Characteristics of Soil Respiration and Its Components of a Mixed Dipterocarp Forest in China
Abstract
:1. Introduction
2. Materials and Methods
2.1. Site Description
2.2. Experimental Design
2.3. Measurements of Soil Respiration and Microclimatic Factors
2.4. Definition and Calculations
2.5. Models for Temperature Response of Soil Respiration
3. Results
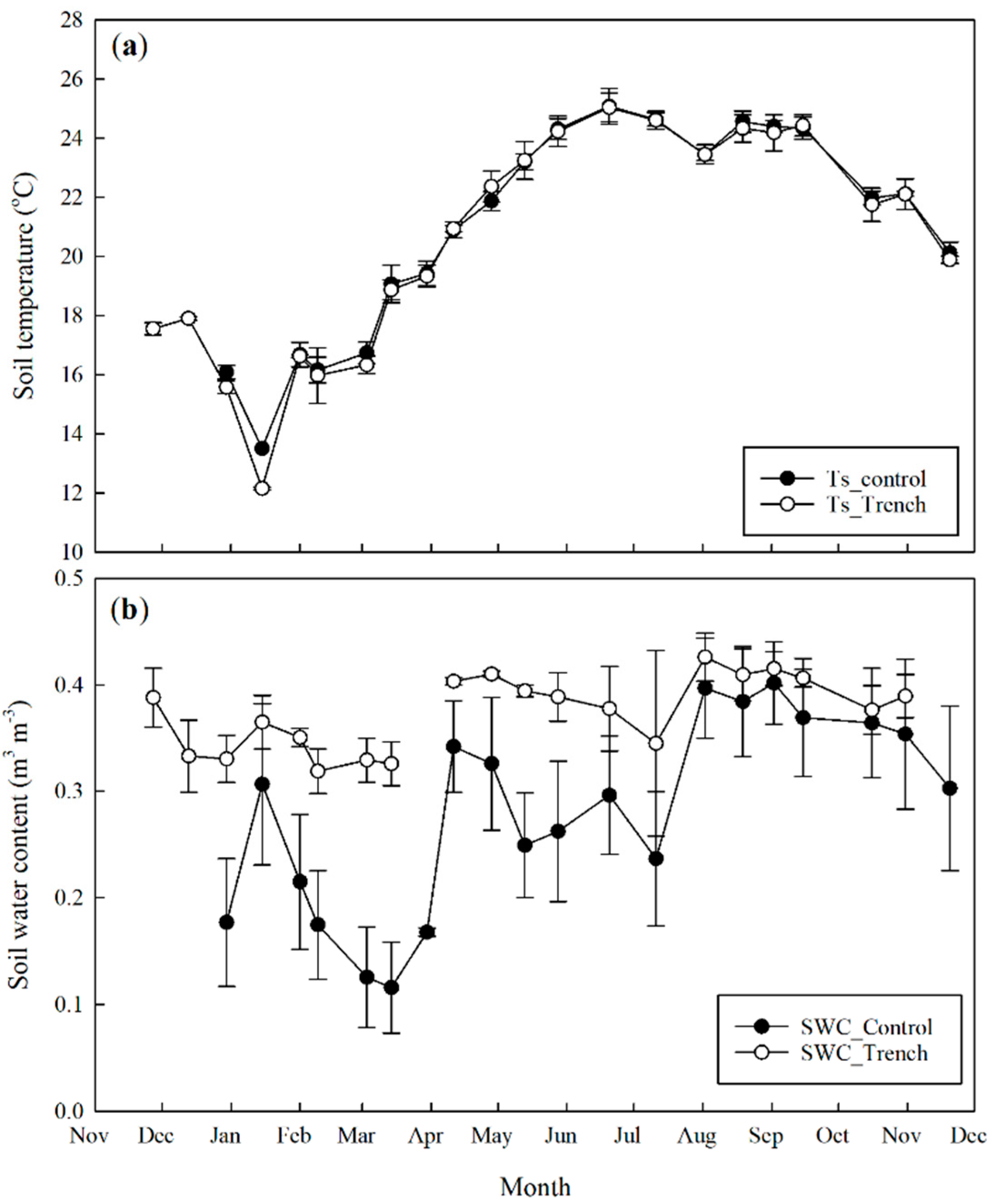
3.1. Trench Effect on Soil Microclimate and Soil Respiration
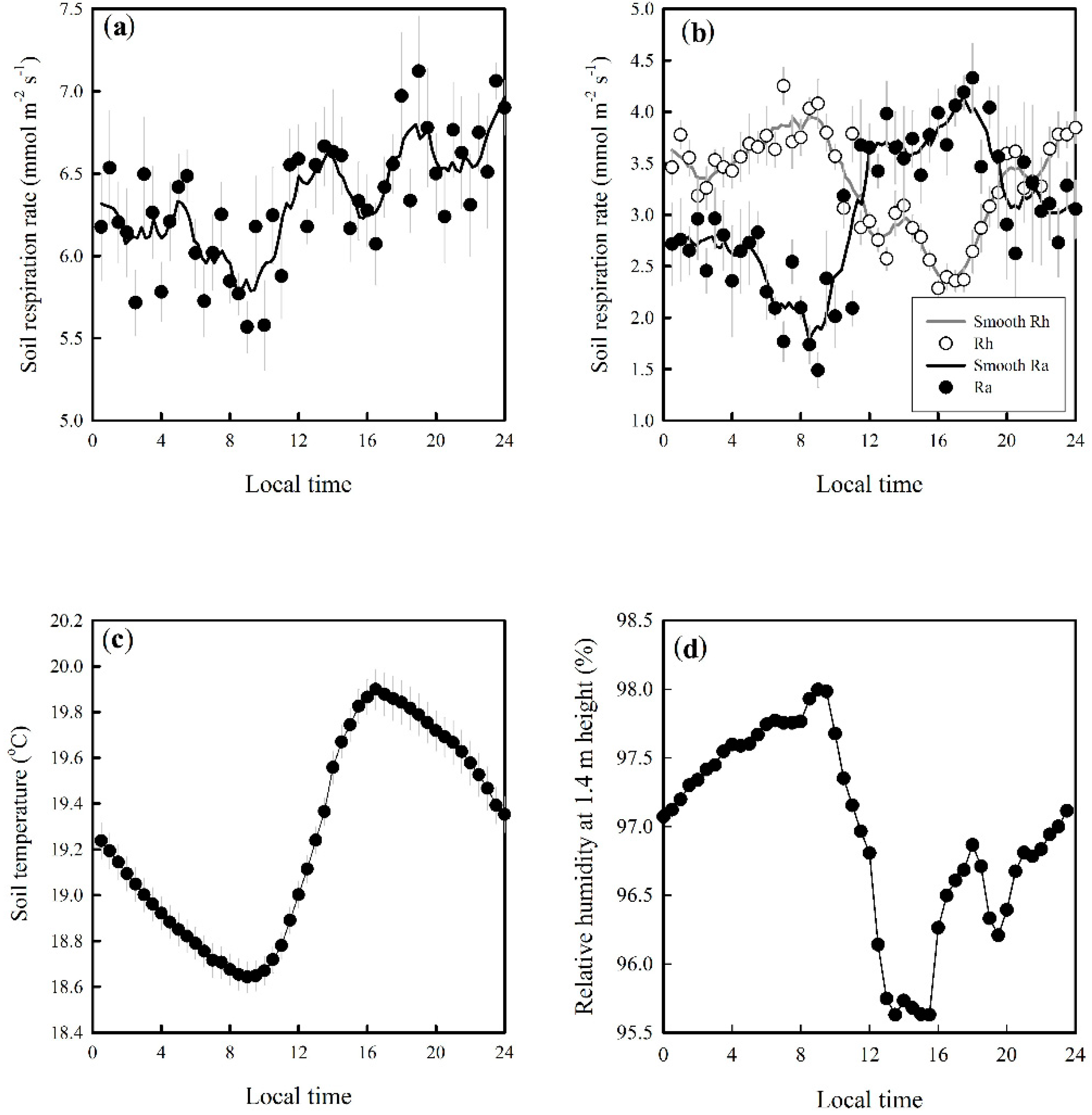
3.2. Diel Variation of Soil Respiration and Its Components
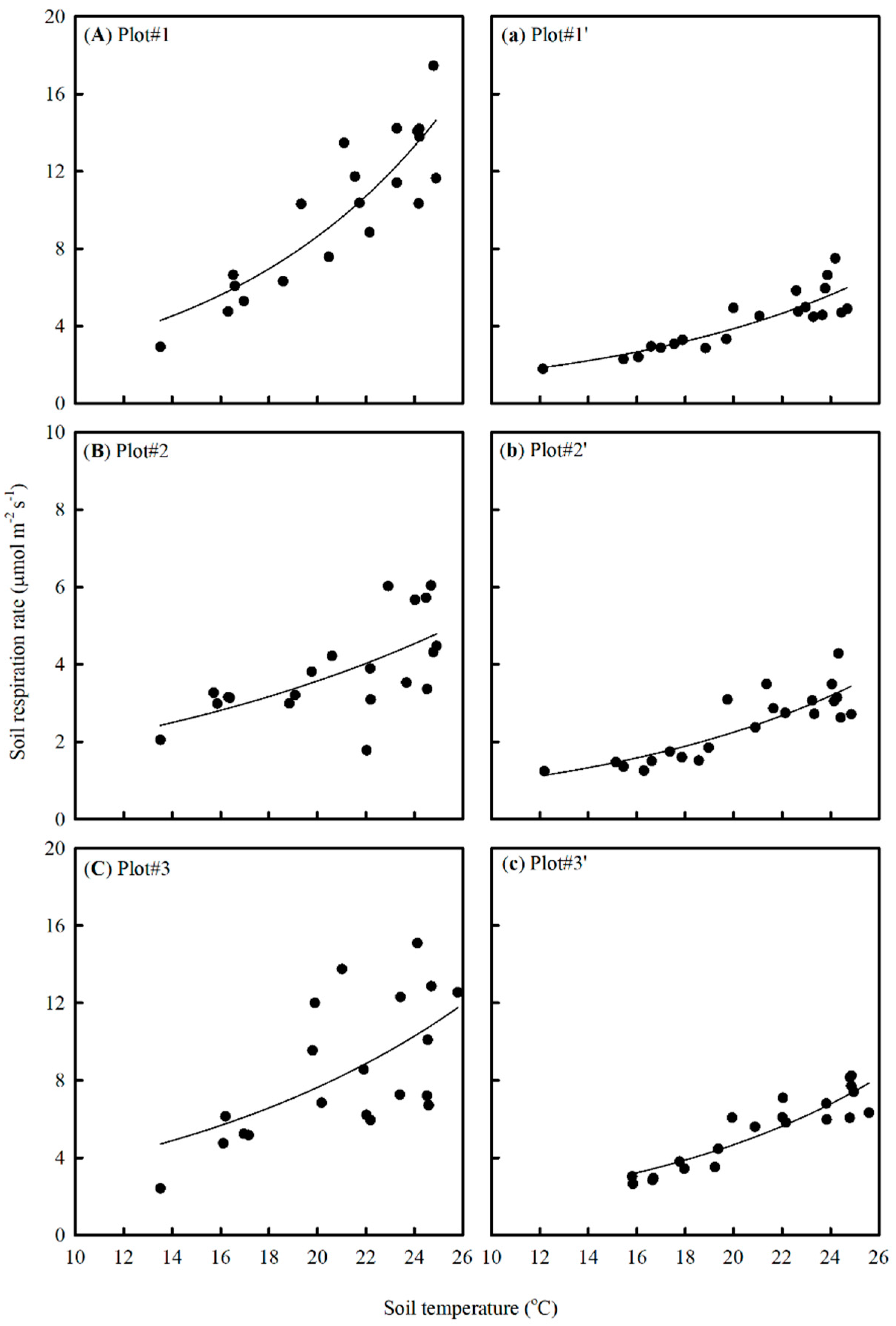
3.3. Variation in Soil Respiration across Seasons and Microhabitats
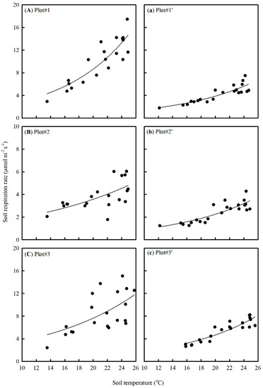
3.4. Temperature Sensitivity of Soil Respiration
3.5. Contribution of autotrophic and heterotrophic components to total soil respiration
4. Discussion
4.1. The Unexpected Diel Pattern in Heterotrophic Respiration
- (i)
- We found a close relationship between Rh and relative humidity (Hr).
