Effects of Poplar Shelterbelt Plantations on Soil Aggregate Distribution and Organic Carbon in Northeastern China
Abstract
1. Introduction
2. Materials and Methods
2.1. Study Area
2.2. Experiment Design, Soil Sample Collection, and Measurements for the Parameters of Aggregates
2.3. Data Analysis
3. Results
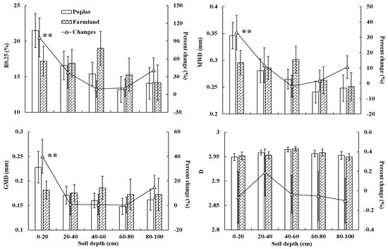
3.1. Proportion and Stability of the Soil Aggregates
3.2. SOC in Total Soil
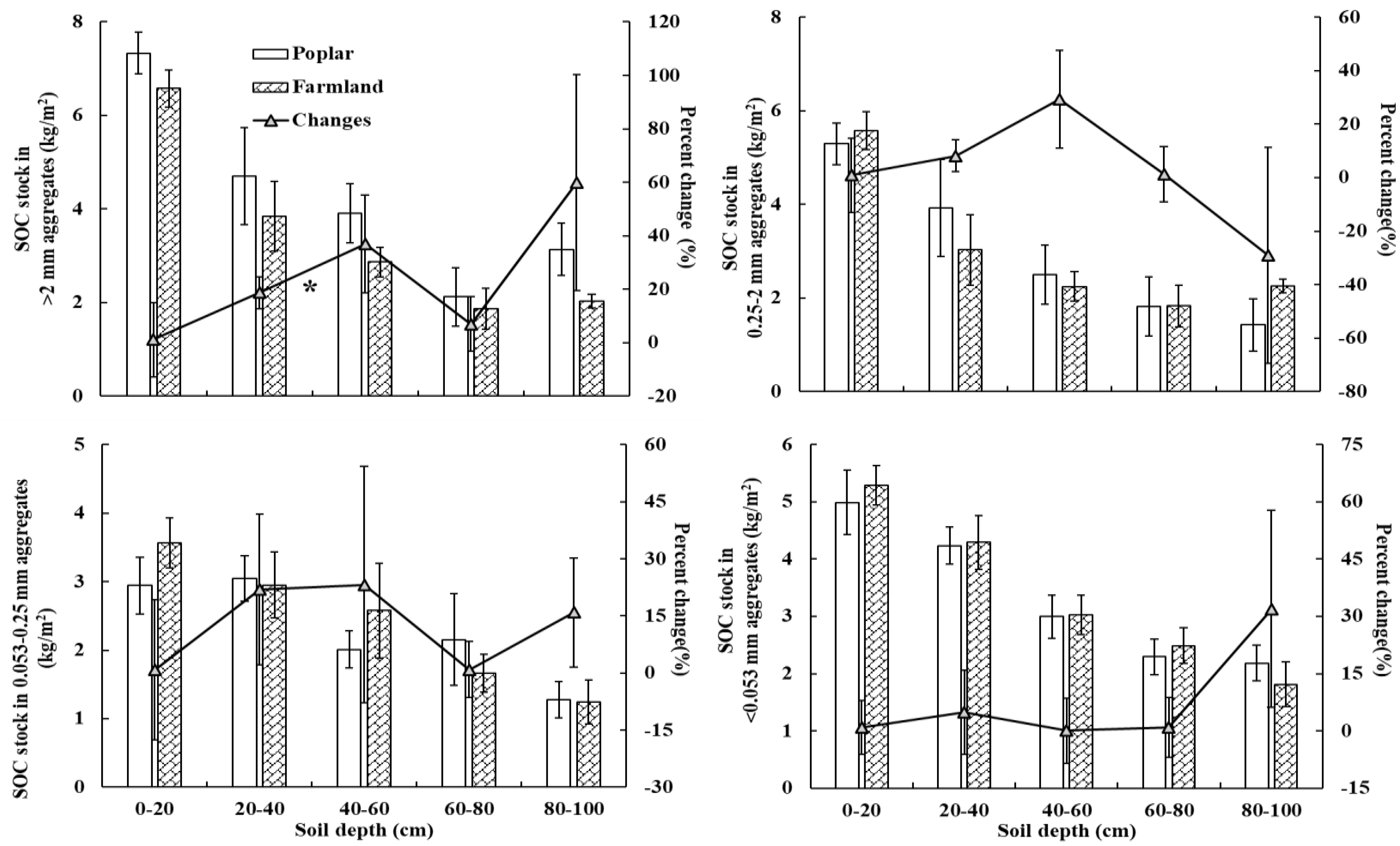
3.3. SOC in Aggregates
3.4. Relationships between SOC in Total Soils and Aggregates
4. Discussion
4.1. Improvement of Soil Structure and Stability following Afforestation
4.2. Accumulation of SOC in Total Soil and Aggregates
4.3. Relationship of SOC in Total Soil and Aggregate-Associated SOC
5. Conclusions
Author Contributions
Funding
Data Availability Statement
Conflicts of Interest
References
- Lal, R. Soil carbon sequestration to mitigate climate change. Geoderma 2004, 123, 1–22. [Google Scholar] [CrossRef]
- Zhang, X.; Chen, S.; Yang, Y.; Wang, Q.; Wu, Y.; Zhou, Z.; Wang, H.; Wang, W. Shelterbelt farmland-afforestation induced SOC accrual with higher temperature stability: Cross-sites 1 m soil profiles analysis in NE China. Sci. Total Environ. 2022, 814, 151942. [Google Scholar] [CrossRef] [PubMed]
- IPCC. Climate Change 2007: The Physical Science Basis; Cambridge University Press: Cambridge, UK, 2007. [Google Scholar]
- Briedis, C.; Baldock, J.; de Moraes Sá, J.C.; dos Santos, J.B.; McGowan, J.; Milori, D.M. Organic carbon pools and organic matter chemical composition in response to different land uses in southern Brazil. Eur. J. Soil Sci. 2021, 72, 1083–1100. [Google Scholar] [CrossRef]
- Deng, L.; Liu, G.B.; Shangguan, Z.P. Land-use conversion and changing soil carbon stocks in China’s ‘Grain-for-Green’Program: A synthesis. Glob. Chang. Biol. 2014, 20, 3544–3556. [Google Scholar] [CrossRef]
- Basak, N.; Mandal, B.; Datta, A.; Kundu, M.C.; Rai, A.K.; Basak, P.; Mitran, T. Stock and stability of organic carbon in soils under major agro-ecological zones and cropping systems of sub-tropical India. Agric. Ecosyst. Environ. 2021, 312, 107317. [Google Scholar] [CrossRef]
- Zhu, J.J. A review of the present situation and future prospect of science of protective forest. Chin. J. Plant Ecol. 2013, 37, 872–888. [Google Scholar] [CrossRef]
- Wang, W.J.; Qiu, L.; Zu, Y.G.; Su, D.X.; An, J.; Wang, H.Y.; Zheng, G.Y.; Wei, S.; Chen, X.Q. Changes in soil organic carbon, nitrogen, pH and bulk density with the development of larch (Larix gmelinii) plantations in China. Glob. Chang. Biol. 2011, 17, 2657–2676. [Google Scholar]
