Effects of Spatial Boreal Forest Harvesting Practices on Efficiency through a Benchmarking Approach in Eastern Canada
Abstract
1. Introduction
2. Materials and Methods
2.1. DEA Analysis
2.2. Selection of DEA Variables
2.3. Compensation for Non-Homogeneity
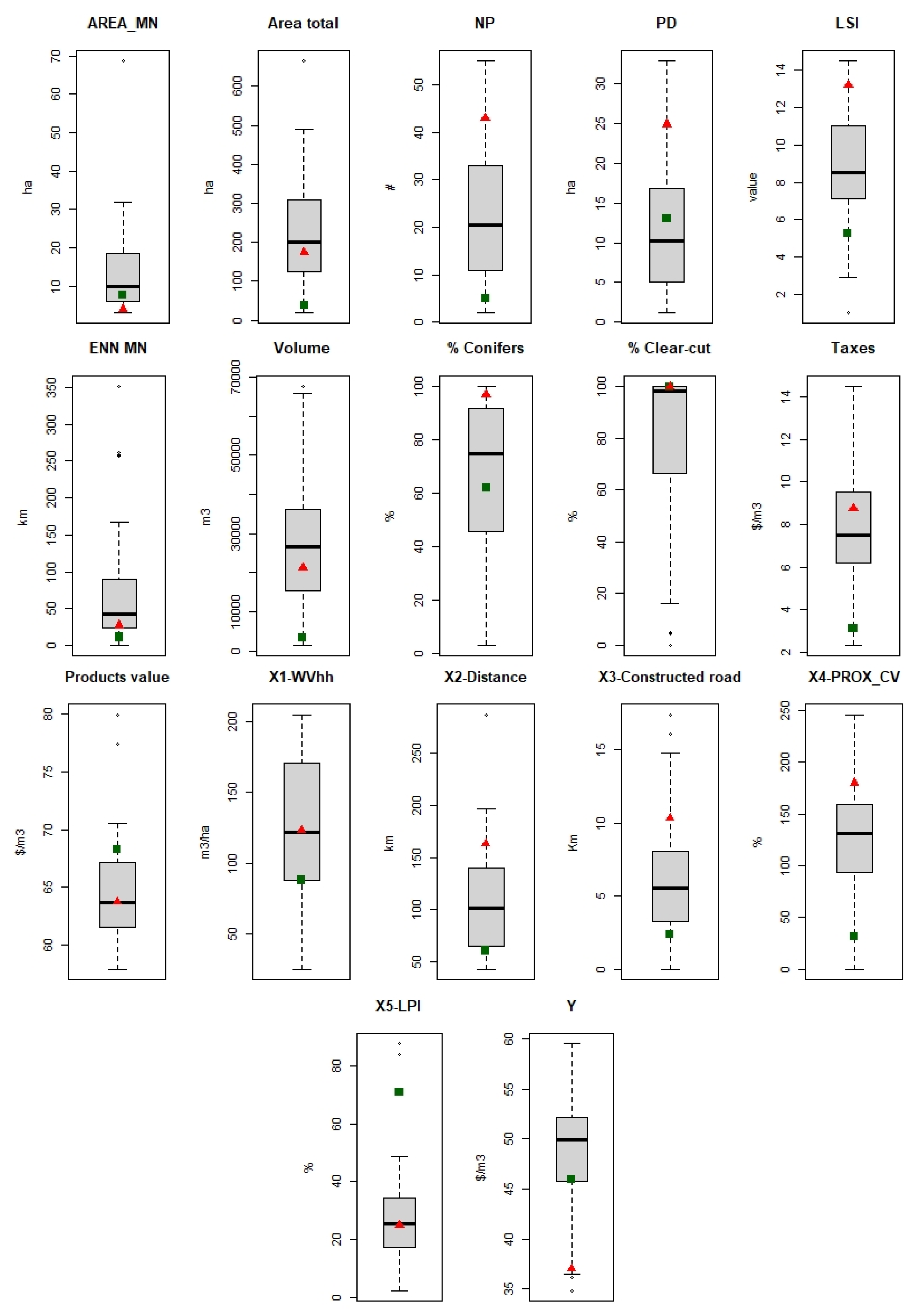
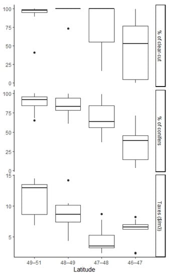
3. Results
4. Discussion
5. Conclusions
Author Contributions
Funding
Conflicts of Interest
References
- Mobtaker, A.; Ouhimmou, M.; Rönnqvist, M.; Paquet, M. Development of an economically sustainable and balanced tactical forest management plan: A case study in Quebec. Can. J. For. Res. 2017, 48, 197–207. [Google Scholar] [CrossRef]
- Canada, N.R. The State of Canada’s Forests: Annual Report 2020; Government of Canada: Québec City, QC, Canada, 2020; p. 96. [Google Scholar]
- Obi, O.F.; Visser, R. Operational efficiency analysis of New Zealand timber harvesting contractors using data envelopment analysis. Int. J. For. Eng. 2017, 28, 85–93. [Google Scholar] [CrossRef]
- FAO. Natural Forest Management. Available online: http://www.fao.org/forestry/sfm/85084/en/ (accessed on 6 August 2019).
