Abstract
Plantations play a vital role in the global nutrient cycle because they have large stocks of soil macronutrients. However, the impacts of plantations on soil macronutrient stocks combined with stand age and soil physicochemical properties have not been well quantified. We compared soil macronutrient stocks at soil depths of 0−20 and 20−40 cm across a 7-, 14-, 25-, and 30-year chronosequence of Masson pine (Pinus massoniana Lamb.) plantations. The results showed that the nitrogen (N), phosphorus (P), and potassium (K) stocks first increased and then decreased with stand age. The highest N and P stocks were observed in the 14-year-old plantation, and the 25-year-old plantation displayed the highest K stock. The C, N, and P stocks declined with increasing soil depth across all sites, whereas the reverse trend was found in the K stock. Carbon stocks were highest for all plantations, followed by the K, N, and P stocks. Plantation soils exhibited a higher C:P ratio and a lower P:K ratio at various soil depths. The dominant controlling factors for the soil macronutrient stocks varied significantly at different stand ages and soil depths according to statistical analysis. For the total soil system, the C stock was affected by the available nutrients, organic matter, and stoichiometry; the available nutrients and organic matter were the determinant factors of the N and P stocks. Aggregate stability could be the primary parameter affecting the K stock. Organic matter explained most of the variation in soil macronutrient stocks, followed by the P:K ratio and available K. Collectively, our results suggest that the response of soil macronutrient stocks to stand age and soil depth will be dependent on different soil physicochemical properties, and P and K may be important limiting factors in Masson pine plantation ecosystems.
1. Introduction
Soil organic carbon (SOC) is the main part of terrestrial carbon reservoirs and an important part of soil fertility. As of 2004, the size of soil carbon pool was 3.3 times that of atmospheric pool and 4.5 times that of biotic pool [1]. Carbon sequestration implies transferring atmospheric carbon dioxide into long-lived pools and achieving the purpose of mitigating CO2 emissions. The role of organic carbon is self-evident, but macronutrients such as nitrogen (N), phosphorus (P), and potassium (K) are equally as important as carbon (C) [2]. Metabolic processes in soils are often nutrient limited by N and P [3,4]. Sequestering soil carbon relies on the availability of stabilizing elements such as N and P, which are essential for stabilizing organic C pool [5]. Changing the N and P availabilities in soils may alter the magnitude of the imbalance between SOC decomposition and formation processes [6]. It is estimated that 80 million tons (Mt) of N, 20 Mt of P, and 15 Mt of K are required to sequester 1 Gt of C in world soils [1].
Soil organic carbon, nitrogen, phosphorus, potassium, and their stoichiometry, as critical regulatory indicators, have been shown to modulate forest ecosystem functions [7,8]. Nitrogen cycle processes are closely coupled with other macronutrients, and the content and availability of N directly influence plant growth and the net primary productivity of terrestrial ecosystems [9,10]. Phosphorus can only be released slowly by weathering of parent material, internal nutrient recycling, and reallocation within the soil profile in a natural environment, and it may have become the limiting nutrient in almost all terrestrial ecosystems [11]. Potassium is another essential nutrient required for plants [8]. The application of K fertilizer could increase water use efficiency, promote carbon sequestration, and reduce runoff and soil loss under plant cover [12]. Furthermore, the stoichiometry of macronutrients is a useful indicator of the intensity of nutrient flux from deadwood to the soil [13].
An age series of Masson plantations may alter community structure and soil properties following reforestation, which in turn influences soil macronutrient stocks and stoichiometric traits [14]. There is a complex response of soil macronutrient stocks and stoichiometry to vegetation restoration. The soil C stock and C:N:P stoichiometry increased, but the N stocks first increased and then decreased with forest restoration age, while the P stocks showed little variation in a study by Xu et al. [15]. However, the P stock may become a limiting factor for C sequestration as forests age [16]. The N, P, and K stocks in the 20 cm soil layer did not differ significantly between years [17]. Similarly, many studies have indicated that soil nutrient variability is likely to be small with forest stand age [18,19]. Some researchers have reported that the soil P availability declined continuously with the development of larch plantations [20]. Therefore, there still exists some controversy regarding the effects of stand age on soil macronutrient stocks.
Plantations can provide both economic and environmental benefits, and ecosystems play important roles in maintaining regional ecological protection functions, including curbing erosion, accelerating the geochemical cycling of elements, and ultimately increasing productivity. Due to the previous extensive destruction of forests and the recognition of important ecological service functions, many provinces have established a pattern of rapid afforestation of progressively larger regions over the past 10–15 years [21]. As a native tree species, Masson pine (Pinus massoniana Lamb.) has a wide distribution range and large forest area in central and southern China and is one of the main plantation varieties; it is always referred to as a pioneer tree species due to its rapid growth and strong adaptability [22,23]. Accurate estimation of C, N, P, and K stocks in Masson plantation ecosystems is crucial because they are the most important macronutrient pools in Earth systems, and there still exists some controversy regarding the effects of stand age on soil macronutrient stocks. In addition, plantations of different stand ages significantly influence soil physicochemical properties by changing the interior environment, litter inputs, root exudates, and so on [24]. An improved understanding of how soil physicochemical properties will affect C, N, P, and K stocks at various stand ages and soil depths may enable more accurate prediction of soil macronutrient stocks in plantation ecosystems.
Many of the C stock estimates of terrestrial ecosystems have been reported by researchers [25,26,27,28], and all of which are essential for understanding C-cycling patterns and their influences on terrestrial ecosystems. However, more studies on the response of N, P, and K stocks to plantation stand age are necessary, particularly those that attach less importance to K stock research. Furthermore, the response of soil organic carbon to soil properties has been observed by many authors [29,30,31], but few studies have shown the substantial drivers of soil properties on N, P, and K [32], and knowledge of the potential mechanisms remains limited. To estimate how soil macronutrient stocks change, four sample stands of Masson pine were compared across a 7-, 14-, 25-, and 30-year chronosequence. In addition, we investigated the effects of soil physicochemical properties on the storage of macronutrients. Therefore, the objectives of this study were to (1) estimate the soil macronutrient stocks and their changes with stand age and (2) determine the influence of soil physicochemical properties on the C, N, P, and K stocks at various stand ages and soil depths.