- Wang, X.; Zhong, Z.; Li, W.; Liu, W.; Han, X. Effects of Robinia pseudoacacia afforestation on aggregate size distribution and organic C dynamics in the central Loess Plateau of China: A chronosequence approach. J. Environ. Manag. 2020, 268, 110558. [Google Scholar] [CrossRef]
- Mao, R.; Zeng, D.H.; Hu, Y.L.; Yang, L.D. Soil organic carbon and nitrogen stocks in an age-sequence of poplar stands planted on marginal agricultural land in Northeast China. Plant Soil 2010, 332, 277–287. [Google Scholar] [CrossRef]
- Hou, G.; Delang, C.O.; Lu, X.; Gao, L. A meta-analysis of changes in soil organic carbon stocks after afforestation with deciduous broadleaved, sempervirent broadleaved, andconifer tree species. Ann. For. Sci. 2020, 77, 92. [Google Scholar] [CrossRef]
- Davis, M.; Nordmeyer, A.; Henley, D.; Watt, M. Ecosystem carbon accretion 10 years after afforestation of depleted subhumid grassland planted with three densities of Pinus nigra. Glob. Chang. Biol. 2007, 13, 1414–1422. [Google Scholar] [CrossRef]
- Ritter, E. Carbon, nitrogen and phosphorus in volcanic soils following afforestation with native birch (Betula pubescens) and introduced larch (Larix sibirica) in Iceland. Plant Soil 2007, 295, 239–251. [Google Scholar] [CrossRef]
- Chen, L.; Xiang, W.; Wu, H.; Ouyang, S.; Lei, P.; Hu, Y.; Ge, T.; Ye, J.; Kuzyakov, Y. Contrasting patterns and drivers of soil fungal communities in subtropical deciduous and evergreen broadleaved forests. Appl. Microbiol. Biotechnol. 2019, 103, 5421–5433. [Google Scholar] [CrossRef] [PubMed]
- Deng, L.; Kim, D.G.; Peng, C.H.; Shangguan, Z.P. Controls of soil and aggregate-associated organic carbon variations following natural vegetation restoration on the Loess Plateau in China. Land Degrad. Dev. 2018, 29, 3974–3984. [Google Scholar] [CrossRef]
- Pan, J.; Wang, J.; Zhang, R.; Tian, D.; Cheng, X.; Wang, S.; Chen, C.; Yang, L.; Niu, S. Microaggregates regulated by edaphic properties determine the soil carbon stock in Tibetan alpine grasslands. Catena 2021, 206, 105570. [Google Scholar] [CrossRef]
- Wei, X.; Shao, M.; Gale, W.J.; Zhang, X.; Li, L. Dynamics of aggregate-associated organic carbon following conversion of forest to cropland. Soil Biol. Biochem. 2013, 57, 876–883. [Google Scholar] [CrossRef]
- Xia, W.Y.; Shan, R.L.; Fang, F.N.; Hua, S.Z. Aggregate stability and associated organic carbon and nitrogen as affected by soil erosion and vegetation rehabilitation on the Loess Plateau. Catena 2018, 167, 257–265. [Google Scholar]
