.; Jing, Y. Effects of long-term application of organic manure and chemical fertilizer on soil properties and microbial communities in the agro-pastoral ecotone of North China. Front. Environ. Sci. 2022, 10, 993973. [Google Scholar] [CrossRef]
- Hamed, S.S.; Jonas, V.B.; Geert, A.; Monica, H. Glutamate metabolism in plant disease and defense: Friend or Foe? Mol. Plant-Microbe Interact. 2013, 26, 475–485. [Google Scholar]
- Koochak, H.; Ludwig-Müller, J. Physcomitrium patens Mutants in Auxin Conjugating GH3 Proteins Show Salt Stress Tolerance but Auxin Homeostasis Is Not Involved in Regulation of Oxidative Stress Factors. Plants 2021, 10, 1398. [Google Scholar] [CrossRef] [PubMed]
- Stepanova, A.N.; Alonso, J.M. Auxin catabolism unplugged: Role of IAA oxidation in auxin homeostasis. Proc. Natl. Acad. Sci. USA 2016, 113, 10742–10744. [Google Scholar] [CrossRef] [PubMed]
- Ye, D.; Shen, Q.; Guo, Y.; Yu, H.; Huang, H.; Zhang, X.; Zheng, Z.; Wang, Y.; Li, T. Sufficient nitrogen promoted high phosphorus tolerance and phosphorus-accumulating capability of Polygonum hydropiper in relation to changes of phytohormones and phenols. Chemosphere 2021, 278, 130318. [Google Scholar] [CrossRef] [PubMed]
- Yang, H.; Fecht-Bartenbach, J.V.; Friml, J.; Lohmann, J.U.; Benjamin, N.U.; Uwe, L. Auxin-modulated root growth inhibition in Arabidopsis thaliana seedlings with ammonium as the sole nitrogen source. Funct. Plant Biol. 2015, 42, 239–251. [Google Scholar] [CrossRef] [PubMed]
- Fan, K.; Zhang, Q.; Tang, D.; Shi, Y.; Ma, L.; Liu, M.; Ruan, J. Dynamics of nitrogen translocation from mature leaves to new shoots and related gene expression during spring shoots development in tea plants (Camellia sinensis L.). J. Plant Nutr. Soil Sci. 2020, 183, 180–191. [Google Scholar] [CrossRef]
- Sheen, J. The Cytokinin Side Chain Commands Shooting. Dev. Cell 2013, 27, 371–372. [Google Scholar] [CrossRef]
- Chen, L.; Zhao, J.; Song, J.; Jameson, P.E. Cytokinin glucosyl transferases, key regulators of cytokinin homeostasis, have potential value for wheat improvement. Plant Biotechnol. J. 2021, 19, 878–896. [Google Scholar] [CrossRef]
- Li, W.; Herrera-Estrella, L.; Tran, L.-S.P. The Yin–Yang of Cytokinin Homeostasis and Drought Acclimation/Adaptation. Trends Plant Sci. 2016, 21, 548–550. [Google Scholar] [CrossRef]
- Kong, L.; Zhang, Y.; Du, W.; Xia, H.; Fan, S.; Zhang, B. Signaling Responses to N Starvation: Focusing on Wheat and Filling the Putative Gaps with Findings Obtained in Other Plants. A Review. Front. Plant Sci. 2021, 12, 656696. [Google Scholar] [CrossRef] [PubMed]
- Contreras-López, O.; Vidal, E.A.; Riveras, E.; Alvarez, J.M.; Moyano, T.C.; Sparks, E.E.; Medina, J.; Pasquino, A.; Benfey, P.N.; Coruzzi, G.M.; et al. Spatiotemporal analysis identifies ABF2 and ABF3 as key hubs of endodermal response to nitrate. Proc. Natl. Acad. Sci. USA 2022, 119, e2107879119. [Google Scholar] [CrossRef] [PubMed]