2. Materials and Methods
2.1. Experimental Design
This study was carried out in 4 sample stands of Masson pine (P. massoniana Lamb.), located in Dushan County in Guizhou Province within state-owned forest farms, covering an area of more than 18,860 km2 and extending at least 50 km from north to south (107°27′–107°30′ E, 25°41′–25°41′ N) (Figure 1). The mean annual precipitation in this area is approximately 1346 mm, the mean annual temperature is 15 °C, and the altitude is 830–1479 m. The soil in the region is classified as yellow soil. Masson pine mostly forms uniform stands with a small admixture of other tree species, usually fir. The understorey vegetation and some basic information of the sites are shown in Table 1.
Figure 1.
Location of the state-owned forest farms in Dushan County, Guizhou Province.
Table 1.
Basic characteristics of the four Masson pine plantations.
We established three 30 × 30 m standard quadrats in each plantation, covering four stand age classes (7-, 14-, 25-, and 30-year-old secondary forest stands) in the forest farms. Three points were randomly selected in each Masson pine plantation quadrat, and soil samples were collected from 0−20 and 20−40 cm soil layers after removal of plant residues, gravel, or other debris. We collected a total of five random samples from each plot as per the S-shaped sampling method and then placed them into an aluminum specimen box to ensure that the main structure was maintained during transport to the laboratory. Three ring-knife samples from each soil layer were collected at the same time.
2.2. Soil Analyses and Calculations
Soil samples were divided into two groups related to research indicators. One part of the soil samples was broken into blocks with a diameter approximately 10 mm according to the natural structure, and litter stones and roots were removed. When air-dried, these samples were used to determine soil aggregation characteristics. The other soil samples were air-dried and sieved to 2 mm for chemical analyses. The wet-sieving method was applied to determine the composition of water-stable aggregates in different Masson pine plantations. Aggregated soils successively passed through a column of sieves with 5, 3, 2, 1, 0.5, and 0.25 mm diameters to quantify the losses of sediment of different sizes.
Soil bulk density (SBD), saturated hydraulic conductivity (Ks), and soil porosity were measured using the ring-knife method [33]. The method of Walkley and Black [34] was employed to measure the soil organic carbon and organic matter contents. Soil pH in water 1:2.5 (soil:water) was measured after shaking for 5 min [35]. The ammonium acetate saturation (AMAS) method was used to study the cation-exchange capacity (CEC) [36]. Soil total nitrogen (N) and the available N (AN) were measured by Kjeldahl digestion and alkaline hydrolysis diffusion method, respectively; phosphorus (P) and the available P (AP) were measured using molybdenum blue colorimetric analysis; potassium (K) and the available K (AK) were determined using a flame photometer [14].
The soil aggregate stability was characterized by mean weight diameter (MWD), fractal dimension (FD), geometric mean diameter (GMD), and proportion of >0.25 mm water-stable aggregates (WSA > 0.25 mm). Stability parameters of aggregates were calculated using the following formulae [37]:
where xi is the mean diameter (mm) of the soil aggregate size fractions, wi is the proportion of all soil in the ith size fraction (%), Mt is the total mass of aggregates (g), Mt>0.25 is the mass of aggregates larger than 0.25 mm (g), M(r<xi) is the mass of aggregates smaller than xi (g), and dmax is the maximum diameter of the soil aggregate size fractions (mm).