- Wei, X.R.; Li, X.Z.; Jia, X.X.; Shao, M.G. Accumulation of soil organic carbon in aggregates after afforestation on abandoned farmland. Biol. Fertil. Soils 2013, 49, 637–646. [Google Scholar] [CrossRef]
- Chen, G.P.; Gao, Z.Y.; Zu, L.H.; Tang, L.L.; Shi, F.C. Soil aggregate characteristics and stability of soil carbon stocks in a Pinus tabulaeformis plantation. New For. 2017, 48, 837–853. [Google Scholar] [CrossRef]
- Lan, J.C.; Long, Q.X.; Huang, M.Z.; Jiang, Y.X.; Hu, N. Afforestation-induced large macroaggregate formation promotes soil organic carbon accumulation in degraded karst area. For. Ecol. Manag. 2022, 505, 119884. [Google Scholar] [CrossRef]
- Caravaca, F.; Lax, A.; Albaladejo, J. Aggregate stability and carbon characteristics of particle-size fractions in cultivated and forested soils of semiarid Spain. Soil Tillage Res. 2004, 78, 83–90. [Google Scholar] [CrossRef]
- Wei, C.; Wang, Q.; Ren, M.; Pei, Z.; Lu, J.; Wang, H.; Wang, W. Soil aggregation accounts for the mineral soil organic carbon and nitrogen accrual in broadleaved forests as compared to that of coniferous forests in Northeast China: Cross-sites and multiple species comparisons. Land Degrad. Dev. 2021, 32, 296–309. [Google Scholar] [CrossRef]
- Grandy, A.S.; Robertson, G.P. Land-Use Intensity Effects on Soil Organic Carbon Accumulation Rates and Mechanisms. Ecosystems 2007, 10, 58–73. [Google Scholar] [CrossRef]
- Wei, X.; Shao, M.; Gale, W.; Li, L. Global pattern of soil carbon losses due to the conversion of forests to agricultural land. Sci. Rep. 2014, 4, 4062. [Google Scholar] [CrossRef]
- Zhong, Z.; Chen, Z.; Xu, Y.; Ren, C.; Yang, G.; Han, X.; Ren, G.; Feng, Y. Relationship between soil organic carbon stocks and clay content under different climatic conditions in central China. Forest 2018, 9, 598. [Google Scholar] [CrossRef]
- Liu, S.; Zhang, Z.B.; Li, D.M.; Hallett, P.D.; Zhang, G.L.; Peng, X.H. Temporal dynamics and vertical distribution of newly-derived carbon from a C3/C4 conversion in an Ultisol after 30-yr fertilization. Geoderma 2019, 337, 1077–1085. [Google Scholar] [CrossRef]
- Li, T.; Zhang, Y.; Bei, S.; Li, X.; Reinsch, S.; Zhang, H.; Zhang, J. Contrasting impacts of manure and inorganic fertilizer applications for nine years on soil organic carbon and its labile fractions in bulk soil and aggregates. Catena 2020, 194, 104739. [Google Scholar] [CrossRef]
- Gong, Z.T.; Zhang, G.L.; Chen, Z.C. Pedogenesis and Soil Taxonomy; Science Press: Beijing, China, 2007. [Google Scholar]
