Comparative Dynamics of Nutrient Release through Litter Decomposition in Eucalyptus grandis Hill ex Maiden and Pinus taeda L. Stands
Abstract
1. Introduction
2. Materials and Methods
2.1. Experimental Site Characterization
2.2. Sampling Method and Decomposition Assessment
2.3. Chemical Analyses
2.4. Initial Material Characterization and Nutrient Release Dynamics Evaluation
2.5. Statistical Analysis
3. Results
3.1. Dry Weight and Chemical Characterization of the Initial Material
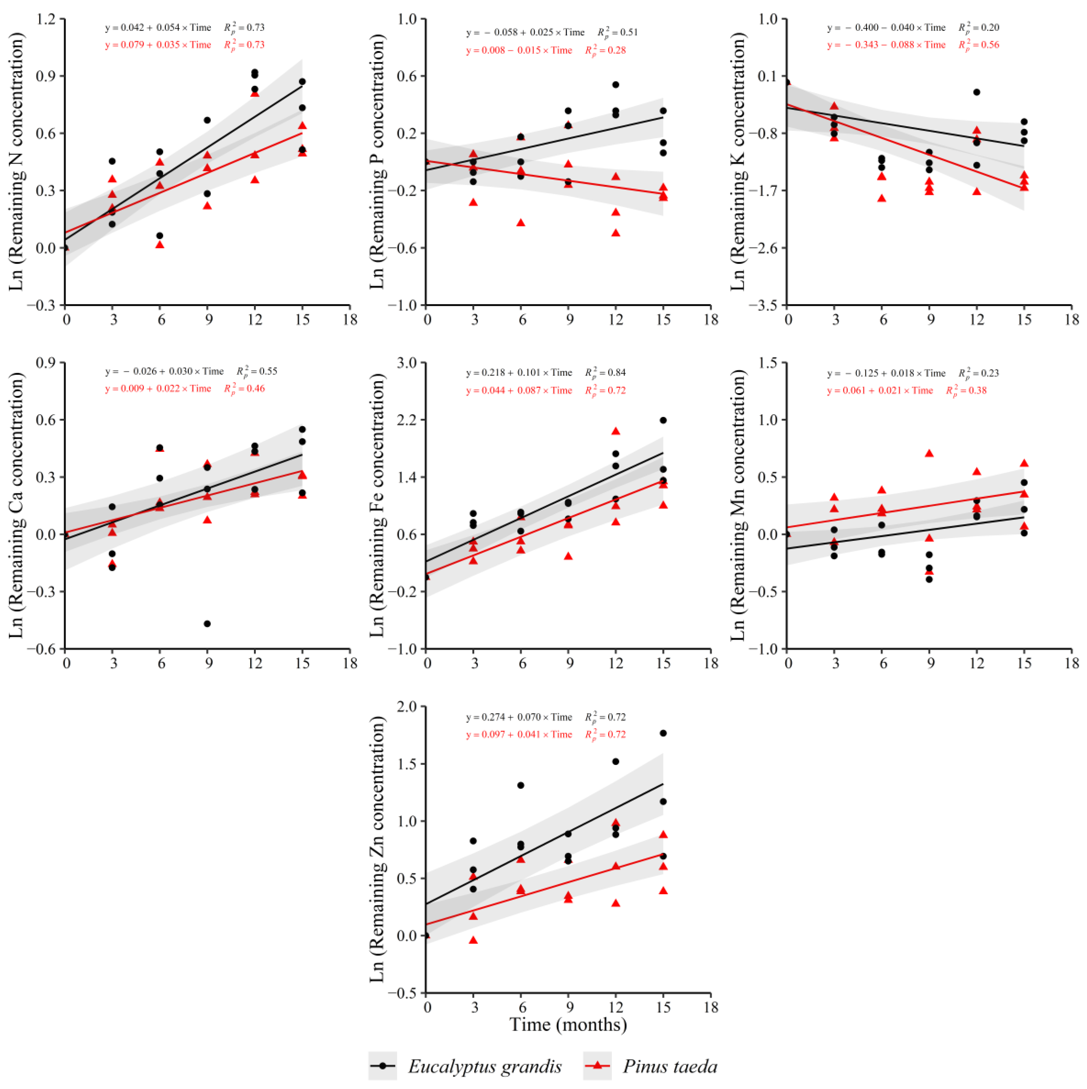
3.2. Remaining Nutrient Concentration Dynamics
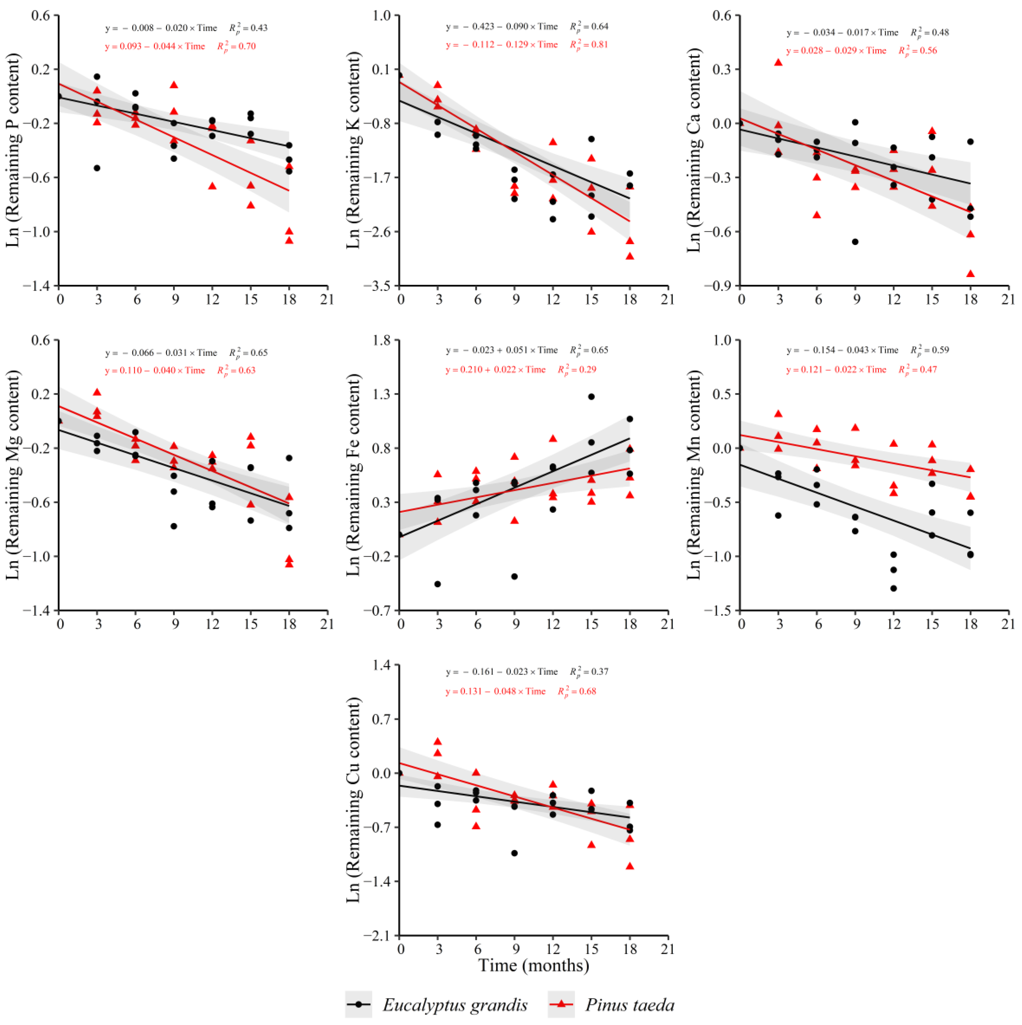
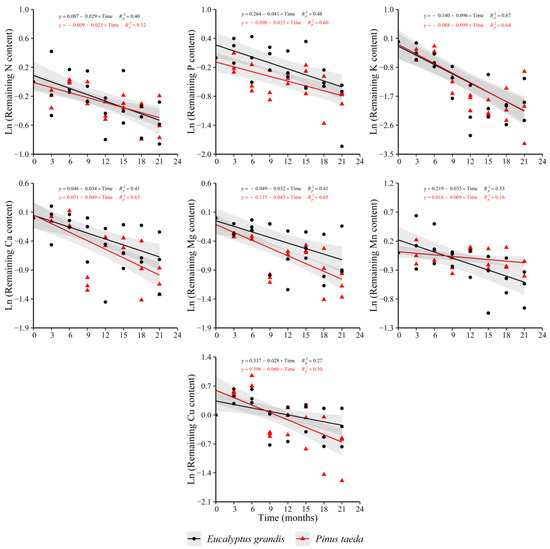
3.3. Remaining Nutrient Content Dynamics
4. Discussion
5. Conclusions
Supplementary Materials
Author Contributions
Funding
Institutional Review Board Statement
Informed Consent Statement
Data Availability Statement
Acknowledgments
Conflicts of Interest
References
- Goya, J.F.; Frangi, J.L.; Pérez, C.; Tea, F.D. Decomposition and nutrient release from leaf litter in Eucalyptus grandis plantations on three different soils in Entre Ríos, Argentina. Bosque Valdivia 2008, 29, 217–226. [Google Scholar] [CrossRef]
- Hernández, J.; del Pino, A.; Vance, E.D.; Califra, Á.; Del Giorgio, F.; Martínez, L.; González-Barrios, P. Eucalyptus and Pinus stand density effects on soil carbon sequestration. For. Ecol. Manag. 2016, 368, 28–38. [Google Scholar] [CrossRef]
- Momolli, D.R.; Schumacher, M.V.; Dick, G.; Viera, M.; De Souza, H.P. Decomposição da serapilheira foliar e liberação de nutrientes em Eucalyptus dunnii no Bioma Pampa. Sci. For. 2018, 46. [Google Scholar] [CrossRef]
- Hernández, J.; del Pino, A.; Salvo, L.; Arrarte, G. Nutrient export and harvest residue decomposition patterns of a Eucalyptus dunnii Maiden plantation in temperate climate of Uruguay. For. Ecol. Manag. 2009, 258, 92–99. [Google Scholar] [CrossRef]
- Baietto, A.; Hernández, J.; del Pino, A. Comparative Dynamics of Above-Ground Litter Production and Decomposition from Eucalyptus grandis Hill ex Maiden and Pinus taeda L., and Their Contribution to Soil Organic Carbon. Forests 2021, 12, 349. [Google Scholar] [CrossRef]
- Ribeiro, C.; Madeira, M.; Araújo, M. Decomposition and nutrient release from leaf litter of Eucalyptus globulus grown under different water and nutrient regimes. For. Ecol. Manag. 2002, 171, 31–41. [Google Scholar] [CrossRef]
- Wang, Y.; Zheng, J.; Boyd, S.E.; Xu, Z.; Zhou, Q. Effects of litter quality and quantity on chemical changes during Eucalyptus litter decomposition in subtropical Australia. Plant Soil 2019, 442, 65–78. [Google Scholar] [CrossRef]
- Tukey, H.B. The Leaching of Substances from Plants. Annu. Rev. Plant Physiol. 1970, 21, 305–324. [Google Scholar] [CrossRef]
- Bessaad, A.; Korboulewsky, N. How much does leaf leaching matter during the pre-drying period in a whole-tree harvesting system? For. Ecol. Manag. 2020, 477, 118492. [Google Scholar] [CrossRef]