- Légis Québec. Loi Sur l’aménagement Durable du Territoire Forestier—Chapitre A-18.1. RLRQ. Available online: http://legisquebec.gouv.qc.ca/fr/ShowDoc/cs/A-18.1 (accessed on 31 December 2018).
- Gauthier, S.; Vaillancourt, M.-A.; Kneeshaw, D.; Drapeau, P.; De Grandpré, L.; Claveau, Y.; Paré, D. Une approche qui s’inpire des perturbatione naturelles: Origines et fondements. In Aménagement Écosystémique en Forêt Boréale; Presses de l’Université du Québec: Québec City, QC, Canada, 2008; pp. 15–35. [Google Scholar]
- Bergeron, Y.; Harvey, B.; Leduc, A.; Gauthier, S. Forest management guidelines based on natural disturbance dynamics: Stand-and forest-level considerations. For. Chron. 1999, 75, 49–54. [Google Scholar] [CrossRef]
- MRN. Le Guide Sylvicole de Québec, Les Fondements Biologiques de la Sylviculture; Ministère des Ressources Naturalles de Québec: Québec City, QC, Canada, 2013; Volume I, p. 1044. [Google Scholar]
- Baskent, E.Z.; Jordan, G.A. Characterizing spatial structure of forest landscapes. Can. J. For. Res. 1995, 25, 1830–1849. [Google Scholar] [CrossRef]
- Baskent, E.Z.; Keles, S. Spatial forest planning: A review. Ecol. Model. 2005, 188, 145–173. [Google Scholar] [CrossRef]
- Gouvernement Québec. Règlement Sur L’aménagement Durable des Forêts du Domaine de l’État. In Décret 473-2017, 10 mai 2017; Loi Sur L’aménagement Durable du Territoire Forestier (Chapitre A-18.1); Gazette Officielle du Québec: Québec City, QC, Canada, 2017; p. 62. [Google Scholar]
- Baskent, E.Z.; Jordan, G.A. Spatial wood supply simulation modelling. For. Chron. 1991, 67, 610–621. [Google Scholar] [CrossRef][Green Version]
- Öhman, K.; Eriksson, L.O. Aggregating harvest activities in long term forest planning by minimizing harvest area perimeters. Silva Fenn. 2010, 44, 77–89. [Google Scholar] [CrossRef]
- Austin, R.D. Business Performance Measurement: Theory and Practice; Cambridge University Press: Cambridge, UK, 2002; p. 216. [Google Scholar]
- Gunasekaran, A.; Patel, C.; Tirtiroglu, E. Performance measures and metrics in a supply chain environment. Int. J. Oper. Prod. Manag. 2001, 21, 71–87. [Google Scholar] [CrossRef]
- Chen, N.; Qin, F.; Zhai, Y.; Cao, H.; Zhang, R.; Cao, F. Evaluation of coordinated development of forestry management efficiency and forest ecological security: A spatiotemporal empirical study based on China’s provinces. J. Clean. Prod. 2020, 260, 121042. [Google Scholar] [CrossRef]
- Homburg, C. Using data envelopment analysis to benchmark activities. Int. J. Prod. Econ. 2001, 71, 51–58. [Google Scholar] [CrossRef]
- LeBel, L.G.; Stuart, W.B. Technical Efficiency Evaluation of Logging Contractors Using a Nonparametric Model. J. For. Eng. 1998, 9, 15–24. [Google Scholar] [CrossRef]
- Drolet, S.; LeBel, L. Forest harvesting entrepreneurs, perception of their business status and its influence on performance evaluation. For. Policy Econ. 2010, 12, 287–298. [Google Scholar] [CrossRef]
- Limaei, S.M. Efficiency of Iranian forest industry based on DEA models. J. For. Res. 2013, 24, 759–765. [Google Scholar] [CrossRef]
- Salehirad, N.; Sowlati, T. Productivity and efficiency assessment of the wood industry: A review with a focus on Canada. For. Prod. J. 2006, 56, 25–32. [Google Scholar]
- Kovalčík, M. Efficiency of the Slovak forestry in comparison to other European countries: An application of Data Envelopment Analysis. Cent. Eur. For. J. 2018, 64, 46–54. [Google Scholar] [CrossRef]
- Li, L.; Hao, T.; Chi, T. Evaluation on China’s forestry resources efficiency based on big data. J. Clean. Prod. 2017, 142, 513–523. [Google Scholar] [CrossRef]