- Zhu, J.J.; Song, L. A review of ecological mechanisms for management practices of protective forests. J. For. Res. 2021, 32, 435–448. [Google Scholar] [CrossRef]
- Wu, Y.; Wang, W.J.; Wang, Q.; Zhong, Z.L.; Yao, Y.L. Impact of poplar shelterbelt plantations on surface soil properties in northeast China. Can. J. For. Res. 2018, 48, 559–567. [Google Scholar] [CrossRef]
- Wu, Y.; Wang, Q.; Wang, H.M.; Wang, W.J.; Han, S.J. Shelterbelt Poplar Forests Induced Soil Changes in Deep Soil Profiles and Climates Contributed Their Inter-site Variations in Dryland Regions, Northeastern China. Front. Plant Sci. 2019, 10, 220. [Google Scholar] [CrossRef]
- Bao, S. The Method of the Soil and Agriculture Chemical Analysis; China Agriculture Press: Beijing, China, 2000. [Google Scholar]
- Cambardella, C.A.; Elliott, E.T. Carbon and Nitrogen Distribution in Aggregates from Cultivated and Native Grassland Soils. Soil Sci. Soc. Am. J. 1993, 57, 1071–1076. [Google Scholar] [CrossRef]
- Kemper, W.D.; Rosenau, R.C. Aggregate stability and size distribution. Methods Soil Anal. Part 1 Phys. Mineral. Methods 1986, 5, 425–442. [Google Scholar]
- Ding, W.F.; Ding, D.S. The fractal features of soil granule structure before and after vegetation destruction on Loess Plateau. Geogr. Res. 2002, 21, 700–706. [Google Scholar]
- Liu, Y.; Zha, T.G.; Wang, Y.K.; Wang, G.M. Soil aggregate stability and soil organic carbon characteristics in Quercus variabilis and Pinus tabulaeformis plantations in Beijing area. Chin. J. Appl. Ecol. 2013, 24, 607–613. [Google Scholar]
- Zhong, Z.; Wang, X.; Zhang, X.; Zhang, W.; Yang, G. Edaphic factors but not plant characteristics mainly alter soil microbial properties along a restoration chronosequence of Pinus tabulaeformis stands on Mt. Ziwuling, China. For. Ecol. Manag. 2019, 453, 117625–117634. [Google Scholar] [CrossRef]
- Bronick, C.J.; Lal, R. Soil structure and management: A review. Geoderma 2005, 124, 3–22. [Google Scholar] [CrossRef]
- Qiu, L.P.; Wei, X.R.; Zhang, X.C.; Cheng, J.M.; Long, T. Soil organic carbon losses due to land use change in a semiarid grassland. Plant Soil 2012, 355, 299–309. [Google Scholar] [CrossRef]
- Bargali, K.; Bargali, S. Effect of size and altitude on soil organic carbon stock in homegarden agroforestry system in Central Himalaya, India. Acta Ecol. Sin. 2020, 40, 483–491. [Google Scholar] [CrossRef]
- Mayer, M.; Prescott, C.E.; Abaker, W.E.; Augusto, L.; Cécillon, L.; Ferreira, G.W.; James, J.; Jandl, R.; Katzensteiner, K.; Laclau, J.P.; et al. Tamm Review: Influence of forest management activities on soil organic carbon stocks: A knowledge synthesis. For. Ecol. Manag. 2020, 466, 118127. [Google Scholar] [CrossRef]