The calculation formula of soil macronutrient density (Mg C·ha−1) in a soil layer is as follows [38]:
where SMDi is the soil macronutrient density in the i layer of soil (Mg C·ha−1), Ci is the soil macronutrient concentration in the i layer of soil (g·kg−1), Ti, Di, and Gi are the soil thickness (cm), soil bulk density (g·cm−3), and volume percentage of gravel that is larger than 2 mm in soil, respectively. 10−1 is the unit conversion factor. SMSi is the soil macronutrient stock in the i layer of soil (Mg C) and S is the soil acreage of the calculation grid.
2.3. Statistical Analysis
Multivariate statistical analyses were performed using CANOCO 5.0 (Microcomputer Power, Ithaca, NY, USA) and Statistical Product and Service Solutions 22.0. The Shapiro–Wilk test was used to verify the statistical distribution, and nonnormally distributed values were log10 transformed. One-way analysis of variance (ANOVA) was used to analyze the statistically significant differences and the variance between treatments. Stepwise multiple linear regression and redundancy analysis (RDA) were conducted to determine the strength of possible relationships between soil macronutrient stocks and soil physicochemical properties at different stand ages and soil depths, respectively.
3. Results
3.1. Soil Macronutrient Stocks and Allocation
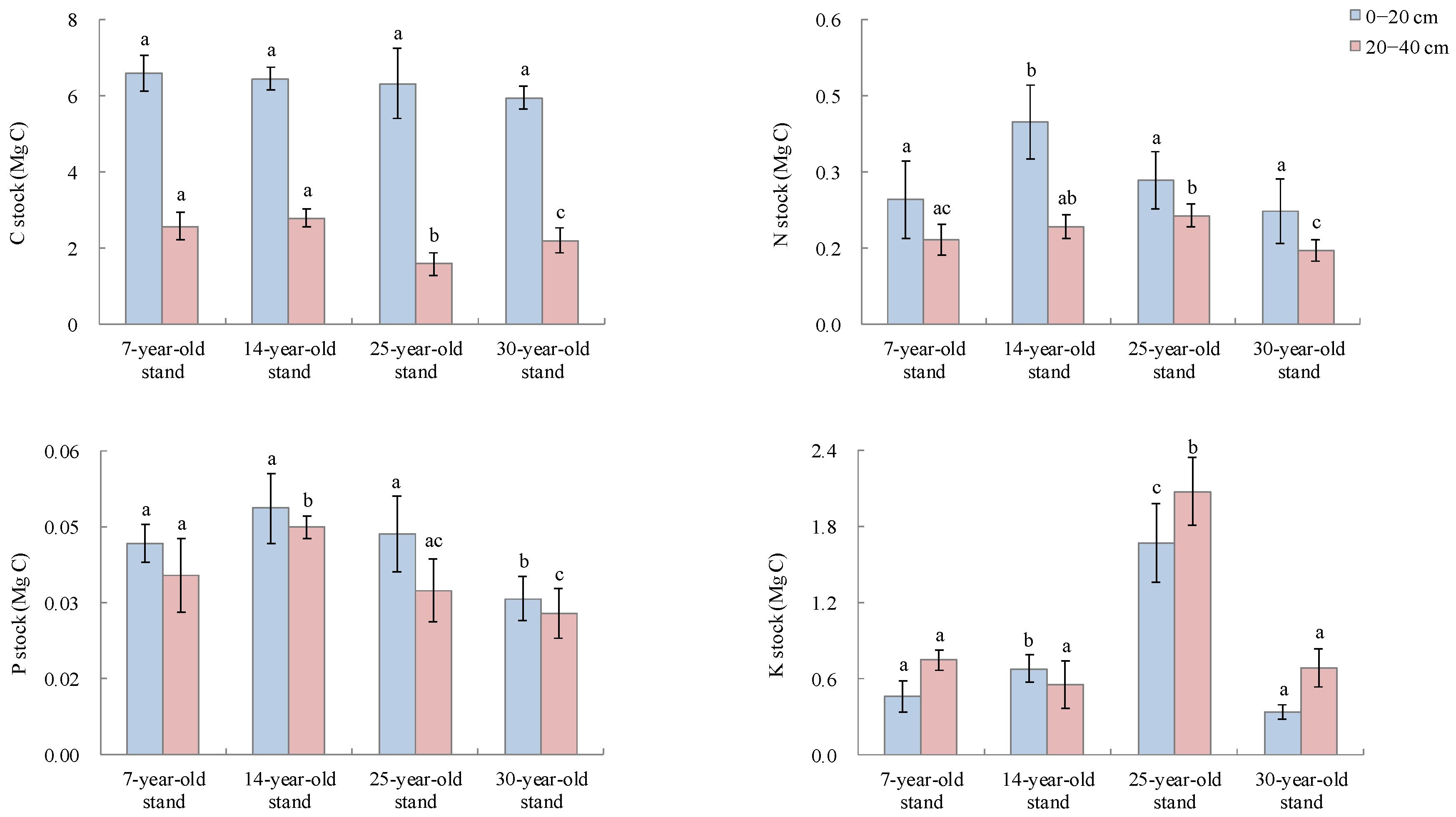
There is no significant difference in C stocks of the 0−20 cm soil layer, but the N, P, and K stocks in the 0−20 and 20−40 cm soil layers increased first and then decreased with forest stand age (Figure 2). The 14- and 25-year-old plantations displayed the highest P stock and K stock, respectively, whereas the lowest values of N and P stocks were all observed in the 30-year-old plantation. The K stocks were higher in the 20−40 cm soil layer than in the 0−20 cm soil layer except in the 14-year-old plantation; the C, N, and P stocks declined with increasing soil depth across all sites. The sequence of soil macronutrient stocks was as follows: C stock > K stock > N stock > P stock, except in the 20−40 cm layer of the 25-year-old plantation.
Figure 2.
Soil macronutrient stocks across a chronosequence of Masson pine plantations. Different lowercase letters indicate significant differences in plantations with different stand ages (p < 0.05).
3.2. Variations of Soil Macronutrient Stoichiometry
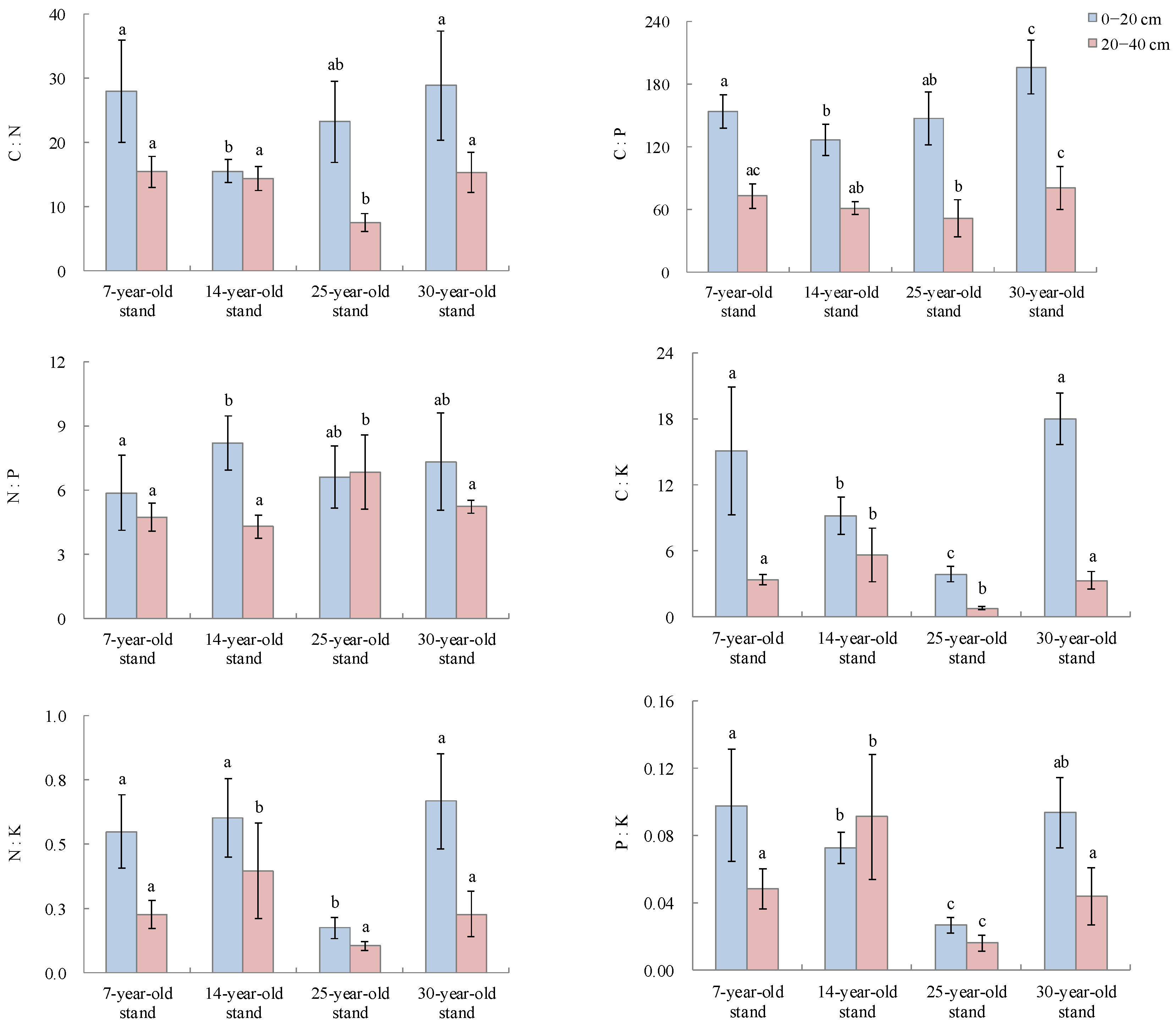
Under all plantation types, C:N, C:P, N:P, C:K, N:K, and P:K ratios were higher in the 0−20 cm soil layers than in the 20−40 cm, except for P:K in the 14-year-old plantation and N:P in the 25-year-old plantation (Figure 3). The ratios of C:N and C:P first decreased and then increased, with a maximum level in the 30-year-old plantation. The ratios of C:K in the 0−20 and 20−40 cm soil layers were highest in the 30- and 14-year-old plantations, respectively. The variation in the N:K ratio was similar to that in the C:K ratio, but the N:K ratio was much smaller, ranging from 0.10 to 0.67 for all depths. The lowest C:K, N:K, and P:K ratios were all observed in the 25-year-old plantation. The stoichiometric traits of the soil were ranked as C:P > C:N > C:K > N:P > N:K > P:K in the 0−20 cm soil layer of the 7-, 14-, and 30-year-old plantations, whereas in the 20−40 cm soil layer, the sequence was C:P > C:N > N:P > C:K > N:K > P:K except for the 14-year-old plantation (Figure 3).