- Trzcianowska, M.; LeBel, L.; Beaudoin, D. Performance analysis of log yards using data envelopment analysis. Int. J. For. Eng. 2019, 30, 144–154. [Google Scholar] [CrossRef]
- Obi, O.F.; Visser, R. Influence of the operating environment on the technical efficiency of forest harvesting operations. Int. J. For. Eng. 2017, 28, 140–147. [Google Scholar] [CrossRef]
- Bonhomme, B.; LeBel, L. Harvesting contractors in northern quebec: A financial and technical performance evaluation. In Proceedings of the Forest Operations among Competing Forest Uses, Bar Harbor, ME, USA, 7–10 September 2003; p. 7. [Google Scholar]
- Hailu, A.; Veeman, T.S. Comparative analysis of efficiency and productivity growth in Canadian regional boreal logging industries. Can. J. For. Res. 2003, 33, 1653–1660. [Google Scholar] [CrossRef]
- McGarigal, K. FRAGSTATS 4.2 HELP; University of Massachusetts: Amherst, MA, USA, 2015. [Google Scholar]
- Charnes, A.; Cooper, W.W.; Rhodes, E. Measuring the efficiency of decision making units. Eur. J. Oper. Res. 1978, 2, 429–444. [Google Scholar] [CrossRef]
- Kleiner, A.; Powell, J. Jeremy Rifkin on How to Manage a Future of Abundance. Available online: www.strategy-business.com/ (accessed on 1 March 2020).
- Boussofiane, A.; Dyson, R.G.; Thanassoulis, E. Applied data envelopment analysis. Eur. J. Oper. Res. 1991, 52, 1–15. [Google Scholar] [CrossRef]
- Banker, R.D.; Charnes, A.; Cooper, W.W. Some models for estimating technical and scale inefficiencies in data envelopment analysis. Manag. Sci. 1984, 30, 1078–1092. [Google Scholar] [CrossRef]
- Salehirad, N.; Sowlati, T. Performance analysis of primary wood producers in British Columbia using data envelopment analysis. Can. J. For. Res. 2005, 35, 285–294. [Google Scholar] [CrossRef]
- Haas, D.A.; Murphy, F.H. Compensating for non-homogeneity in decision-making units in data envelopment analysis. Eur. J. Oper. Res. 2003, 144, 530–544. [Google Scholar] [CrossRef]
- Sexton, T.R.; Sleeper, S.; Taggart, R.E. Improving pupil transportation in North Carolina. Interfaces 1994, 24, 87–103. [Google Scholar] [CrossRef]
- MRN. The ecological land classification hierarchy. In Direction des Inventaires Forestiers; Ministere des Ressources Naturelles de la Faune et des Parcs, Ed.; Gouvernement du Québec: Québec City, QC, Canada, 2003. [Google Scholar]
- Yan, J. Spatiotemporal analysis for investment efficiency of China’s rural water conservancy based on DEA model and Malmquist productivity index model. Sustain. Comput. Inform. Syst. 2019, 21, 56–71. [Google Scholar] [CrossRef]
- Sundberg, B.; Silversides, C. Operational Efficiency in Forestry: Vol. 1: Analysis; Springer Science & Business Media: Berlin/Heidelberg, Germany, 1988; Volume 29. [Google Scholar]
- Damanik, S.E. Techniques of Efficiency Measurement in Ecology Research of Forest Management Using Data Envelopment Analysis. Int. J. Appl. Eng. Res. 2017, 12, 16024–16031. [Google Scholar]
- Kao, C.; Chang, P.l.; Hwang, S.N. Data envelopment Analysis in measuring the effieciency of forest management. J. Environ. Manag. 1993, 38, 73–83. [Google Scholar] [CrossRef]
- Vargha, A.; Delaney, H.D. The Kruskal-Wallis test and stochastic homogeneity. J. Educ. Behav. Stat. 1998, 23, 170–192. [Google Scholar] [CrossRef]
- Cayford, J. A brief overview of Canadian forestry. Unasylva 1990, 41, 44–48. [Google Scholar]
- Vanclay, J.K. Future harvest: What might forest harvesting entail 25 years hence? Scand. J. For. Res. 2011, 26, 183–186. [Google Scholar] [CrossRef]