- Bhattacharyya, R.; Tuti, M.D.; Kundu, S.; Bisht, J.K.; Bhatt, J.C. Conservation Tillage Impacts on Soil Aggregation and Carbon Pools in a Sandy Clay Loam Soil of the Indian Himalayas. Soil Sci. Soc. Am. J. 2012, 76, 617–627. [Google Scholar] [CrossRef]
- Wang, S.; Li, T.; Zheng, Z. Tea plantation age effects on soil aggregate-associated carbon and nitrogen in the hilly region of western Sichuan, China. Soil Tillage Res. 2018, 180, 91–98. [Google Scholar] [CrossRef]
- Zhu, G.Y.; Shangguan, Z.P.; Deng, L. Variations in soil aggregate stability due to land use changes from agricultural land on the Loess Plateau, China. Catena 2021, 200, 105181. [Google Scholar] [CrossRef]
- Barreto, R.C.; Madari, B.E.; Machado, P.; Maddock, J.; Costa, A.R. The impact of soil management on aggregation, carbon stabilization and carbon loss as CO2 in the surface layer of a Rhodic Ferralsol in Southern Brazil. Agric. Ecosyst. Environ. 2009, 132, 243–251. [Google Scholar] [CrossRef]
- Guidi, C.; Magid, J.; Rodeghiero, M.; Gianelle, D.; Vesterdal, L. Effects of forest expansion on mountain grassland: Changes within soil organic carbon fractions. Plant Soil 2014, 385, 373–387. [Google Scholar] [CrossRef]
- Plaza-Bonilla, D.; Cantero-Martínez, C.; Viñas, P.; Álvaro-Fuentes, J. Soil aggregation and organic carbon protection in a no-tillage chronosequence under Mediterranean conditions. Geoderma 2013, 193–194, 76–82. [Google Scholar] [CrossRef]
- Sun, J.; Zhao, F.Z.; Han, X.H.; Yang, G.H.; Bai, S.B.; Hao, W.F. Ecological stoichiometry of soil aggregates and relationship with soil nutrients of different-aged Robinia pseudoacacia forests. Acta Ecol. Sin. 2016, 36, 6879–6888. [Google Scholar]
- Hontoria, C.; Gomez-Paccard, C.; Mariscal-Sancho, I.; Benito, M.; Perez, J.; Espejo, R. Aggregate size distribution and associated organic C and N under different tillage systems and Ca-amendment in a degraded Ultisol. Soil Tillage Res. 2016, 160, 42–52. [Google Scholar] [CrossRef]
- Don, A.; Schumacher, J.; Freibauer, A. Impact of tropical land-use change on soil organic carbon stocks—A meta-analysis. Glob. Chang. Biol. 2015, 17, 1658–1670. [Google Scholar] [CrossRef]
- Qiu, L.P.; Wei, X.R.; Gao, J.L.; Zhang, X.C. Dynamics of soil aggregate-associated organic carbon along an afforestation chronosequence. Plant Soil 2015, 391, 237–251. [Google Scholar] [CrossRef]
- Wang, C.; Qu, L.R.; Yang, L.M.; Liu, D.W.; Bai, E. Large-scale importance of microbial carbon use efficiency and necromass to soil organic carbon. Glob. Chang. Biol. 2021, 27, 2039–2048. [Google Scholar] [CrossRef]