- Guo, L.; Sims, R. Litter decomposition and nutrient release via litter decomposition in New Zealand eucalypt short rotation forests. Agric. Ecosyst. Environ. 1999, 75, 133–140. [Google Scholar] [CrossRef]
- Polyakova, O.; Billor, N. Impact of deciduous tree species on litterfall quality, decomposition rates and nutrient circulation in pine stands. For. Ecol. Manag. 2007, 253, 11–18. [Google Scholar] [CrossRef]
- Sanchez, F.G. Loblolly pine needle decomposition and nutrient dynamics as affected by irrigation, fertilization, and substrate quality. For. Ecol. Manag. 2001, 152, 85–96. [Google Scholar] [CrossRef]
- Aerts, R. Climate, Leaf Litter Chemistry and Leaf Litter Decomposition in Terrestrial Ecosystems: A Triangular Relationship. Oikos 1997, 79, 439. [Google Scholar] [CrossRef]
- Hoorens, B.; Aerts, R.; Stroetenga, M. Does initial litter chemistry explain litter mixture effects on decomposition? Oecologia 2003, 137, 578–586. [Google Scholar] [CrossRef]
- Berg, B.; Davey, M.P.; De Marco, A.; Emmett, B.; Faituri, M.; Hobbie, S.; Johansson, M.-B.; Liu, C.; McClaugherty, C.; Norell, L.; et al. Factors influencing limit values for pine needle litter decomposition: A synthesis for boreal and temperate pine forest systems. Biogeochemistry 2010, 100, 57–73. [Google Scholar] [CrossRef]
- Mary, B.; Recous, S.; Darwis, D.; Robin, D. Interactions between decomposition of plant residues and nitrogen cycling in soil. Plant Soil 1996, 181, 71–82. [Google Scholar] [CrossRef]
- Mungai, N.W.; Motavalli, P.P. Litter quality effects on soil carbon and nitrogen dynamics in temperate alley cropping systems. Appl. Soil Ecol. 2006, 31, 32–42. [Google Scholar] [CrossRef]
- Chae, H.M.; Choi, S.H.; Lee, S.H.; Cha, S.; Yang, K.C.; Shim, J.K. Effect of Litter Quality on Needle Decomposition for Four Pine Species in Korea. Forests 2019, 10, 371. [Google Scholar] [CrossRef]
- Zhang, M.; Cheng, X.; Geng, Q.; Shi, Z.; Luo, Y.; Xu, X. Leaf litter traits predominantly control litter decomposition in streams worldwide. Glob. Ecol. Biogeogr. 2019, 28, 1469–1486. [Google Scholar] [CrossRef]
- Gholz, H.L.; Wedin, D.A.; Smitherman, S.M.; Harmon, M.E.; Parton, W.J. Long-term dynamics of pine and hardwood litter in contrasting environments: Toward a global model of decomposition. Glob. Chang. Biol. 2000, 6, 751–765. [Google Scholar] [CrossRef]
- Gurlevik, N.; Kelting, D.L.; Allen, H. The effects of vegetation control and fertilization on net nutrient release from decomposing loblolly pine needles. Can. J. For. Res. 2003, 33, 2491–2502. [Google Scholar] [CrossRef]
- Piatek, K.B.; Allen, H.L. Are forest floors in mid-rotation stands of loblolly pine (Pinus taeda) a sink for nitrogen and phosphorus? Can. J. For. Res. 2001, 31, 1164–1174. [Google Scholar] [CrossRef]