- Mattus-Araya, E.; Guajardo, J.; Herrera, R.; Moya-León, M.A. ABA Speeds Up the Progress of Color in Developing F. chiloensis Fruit through the Activation of PAL, CHS and ANS, Key Genes of the Phenylpropanoid/Flavonoid and Anthocyanin Pathways. Int. J. Mol. Sci. 2022, 23, 3854. [Google Scholar] [CrossRef] [PubMed]
- Zhang, Y.L.; Li, X. Salicylic acid: Biosynthesis, perception, and contributions to plant immunity. Curr. Opin. Plant Biol. 2019, 50, 29–36. [Google Scholar] [CrossRef] [PubMed]
- Jiao, L.; Bian, L.; Luo, Z.; Li, Z.; Xiu, C.; Fu, N.; Cai, X.; Chen, Z. Enhanced volatile emissions and anti-herbivore functions mediated by the synergism between jasmonic acid and salicylic acid pathways in tea plants. Hortic. Res. 2022, 9, uhac144. [Google Scholar] [CrossRef]
- Goto, M.; Oikawa, A.; Masuda, S. Metabolic changes contributing to large biomass production in the Arabidopsis ppGpp-accumulating mutant under nitrogen deficiency. Planta 2022, 255, 48. [Google Scholar] [CrossRef]
- Schilmiller, A.; Koo, A.; Howe, G.A. Functional Diversification of Acyl-Coenzyme A Oxidases in Jasmonic Acid Biosynthesis and Action. Plant Physiol. 2007, 143, 812–824. [Google Scholar] [CrossRef]
- Hazman, M.; Sühnel, M.; Schäfer, S.; Zumsteg, J.; Lesot, A.; Beltran, F.; Marquis, V.; Herrgott, L.; Miesch, L.; Riemann, M.; et al. Characterization of Jasmonoyl-Isoleucine (JA-Ile) Hormonal Catabolic Pathways in Rice upon Wounding and Salt Stress. Rice 2019, 12, 45. [Google Scholar] [CrossRef]












| Treatment | Fertilizer and Dosage kg/ha | N Supply kg/ha | P2O5 Supply kg/ha | K2O Supply kg/ha | ||
|---|---|---|---|---|---|---|
| Base Fertilizer | After Manuring | Inorganic | Organic | |||
| HN1 | Chemical fertilizer 600 | Urea 360 | 300 | 0 | 54 | 72 |
| HN2 | Commercial organic fertilizer 7500 | Urea 325 | 150 | 150 | 75 | 75 |
| LN1 | Chemical fertilizer 600 | Urea 40 | 150 | 0 | 54 | 72 |
| LN2 | Commercial organic fertilizer 7500 | 0 | 0 | 150 | 75 | 75 |
| TF | Chemical fertilizer 600 | Urea 360 | 300 | 0 | 54 | 72 |
| NF | 0 | 0 | 0 | 0 | 0 | 0 |
| Plant Hormones | Content (ng/g) | |||||
|---|---|---|---|---|---|---|
| HN1 | HN2 | LN1 | LN2 | NF | TF | |
| ABA | 860.68 ± 44.27 c | 1181.40 ± 86.86 b | 1928.32 ± 117.73 a | 968.46 ± 15.90 c | 981.22 ± 64.17 c | 951.15 ± 8.55 c |
| cis-OPDA | 56.94 ± 9.77 b | 60.45 ± 15.45 b | 150.41 ± 35.64 a | 118.10 ± 49.28 a | 37.93 ± 3.19 b | 63.28 ± 18.77 b |
| JA | 600.13 ± 141.26 d | 2909.97 ± 344.27 a | 1669.73 ± 282.16 b | 1230.19 ± 63.84 c | 834.05 ± 45.39 d | 1475.86 ± 255.05 bc |
| JA-Ile | 102.92 ± 12.11 e | 207.98 ± 15.72 c | 146.76 ± 3.83 d | 153.35 ± 5.02 d | 245.76 ± 8.77 b | 312.28 ± 20.15 a |
| SA | 3177.61 ± 46.71 cd | 3239.47 ± 154.43 cd | 3583.45 ± 70.06 a | 3354.66 ± 91.96 bc | 3436.38 ± 104.29 ab | 3150.73 ± 110.32 d |
| ACC | 1212.41 ± 71.28 a | 873.03 ± 133.20 c | 1093.79 ± 177.18 ab | 1158.99 ± 64.34 ab | 1035.72 ± 99.41 abc | 958.49 ± 104.74 bc |
| GA4 | 2.46 ± 0.23 bc | 2.90 ± 0.57 ab | 2.02 ± 0.45 c | 2.63 ± 0.06 abc | 2.07 ± 0.28 c | 3.21 ± 0.23 a |
| IAA | 101.94 ± 16.86 b | 123.35 ± 23.57 ab | 160.65 ± 30.13 a | 112.47 ± 14.59 b | 139.31 ± 7.51 ab | 134.69 ± 30.78 ab |