- D’Amours, S.; Rönnqvist, M.; Weintraub, A. Using Operational Research for Supply Chain Planning in the Forest Products Industry. INFOR Inf. Syst. Oper. Res. 2008, 46, 265–281. [Google Scholar] [CrossRef]
- Korpinen, O.-J.; Aalto, M.; Venäläinen, P.; Ranta, T. Impacts of a high-capacity truck transportation system on the economy and traffic intensity of pulpwood supply in southeast Finland. Croat. J. For. Eng. J. Theory Appl. For. Eng. 2019, 40, 89–105. [Google Scholar]
- Jourgholami, M.; Abdi, E.; Chung, W. Decision making in forest road planning considering both skidding and road costs: A case study in the Hyrcanian Forest in Iran. iFor. Biogeosci. For. 2013, 6, 59. [Google Scholar] [CrossRef]
- Mathey, A.H.; Nelson, H.; Gaston, C. The economics of timber supply: Does it pay to reduce harvest levels? For. Policy Econ. 2009, 11, 491–497. [Google Scholar] [CrossRef]
- Pamerleau-Couture, E.; Krause, C.; Pothier, D.; Weiskittel, A. Effect of three partial cutting practices on stand structure and growth of residual black spruce trees in north-eastern Quebec. For. Int. J. For. Res. 2015, 88, 471–483. [Google Scholar] [CrossRef]
- Angers, V.A.; Messier, C.; Beaudet, M.; Leduc, A. Comparing composition and structure in old-growth and harvested (selection and diameter-limit cuts) northern hardwood stands in Quebec. For. Ecol. Manag. 2005, 217, 275–293. [Google Scholar] [CrossRef]
- Gharbi, C. Étude du Processus de Planification des Approvisionnements Forestiers au Québec et Mesure de sa Performance. Master’s Thesis, Univerité de Laval, Québec City, QC, Canada, 2014. [Google Scholar]
- Hansen, E.; Dibrell, C.; Down, J. Market Orientation, Strategy, and Performance in the Primary Forest Industry. For. Sci. 2006, 52, 209–220. [Google Scholar]
- FP Innovations. Forestry 4.0. Available online: https://web.fpinnovations.ca/forest-operations/forestry-4-0/ (accessed on 12 May 2020).
- Béland, M.; Beaudoin, D.; Grenier, J.-D.; Toupin, D. Optimisation des Coûts D’approvisionnement par L’utilisation des Logiciels Woodstock et FPInterface; CERFO and FP Innovations Sainte-Foy: QuébecCity, QC, Canada, 2009; p. 54. [Google Scholar]
- Stuart, W.B.; Grace, L.A.; Grala, R.K. Returns to scale in the Eastern United States logging industry. For. Policy Econ. 2010, 12, 451–456. [Google Scholar] [CrossRef]





| Variables | Description | |
|---|---|---|
| Inputs | ||
| Spatial | CODE | |
| Area Indices | AREA_MN | Mean area of harvest patches (ha) by DMU. |
| Area Total | Total area of the DMU (ha). | |
| NP | Number of patches. | |
| PD | The number of patches in 100 ha; defined as patch density. | |
| X5-LPI | Largest patch in the DMUs, expressed as a percentage and measuring dominance. | |
| Shape index | LSI | Landscape shape index, a measure of complexity and dispersion in the landscape. |
| SHAPE_MN | Average shape index of patches; measures complexity of patch shape compared to that of a square. | |
| Indices of juxtaposition and dispersion | X4-PROX_CV | Coefficient of variation of the proximity index, measures straight line-distance in radius of 500 m between patches; if the DMUs are heterogeneous, the variation is high. |
| ENN_MN | Nearest-neighbor mean (Euclidean) distance; shortest straight-line distance between patches. | |
| CONNEC | Connectivity index, the number of functional unions among patches as a percentage; 0% when it is 1 patch and 100% when all patches are connected. | |
| CONTIG_MN | Mean contiguity index, average of spatial contiguity of cells in patches. | |
| MESH | Mesh index, area of patches to reach the split level, related to index below (ha) | |