- (ii)
- The climate in tropical forests could form a diel dry-and-rewet cycle on surface litter. Evaporation is strong in tropical rainforest because of the high year-round solar radiation and temperature [21,22]. High rates of evaporation dry the air, as well as surfaces of soil litter, during the day. On calm nights, radiation fog can form [23,24] and air humidity increases. Litter surfaces can be rewetted during humid nights, representing one type of diel dry-and-rewet cycle.
- (iii)
- Litter may play an important role in soil carbon flux of tropical forests. A litterfall manipulation experiment in Costa Rican rainforest stressed the considerable role of litterfall in soil carbon cycling [25]. Litterfall, both as a direct source of CO2 and as an input of soil organic matter, should be expected to play an important role in soil heterotrophic respiration, especially in the rapid-turnover tropical rainforest [26,27].
4.2. Temperature Sensitivity of the Studied Tropical Forests
4.3. Variation of Soil Respiration among Microhabitats and Implications for Carbon Balance
- (i)
- The use of the commercial Li-8100/8150 avoided the problem caused by fan mixing. Some self-design chambers use the convenience of fans for mixing [6]. This violates the basic principle of soil efflux measurement with the static chamber method [17]. Research has shown that soil CO2 efflux increases linearly with wind speed [16].
- (ii)
- Sufficient trench depth: Trenching is still a major method used to separate soil heterotrophic and autotrophic respiration. Given insufficient trench depth, heterotrophic respiration cannot be completely separated [36]. We trenched to a depth of 1.2–1.3 m; at this depth, no visible root could be found, and rock was semi-weathered.
- (iii)
- Reliability of the method used to calculate fluxes: Linear regression should be used appropriately in calculating CO2 efflux with a static chamber [37], as inappropriate application of this method could lead to serious bias. The present study avoided this bias (cf. Li-8100/8150 manual).
5. Conclusions
- (i)
- Soil respiration varied strongly among the microhabitats and played a crucial role in stand-level ecosystem carbon balance assessment. A weight-averaged estimate taking this spatial variation into account could give more defensible soil respiration and net carbon budget assessment than arithmetical averaging.
- (ii)
- The unexpected diel pattern on heterotrophic respiration was probably related to moisture dynamics.
- (iii)
- The Kirschbaum–O’Connell model was the best model describing the temperature dependence of soil heterotrophic respiration among the four models. The temperature sensitivity index (Q10) varied among models. The value derived using the Q10 model was 2.54.