- Rahman, M.M.; Tsukamoto, J.; Rahman, M.; Yoneyama, A.; Mostafa, K.M. Lignin and its effects on litter decomposition in forest ecosystems. Chem. Ecol. 2013, 29, 540–553. [Google Scholar] [CrossRef]
- Demessie, A.; Singh, B.R.; Lal, R.; Strand, L.T. Leaf litter fall and litter decomposition under Eucalyptus and coniferous plantations in Gambo District, southern Ethiopia. Acta Agric. Scand. Sect. B Plant Soil Sci. 2011, 1–10. [Google Scholar] [CrossRef]
- Swift, M.J.; Heal, O.W.; Anderson, J.M. Decomposition in Terrestrial Ecosystems; University of California Press: Berkeley, CA, USA, 1979; ISBN 0-520-04001-5. [Google Scholar]
- Costa, G.S.; Da Gama-Rodrigues, A.C.; Cunha, G.D.M. Decomposição e liberação de nutrientes da serapilheira foliar em povoamentos de Eucalyptus grandis no norte fluminense. Revista Árvore 2005, 29, 563–570. [Google Scholar] [CrossRef]
- Soil Survey Staff. Keys to Soil Taxonomy, 12th ed.; Department of Agriculture, Natural Resources Conservation Service: Washington, DC, USA, 2014. [Google Scholar]
- Castaño, J.P.; Giménez, A.; Ceroni, M.; Furest, J.; Aunchayna, R.; Bidegain, M. Caracterización Agroclimática del Uruguay 1980-2009; INIA Serie Técnica; Instituto de Investigaciones Agropecuarias: Montevideo, Uruguay, 2011; ISBN 978-9974-38-330-2. [Google Scholar]
- Olson, J.S. Energy Storage and the Balance of Producers and Decomposers in Ecological Systems. Ecology 1963, 44, 322–331. [Google Scholar] [CrossRef]
- Murphy, J.; Riley, J. A modified single solution method for the determination of phosphate in natural waters. Anal. Chim. Acta 1962, 27, 31–36. [Google Scholar] [CrossRef]
- Isaac, R.A.; Kerber, J.D. Atomic Absorption and Flame Photometry: Techniques and Uses in Soil, Plant, and Water Analysis. In Instrumental Methods for Analysis of Soils and Plant Tissue; John Wiley & Sons, Ltd.: Hoboken, NJ, USA, 1971; pp. 17–37. ISBN 978-0-89118-876-6. [Google Scholar]
- Bremner, J.M.; Mulvaney, C.S. Nitrogen—Total. In Methods of Soil Analysis; John Wiley & Sons, Ltd.: Hoboken, NJ, USA, 1983; pp. 595–624. ISBN 978-0-89118-977-0. [Google Scholar]
- Schwanninger, M.; Hinterstoisser, B. Klason Lignin: Modifications to Improve the Precision of the Standardized Determination. Holzforschung 2002, 56, 161–166. [Google Scholar] [CrossRef]
- Singleton, V.L.; Rossi, J.A. Colorimetry of Total Phenolics with Phosphomolybdic-Phosphotungstic Acid Reagents. Am. J. Enol. Vitic. 1965, 16, 144–158. [Google Scholar]
- Corbeels, M.; O’Connell, A.; Grove, T.; Mendham, D.; Rance, S. Nitrogen release from eucalypt leaves and legume residues as influenced by their biochemical quality and degree of contact with soil. Plant Soil 2003, 250, 15–28. [Google Scholar] [CrossRef]
- Sparks, D.L.; Page, A.L.; Helmke, P.A.; Loeppert, R.H. Methods of Soil Analysis Part 3—Chemical Methods; SSSA Book Series; Soil Science Society of America, American Society of Agronomy: Madison, WI, USA, 1996; ISBN 978-0-89118-866-7. [Google Scholar]