| SPLIT | Split index is the number of patches with a constant area that represent the level of separation in the landscape. | |
| Distance to mill | X2-Distance | Distance (km) between the harvest block and mill that consumes most of the wood in the zone. |
| Constructed roads | X3-Constructed road | Total graveled road construction kilometers by DMUs. |
| Non-Spatial | ||
| Bioclimatic domain | Domain | The location of the DMUs in the ecological classification reference system of Quebec |
| Volume | Volume | Total volume of harvested wood m3) |
| Type of harvest practice | % clear-cut | Proportion of clear-cut by DMUs as a percentage |
| Stand type | % Conifers | Type of dominant species in the DMUs (coniferous and broadleaf) in percentage |
| Wood volume per hectare harvest | X1-WVhh | Cubic meters of wood harvested by hectare in each DMU (average) (m3/ha) |
| Wood value | Products value | Wood product value presented in the DMUs ($/m3) |
| Taxes | Taxes | Stumpage cost for public forests ($/m3) |
| Harvested cost | Harvest cost | Cost of cubic meter by harvesting activities ($/m3) |
| Cost of roads | roads cost | Construction and maintenance cost of roads used to extract the wood during a period ($/m3) |
| Cost of transport | Transportation cost | Hauling cost by cubic meter ($/m3) |
| Profits | Profits | Financial advantage expected after reducing total wood procurement cost of wood’s values ($/m3) |
| Output | ||
| Total wood procurement cost | Total Cost | Sum of harvest cost, other cost, taxes, cost of roads and cost of transport to the mill by DMU ($/m3) |
| Transformed total wood procurement cost | Y | Wood procurement cost transformed as subtraction operation 100$—total wood procurement cost ($/m3). |
| X1-WVhh | X2-Distance | X3-Constructed Road | X4-PROX_CV | X5-LPI | Y | |
|---|---|---|---|---|---|---|
| X1 | 1 | |||||
| X2 | 0.12 (0.417) | 1 | ||||
| X3 | 0.05 (0.721) | 0.06 (0.695) | 1 | |||
| X4 | 0.10 (0.493) | 0.11 (0.447) | 0.42 (0.0025) | 1 | ||
| X5 | −0.31 (0.029) | 0.01 (0.9305) | −0.35 (0.012) | −0.46 (0.0007) | 1 | |
| Y | 0.53 (0.00001) | −0.37 (0.0014) | −0.26 (0.066) | −0.17 (0.232) | −0.28 (0.048) | 1 |
| Variable | F Value | p Value |
|---|---|---|
| X5-LPI | 0.759 | 0.532 |
| X4-PROX_CV | 1.295 | 0.287 |
| X2-Distance | 0.622 | 0.605 |
| X3-Constructed road | 1.866 | 0.149 |
Publisher’s Note: MDPI stays neutral with regard to jurisdictional claims in published maps and institutional affiliations. |
© 2021 by the authors. Licensee MDPI, Basel, Switzerland. This article is an open access article distributed under the terms and conditions of the Creative Commons Attribution (CC BY) license (https://creativecommons.org/licenses/by/4.0/).
Share and Cite
Mazo, D.; Valeria, O. Effects of Spatial Boreal Forest Harvesting Practices on Efficiency through a Benchmarking Approach in Eastern Canada. Forests 2021, 12, 1108. https://doi.org/10.3390/f12081108
Mazo D, Valeria O. Effects of Spatial Boreal Forest Harvesting Practices on Efficiency through a Benchmarking Approach in Eastern Canada. Forests. 2021; 12(8):1108. https://doi.org/10.3390/f12081108
Chicago/Turabian StyleMazo, Daniela, and Osvaldo Valeria. 2021. "Effects of Spatial Boreal Forest Harvesting Practices on Efficiency through a Benchmarking Approach in Eastern Canada" Forests 12, no. 8: 1108. https://doi.org/10.3390/f12081108
APA StyleMazo, D., & Valeria, O. (2021). Effects of Spatial Boreal Forest Harvesting Practices on Efficiency through a Benchmarking Approach in Eastern Canada. Forests, 12(8), 1108. https://doi.org/10.3390/f12081108