- Elliott, E.T. Aggregate Structure and Carbon, Nitrogen, and Phosphorus in Native and Cultivated Soils. Soil Sci. Soc. Am. J. 1986, 50, 627–633. [Google Scholar] [CrossRef]
- Six, J.; Bossuyt, H.; Degryze, S. A history of research on the link between (micro) aggregates, soil biota, and soil organic matter dynamics. Soil Tillage Res. 2004, 79, 7–31. [Google Scholar] [CrossRef]
- Blanco-Canqui, H.; Lal, R.; Lemus, R. Soil aggregate properties and organic carbon for switchgrass and traditional agricultural systems in the southeastern united states. Soil Sci. 2005, 170, 998–1012. [Google Scholar] [CrossRef]
- Razafimbelo, T.M.; Albrecht, A.; Oliver, R.; Chevallier, T.; Chapuis, L.L.C. Aggregate associated-C and physical protection in a tropical clayeysoil under Malagasy conventional and no-tillage systems. Soil Tillage Res. 2008, 98, 140–149. [Google Scholar] [CrossRef]
- Xiao, L.M.; Zhang, W.; Hu, P.L.; Xiao, D.; Yang, R. The formation of large macroaggregates induces soil organic carbon sequestration in short-term cropland restoration in a typical karst area. Sci. Total Environ. 2021, 801, 149588. [Google Scholar] [CrossRef] [PubMed]
- Zhong, Z.; Han, X.; Xu, Y.; Zhang, W.; Fu, S.; Liu, W.; Ren, C.; Yang, G.; Ren, G. Effects of land use change on organic carbon dynamics associated with soil aggregate fractions on the Loess Plateau, China. Land Degrad. Dev. 2019, 30, 1070–1082. [Google Scholar] [CrossRef]
- Gao, H.; Qiu, L.; Zhang, Y.; Wang, L.; Zhang, X.; Cheng, J. Distribution of organic carbon and nitrogen in soil aggregates of aspen (Populus simonii Carr.) woodlands in the semi-arid Loess Plateau of China. Soil Res. 2013, 51, 406. [Google Scholar] [CrossRef]
- Sodhi, G.; Beri, V.; Benbi, D.K. Soil aggregation and distribution of carbon and nitrogen in different fractions under long-term application of compost in rice–wheat system. Soil Tillage Res. 2009, 103, 412–418. [Google Scholar] [CrossRef]
- Six, J.; Paustian, K. Aggregate-associated soil organic matter as an ecosystem property and a measurement tool. Soil Biol. Biochem. 2014, 68, A4–A9. [Google Scholar] [CrossRef]
- Fang, X.M.; Chen, F.; Wan, S.; Yang, Q.; Shi, J. Topsoil and Deep Soil Organic Carbon Concentration and Stability Vary with Aggregate Size and Vegetation Type in Subtropical China. PLoS ONE 2015, 10, e0139380. [Google Scholar] [CrossRef]
- Zhu, G.Y.; Shangguan, Z.P.; Deng, L. Soil aggregate stability and aggregate-associated carbon and nitrogen in natural restoration grassland and Chinese red pine plantation on the Loess Plateau. Catena 2017, 149, 253–260. [Google Scholar] [CrossRef]