- Nakagawa, S.; Johnson, P.C.D.; Schielzeth, H. The coefficient of determination R2 and intra-class correlation coefficient from generalized linear mixed-effects models revisited and expanded. J. R. Soc. Interface 2017, 14, 20170213. [Google Scholar] [CrossRef]
- Marschner, P. Marschner’s Mineral Nutrition of Higher Plants, 3rd ed.; Academic Press: London, UK; Waltham, MA, USA, 2011; ISBN 978-0-12-384906-9. [Google Scholar]
- Staaf, H. Release of plant nutrients from decomposing leaf litter in a South Swedish beech forest. Ecography 1980, 3, 129–136. [Google Scholar] [CrossRef]
- O’Connell, A.M.; Grove, T.S. Biomass production, nutrient uptake and nutrient cycling in the jarrah (Eucalyptus marginata) and karri (Eucalyptus diversicolor) forests of south-western Australia. In Nutrition of Eucalypts; CSIRO Publishing: Collingwood, Australia, 1996; pp. 155–189. ISBN 978-0-643-10522-5. [Google Scholar]
- Kiser, L.C.; Fox, T.R.; Carlson, C.A. Foliage and Litter Chemistry, Decomposition, and Nutrient Release in Pinus taeda. Forests 2013, 4, 595. [Google Scholar] [CrossRef]
- Viera, M.; Schumacher, M.; Araújo, E.F. Disponibilização de nutrientes via decomposição da serapilheira foliar em um plantio de Eucalyptus urophylla × Eucalyptus globulus. Floresta Ambient. 2014, 21, 307–315. [Google Scholar] [CrossRef][Green Version]
- Liechty, H.O.; Reinke, M. The influence of repeated prescribed fire on decomposition and nutrient release in uneven-aged loblolly–shortleaf pine stands. Fire Ecol. 2020, 16. [Google Scholar] [CrossRef]
- Demarty, M.; Morvan, C.; Thellier, M. Calcium and the cell wall. Plant Cell Environ. 1984, 7, 441–448. [Google Scholar] [CrossRef]
- Xu, X. Nutrient dynamics in decomposing needles of Pinus luchuensis after typhoon disturbance in a subtropical environment. Ann. For. Sci. 2006, 63, 707–713. [Google Scholar] [CrossRef]
- Berg, B.; Staaf, H. Leaching, Accumulation and Release of Nitrogen in Decomposing Forest Litter. Ecol. Bull. 1981, 33, 163–178. [Google Scholar]
- Titus, B. The long-term decomposition of Sitka spruce needles in brash. Forestry 1999, 72, 207–221. [Google Scholar] [CrossRef]
- Parsons, S.A.; Congdon, R.A. Plant litter decomposition and nutrient cycling in north Queensland tropical rain-forest communities of differing successional status. J. Trop. Ecol. 2008, 24, 317–327. [Google Scholar] [CrossRef]
- Adams, M.; Attiwill, P.M. Nutrient cycling and nitrogen mineralization in eucalypt forests of south-eastern Australia. Plant Soil 1986, 92, 319–339. [Google Scholar] [CrossRef]
- Jorgensen, J.R.; Wells, C.G.; Metz, L.J. Nutrient Changes in Decomposing Loblolly Pine Forest Floor. Soil Sci. Soc. Am. J. 1980, 44, 1307–1314. [Google Scholar] [CrossRef]