Figure 3.
The macronutrient stoichiometry of soil at different depths in Masson pine plantations. Different lowercase letters indicate significant differences in plantations with different stand ages (p < 0.05).
3.3. Relationships between Macronutrient Stocks and Soil Physicochemical Properties
3.3.1. Controls of Macronutrient Stocks at Various Plantations
Stepwise multiple regression was performed to determine soil physicochemical properties affecting the variability of soil macronutrient stocks within each Masson pine plantation (Table 2). For the 7-year-old plantation, 97.5% of the variation in the C stock could be explained by the AP, MWD, and organic matter together. The proportion of >0.25 mm was the most dominant factor for the C stock in the 14-, 25-, and 30-year-old plantations. Soil bulk density showed a positive correlation with N and P stocks in the 14-year-old plantation. The available N contributed 42.8% of the N stock variation in the 7-year-old plantation, and the available K explained most of the P stock variation in the 7- and 30-year-old plantations. The available P and organic matter were the most dominant controls for the N stock in the 25- and 30-year-old plantations, and the available P showed a negative relationship with the N stock. Most of the variation in the K stock in different plantations could be explained by soil aggregate stability.
Table 2.
Models of soil macronutrient stocks at different stand ages.
3.3.2. Controls of Macronutrient Stocks at Various Soil Depths
Redundancy analysis was used to explore the correlations between macronutrient stocks and soil physicochemical properties at various soil depths (Figure 4). The first ordination axis explained 87.2% of the variation, while the second axis accounted for only 5.8% in the 0−20 cm soil layer. The available K and P:K ratio explained most of the variation in soil macronutrient stocks. Negative correlations were observed between the C, N, P, and K stocks and Ks and MWD. The C:N ratio, C:P ratio, and available K were the most important factors associated with the N, P, and K stocks, respectively. Axes 1 and 2 captured 88.8% and 7.7% of the total variance in the 20−40 cm soil layer, respectively, and the variance could be explained mainly by the geometric mean diameter and P:K ratio. The stability of aggregates was strongly associated with C, N, and K stocks, while the P stock showed a positive correlation with the C:K, N:K, and P:K ratios.
Figure 4.
Ordination plots of redundancy analysis (RDA) of macronutrient stocks and soil physicochemical properties at various soil depths.
For the total soil system, axis 1 explained 72.5% of the variability in macronutrient stocks, primarily related to organic matter, the C:P ratio, the available N, and the available P. Axis 2 described 23.4% of the variation, mainly associated with the available K, CEC, and the P:K ratio. The stocks of C, N, and P were positively correlated with the available N, P, K, and organic matter and negatively related to pH. Moreover, there was a strong positive relationship between the C stock and the C, N, P, and K stoichiometry. The K stock was positively correlated with CEC, MWD, GMD, and WSA > 0.25 mm but negatively correlated with the C:K, N:K, and P:K ratios and D (Figure 4).
4. Discussion
4.1. Changes in Soil Macronutrient Stocks
Significant spatial and temporal variability in soil macronutrient stocks was observed in this study. Deep root distribution, rhizosphere effects, and higher organic inputs may increase SOC [39]. Although the SOC concentration increased gradually with stand age, there was no statistically significant difference in C stocks of the 0−20 cm soil layer between different stands. As revealed by Wellock et al. [40], there was a significant decline in the C density of the surface soil after 27 years of afforestation. In our study, the stocks of N, P, and K increased first and then decreased with stand age in both the 0−20 and 20−40 cm soil layers. These results are different from other studies, which have shown that not only the N stock but also the C stock in mineral soil increased with increasing stand age, while the soil P stock exhibited a trend of increasing first and then decreasing [41], or that soil P stocks tended to increase but N stocks slightly decreased with stand age [42].
The increasing trend of macronutrient stocks in the 14-year-old plantation may be illustrated by the increase in litter quantity and decomposition, which returns nutrients to the soil [43]. This was the main reason why the C, N, and P stocks declined with increasing soil depth across all sites. The decreasing trend in macronutrient stocks could be because of the nutrient requirements of plantations during the vigorous growing stage [44]. Carbon, nitrogen, and phosphorus are essential elements for soil organisms. With increasing stand age, the microenvironment becomes more hospitable for soil organisms. A large number of soil organisms and strong biological activity can increase macronutrient stocks by accelerating the decomposition of litter and can decrease macronutrient stocks by immobilizing elements for growth or transformation [45,46]. The pH plays an important role in nitrogen biogeochemical cycling through autotrophic nitrification [47], and the mechanisms of P sorption are also affected in different ways by pH [48]. Lower pH is beneficial for phosphate in binding to Fe and Al precipitates [43], and organic acids could form strong bonds with metal ions through metal chelation, which might affect the P stock [49]. Therefore, bacterial biomass and mineral concentration should be considered together with pH in the study of the circulation of soil phosphorus [50]. This is the reason for the highest P stock in the 14-year-old plantation.