| Site | Bulk Density (g/cm3) | Porosity (%) | Soil Moisture (%) | pH | EC (μS/cm) | SOC Content (g/kg) | Total N (g/kg) | Alkaline Hydrolyzed N (mg/kg) | Total K (g/kg) | Available K (mg/kg) | Total P (g/kg) | Available P (mg/kg) |
|---|---|---|---|---|---|---|---|---|---|---|---|---|
| Dumeng | 1.56 | 35.63 | 5.37 | 8.43 | 94.36 | 7.50 | 0.66 | 46.35 | 57.76 | 60.92 | 0.34 | 5.21 |
| Lanling | 1.46 | 40.17 | 10.82 | 7.57 | 103.22 | 10.66 | 1.00 | 69.10 | 51.75 | 77.05 | 0.66 | 6.26 |
| Zhaodong | 1.40 | 42.32 | 13.32 | 8.49 | 135.96 | 11.08 | 1.05 | 58.22 | 46.84 | 53.14 | 0.31 | 3.56 |
| Proportion of Aggregates | R0.25 | MWD | GMD | D | |||||
|---|---|---|---|---|---|---|---|---|---|
| >2 mm | 0.25–2 mm | 0.053–0.25 mm | <0.053 mm | ||||||
| SOC content in total soils | R | 0.48 | −0.17 | 0.11 | 0.05 | −0.15 | −0.10 | −0.15 | −0.32 |
| P | p < 0.001 | 0.12 | 0.30 | 0.64 | 0.17 | 0.35 | 0.16 | p < 0.01 | |
| SOC stock in total soils | R | 0.46 | −0.12 | 0.12 | 0.01 | −0.10 | −0.06 | −0.11 | −0.29 |
| P | p < 0.001 | 0.25 | 0.25 | 0.91 | 0.33 | 0.57 | 0.32 | p < 0.01 | |
Publisher’s Note: MDPI stays neutral with regard to jurisdictional claims in published maps and institutional affiliations. |
© 2022 by the authors. Licensee MDPI, Basel, Switzerland. This article is an open access article distributed under the terms and conditions of the Creative Commons Attribution (CC BY) license (https://creativecommons.org/licenses/by/4.0/).
Share and Cite
Wu, Y.; Wang, Q.; Wang, H.; Wang, W.; Zhong, Z.; Di, G. Effects of Poplar Shelterbelt Plantations on Soil Aggregate Distribution and Organic Carbon in Northeastern China. Forests 2022, 13, 1546. https://doi.org/10.3390/f13101546
Wu Y, Wang Q, Wang H, Wang W, Zhong Z, Di G. Effects of Poplar Shelterbelt Plantations on Soil Aggregate Distribution and Organic Carbon in Northeastern China. Forests. 2022; 13(10):1546. https://doi.org/10.3390/f13101546
Chicago/Turabian StyleWu, Yan, Qiong Wang, Huimei Wang, Wenjie Wang, Zhaoliang Zhong, and Guili Di. 2022. "Effects of Poplar Shelterbelt Plantations on Soil Aggregate Distribution and Organic Carbon in Northeastern China" Forests 13, no. 10: 1546. https://doi.org/10.3390/f13101546
APA StyleWu, Y., Wang, Q., Wang, H., Wang, W., Zhong, Z., & Di, G. (2022). Effects of Poplar Shelterbelt Plantations on Soil Aggregate Distribution and Organic Carbon in Northeastern China. Forests, 13(10), 1546. https://doi.org/10.3390/f13101546