- Will, G.M.; Hodgkiss, P.D.; Madgwick, H.A.I. Nutrient Losses from Litterbags Containing Pinus radiata Litter: Influences of Thinning, Clear-Felling and Urea Fertilizer. N. Z. J. For. Sci. 1983, 13, 291–304. [Google Scholar]
- Berg, B.; McClaugherty, C. Nitrogen and phosphorus release from decomposing litter in relation to the disappearance of lignin. Can. J. Bot. 1989, 67, 1148–1156. [Google Scholar] [CrossRef]
- Kim, C.; Sharik, T.L.; Jurgensen, M.F. Canopy cover effects on mass loss, and nitrogen and phosphorus dynamics from decomposing litter in oak and pine stands in northern Lower Michigan. For. Ecol. Manag. 1996, 80, 13–20. [Google Scholar] [CrossRef]
- Kim, C.; Son, Y.; Lee, W.-K.; Jeong, J.; Noh, N.-J.; Kim, S.-R.; Yang, A.-R. Litter decomposition and nutrient dynamics following forest tending (Soopkakkugi) works in a Pinus densiflora stand. For. Sci. Technol. 2012, 8, 99–104. [Google Scholar] [CrossRef]
- Bueis, T.; Bravo, F.; Pando, V.; Turrión, M.-B. Local basal area affects needle litterfall, nutrient concentration, and nutrient release during decomposition in Pinus halepensis Mill. plantations in Spain. Ann. For. Sci. 2018, 75, 21. [Google Scholar] [CrossRef]
- He, W.; Lei, L.; Ma, Z.; Teng, M.; Wang, P.; Yan, Z.; Huang, Z.; Zeng, L.; Xiao, W. Nonadditive effects of decomposing mixed foliar litter on the release of several metallic elements in a Pinus massoniana Lamb. forest. Ann. For. Sci. 2020, 77, 1–12. [Google Scholar] [CrossRef]
- Rustad, L.E.; Cronan, C.S. Element loss and retention during litter decay in a red spruce stand in Maine. Can. J. For. Res. 1988, 18, 947–953. [Google Scholar] [CrossRef]
- Bockheim, J.G.; Jepsen, E.A.; Heisey, D.M. Nutrient dynamics in decomposing leaf litter of four tree species on a sandy soil in northwestern Wisconsin. Can. J. For. Res. 1991, 21, 803–812. [Google Scholar] [CrossRef]
- Gonzalez, G.; Lodge, D.J.; Richardson, B.A.; Richardson, M. A canopy trimming experiment in Puerto Rico: The response of litter decomposition and nutrient release to canopy opening and debris deposition in a subtropical wet forest. For. Ecol. Manag. 2014, 332, 32–46. [Google Scholar] [CrossRef]
- Pourhassan, N.; Bruno, S.; Jewell, M.D.; Shipley, B.; Roy, S.; Bellenger, J.-P. Phosphorus and micronutrient dynamics during gymnosperm and angiosperm litters decomposition in temperate cold forest from Eastern Canada. Geoderma 2016, 273, 25–31. [Google Scholar] [CrossRef]
- Berg, B. Foliar Litter Decomposition: A Conceptual Model with Focus on Pine (Pinus) Litter—A Genus with Global Distribution. ISRN For. 2014, 2014, 1–22. [Google Scholar] [CrossRef]
- Mubarak, A.R.; Elbashir, A.A.; Elamin, L.A.; Daldoum, D.M.A.; Steffens, D.; Benckiser, G. Decomposition and Nutrient Release from Litter Fall in the Semi-arid Tropics of Sudan. Commun. Soil Sci. Plant Anal. 2008, 39, 2359–2377. [Google Scholar] [CrossRef]