The C stocks were highest in each soil layer for all plantations, followed by the K, N, and P stocks; therefore, K plays an important role in terrestrial ecosystem. Soil acidification also promotes the release of mineral K, and potassium deficiency occurs when the available K is absorbed by plants; moreover, cation exchange capacity is another important controlling factor for soil K availability [51]. Increased pH and cation exchange capacity facilitated the accumulation of K in the 25-year-old plantation. The lower K stock was observed in the 30-year-old plantation, probably because a large amount of organic matter and root exudates increased the release of mineral K in the soil [52]. The other reason was that more K-solubilizing bacteria facilitate the conversion of potassium from mineral K into available K [8]. Additionally, the K stock was higher in the 20−40 cm soil layer than in the 0−20 cm soil layer, which could be because of the leaching process. The soil structure improved as the vegetation grew, which was conducive to leaching K from the soil surface into the deeper soil layers.
4.2. Factors Controlling Soil Macronutrient Stocks
The spatial patterns of soil macronutrients were significantly different at various soil depths across a chronosequence of Masson pine plantations. Soil macronutrients and their stoichiometric ratios are important parameters of soil quality. Climate, topography, vegetation, and soil properties interact to influence the characteristics of soil nutrients, especially climate and soil properties [9,10]. The results of the present study showed that soil macronutrient stocks were mainly affected by soil physicochemical properties under similar climatic conditions, but the dominant controlling factors of soil macronutrient stocks varied at various soil depths and stand ages.
Effects of soil physicochemical properties on the variability in soil macronutrient stocks within each Masson pine plantation were revealed by stepwise multiple regression. Soil aggregates promote the stabilization of organic matter by regulating the availability of oxygen and water; hence, the formation and stability of aggregates are crucial for the SOC stock [53,54]. In our research, the proportion of >0.25 mm was the key factor for the C stock in the 14-, 25-, and 30-year-old plantations. The stocks of C and K in the 7-year-old plantation were controlled by the available P. Similar results were reported by Zhong et al. [55], who reported that lower availability of P could result in a decrease in leaf photosynthetic capacity and nutrient concentrations, which adversely affects the organic carbon input to soils from litter. Ks and SBD showed a positive correlation with N and P stocks in the 14-year-old plantation. The SBD is an important parameter for the calculation of N and P stocks, and a higher Ks indicates better hydrothermal conditions, which is beneficial for promoting microorganisms to biologically sequester N and P [56].
The available N, P, and K were the key factors controlling macronutrient stocks in the 7-year-old plantation. In addition, the available P and organic matter were the most dominant controls for the N stock in the 25- and 30-year-old plantations. The implication of these results is that the available nutrients were not only the principal factor affecting the soil macronutrient stocks in the 7-year-old plantation but also the key factor driving the distribution of N stock within the 25- and 30-year-old plantations. Soil acidification is prone to the leaching of elements and thus these soils tend to be nutritionally poor [57]. This might be a good explanation for the positive correlations between C stock and pH in the 30-year-old plantation. Moreover, soil aggregate stability could be the primary parameters affecting K stock across a chronosequence of Masson pine plantations.
The method of redundancy analysis was used to analyze the correlations between macronutrient stocks and soil physicochemical properties at various soil depths. Macronutrient stocks in the soil surface layer could be affected by many factors, and the variance could be explained mainly by the available K and P:K ratio in our research. The present research showed that the C:P ratio was significantly higher than the other ratios within each plantation, followed by the C:N ratio, whereas the N:K and P:K ratios were at the lowest level regardless of soil depth. Litter input is an important means for vegetation to regulate soil nutrients [58] through the priming effect and nutrient input [59]. Therefore, the observed accumulation of C, N, and P stocks in the 0−20 cm soil layer was higher than that in the 20−40 cm soil layer, which exacerbated the K limitation in this soil layer. Phosphorus was also an important limiting factor in our research. Therefore, K availability to plants and the balance of P and K were more essential to macronutrient stocks in the surface soil with abundant nutrients. However, Ks had an adverse effect on macronutrient stocks. Root growth and root exudates can improve soil structure in the 20−40 cm soil layer, and in addition to the P:K ratio, the stability of aggregates is strongly associated with C, N, and K stocks in this soil layer. Studies have also reported that soil aggregate stability has positive effects on C and N sequestration [60], but research on K is rare. For the total soil system, we found that organic matter explained most of the variation in soil macronutrient stocks, followed by the P:K ratio and available K. Specifically, the C stock was affected by the available nutrients, organic matter, and stoichiometry; and the N and P stocks were influenced by the available nutrients and organic matter. In addition, the C, N, and P stocks may decrease with soil acidification. The K stock was positively correlated with aggregate stability, which requires further study. Therefore, the response of soil macronutrient stocks to stand age and soil depth relies upon different soil physicochemical properties, and P and K may be the critical limitations of Masson pine plantation ecosystems in our study area.
Author Contributions
Conceptualization, Q.D.; data curation, J.H.; investigation, F.X.; methodology, F.X.; writing—original draft, J.H.; writing—review and editing, Q.D., Y.Y. and X.P. All authors have read and agreed to the published version of the manuscript.
Funding
This research was funded by China Postdoctoral Science Foundation (2020M673296), Natural Science Foundation of China (42167044, 42007054), the High-level Innovative Talents in Guizhou Province of Guizhou Province (Qian Ke He Platform Talents (2018)5641), the Science and Technology Projects of Guizhou Province (Qian Ke He Platform Talents (2017)5788), the first-class discipline Construction Project of Guizhou Province (GNYL (2017)007), and the Cultivation project of Guizhou University (Cultivation (2019) No.10 of Guizhou University).
Data Availability Statement
The data presented in this study are available on request from the corresponding author.
Conflicts of Interest
All authors declared that they have no conflict of interest to this work. We declare that we do not have any commercial or associative interest that represents a conflict of interest in connection with the work submitted.