Author Contributions
Funding
Acknowledgments
Conflicts of Interest
References
- Bond-Lamberty, B.; Thomson, S. Temperature-associated increases in the global soil respiration record. Nature 2010, 464, 579–582. [Google Scholar] [CrossRef]
- Mukhortova, L.; Schepaschenko, D.; Moltchanova, E.; Shvidenko, A.; See, L. Respiration of Russian soils: Climatic drivers and response to climate change. Sci. Total. Environ. 2021, 785, 147314. [Google Scholar] [CrossRef]
- Farquhar, G.D.; von Caemmerer, S.; Berry, J.A. A biochemical model of photosynthetic CO2 assimilation in leaves of C3 species. Planta 1980, 149, 78–90. [Google Scholar] [CrossRef] [Green Version]
- Brown, S.; Lugo, A.E. The storage and production of organic matter in tropical forests and their role in the global carbon cycle. Biotropica 1982, 14, 161–187. [Google Scholar] [CrossRef]
- Hashimoto, S.; Suzuki, M.; Inoue, A.; Takizawa, H.; Kosaka, I.; Tanaka, K.; Tantasirin, C.; Tangtham, N. Soil respiration and soil CO2 concentration in a tropical forest, Thailand. J. For. Res. 2004, 9, 75–79. [Google Scholar] [CrossRef]
- Tan, Z.; Liang, N.; Zhang, Y.; Teramoto, M.; Yu, G.; Yan, J. Soil respiration of tropical forests: Overview and synthesis. J. Yunnan Univ. 2013, 35, 833–842. [Google Scholar] [CrossRef]
- Liu, B.; Li, X.B.; He, D.J.; Chen, L.; Pang, D.B.; Zhu, Z.Y.; Liu, L.Z.; Wu, M.Y.; Wu, Y.Q. Knowledge Mapping Analysis of Soil Respiration Research Based on Web of Science. Chin. J. Soil Sci. 2021, 52, 443–453. [Google Scholar] [CrossRef]
- Kosugi, Y.; Mitani, T.; Itoh, M.; Noguchi, S.; Tani, M.; Matsuo, N.; Takanashi, S.; Ohkubo, S.; Nik, A.R. Spatial and temporal variation in soil respiration in a Southeast Asian tropical rainforest. Agric. For. Meteorol. 2007, 147, 35–47. [Google Scholar] [CrossRef]
- Ohashi, M.; Kumagai, T.; Kume, T.; Gyokusen, K.; Saitoh, T.M.; Suzuki, M. Characteristics of soil CO2 efflux variability in an aseasonal tropical rainforest in Borneo Island. Biogeochemistry 2008, 90, 275–289. [Google Scholar] [CrossRef]
- Hanpattanakit, P.; Panuthai, S.; Chidthaisong, A. Temperature and moisture controls of soil respiration in a dry Dipterocarp forest, Ratchaburi Province. Kasetsart J. 2009, 43, 650–661. [Google Scholar]
- Hanpattanakit, P.; Leclere, M.Y.; Mcmillan, A.M.S.; Limtong, P.; Maeght, J.L.; Panuthai, S.; Inubushi, L.; Chidthaisong, A. Multiple timescale variations and controls of soil respiration in a tropical dry dipterocarp forest, western Thailand. Plant Soil 2015, 390, 167–181. [Google Scholar] [CrossRef]
- Wangluk, S.; Boonyawat, S.; Diloksumpun, S.; Tongdeenok, P. Role of soil temperature and moisture on soil respiration in a teak plantation and mixed deciduous forest in Thailand. J. Trop. For. Sci. 2013, 25, 339–349. [Google Scholar]
- Tan, Z.; Deng, X.; Hughes, A.; Tang, Y.; Cao, M.; Zhang, W.; Yang, X.; Sha, L.; Song, L.; Zhao, J. Partial net primary production of a mixed dipterocarp forest: Spatial patterns and temporal dynamics. J. Geophys. Res. Biogeosci. 2015, 120, 570–583. [Google Scholar] [CrossRef]
- Zhang, K. A preliminary study on the causes of climatic properties in Southern Yunan. Acta Meteorol. Sin. 1963, 33, 218–230. [Google Scholar]
- Song, Q.; Tan, Z.; Zhang, Y.; Cao, M.; Sha, L.; Tang, Y.; Liang, N.; Schaefer, D.; Zhao, J.; Zhao, J.; et al. Spatial heterogeneity of soil respiration in a seasonal rainforest with complex terrain. Iforest-Biogeosci. For. 2013, 6, 65–72. [Google Scholar] [CrossRef]