- Berg, B.; Erhagen, B.; Johansson, M.-B.; Vesterdal, L.; Faituri, M.; Sanborn, P.; Nilsson, M. Manganese dynamics in decomposing needle and leaf litter—A synthesis. Can. J. For. Res. 2013, 43, 1127–1136. [Google Scholar] [CrossRef]
- De Marco, A.; Vittozzi, P.; Rutigliano, F.A.; Virzo de Santo, A. Nutrient dynamics during decomposition of four different pine litters. In Proceedings of the International Workshop MEDPINE 3: Conservation, Regeneration and Restoration of Mediterranean Pines and Their Ecosystems, 26–30 September 2005; Leone, V., Lovreglio, R., Eds.; Options Méditerranéennes: Série A. Séminaires Méditerranéens; CIHEAM: Bari, Italy, 2007; Volume 75, pp. 73–77. ISBN 2-85352-356-X. [Google Scholar]
- De Santo, A.V.; Fierro, A.; Berg, B.; Rutigliano, F.A.; De Marco, A. Heavy metals and litter decomposition in coniferous forests. In Developments in Soil Science; Violante, A., Huang, P.M., Bollag, J.-M., Gianfreda, L., Eds.; Elsevier: Amsterdam, The Netherlands, 2002; Volume 28, pp. 63–78. ISBN 0166-2481. [Google Scholar]
- Scheid, S.; Günthardt-Goerg, M.S.; Schulin, R.; Nowack, B. Accumulation and solubility of metals during leaf litter decomposition in non-polluted and polluted soil. Eur. J. Soil Sci. 2009, 60, 613–621. [Google Scholar] [CrossRef]
- Finotti, R.; Freitas, S.R.; Cerqueira, R.; Vieira, M.V. A Method to Determine the Minimum Number of Litter Traps in Litterfall Studies1. Biotropica 2003, 35, 419–421. [Google Scholar] [CrossRef]







| E. grandis | P. taeda | |||||
|---|---|---|---|---|---|---|
| Variable | C1 | C2 | C3 | C1 | C2 | C3 |
| Dry weight (Mg ha−1) 1 | 1.91 (0.10) | 3.77 (0.10) | 3.26 (0.19) | 2.20 (0.09) | 2.37 (0.06) | 5.12 (0.14) |
| N (g kg−1) 1 | 10.63 (0.62) | 7.63 (0.50) | 5.70 (0.40) | 8.07 (0.52) | 9.27 (0.92) | 7.07 (0.62) |
| P (g kg−1) | 0.31 (0.02) | 0.31 (0.02) | 0.27 (0.03) | 0.41 (0.07) | 0.55 (0.04) | 0.49 (0.06) |
| K (g kg−1) | 2.03 (0.14) | 2.67 (0.13) | 1.75 (0.22) | 1.00 (0.15) | 1.69 (0.09) | 1.52 (0.18) |
| Ca (g kg−1) | 8.53 (0.33) | 8.10 (0.42) | 7.03 (0.55) | 3.93 (0.10) | 4.31 (0.12) | 3.30 (0.09) |
| Mg (g kg−1) | 1.42 (0.06) | 1.70 (0.03) | 1.56 (0.03) | 0.74 (0.06) | 0.95 (0.05) | 0.91 (0.04) |
| Fe (mg kg−1) | 144 (26) | 71 (4) | 50 (2) | 80 (12) | 56 (2) | 43 (4) |
| Mn (mg kg−1) | 309 (25) | 465 (45) | 305 (4) | 270 (18) | 334 (19) | 294 (31) |
| Cu (mg kg−1) | 4 (0) | 6 (0) | 5 (1) | 2 (0) | 4 (1) | 3 (1) |
| Zn (mg kg−1) | 13 (1) | 11 (0) | 9 (1) | 19 (2) | 21 (3) | 18 (2) |
| C (g kg−1) 1 | 472.53 (6.24) | 468.79 (4.50) | 441.04 (6.10) | 421.34 (18.47) | 451.12 (8.44) | 431.61 (9.51) |
| Soluble C (g kg−1) 1 | 114.37 (10.62) | 82.18 (9.76) | 120.33 (6.61) | 90.04 (4.69) | 126.77 (12.88) | 108.88 (8.91) |
| Soluble pol. (g kg−1) 1 | 67.32 (2.24) | 67.32 (7.09) | 69.39 (2.25) | 8.33 (2.42) | 22.31 (2.90) | 23.45 (3.35) |
| Lignin (g kg−1) 1 | 488.80 (5.06) | 440.67 (2.79) | 455.20 (14.67) | 450.00 (9.00) | 469.07 (1.54) | 475.87 (13.96) |