References
- Lal, R. Soil Carbon Sequestration Impacts on Global Climate Change and Food Security. Science 2004, 304, 1623–1627. [Google Scholar] [CrossRef] [PubMed]
- Węgiel, A.; Bielinis, E.; Polowy, K. Macronutrient stocks in Scots pine stands of different densities. Forests 2018, 9, 593. [Google Scholar] [CrossRef]
- Shaver, G.R.; Chapin, F.S. Long-Term Responses to Factorial, NPK Fertilizer Treatment by Alaskan Wet and Moist Tundra Sedge Species. Ecography 1995, 18, 259–275. [Google Scholar] [CrossRef]
- Street, L.E.; Mielke, N.; Woodin, S.J. Phosphorus Availability Determines the Response of Tundra Ecosystem Carbon Stocks to Nitrogen Enrichment. Ecosystems 2018, 21, 1155–1167. [Google Scholar] [CrossRef]
- Kirkby, C.A.; Kirkegaard, J.A.; Richardson, A.E.; Wade, L.J.; Blanchard, C.; Batten, G. Stable soil organic matter: A comparison of C:N:P:S ratios in Australian and other world soils. Geoderma 2011, 163, 197–208. [Google Scholar] [CrossRef]
- Bradford, M.A.; Fierer, N.; Reynolds, J.F. Soil Carbon Stocks in Experimental Mesocosms Are Dependent on the Rate of Labile Carbon, Nitrogen and Phosphorus Inputs to Soils. Funct. Ecol. 2008, 22, 964–974. [Google Scholar] [CrossRef]
- Chen, L.L.; Wang, K.X.; Baoyin, T. Effects of grazing and mowing on vertical distribution of soil nutrients and their stoichiometry (C:N:P) in a semi-arid grassland of North China. Catena 2021, 206, 105507. [Google Scholar] [CrossRef]
- Pramanik, P.; Goswami, A.J.; Ghosh, S.; Kalita, C. An indigenous strain of potassium-solubilizing bacteria Bacillus pseudomycoides enhanced potassium uptake in tea plants by increasing potassium availability in the mica waste-treated soil of North-east India. J. Appl. Microbiol. 2018, 126, 215–222. [Google Scholar] [CrossRef]
- Tian, L.; Zhao, L.; Wu, X.; Fang, H.; Zhao, Y.; Hu, G.; Yue, G.; Sheng, Y.; Wu, J.; Chen, J.; et al. Soil moisture and texture primarily control the soil nutrient stoichiometry across the Tibetan grassland. Sci. Total Environ. 2018, 622–623, 192–202. [Google Scholar] [CrossRef]
- Xu, L.; He, N.P.; Yu, G.R. Nitrogen storage in China’s terrestrial ecosystems. Sci. Total Environ. 2020, 709, 136201. [Google Scholar] [CrossRef]
- Gao, X.L.; Li, X.G.; Zhao, L.; Kuzyakov, Y. Shrubs magnify soil phosphorus depletion in Tibetan meadows: Conclusions from C:N:P stoichiometry and deep soil profiles. Sci. Total Environ. 2021, 785, 147320. [Google Scholar] [CrossRef]
- Birendra, N.G.; Om Pal, S.K.; Ranjan, B.; Kuldeep, S.D.; Prasant, K.M. Effect of potassium on soil conservation and productivity of maize/cowpea based crop rotations in the north-west Indian Himalayas. J. Mt. Sci. 2016, 13, 754–762. [Google Scholar] [CrossRef]
- Piaszczyk, W.; Błońska, E.; Lasota, J.; Lukac, M. A comparison of C:N:P stoichiometry in soil and deadwood at an advanced decomposition stage. Catena 2019, 179, 1–5. [Google Scholar] [CrossRef]
- Huang, R.; Lan, T.; Song, X.; Li, J.; Ling, J.; Deng, O.P.; Wang, C.Q.; Gao, X.S.; Li, Q.Q.; Tang, X.Y.; et al. Soil labile organic carbon impacts C:N:P stoichiometry in urban park green spaces depending on vegetation types and time after planting. Appl. Soil Ecol. 2021, 163, 103926. [Google Scholar] [CrossRef]
- Xu, H.W.; Qu, Q.; Li, P.; Guo, Z.Q.; Wulan, E.; Xue, S. Stocks and Stoichiometry of Soil Organic Carbon, Total Nitrogen, and Total Phosphorus after Vegetation Restoration in the Loess Hilly Region, China. Forests 2019, 10, 27. [Google Scholar] [CrossRef]
- Guo, Y.; Abdalla, M.; Espenberg, M.; Hastings, A.; Hallett, P.; Smith, P. A systematic analysis and review of the impacts of afforestation on soil quality indicators as modified by climate zone, forest type and age. Sci. Total Environ. 2021, 757, 143824. [Google Scholar] [CrossRef] [PubMed]
- McMahon, D.E.; Vergütz, L.; Valadares, S.V.; Silva, I.R.d.; Jackson, R.B. Soil nutrient stocks are maintained over multiple rotations in Brazilian Eucalyptus plantations. For. Ecol. Manag. 2019, 448, 364–375. [Google Scholar] [CrossRef]
- Yang, K.; Zhu, J.J.; Xu, S.; Zheng, X. Conversion from temperate secondary forests into plantations (Larix spp.): Impact on belowground carbon and nutrient pools in northeastern China. Land Degrad. Dev. 2018, 29, 4129–4139. [Google Scholar] [CrossRef]
- Lucas-Borja, M.E.; Hedo, J.; Cerdá, A.; Candel-Pérez, D.; Viñegla, B. Unravelling the importance of forest age stand and forest structure driving microbiological soil properties, enzymatic activities and soil nutrients content in Mediterranean Spanish black pine(Pinus nigra Ar. ssp. salzmannii) Forest. Sci. Total Environ. 2016, 562, 145–154. [Google Scholar] [CrossRef]
- Zeng, F.P.; Chen, X.; Huang, B.; Chi, G.Y. Distribution Changes of Phosphorus in Soil–Plant Systems of Larch Plantations across the Chronosequence. Forests 2018, 9, 563. [Google Scholar] [CrossRef]
- Wang, J.; Feng, L.; Palmer, P.I.; Liu, Y.; Fang, S.X.; Bösch, H.; O’Dell, C.W.; Tang, X.P.; Yang, D.X.; Liu, L.X.; et al. Large Chinese land carbon sink estimated from atmospheric carbon dioxide data. Nature 2020, 586, 720–723. [Google Scholar] [CrossRef] [PubMed]