| TY (Typhasterol) | 25.47 ± 1.20 a | 23.08 ± 1.51 a | 22.82 ± 1.60 a | 24.67 ± 0.83 a | 23.71 ± 1.30 a | 22.82 ± 2.53 a |
| CKs | 16.47 ± 0.25 b | 21.05 ± 1.29 a | 15.81 ± 1.09 b | 16.50 ± 3.00 b | 15.23 ± 1.95 b | 15.74 ± 1.15 b |
| iP | 0.37 ± 0.03 c | 0.52 ± 0.11 b | 0.46 ± 0.05 bc | 0.37 ± 0.06 c | 0.77 ± 0.02 a | 0.40 ± 0.03 c |
| transZ | 0.39 ± 0.08 b | 0.43 ± 0.06 b | 0.38 ± 0.01 b | 0.49 ± 0.13 b | 0.42 ± 0.06 b | 0.72 ± 0.13 a |
| cisZ | 0.82 ± 0.09 c | 1.21 ± 0.09 a | 0.84 ± 0.15 c | 0.85 ± 0.14 bc | 1.14 ± 0.12 a | 1.05 ± 0.06 ab |
| iPR | 3.56 ± 0.27 a | 3.40 ± 0.26 ab | 3.02 ± 0.27 bc | 3.02 ± 0.13 bc | 3.39 ± 0.24 ab | 2.61 ± 0.16 c |
| transZR | 5.51 ± 0.37 b | 7.95 ± 0.50 a | 4.96 ± 0.26 b | 5.52 ± 1.37 b | 4.39 ± 1.13 b | 5.11 ± 0.81 b |
| cisZR | 5.82 ± 0.43 b | 7.53 ± 0.55 a | 6.16 ± 0.70 b | 6.25 ± 1.28 ab | 5.11 ± 0.62 b | 5.84 ± 0.49 b |
| Treatment | Soil Layer | pH | OM g/kg | TN g/kg | TP g/kg | TK g/kg | NO3−-N mg/kg | NH4+-N mg/kg | AP mg/kg | AK mg/kg |
|---|---|---|---|---|---|---|---|---|---|---|
| NF | 0–20 cm | 4.14 | 22.0 | 1.18 | 0.43 | 13.57 | 8.33 | 3.10 | 17.60 | 63.67 |
| 20–40 cm | 4.30 | 15.57 | 0.92 | 0.38 | 13.61 | 4.13 | 2.23 | 4.80 | 53.00 | |
| TF | 0–20 cm | 3.84 | 12.6 | 1.04 | 0.46 | 8.83 | 36.85 | 76.50 | 20.30 | 138.00 |
| 20–40 cm | 4.08 | 17.55 | 1.01 | 0.31 | 12.44 | 20.93 | 16.65 | 5.2 | 136.00 |
Publisher’s Note: MDPI stays neutral with regard to jurisdictional claims in published maps and institutional affiliations. |
© 2022 by the authors. Licensee MDPI, Basel, Switzerland. This article is an open access article distributed under the terms and conditions of the Creative Commons Attribution (CC BY) license (https://creativecommons.org/licenses/by/4.0/).
Share and Cite
Gong, X.; Li, L.; Qin, L.; Huang, Y.; Ye, Y.; Wang, M.; Wang, Y.; Xu, Y.; Luo, F.; Mei, H. Targeted Metabolomics Reveals Impact of N Application on Accumulation of Amino Acids, Flavonoids and Phytohormones in Tea Shoots under Soil Nutrition Deficiency Stress. Forests 2022, 13, 1629. https://doi.org/10.3390/f13101629
Gong X, Li L, Qin L, Huang Y, Ye Y, Wang M, Wang Y, Xu Y, Luo F, Mei H. Targeted Metabolomics Reveals Impact of N Application on Accumulation of Amino Acids, Flavonoids and Phytohormones in Tea Shoots under Soil Nutrition Deficiency Stress. Forests. 2022; 13(10):1629. https://doi.org/10.3390/f13101629
Chicago/Turabian StyleGong, Xuejiao, Lanying Li, Lin Qin, Yingbo Huang, Yulong Ye, Min Wang, Yingchun Wang, Yaqiong Xu, Fan Luo, and Huiling Mei. 2022. "Targeted Metabolomics Reveals Impact of N Application on Accumulation of Amino Acids, Flavonoids and Phytohormones in Tea Shoots under Soil Nutrition Deficiency Stress" Forests 13, no. 10: 1629. https://doi.org/10.3390/f13101629
APA StyleGong, X., Li, L., Qin, L., Huang, Y., Ye, Y., Wang, M., Wang, Y., Xu, Y., Luo, F., & Mei, H. (2022). Targeted Metabolomics Reveals Impact of N Application on Accumulation of Amino Acids, Flavonoids and Phytohormones in Tea Shoots under Soil Nutrition Deficiency Stress. Forests, 13(10), 1629. https://doi.org/10.3390/f13101629