| C:N 1 | 45 (2) | 62 (4) | 78 (5) | 53 (4) | 50 (4) | 62 (4) |
| C:P | 1523 (8) | 1543 (109) | 1696 (190) | 1097 (239) | 831 (41) | 911 (117) |
| L:N1 | 46 (3) | 58 (3) | 80 (4) | 56 (3) | 51 (5) | 68 (6) |
| Effect | N | K | Fe | Zn |
|---|---|---|---|---|
| C1 + C2 | ||||
| I | −0.022 (0.043) | −0.304 (0.120) | 0.262 (0.100) | 0.211 (0.082) |
| T | 0.023 (0.003) | −0.055 (0.010) | 0.059 (0.008) | 0.046 (0.006) |
| L | −0.026 (0.060) | −0.144 (0.169) | −0.382 (0.142) | −0.051 (0.116) |
| L × T | 0.014 (0.005) | 0.004 (0.014) | 0.041 (0.011) | 0.013 (0.009) |
| C1 + C3 | ||||
| I | 0.019 (0.050) | −0.301 (0.119) | 0.375 (0.106) | 0.260 (0.086) |
| T | 0.033 (0.005) | −0.049 (0.011) | 0.066 (0.009) | 0.054 (0.007) |
| L | 0.033 (0.071) | −0.140 (0.168) | −0.222 (0.150) | 0.017 (0.122) |
| L × T | 0.029 (0.007) | 0.013 (0.016) | 0.050 (0.013) | 0.024 (0.010) |
| C2 + C3 | ||||
| I | 0.001 (0.042) | −0.404 (0.129) | 0.104 (0.077) | 0.222 (0.097) |
| T | 0.043 (0.004) | −0.046 (0.013) | 0.095 (0.007) | 0.063 (0.008) |
| L | 0.058 (0.060) | 0.005 (0.182) | 0.160 (0.110) | 0.072 (0.137) |
| L × T | 0.015 (0.006) | 0.008 (0.019) | 0.009 (0.010) | 0.011 (0.011) |
| Effect | N | K | Fe | Mn |
|---|---|---|---|---|
| C1 + C2 | ||||
| I | 0.089 (0.036) | −0.084 (0.137) | 0.238 (0.072) | 0.081 (0.051) |
| T | 0.011 (0.002) | −0.084 (0.010) | 0.052 (0.006) | 0.017 (0.004) |
| L | −0.031 (0.051) | −0.176 (0.193) | −0.172 (0.102) | −0.078 (0.072) |
| L × T | 0.005 (0.003) | −0.017 (0.015) | 0.006 (0.008) | −0.007 (0.005) |
| C1 + C3 | ||||
| I | 0.095 (0.042) | −0.154 (0.141) | 0.200 (0.100) | 0.098 (0.059) |
| T | 0.021 (0.003) | −0.080 (0.013) | 0.068 (0.008) | 0.022 (0.005) |
| L | −0.022 (0.060) | −0.269 (0.199) | −0.224 (0.141) | −0.053 (0.084) |
| L × T | 0.019 (0.005) | −0.012 (0.018) | 0.028 (0.012) | −0.001 (0.007) |
| C2 + C3 | ||||
| I | 0.073 (0.037) | −0.278 (0.123) | 0.079 (0.093) | 0.043 (0.063) |
| T | 0.025 (0.003) | −0.092 (0.012) | 0.071 (0.008) | 0.017 (0.005) |
| L | 0.009 (0.053) | −0.094 (0.173) | −0.051 (0.132) | 0.025 (0.090) |
| L × T | 0.014 (0.004) | 0.005 (0.017) | 0.022 (0.011) | 0.006 (0.007) |
| Effect | K | Mg | Mn |
|---|---|---|---|
| C1 + C2 | |||
| I | −0.282 (0.133) | −0.058 (0.070) | 0.033 (0.077) |
| T | −0.093 (0.011) | −0.032 (0.006) | −0.039 (0.006) |
| L | −0.200 (0.188) | −0.013 (0.099) | −0.264 (0.109) |
| L × T | 0.003 (0.016) | 0.001 (0.008) | −0.006 (0.008) |
| C1 + C3 | |||
| I | −0.240 (0.130) | −0.040 (0.082) | 0.081 (0.075) |
| T | −0.088 (0.012) | −0.028 (0.007) | −0.028 (0.006) |
| L | −0.141 (0.183) | 0.012 (0.116) | −0.196 (0.106) |
| L × T | 0.010 (0.018) | 0.006 (0.010) | 0.010 (0.009) |
| C2 + C3 | |||
| I | −0.381 (0.117) | −0.048 (0.062) | −0.105 (0.069) |
| T | −0.086 (0.012) | −0.027 (0.005) | −0.032 (0.006) |
| L | 0.059 (0.166) | 0.024 (0.088) | −0.068 (0.097) |