- Zhang, X.; Zhao, Z.Y.; Chen, T.; Zhao, T.Y.; Song, L.H.; Mei, L. Fertilization and clear-cutting effect on greenhouse gases emission of pinewood nematode damaged Masson pine plantation. Ecosyst. Health Sustain. 2021, 7, 1868271. [Google Scholar] [CrossRef]
- Luo, S.P.; He, B.H.; Zeng, Q.P.; Li, N.J.; Yang, L. Effects of seasonal variation on soil microbial community structure and enzyme activity in a Masson pine forest in Southwest China. J. Mt. Sci. 2020, 17, 1398–1409. [Google Scholar] [CrossRef]
- Wang, H.X.; Wu, C.Y.; Chen, D.S.; Liu, H.Y.; Sun, X.M.; Zhang, S.G. Changes in soil carbon and nutrients and related extracellular enzymes in successive rotations of Japanese larch plantations. Catena 2021, 204, 105386. [Google Scholar] [CrossRef]
- Tamang, M.; Chettri, R.; Vineeta, V.; Shukla, G.; Bhat, J.A.; Kumar, A.; Kumar, M.; Suryawanshi, A.; CabralPinto, M.; Chakravarty, S. Stand Structure, Biomass and Carbon Storage in Gmelina arborea Plantation at Agricultural Landscape in Foothills of Eastern Himalayas. Land 2021, 10, 387. [Google Scholar] [CrossRef]
- Gaurav, M.; Avishek, S.; Krishna, G.; Jyoti, N.A.; Rattan, L.; Rosa, F. Changes in soil carbon stocks under plantation systems and natural forests in Northeast India. Ecol. Model. 2021, 446, 109500. [Google Scholar] [CrossRef]
- Ma, Q.L.; Wang, X.Y.; Chen, F.; Wei, L.Y.; Zhang, D.K.; Jin, H.J. Carbon Sequestration of Sand-fixing Plantation of Haloxylon ammodendron in Shiyang River Basin: Storage, Rate and Potential. Glob. Ecol. Conserv. 2021, 28, e01607. [Google Scholar] [CrossRef]
- Yao, X.; Yu, K.Y.; Deng, Y.B.; Zeng, Q.; Lai, Z.J.; Liu, J. Spatial distribution of soil organic carbon stocks in Masson pine (Pinus massoniana) forests in subtropical China. Catena 2019, 178, 189–198. [Google Scholar] [CrossRef]
- Luo, S.; Gao, Q.; Wang, S.; Tian, L.; Zhou, Q.; Li, X.; Tian, C. Long-term fertilization and residue return affect soil stoichiometry characteristics and labile soil organic matter fractions. Pedosphere 2020, 30, 703–713. [Google Scholar] [CrossRef]
- Li, L.; Liu, Y.; Xiao, T.H.; Hou, F.J. Different responses of soil C:N:P stoichiometry to stocking rate and nitrogen addition level in an alpine meadow on the Qinghai-Tibetan Plateau. Appl. Soil Ecol. 2021, 165, 103961. [Google Scholar] [CrossRef]
- Wang, M.; Wang, S.Z.; Cao, Y.W.; Jiang, M.; Wang, G.D.; Dong, Y.M. The effects of hummock-hollow microtopography on soil organic carbon stocks and soil labile organic carbon fractions in a sedge peatland in Changbai Mountain, China. Catena 2021, 201, 105204. [Google Scholar] [CrossRef]
- Wang, L.J.; Wang, P.; Sheng, M.Y.; Tian, J. Ecological stoichiometry and environmental influencing factors of soil nutrients in the karst rocky desertification ecosystem, southwest China. Glob. Ecol. Conserv. 2018, 16, e00449. [Google Scholar] [CrossRef]
- Kang, B.; Liu, S.R.; Cai, D.X.; Lu, L.H.; He, R.M.; Gao, Y.X.; Di, W.Z. Soil physical and chemical characteristics under different vegetation restoration patterns in China south subtropical area. Chin. J. Appl. Ecol. 2010, 21, 2479–2486. [Google Scholar]
- Walkley, A.; Black, I.A. An examination of the Degtjareff method for determining soil organic matter, and a proposed modification of the chromic acid titration method method. Soil Sci. 1934, 37, 29–38. [Google Scholar] [CrossRef]
- Martinez, P.; Buurman, P.; do Nascimento, D.L.; Almquist, V.; Vidal-Torrado, P. Substantial changes in podzol morphology after tree-roots modify soil porosity and hydrology in a tropical coastal rainforest. Plant Soil 2021, 463, 77–95. [Google Scholar] [CrossRef]
- Bao, S.D.; Jiang, R.F.; Yang, C.G. Soil and Agricultural Chemistry Analysis, 3rd ed.; China Agricultural Press: Beijing, China, 2008. [Google Scholar]
- Bai, Y.X.; Zhou, Y.C.; He, H.Z. Effects of rehabilitation through afforestation on soil aggregate stability and aggregate-associated carbon after forest fires in subtropical China. Geoderma 2020, 376, 114548. [Google Scholar] [CrossRef]
- Huang, X.F.; Zhou, Y.C.; Zhang, Z.M. Carbon Sequestration Anticipation Response to land use change in a mountainous karst basin in China. J. Environ. Manag. 2018, 228, 40–46. [Google Scholar] [CrossRef]
- Alidoust, E.; Afyuni, M.; Hajabbasi, M.A.; Mosaddeghi, M.R. Soil carbon sequestration potential as affected by soil physical and climatic factors under different land uses in a semiarid region. Catena 2018, 171, 62–71. [Google Scholar] [CrossRef]
- Wellock, M.L.; Rashad, R.; Laperle, C.M.; Matthias, P.; Gerard, K. Changes in ecosystem carbon stocks in a grassland ash (Fraxinus excelsior) afforestation chronosequence in Ireland. J. Plant Ecol. 2014, 7, 429–438. [Google Scholar] [CrossRef][Green Version]
- Cao, J.X.; Pan, H.; Chen, Z.; Shang, H. Dynamics in Stoichiometric Traits and Carbon, Nitrogen, and Phosphorus Pools across Three Different-Aged Picea asperata Mast. Plantations on the Eastern Tibet Plateau. Forests 2020, 11, 1346. [Google Scholar] [CrossRef]