- Hanson, P.J.; Wullschleger, S.D.; Bohlman, S.A.; Todd, D.E. Seasonal and topographic patterns of forest floor CO2 efflux from an upland oak forest. Tree Physiol. 1993, 13, 1–15. [Google Scholar] [CrossRef]
- Welles, J.M.; Demetriades-Shah, T.H.; McDermit, D.K. Considerations from measuring ground CO2 effluxes with chambers. Chem. Geol. 2001, 177, 3–13. [Google Scholar] [CrossRef]
- Zhang, Q.; Katul, G.G.; Oren, R.; Daly, E.; Manzoni, S.; Yang, D. The hysteresis response of soil concentration and soil respiration to soil temperature. J. Geophys. Res. Biogeosci. 2015, 120, 1605–1618. [Google Scholar] [CrossRef]
- Davidson, E.A.; Janssens, I.A. Temperature sensitivity of soil carbon decomposition and feedbacks to climate change. Nature 2006, 440, 165–173. [Google Scholar] [CrossRef] [PubMed]
- Cai, Z.L.; Qiu, S.P. Seasonal variation of soil respiration and its impact factors in tropical seasonal rainforest in Xishuangbanna, Yunnan. Ecol. Environ. Sci. 2019, 28, 283–290. [Google Scholar] [CrossRef]
- Schellekens, J.; Bruijnzeel, L.; Scatena, F.; Bink, N.; Holwerda, F. Evaporation from a tropical rain forest, Luquillo Experimental Forest, eastern Puerto Rico. Water Resour. Res. 2000, 36, 2183–2196. [Google Scholar] [CrossRef] [Green Version]
- Kosugi, Y.; Takanashi, S.; Tani, M.; Ohkubo, S.; Matsuo, N.; Itoh, M.; Noguchi, S.; Nik, A. Effect of inter-annual climate variability on evapotranspiration and canopy CO2 exchange of a tropical rainforest in Peninsular Malaysia. J. For. Res. 2012, 17, 227–240. [Google Scholar] [CrossRef]
- Bruijnzeel, L.; Veneklaas, E. Climatic conditions and tropical montane forest productivity: The fog has not lifted yet. Ecology 1998, 79, 3–9. [Google Scholar] [CrossRef]
- Liu, W.; Wang, P.; Li, J.; Li, P.; Liu, W. The importance of radiation fog in the tropical seasonal rain forest of Xishuangbanna, South-west China. Hydrol. Res. 2008, 39, 79–87. [Google Scholar] [CrossRef] [Green Version]
- Leff, J.W.; Wieder, W.R.; Taylor, P.G.; Townsend, A.R.; Nemergut, D.R.; Grandy, A.S.; Cleveland, C.C. Experimental litterfall manipulation drives large and rapid changes in soil carbon cycling in a wet tropical forest. Glob. Chang. Biol. 2012, 18, 2969–2979. [Google Scholar] [CrossRef]
- Malhi, Y.; Baldocchi, D.D.; Jarvis, P.G. The carbon balance of tropical, temperate and boreal forests. Plant Cell Environ. 1999, 22, 715–740. [Google Scholar] [CrossRef]
- Sayer, E.J.; Heard, M.S.; Grant, H.K.; Marthews, T.R.; Tanner, E. Soil carbon release enhanced by increased tropical forest litterfall. Nat. Clim. Chang. 2011, 1, 304–307. [Google Scholar] [CrossRef]
- Hashimoto, S. Temperature sensitivity of soil CO2 production in a tropical hill evergreen forest in northern Thailand. J. For. Res. 2005, 10, 497–503. [Google Scholar] [CrossRef]
- Zimmermann, M.; Bird, M.I. Temperature sensitivity of tropical forest soil respiration increase along an altitude gradient with ongoing decomposition. Geoderma 2012, 187–188, 8–15. [Google Scholar] [CrossRef]
- Fang, C.; Moncrieff, J.B. The dependence of soil CO2 efflux on temperature. Soil Biol. Biochem. 2001, 33, 155–165. [Google Scholar] [CrossRef]
- Reichstein, M.; Beer, C. Soil respiration across scales: The importance of a model-data integration framework for data interpretation. J. Plant Nutr. Soil Sci. 2008, 171, 344–354. [Google Scholar] [CrossRef]