| L × T | 0.007 (0.017) | 0.005 (0.007) | 0.016 (0.009) |
| Effect | P | K | Ca | Mg | Fe | Cu |
|---|---|---|---|---|---|---|
| C1 + C2 | ||||||
| I | 0.002 (0.066) | −0.101 (0.145) | 0.040 (0.070) | −0.002 (0.058) | 0.220 (0.069) | 0.365 (0.104) |
| T | −0.039 (0.005) | −0.114 (0.012) | −0.039 (0.006) | −0.042 (0.005) | 0.020 (0.006) | −0.054 (0.008) |
| L | 0.130 (0.094) | −0.015 (0.206) | −0.016 (0.099) | 0.159 (0.082) | −0.015 (0.097) | −0.331 (0.146) |
| L × T | −0.008 (0.007) | −0.022 (0.017) | 0.015 (0.008) | 0.004 (0.007) | 0.004 (0.008) | 0.009 (0.012) |
| C1 + C3 | ||||||
| I | −0.057 (0.078) | −0.222 (0.153) | 0.009 (0.072) | −0.040 (0.061) | 0.116 (0.087) | 0.353 (0.156) |
| T | −0.044 (0.006) | −0.115 (0.014) | −0.034 (0.007) | −0.043 (0.006) | 0.031 (0.007) | −0.050 (0.012) |
| L | 0.047 (0.111) | −0.182 (0.216) | −0.059 (0.101) | 0.106 (0.086) | −0.153 (0.123) | −0.354 (0.220) |
| L × T | −0.015 (0.009) | −0.024 (0.020) | 0.022 (0.009) | 0.003 (0.008) | 0.019 (0.009) | 0.016 (0.017) |
| C2 + C3 | ||||||
| I | 0.036 (0.072) | −0.231 (0.120) | −0.003 (0.055) | 0.072 (0.055) | 0.109 (0.082) | 0.116 (0.131) |
| T | −0.049 (0.007) | −0.130 (0.012) | −0.023 (0.005) | −0.041 (0.006) | 0.033 (0.007) | −0.044 (0.010) |
| L | −0.082 (0.102) | −0.166 (0.170) | −0.044 (0.077) | −0.054 (0.078) | −0.142 (0.116) | −0.023 (0.185) |
| L × T | −0.007 (0.009) | −0.003 (0.017) | 0.008 (0.007) | −0.001 (0.008) | 0.015 (0.009) | 0.006 (0.014) |
Publisher’s Note: MDPI stays neutral with regard to jurisdictional claims in published maps and institutional affiliations. |
© 2021 by the authors. Licensee MDPI, Basel, Switzerland. This article is an open access article distributed under the terms and conditions of the Creative Commons Attribution (CC BY) license (https://creativecommons.org/licenses/by/4.0/).
Share and Cite
Baietto, A.; Hirigoyen, A.; Hernández, J.; del Pino, A. Comparative Dynamics of Nutrient Release through Litter Decomposition in Eucalyptus grandis Hill ex Maiden and Pinus taeda L. Stands. Forests 2021, 12, 1227. https://doi.org/10.3390/f12091227
Baietto A, Hirigoyen A, Hernández J, del Pino A. Comparative Dynamics of Nutrient Release through Litter Decomposition in Eucalyptus grandis Hill ex Maiden and Pinus taeda L. Stands. Forests. 2021; 12(9):1227. https://doi.org/10.3390/f12091227
Chicago/Turabian StyleBaietto, Andrés, Andrés Hirigoyen, Jorge Hernández, and Amabelia del Pino. 2021. "Comparative Dynamics of Nutrient Release through Litter Decomposition in Eucalyptus grandis Hill ex Maiden and Pinus taeda L. Stands" Forests 12, no. 9: 1227. https://doi.org/10.3390/f12091227
APA StyleBaietto, A., Hirigoyen, A., Hernández, J., & del Pino, A. (2021). Comparative Dynamics of Nutrient Release through Litter Decomposition in Eucalyptus grandis Hill ex Maiden and Pinus taeda L. Stands. Forests, 12(9), 1227. https://doi.org/10.3390/f12091227