- Wu, H.L.; Xiang, W.H.; Yang, S.O.; Xiao, W.F.; Li, S.G.; Chen, L.; Lei, P.F.; Deng, X.W.; Zeng, Y.L.; Zeng, L.X.; et al. Tree growth rate and soil nutrient status determine the shift in nutrient-use strategy of Chinese fir plantations along a chronosequence. For. Ecol. Manag. 2020, 460, 117896. [Google Scholar] [CrossRef]
- Wu, H.L.; Xiang, W.H.; Chen, L.; Yang, S.O.; Xiao, W.F.; Li, S.G.; Forrester, D.I.; Lei, P.F.; Zeng, Y.L.; Deng, X.W.; et al. Soil Phosphorus Bioavailability and Recycling Increased with Stand Age in Chinese Fir Plantations. Ecosystems 2020, 23, 973–988. [Google Scholar] [CrossRef]
- Terrer, C.; Phillips, R.P.; Hungate, B.A.; Rosende, J.; Ridge, J.P.; Craig, M.E.; van Groenigen, K.J.; Keenan, T.F.; Sulman, B.N.; Stocker, B.D.; et al. A trade-off between plant and soil carbon storage under elevated CO2. Nature 2021, 591, 599–603. [Google Scholar] [CrossRef]
- Ye, X.M.; Zhang, Y.; Chen, F.S.; Wang, G.G.; Fang, X.M.; Lin, X.F.; Wan, S.Z.; He, P. The effects of simulated deposited nitrogen on nutrient dynamics in decomposing litters across a wide quality spectrum using a 15 N tracing technique. Plant Soil 2019, 442, 141–156. [Google Scholar] [CrossRef]
- Marañón-Jiménez, S.; Peñuelas, J.; Richter, A.; Sigurdsson, B.D.; Fuchslueger, L.; Leblans, N.I.W.; Janssens, I.A. Coupled carbon and nitrogen losses in response to seven years of chronic warming in subarctic soils. Soil Biol. Biochem. 2019, 134, 152–161. [Google Scholar] [CrossRef]
- Zhang, Y.; Zhao, W.; Zhang, J.B.; Cai, Z.C. N2O production pathways relate to land use type in acidic soils in subtropical China. J. Soils Sediments 2017, 17, 306–314. [Google Scholar] [CrossRef]
- Penn, C.J.; Camberato, J.J. A Critical Review on Soil Chemical Processes that Control How Soil pH Affects Phosphorus Availability to Plants. Agriculture 2019, 9, 120. [Google Scholar] [CrossRef]
- Osmolovskaya, N.; Dung, V.V.; Kuchaeva, L. The role of organic acids in heavy metal tolerance in plants. Biol. Commun. 2018, 63, 9–16. [Google Scholar] [CrossRef]
- Dinesh, A.; Tianyi, J.; Taiki, K.; Takamitsu, K.; Kenzo, K.; Araki, K.S.; Motoki, K. Relationship among Phosphorus Circulation Activity, Bacterial Biomass, pH, and Mineral Concentration in Agricultural Soil. Microorganisms 2017, 5, 79. [Google Scholar] [CrossRef]
- Liu, K.L.; Han, T.F.; Huang, J.; Asad, S.; Li, D.M.; Yu, X.H.; Huang, Q.H.; Ye, H.C.; Hu, H.W.; Zhang, H.M. Links between potassium of soil aggregates and pH levels in acidic soils under long-term fertilization regimes. Soil Tillage Res. 2020, 197, 104480. [Google Scholar] [CrossRef]
- Zörb, C.; Senbayram, M.; Peiter, E. Potassium in agriculture—Status and perspectives. J. Plant Physiol. 2014, 171, 656–669. [Google Scholar] [CrossRef] [PubMed]
- Six, J.; Paustian, K. Aggregate-associated soil organic matter as an ecosystem property and a measurement tool. Soil Biol. Biochem. 2014, 68, A4–A9. [Google Scholar] [CrossRef]
- Yang, S.Y.; Jansen, B.; Absalah, S.; van Hall, R.L.; Kalbitz, K.; Cammeraat, E.L.H. Lithology- and climate-controlled soil aggregate-size distribution and organic carbon stability in the Peruvian Andes. Soil 2020, 6, 1–15. [Google Scholar] [CrossRef]
- Zhong, Z.K.; Zhang, X.Y.; Wang, X.; Dai, Y.Y.; Chen, Z.X.; Han, X.H.; Yang, G.H.; Ren, C.J.; Wang, X.J. C:N:P stoichiometries explain soil organic carbon accumulation during afforestation. Nutr. Cycl. Agroecosyst. 2020, 117, 243–259. [Google Scholar] [CrossRef]
- Han, W.Y.; Xu, J.M.; Wei, K.; Shi, R.Z.; Ma, L.F. Soil carbon sequestration, plant nutrients and biological activities affected by organic farming system in tea (Camellia sinensis (L.) O. Kuntze) fields. Soil Sci. Plant Nutr. 2013, 59, 727–739. [Google Scholar] [CrossRef]
- Oulehle, F.; Wright, R.F.; Svoboda, M.; Bače, R.; Matějka, K.; Kaňa, J.; Hruška, J.; Couture, R.-M.; Kopáček, J. Effects of Bark Beetle Disturbance on Soil Nutrient Retention and Lake Chemistry in Glacial Catchment. Ecosystems 2019, 22, 725–741. [Google Scholar] [CrossRef]
- Bing, H.J.; Wu, Y.H.; Zhou, J.; Sun, H.Y.; Luo, J.; Wang, J.P.; Yu, D. Stoichiometric variation of carbon, nitrogen, and phosphorus in soils and its implication for nutrient limitation in alpine ecosystem of Eastern Tibetan Plateau. J. Soils Sediments 2016, 16, 405–416. [Google Scholar] [CrossRef]
- Chao, L.; Liu, Y.Y.; Freschet, G.T.; Zhang, W.D.; Yu, X.; Zheng, W.H.; Guan, X.; Yang, Q.P.; Chen, L.C.; Dijkstra, F.A.; et al. Litter carbon and nutrient chemistry control the magnitude of soil priming effect. Funct. Ecol. 2019, 33, 876–888. [Google Scholar] [CrossRef]
- Zhu, G.Y.; ShangGuan, Z.P.; Deng, L. Variations in soil aggregate stability due to land use changes from agricultural land on the Loess Plateau, China. Catena 2021, 200, 105181. [Google Scholar] [CrossRef]
Publisher’s Note: MDPI stays neutral with regard to jurisdictional claims in published maps and institutional affiliations. |
© 2021 by the authors. Licensee MDPI, Basel, Switzerland. This article is an open access article distributed under the terms and conditions of the Creative Commons Attribution (CC BY) license (https://creativecommons.org/licenses/by/4.0/).