- Kirschbaum, M.U.F. Seasonal variations in the availability of labile substrate confound the derived temperature dependence of heterotrophic respiration. Soil Biol. Biochem. 2013, 57, 568–576. [Google Scholar] [CrossRef]
- Sha, L.Q.; Zheng, Z.; Tang, J.W.; Wang, Y.H.; Zhang, Y.P.; Cao, M.; Wang, R.; Liu, G.G.; Wang, Y.S.; Sun, Y. Soil respiration in tropical seasonal rain forest in Xishuangbanna, SW China. Sci. China D 2005, 48, 189–197. [Google Scholar] [CrossRef]
- Peng, S.; Piao, S.; Wang, T.; Sun, J.; Shen, Z. Temperature sensitivity of soil respiration in different ecosystems in China. Soil Biol. Biochem. 2009, 41, 1008–1014. [Google Scholar] [CrossRef]
- Yang, J.; Zhang, G.; Ci, X.; Swenson, N.G.; Cao, M.; Sha, L.; Li, J.; Baskin, C.C.; Ferry Slik, J.W.; Lin, L. Functional and phylogenetic assembly in a Chinese tropical tree community across size classes, spatial scales and habitats. Funct. Ecol. 2014, 28, 520–529. [Google Scholar] [CrossRef]
- Aguilos, M.; Takagi, K.; Liang, N.; Watanabe, Y.; Goto, S.; Takahashi, Y.; Mukai, H.; Sasa, K. Soil warming in a cool-temperate mixed forest with peat soil enhanced heterotrophic and base respiration rates but not Q10 remained unchanged. Biogeosci. Discuss. 2011, 8, 6415–6445. [Google Scholar] [CrossRef] [Green Version]
- Kutzbach, L.; Schneider, J.; Sachs, T.; Giebels, M.; Nykänen, H.; Shurpali, N.J.; Martikainen, P.J.; Alm, J.; Wilmking, M. CO2 flux determined by close-chamber methods can be seriously biased by inappropriate application of linear regression. Biogeosciences 2007, 4, 1005–1025. [Google Scholar] [CrossRef]









| Model Type | r2 | SSE | α, R10 | Q10, Ea, E0, β | T0, Tm |
|---|---|---|---|---|---|
| Q10 | 0.8370 | 6.8438 | 1.4254 (1.0161, 1.8347) | 2.5474 (1.9729, 3.1219) | |
| Arrhenius | 0.8394 | 6.7401 | 1.3761 (0.9718, 1.7803) | 65,723 (49,964, 81,481) | |
| Lloyd–Kavanau | 0.8543 | 6.1016 | 0.6879 (−0.5530, 1.9289) | 50.68 (−97.45, 198.81) | 270.20 (237.33, 303.08) |
| Kirschbaum–O’Connell | 0.8643 | 5.6964 | 0.0246 (−0.0602, 0.1095) | 0.4014 (0.0673, 0.7356) | 27.07 (20.20, 33.93) |
Publisher’s Note: MDPI stays neutral with regard to jurisdictional claims in published maps and institutional affiliations. |
© 2021 by the authors. Licensee MDPI, Basel, Switzerland. This article is an open access article distributed under the terms and conditions of the Creative Commons Attribution (CC BY) license (https://creativecommons.org/licenses/by/4.0/).
Share and Cite
Zhao, J.-F.; Liao, Z.-Y.; Yang, L.-Y.; Shi, J.-K.; Tan, Z.-H. Characteristics of Soil Respiration and Its Components of a Mixed Dipterocarp Forest in China. Forests 2021, 12, 1159. https://doi.org/10.3390/f12091159
Zhao J-F, Liao Z-Y, Yang L-Y, Shi J-K, Tan Z-H. Characteristics of Soil Respiration and Its Components of a Mixed Dipterocarp Forest in China. Forests. 2021; 12(9):1159. https://doi.org/10.3390/f12091159
Chicago/Turabian StyleZhao, Jun-Fu, Zhi-Yong Liao, Lian-Yan Yang, Jian-Kang Shi, and Zheng-Hong Tan. 2021. "Characteristics of Soil Respiration and Its Components of a Mixed Dipterocarp Forest in China" Forests 12, no. 9: 1159. https://doi.org/10.3390/f12091159
APA StyleZhao, J.-F., Liao, Z.-Y., Yang, L.-Y., Shi, J.-K., & Tan, Z.-H. (2021). Characteristics of Soil Respiration and Its Components of a Mixed Dipterocarp Forest in China. Forests, 12(9), 1159. https://doi.org/10.3390/f12091159

